Spatiotemporal Variation of Water Supply and Demand Balance under Drought Risk and Its Relationship with Maize Yield: A Case Study in Midwestern Jilin Province, China
Abstract
:1. Introduction
2. Materials and Methods
2.1. Study Area
2.2. Data
2.3. Methodology
2.3.1. Taylor Diagram
2.3.2. Crop Water Deficit Index (CWDI)
2.3.3. Effective Precipitation (Pe) and Irrigation Requirement Index (IRI)
2.3.4. Maize Yield Treatments
2.3.5. Calculation of the Crop Drought Risk Index
2.3.6. Mann-Kendall Mutation Test
3. Results and Discussion
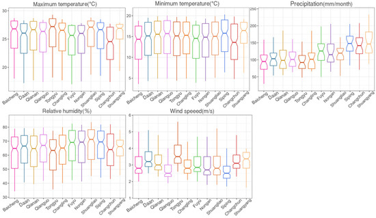
3.1. Climatology of the Study Area
3.2. Future Climate Scenario Simulations
3.3. Analysis of the CWDI Change
3.4. Analysis of Drought Change Characteristics
3.5. Analysis of Water Supply and Demand Situation of Maize
3.5.1. Analysis of the Irrigation Requirement Index
3.5.2. Analysis of the Temporal Trends of Maize Water Supply and Demand
3.6. Change of Maize Yield
3.6.1. Analysis of the Maize Yield Changes in the Midwestern Jilin Province
3.6.2. Relationship between Maize Yw and the CWDI
3.6.3. The Impact of Drought on Maize Yields
3.7. Limitations of This Study
4. Conclusions
Supplementary Materials
Author Contributions
Funding
Institutional Review Board Statement
Informed Consent Statement
Data Availability Statement
Acknowledgments
Conflicts of Interest
References
- IPCC. Working Group I Contribution to the IPCC Fifth Assessment Report. In Climate Change 2013: The Physical Science Basis: Summary for Policymakers; Cambridge University Press: Cambridge, UK, 2014. [Google Scholar]
- Ji, F.; Wu, Z.; Huang, J.; Chassignet, E. Evolution of land surface air temperature trend. Nat. Clim. Chang. 2014, 6, 462–466. [Google Scholar] [CrossRef]
- Paparrizos, S.; Matzarakis, A. Assessment of future climate change impacts on the hydrological regime of selected Greek areas with different climate conditions. Hydrol. Res. 2017, 48, 1327–1342. [Google Scholar] [CrossRef]
- Gao, X.; Shi, Y.; Giorgi, F. A high resolution simulation of climate change over China. Sci. China Earth Sci. 2011, 54, 462–472. [Google Scholar] [CrossRef]
- Thomas, A. Agricultural irrigation demand under present and future climate scenarios in China. Glob. Planet Chang. 2008, 60, 306–326. [Google Scholar] [CrossRef]
- Bodner, G.; Nakhforoosh, A.; Kaul, H.P. Management of crop water under drought: A review. Agron. Sustain. Dev. 2015, 35, 401–442. [Google Scholar] [CrossRef]
- Wang, Y.; Zhou, B.; Qin, D.; Wu, J.; Gao, R.; Song, L. Changes in mean and extreme temperature and precipitation over the arid region of northwestern China: Observation and projection. Adv. Atmos. Sci. 2017, 34, 289–305. [Google Scholar] [CrossRef]
- Aliyari, F.; Bailey, R.T.; Arabi, M. Appraising climate change impacts on future water resources and agricultural productivity in agro-urban river basins. Sci. Total Environ. 2021, 788, 147717. [Google Scholar] [CrossRef] [PubMed]
- Masia, S.; Trabucco, A.; Spano, D.; Snyder, R.L.; Sušnik, J.; Marras, S. A modelling platform for climate change impact on local and regional crop water requirements. Agric. Water Manag. 2021, 255, 107005. [Google Scholar] [CrossRef]
- Hamdy, A.; Ragab, R.; Scarascia-Mugnozza, E. Coping with water scarcity: Water saving and increasing water productivity. Irrig. Drain. 2003, 52, 3–20. [Google Scholar] [CrossRef]
- Qin, Z.; Tang, H.; Li, W.; Zhang, H.; Zhao, S.; Wang, Q. Modelling impact of agro-drought on grain production in China. Int. J. Disast. Risk Reduct. 2014, 7, 109–121. [Google Scholar] [CrossRef]
- Zhang, J.; Yang, J.; An, P.; Ren, W.; Pan, Z.; Dong, Z.; Han, G.; Pan, Y.; Pan, S.; Tian, H. Enhancing soil drought induced by climate change and agricultural practices: Observational and experimental evidence from the semiarid area of northern China. Agric. Forest Meteorol. 2017, 243, 74–83. [Google Scholar] [CrossRef]
- Xiong, W.; Conway, D.; Lin, E.; Xu, Y.; Ju, H.; Jiang, J.; Holman, I.; Li, Y. Future cereal production in China: The interaction of climate change, water availability and socio-economic scenarios. Glob. Environ. Chang. 2009, 19, 34–44. [Google Scholar] [CrossRef]
- Golfam, P.; Ashofteh, P.S.; Loáiciga, H.A. Modeling adaptation policies to increase the synergies of the water-climate-agriculture nexus under climate change. Environ. Dev. 2021, 37, 100612. [Google Scholar] [CrossRef]
- Gurara, M.A.; Jilo, N.B.; Tolche, A.D. Impact of climate change on potential evapotranspiration and crop water requirement in Upper Wabe Bridge watershed, Wabe Shebele River Basin, Ethiopia. J. Afr. Earth Sci. 2021, 180, 104223. [Google Scholar] [CrossRef]
- Zareian, M.J. Optimal water allocation at different levels of climate change to minimize water shortage in arid regions (Case Study: Zayandeh-Rud River Basin, Iran). J. Hydro-Environ. Res. 2021, 35, 13–30. [Google Scholar] [CrossRef]
- Grusson, Y.; Wesström, I.; Svedberg, E.; Joel, A. Influence of climate change on water partitioning in agricultural watersheds: Examples from Sweden. Agric. Water Manag. 2021, 249, 106766. [Google Scholar] [CrossRef]
- Deng, X.; Shan, L.; Zhang, H.; Turner, N.C. Improving agricultural water use efficiency in arid and semiarid areas of China. Agric. Water Manag. 2006, 80, 23–40. [Google Scholar] [CrossRef]
- Seneviratne, S.I.; Corti, T.; Davin, E.L.; Hirschi, M.; Jaeger, E.B.; Lehner, I.; Orlowsky, B.; Teuling, A.J. Investigating soil moisture-climate interactions in a changing climate: A review. Earth Sci. Rev. 2010, 99, 125–161. [Google Scholar] [CrossRef]
- Zhu, X.; Xu, K.; Liu, Y.; Guo, R.; Chen, L. Assessing the vulnerability and risk of maize to drought in China based on the AquaCrop model. Agric. Syst. 2021, 189, 103040. [Google Scholar] [CrossRef]
- Chang, H.; He, G.; Wang, Q.; Li, H.; Zhai, J.; Dong, Y.; Zhao, Y.; Zhao, J. Use of sustainability index and cellular automata-Markov model to determine and predict long-term spatio-temporal variation of drought in China. J. Hydrol. 2021, 598, 126248. [Google Scholar] [CrossRef]
- Guna, A.; Zhang, J.; Tong, S.; Bao, Y.; Han, A.; Li, K. Effect of Climate Change on Maize Yield in the Growing Season: A Case Study of the Songliao Plain Maize Belt. Water 2019, 11, 2108. [Google Scholar] [CrossRef] [Green Version]
- Wang, R.; Zhang, J.; Wang, C.; Guo, E. Characteristic Analysis of Droughts and Waterlogging Events for Maize Based on a New Comprehensive Index through Coupling of Multisource Data in Midwestern Jilin Province, China. Remote Sens. 2020, 1, 60. [Google Scholar] [CrossRef]
- Bertolino, L.T.; Caine, R.S.; Gray, J.E. Impact of stomatal density and morphology on water-use efficiency in a changing world. Front. Plant Sci. 2019, 10, 225. [Google Scholar] [CrossRef] [Green Version]
- Tanasijevic, L.; Todorovic, M.; Pereira, L.S.; Pizzigalli, C.; Lionello, P. Impacts of climate change on olive crop evapotranspiration and irrigation requirements in the Mediterranean region. Agric. Water Manag. 2014, 144, 54–68. [Google Scholar] [CrossRef]
- Gustafson, D.I.; Jones, J.W.; Porter, C.H.; Hyman, G.; Edgerton, M.D.; Gocken, T.; Shryock, J.; Doane, M.; Budreski, K.; Stone, C.; et al. Climate adaptation imperatives: Untapped global maize yield opportunities. Int. J. Agric. Sustain. 2014, 12, 471–486. [Google Scholar] [CrossRef]
- Zhang, J. Risk assessment of drought disaster in the maize-growing region of Songliao Plain, 795 China. Agric. Ecosyst. Environ. 2004, 102, 133–153. [Google Scholar] [CrossRef]
- Liu, Z.; Yang, X.; Hubbard, K.G.; Lin, X. Maize potential yields and yield gaps in the changing climate of northeast China. Glob. Chang. Biol. 2012, 18, 3441–3454. [Google Scholar] [CrossRef]
- Zhao, Z.; Lin, C.; Xie, Y.; Chen, Y.; Lin, Y.; Yi, S. The novel Chinese abacus adder. In Proceedings of the 2007 International Symposium on VLSI Design, Automation and Test (VLSI-DAT), Hsinchu, Taiwan, 25–27 April 2007; IEEE: Piscataway, NJ, USA, 2007; pp. 1–4. [Google Scholar] [CrossRef]
- Guo, E.; Zhang, J.; Wang, Y.; Quan, L.; Zhang, R.; Zhang, F.; Zhou, M. Spatiotemporal variations of extreme climate events in Northeast China during 1960–2014. Ecol. Indic. 2019, 96, 669–683. [Google Scholar] [CrossRef]
- Xu, X.; Ge, Q.; Zheng, J.; Dai, E.; Zhang, X.; He, S.; Liu, G. Agricultural drought risk analysis based on three main crops in prefecture-level cities in the monsoon region of east China. Nat. Hazards 2013, 66, 1257–1272. [Google Scholar] [CrossRef]
- Zhou, Z.; Shi, H.; Fu, Q.; Li, T.; Gan, T.G.; Liu, S. Assessing spatiotemporal characteristics of drought and its effects on climate-induced yield of maize in Northeast China. J. Hydrol. 2020, 588, 125097. [Google Scholar] [CrossRef]
- Xu, H.; Tian, Z.; He, X.; Wang, J.; Sun, L.; Fischer, G.; Fan, D.; Zhong, H.; Wu, W.; Pope, E.; et al. Future increases in irrigation water requirement challenge the water-food nexus in the northeast farming region of China. Agric. Water Manag. 2019, 213, 594–604. [Google Scholar] [CrossRef]
- Kunrath, T.R.; Lemaire, G.; Teixeira, E.; Brown, H.E.; Ciampitti, I.A.; Sadras, V.O. Allometric relationships between nitrogen uptake and transpiration to untangle interactions between nitrogen supply and drought in maize and sorghum. Eur. J. Agron. 2020, 120, 126145. [Google Scholar] [CrossRef]
- Patanè, C.; Tringali, S.; Sortino, O. Effects of deficit irrigation on biomass, yield, water productivity and fruit quality of processing tomato under semi-arid Mediterranean climate conditions. Sci. Hortic. 2011, 129, 590–596. [Google Scholar] [CrossRef]
- Bonfante, A.; Sellami, M.H.; Abi Saab, M.T.; Albrizio, R.; Basile, A.; Fahed, S.; Giorio, P.; Langella, G.; Monaco, E.; Bouma, J. The role of soils in the analysis of potential agricultural production: A case study in Lebanon. Agric. Syst. 2017, 156, 67–75. [Google Scholar] [CrossRef]
- Philip, J.R. Plant water relations: Some physical aspects. Ann. Rev. Plant Physiol. 1966, 17, 245–268. [Google Scholar] [CrossRef]
- Gornall, J.; Betts, R.; Burke, E.; Clark, R.; Camp, J.; Willett, K.; Wiltshire, A. Implications of climate change for agricultural productivity in the early twenty-first century. Philos. Trans. R. Soc. 2010, 365, 2973. [Google Scholar] [CrossRef] [PubMed]
- Schmidhuber, J.; Tubiello, F.N. Global food security under climate change. Proc. Natl. Acad. Sci. USA 2007, 50, 19703–19708. [Google Scholar] [CrossRef] [PubMed] [Green Version]
- Zhao, J.; Guo, J. Multidecadal changes in moisture condition during climatic growing period of crops in Northeast China. Phys. Chem. Earth Parts A/B/C 2015, 87–88, 28–42. [Google Scholar] [CrossRef]
- Liu, Y.; Zhang, J.; Qin, Y. How global warming alters future maize yield and water use efficiency in China. Technol. Forecast. Soc. Chang. 2020, 160, 120229. [Google Scholar] [CrossRef]
- Zou, Y.; Saddique, Q.; Ali, A.; Xu, J.; Khan, M.I.; Qing, M.; Azmat, M.; Cai, H.; Siddique, K.H. Deficit irrigation improves maize yield and water use efficiency in a semi-arid environment. Agric. Water Manag. 2021, 243, 106483. [Google Scholar] [CrossRef]
- Attia, A.; El-Hendawy, S.; Al-Suhaibani, N.; Alotaibi, M.; Tahir, M.U.; Kamal, K.Y. Evaluating deficit irrigation scheduling strategies to improve yield and water productivity of maize in arid environment using simulation. Agric. Water Manag. 2021, 249, 106812. [Google Scholar] [CrossRef]
- Zhang, F.; Chen, Y.; Zhang, J.; Guo, E.; Wang, R.; Li, D. Dynamic drought risk assessment for maize based on crop simulation model and multi-source drought indices. J. Clean. Prod. 2019, 233, 100–114. [Google Scholar] [CrossRef]
- Guo, E.; Liu, X.; Zhang, J.; Wang, Y.; Wang, C.; Wang, R.; Li, D. Assessing spatiotemporal variation of drought and its impact on maize yield in Northeast China. J. Hydrol. 2017, 553, 231–247. [Google Scholar] [CrossRef]
- Norwood, C.A. Water use and yield of limited-irrigated and dryland corn. Soil Sci. Soc. Am. J. 2000, 64, 365–370. [Google Scholar] [CrossRef]
- Meinshausen, M.; Smith, S.J.; Calvin, K.; Daniel, J.S.; Kainuma, M.L.T.; Lamarque, J.-F.; Matsumoto, K.; Montzka, S.A.; Raper, S.C.B.; Riahi, K.; et al. The RCP greenhouse gas concentrations and their extensions from 1765 to 2300. Clim. Chang. 2011, 109, 213. [Google Scholar] [CrossRef] [Green Version]
- Taylor, K.E.; Stouffer, R.J.; Meehl, G.A. An overview of CMIP5 and the experiment design. Bull. Am. Meteorol. Soc. 2012, 93, 485–498. [Google Scholar] [CrossRef] [Green Version]
- Taylor, K.E. Summarizing multiple aspects of model performance in a single diagram. J. Geophys. Res. 2001, 106, 7183–7192. [Google Scholar] [CrossRef]
- Wang, R.; Zhang, J.; Guo, E.; Li, D.; Si, H.; Si, A. Spatiotemporal characteristics of drought and waterlogging during maize growing season in midwestern Jilin province for recent 55 years. J. Nat. Disasters 2018, 27, 186–197. [Google Scholar] [CrossRef]
- Kang, S.; Cai, H. Agricultural Water Management Science; China Agricultural Press: Beijing, China, 1996. (In Chinese) [Google Scholar]
- Döll, P.; Siebert, S. Global modeling of irrigation water requirements. Water Resour. Res. 2002, 38, 1037. [Google Scholar] [CrossRef]
- Patwardhan, A.S.; Nieber, J.L.; Johns, E.L. Effective Rainfall Estimation Methods. J. Irrig. Drain. Eng. 1990, 116, 182–193. [Google Scholar] [CrossRef]
- Shen, Y.; Li, S.; Chen, Y.; Qi, Y.; Zhang, S. Estimation of regional irrigation water requirement and water supply risk in the arid region of Northwestern China 1989–2010. Agric. Water Manag. 2013, 128, 55–64. [Google Scholar] [CrossRef]
- Zhang, Y.; Wang, Y.; Niu, H. Effects of temperature, precipitation and carbon dioxide concentrations on the requirements for crop irrigation water in China under future climate scenarios. Sci. Total Environ. 2019, 656, 373–387. [Google Scholar] [CrossRef]
- Lobell, D.B.; Asner, G.P. Climate and management contributions to recent trends in U.S. Agric. Yields Sci. 2003, 299, 1032. [Google Scholar] [CrossRef]
- Mitra, S.; Srivastava, P. Spatiotemporal variability of meteorological droughts in southeastern USA. Nat. Hazards 2017, 86, 1007–1038. [Google Scholar] [CrossRef]
- Mann, H.B. Nonparametric tests against trend. Econometrica 1945, 13, 245–259. [Google Scholar] [CrossRef]
- Kendall, M.G. Rank Correlation Methods; Hafner: New York, NY, USA, 1962. [Google Scholar]
- Song, Z.; Guo, J.; Zhang, Z.; Kou, K.; Deng, A.; Zheng, C.; Ren, J.; Zhang, W. Impacts of planting systems on soil moisture, soil temperature and corn yield in rainfed area of Northeast China. Eur. J. Agron. 2013, 50, 66–74. [Google Scholar] [CrossRef]
- Wu, J.; He, B.; Lü, A.; Zhou, L.; Liu, M.; Zhao, L. Quantitative assessment and spatial characteristics analysis of agricultural drought vulnerability in China. Nat. Hazards 2011, 56, 785–801. [Google Scholar] [CrossRef]
- Karl, T.R.; Knight, R.W. Secular Trends of Precipitation Amount, Frequency, and Intensity in the United States. Bull. Am. Meteorol. Soc. 1998, 79, 231–241. [Google Scholar] [CrossRef]
- Mitchell, J.C.; Petolino, J.F. Heat Stress Effects on Isolated Reproductive Organs of Maize. J. Plant Physiol. 1988, 133, 625–628. [Google Scholar] [CrossRef]
- Schlenker, W.; Roberts, M.J. Nonlinear temperature effects indicate severe damages to U.S. crop yields under climate change. Proc. Natl. Acad. Sci. USA 2009, 106, 15594–15598. [Google Scholar] [CrossRef] [Green Version]
- Wan, W.; Liu, Z.; Li, K.; Wang, G.; Wu, H.; Wang, Q. Drought monitoring of the maize planting areas in Northeast and North China Plain. Agric. Water Manag. 2021, 245, 106636. [Google Scholar] [CrossRef]
- Cakir, R. Effect of water stress at different development stages on vegetative and reproductive growth of cron. Field Crops Res. 2004, 89, 1–16. [Google Scholar] [CrossRef]
- Abrecht, D.G.; Carberry, P.S. The influence of water deficit prior to tassel initiation on maize growth, development and yield. Field Crops Res. 1993, 31, 55–69. [Google Scholar] [CrossRef]
- Liu, Y.; Yang, H.; Li, J.; Li, Y.; Yan, H. Estimation of irrigation requirements for drip-irrigated maize in a sub-humid climate. J. Integ. Agric. 2018, 17, 677–692. [Google Scholar] [CrossRef]
- Yu, Z.; Li, X. Recent trends in daily temperature extremes over northeastern China (1960–2011). Quatern. Int. 2015, 380, 35–48. [Google Scholar] [CrossRef]
- Ma, A.; Dan, L.; Yuewen, H.U. The extreme dry/wet events in northern China during recent 100 years. J. Geogr. Sci. 2004, 14, 275–281. [Google Scholar] [CrossRef]
- Leng, G.Y.; Tang, Q.H. Modeling the impacts of future climate change on irrigation over China: Sensitivity to adjusted projections. J. Hydrometeorol. 2014, 15, 2085–2103. [Google Scholar] [CrossRef]
- Turral, H.; Svendsen, M.; Faures, J.M. Investing in irrigation: Reviewing the past and looking to the future. Agric. Water Manag. 2010, 97, 551–560. [Google Scholar] [CrossRef]












| Indicator | Low | Middle | High |
|---|---|---|---|
| Yield reduction rate (r) | r ≤ 2.89 | 2.89 < r ≤ 4.11 | r ≥ 4.11 |
| Yield reduction coefficient of variation (v) | v ≤ 1.34 | 1.34 < v ≤1.51 | v ≥ 1.51 |
| Grade | Sowing-Jointing | Jointing-Tasseling | Tasseling-Milk-Ripe | Milk-Ripe-Maturity |
|---|---|---|---|---|
| Normal | CWDI ≤ 50 | CWDI ≤ 35 | CWDI ≤ 35 | CWDI ≤ 50 |
| Mild | 50 < CWDI ≤ 65 | 35 < CWDI ≤ 50 | 35 < CWDI ≤ 45 | 50 < CWDI≤60 |
| Moderate | 65 < CWDI ≤ 75 | 50 < CWDI ≤ 60 | 45 < CWDI ≤ 55 | 60 < CWDI ≤ 70 |
| Severe | 75 < CWDI ≤ 85 | 60 < CWDI ≤ 70 | 55 < CWDI ≤ 65 | 70 < CWDI ≤ 80 |
| Extreme | CWDI > 85 | CWDI > 70 | CWDI > 65 | CWDI > 80 |
| Station | Meteorological Yield Reduction Rate (r) | Meteorological Yield Reduction Coefficient of Variation (v) | ||||
|---|---|---|---|---|---|---|
| Current | RCP 4.5 | RCP 8.5 | Current | RCP 4.5 | RCP 8.5 | |
| Baicheng | 7.24 | 5.08 | 3.50 | 1.59 | 1.69 | 1.31 |
| Daan | 9.36 | 2.23 | 3.45 | 1.46 | 1.95 | 1.74 |
| Qianan | 11.58 | 4.51 | 6.18 | 1.49 | 0.66 | 0.91 |
| Qianguo | 2.8 | 2.94 | 3.15 | 1.36 | 1.83 | 1.73 |
| Tongyu | 7.92 | 4.33 | 2.72 | 1.73 | 1.72 | 1.48 |
| Changling | 7.81 | 3.26 | 7.25 | 1.49 | 1.29 | 0.95 |
| Fuyu | 9.42 | 2.79 | 5.13 | 1.78 | 0.91 | 1.05 |
| Nongan | 3.73 | 1.3 | 3.47 | 1.66 | 1.33 | 0.94 |
| Shuangliao | 14.7 | 5.27 | 2.77 | 1.53 | 0.58 | 0.35 |
| Siping | 9.96 | 1.99 | 8.82 | 1.45 | 0.72 | 0.63 |
| Changchun | 19.53 | 6.74 | 4.94 | 1.21 | 1.21 | 0.86 |
| Shuangyang | 18.15 | 5.29 | 2.38 | 1.48 | 0.97 | 1.13 |
Publisher’s Note: MDPI stays neutral with regard to jurisdictional claims in published maps and institutional affiliations. |
© 2021 by the authors. Licensee MDPI, Basel, Switzerland. This article is an open access article distributed under the terms and conditions of the Creative Commons Attribution (CC BY) license (https://creativecommons.org/licenses/by/4.0/).
Share and Cite
Ma, Y.; Zhang, J.; Zhao, C.; Li, K.; Dong, S.; Liu, X.; Tong, Z. Spatiotemporal Variation of Water Supply and Demand Balance under Drought Risk and Its Relationship with Maize Yield: A Case Study in Midwestern Jilin Province, China. Water 2021, 13, 2490. https://doi.org/10.3390/w13182490
Ma Y, Zhang J, Zhao C, Li K, Dong S, Liu X, Tong Z. Spatiotemporal Variation of Water Supply and Demand Balance under Drought Risk and Its Relationship with Maize Yield: A Case Study in Midwestern Jilin Province, China. Water. 2021; 13(18):2490. https://doi.org/10.3390/w13182490
Chicago/Turabian StyleMa, Yining, Jiquan Zhang, Chunli Zhao, Kaiwei Li, Shuna Dong, Xingpeng Liu, and Zhijun Tong. 2021. "Spatiotemporal Variation of Water Supply and Demand Balance under Drought Risk and Its Relationship with Maize Yield: A Case Study in Midwestern Jilin Province, China" Water 13, no. 18: 2490. https://doi.org/10.3390/w13182490
APA StyleMa, Y., Zhang, J., Zhao, C., Li, K., Dong, S., Liu, X., & Tong, Z. (2021). Spatiotemporal Variation of Water Supply and Demand Balance under Drought Risk and Its Relationship with Maize Yield: A Case Study in Midwestern Jilin Province, China. Water, 13(18), 2490. https://doi.org/10.3390/w13182490
