Different Mercury Species Partitioning and Distribution in the Water and Sediment of a Eutrophic Estuary in Northern Taiwan
Abstract
1. Introduction
2. Sampling and Methods
2.1. Study Area
2.2. Sampling
2.3. Analysis
3. Results
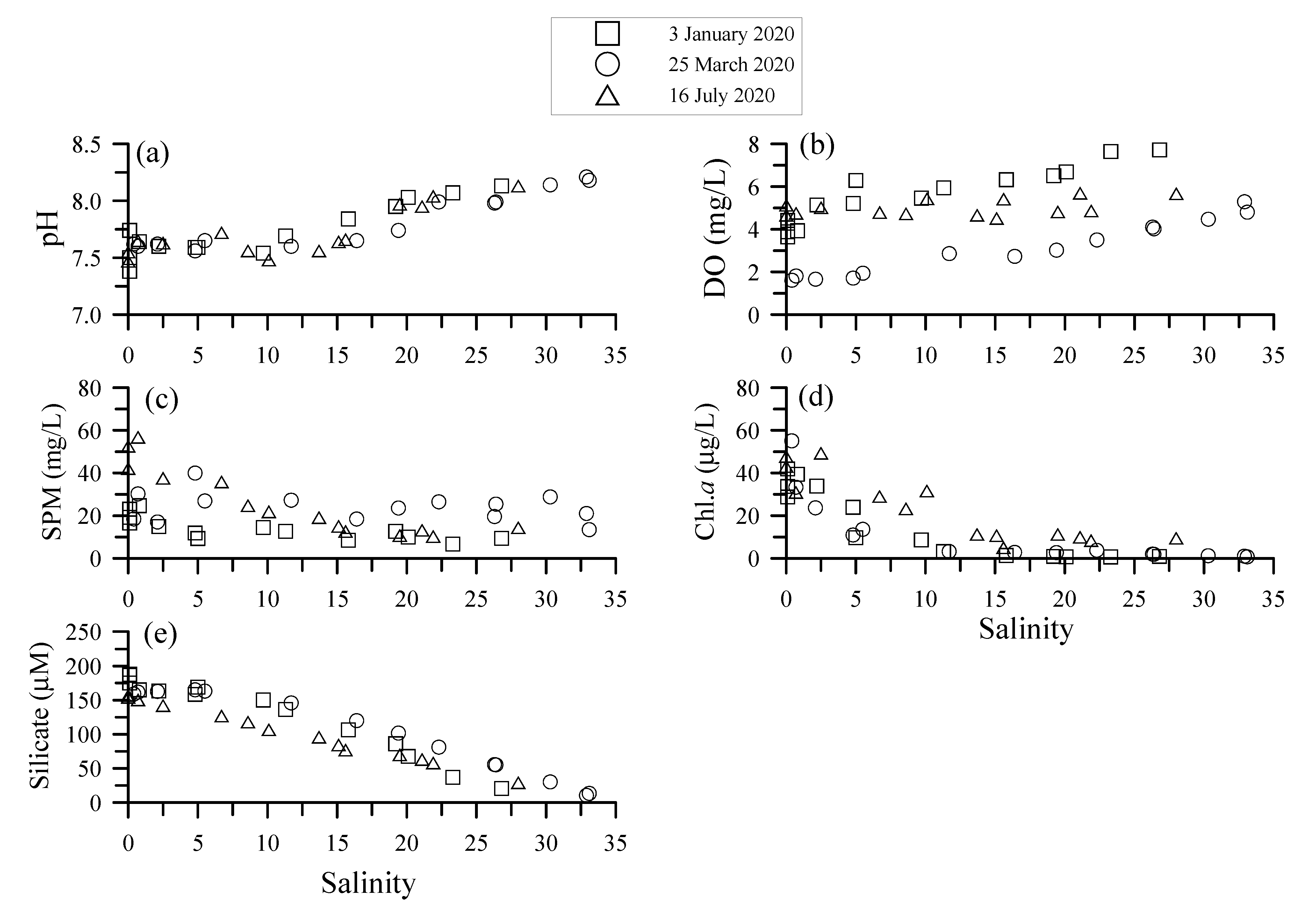
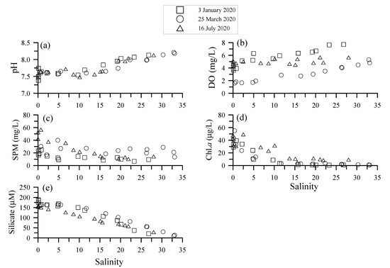
3.1. pH, DO, SPM, Chl.a, Silicate
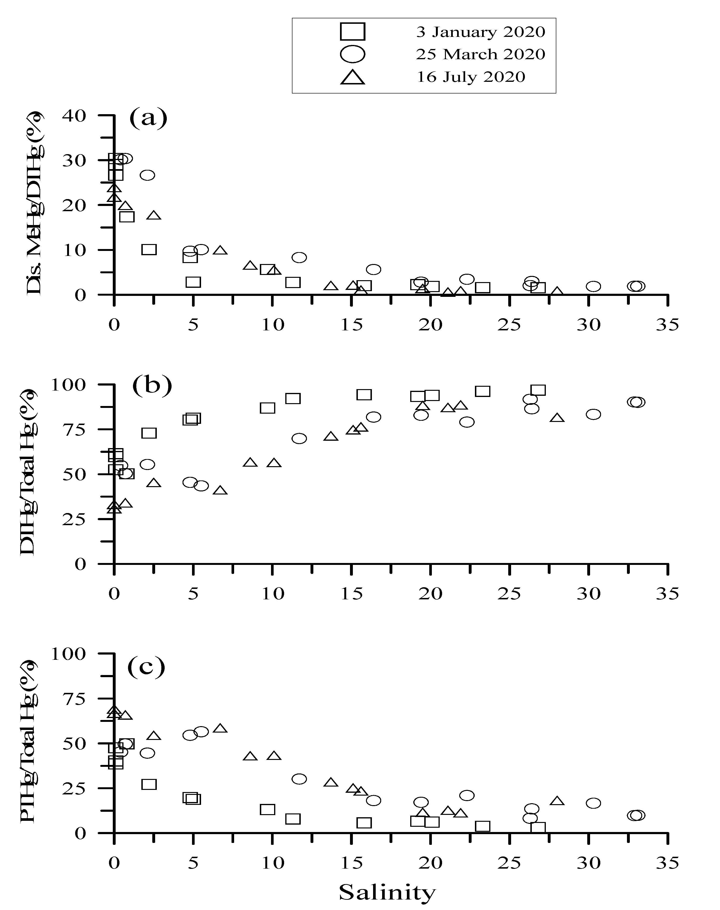
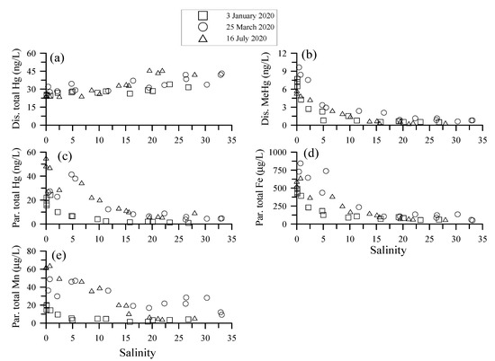
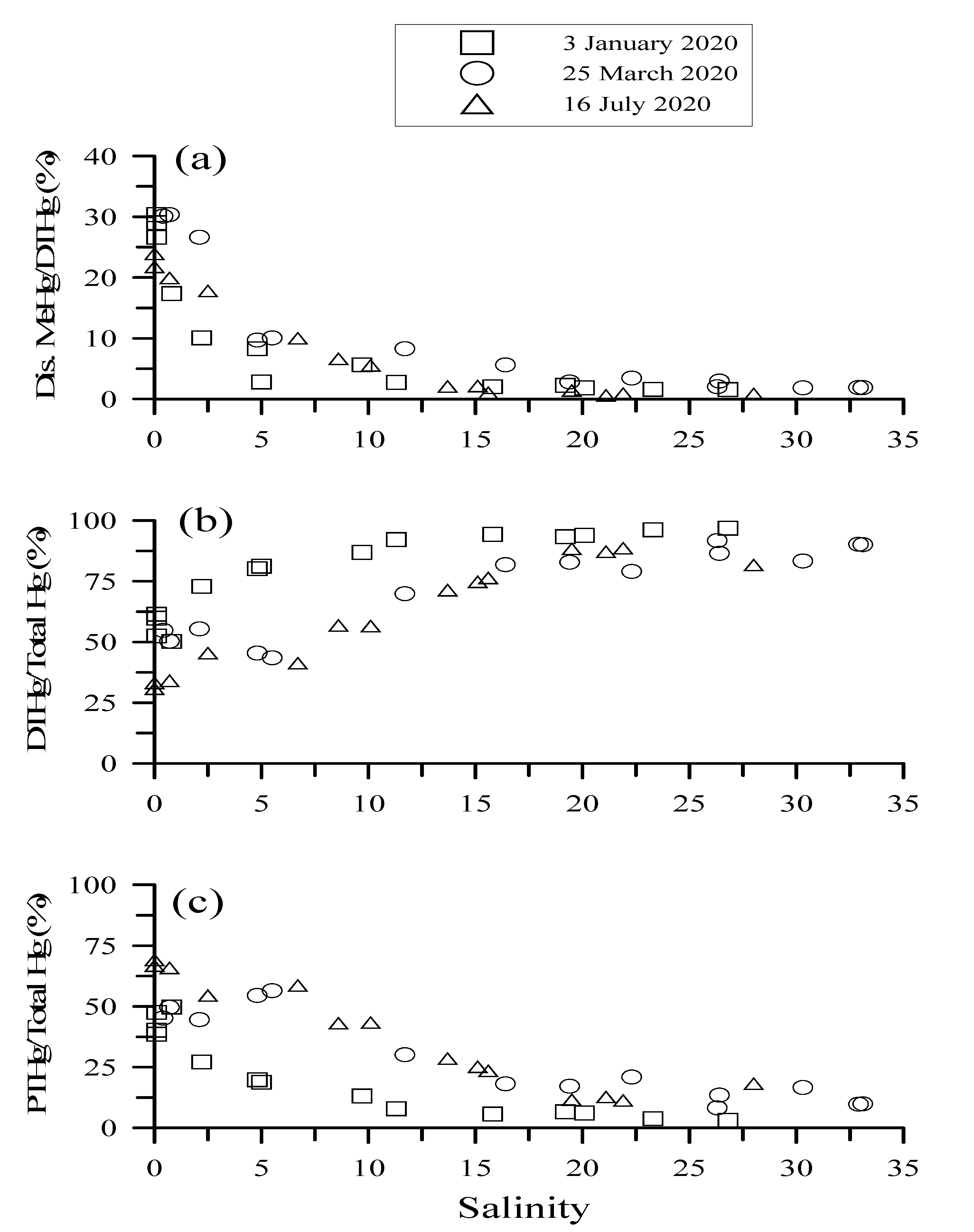
3.2. Dissolved Hg and Particulate Hg, Fe and Mn
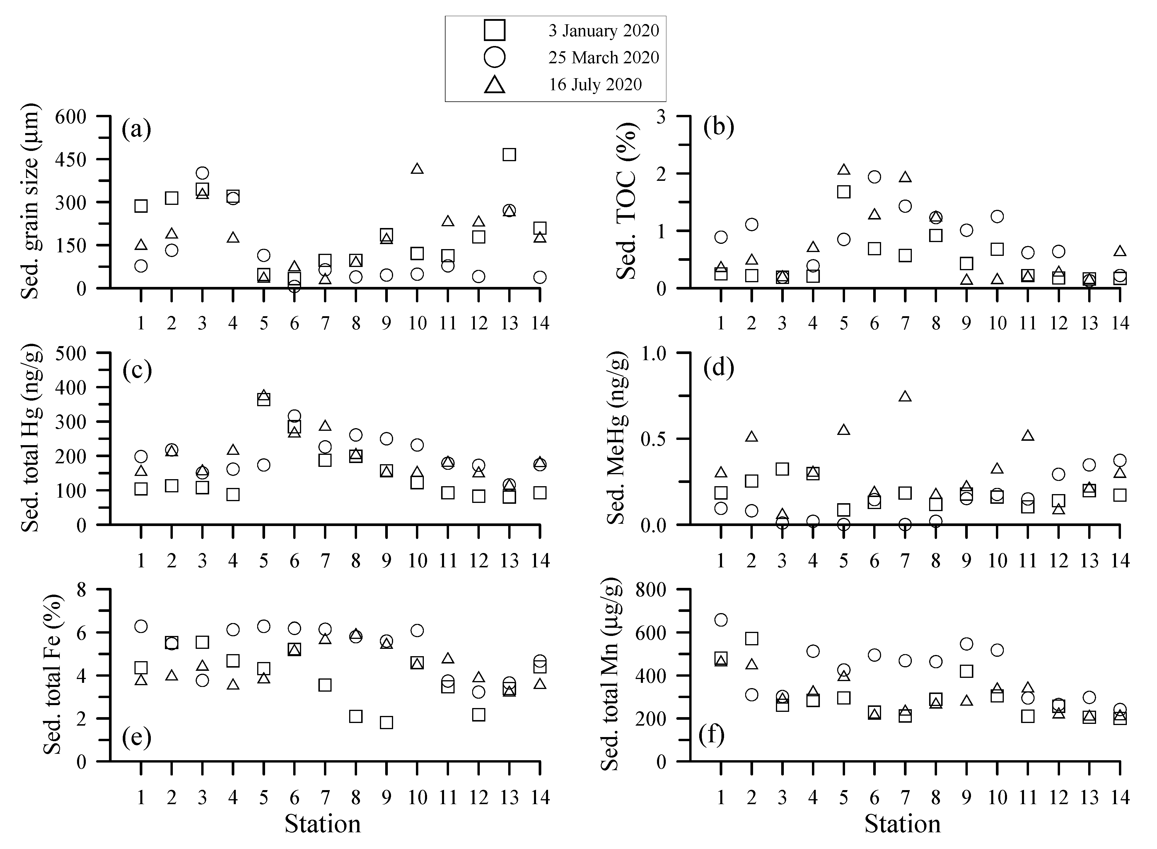
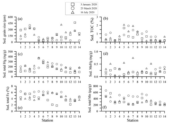
3.3. Sediment Grain Sizes and TOC
3.4. Hg, Fe and Mn in Surface Sediment
4. Discussion
4.1. Hg, Fe and Mn in Water
4.2. Hg, Fe and Mn in Surface Sediment
5. Conclusions
Supplementary Materials
Author Contributions
Funding
Institutional Review Board Statement
Informed Consent Statement
Data Availability Statement
Acknowledgments
Conflicts of Interest
References
- Kennish, M. Practical Handbook of Estuarine and Marine Pollution; CRC Press: Boca Raton, FL, USA, 1999. [Google Scholar]
- Fitzgerald, W.F.; Lamborg, C.H.; Hammerschmidt, C.R. Marine Biogeochemical Cycling of Mercury. Chem. Rev. 2007, 107, 641–662. [Google Scholar] [CrossRef]
- Gworek, B.; Bemowska-Kalabun, O.; Kijenska, M.; Wrzosek-Jakubowska, J. Mercury in marine and oceanic waters—A review. Water Air Soil Pollut. 2016, 227, 371. [Google Scholar] [CrossRef]
- Tomiyasu, T.; Matsuyama, A.; Eguchi, T.; Fuchigami, Y.; Oki, K.; Horvat, M.; Rajar, R.; Akagi, H. Spatial variations of mercury in sediment of Minamata Bay, Japan. Sci. Total Environ. 2006, 368, 283–290. [Google Scholar] [CrossRef]
- Neff, J.M. Bioaccumulation in Marine Organisms: Effect of Contaminants from Oil Well Produced Water; Elsevier: Amsterdam, The Netherlands, 2002. [Google Scholar]
- Heyes, A.; Miller, C.; Mason, R. Mercury and methylmercury in Hudson River sediment: Impact of tidal resuspension on partitioning and methylation. Mar. Chem. 2004, 90, 75–89. [Google Scholar] [CrossRef]
- Muresan, B.; Cossa, D.; Jezequel, D.; Prevot, F.; Kerbellec, S. The biogeochemistry of mercury at the sediment-water interface in the Thau lagoon. 1. Partition and speciation. Estuar. Coast. Shelf Sci. 2007, 72, 472–484. [Google Scholar] [CrossRef]
- Sharif, A.; Monperrus, M.; Tessier, E.; Bouchet, S.; Pinaly, H.; Rodriguez-Gonzalez, P.; Maron, P.; Amouroux, D. Fate of mercury species in the coastal plume of the Adour River estuary (Bay of Biscay, SW France). Sci. Total Environ. 2014, 496, 701–713. [Google Scholar] [CrossRef] [PubMed]
- Balcom, P.H.; Schartup, A.T.; Mason, R.P.; Chen, C.Y. Sources of water column methylmercury across multiple estuaries in the Northeast U.S. Mar. Chem. 2015, 177, 721–730. [Google Scholar] [CrossRef] [PubMed]
- Gosnell, K.; Balcom, P.; Ortiz, V.; DiMento, B.; Schartup, A.; Greene, R.; Mason, R. Seasonal Cycling and Transport of Mercury and Methylmercury in the Turbidity Maximum of the Delaware Estuary. Aquat. Geochem. 2016, 22, 313–336. [Google Scholar] [CrossRef]
- Cesario, R.; Mota, A.M.; Caetano, M.; Nogueira, M.; Canario, J. Mercury and methylmercury transport and fate in the water column of Tagus estuary (Portugal). Mar. Pollut. Bull. 2018, 127, 235–250. [Google Scholar] [CrossRef] [PubMed]
- Ullrich, S.M.; Tanton, T.W.; Abdrashitova, S.A. Mercury in the aquatic environment: A review of factors affecting methylation. Crit. Rev. Environ. Sci. Technol. 2001, 31, 241–293. [Google Scholar] [CrossRef]
- Amyot, M.; Gill, G.A.; Morel, F.M.M. Production and loss of dissolved gaseous mercury in coastal seawater. Environ. Sci. Technol. 1997, 31, 3606–3611. [Google Scholar] [CrossRef]
- Conaway, C.H.; Squire, S.; Mason, R.P.; Flegal, A.R. Mercury speciation in the San Francisco Bay estuary. Mar. Chem. 2003, 80, 199–225. [Google Scholar] [CrossRef]
- Ramalhosa, E.; Pereira, E.; Vale, C.; Valega, M.; Monterroso, P.; Duarte, A.C. Mercury distribution in Douro estuary (Portugal). Mar. Pollut. Bull. 2005, 50, 1218–1222. [Google Scholar] [CrossRef] [PubMed][Green Version]
- Balcom, P.H.; Hammerschmidt, C.R.; Fitzgerald, W.F.; Lamborg, C.H.; O’Connor, J.S. Seasonal distributions and cycling of mercury and methylmercury in the waters of New York/New Jersey Harbor Estuary. Mar. Chem. 2008, 109, 1–17. [Google Scholar] [CrossRef]
- Grassi, S.; Netti, R. Sea water intrusion and mercury pollution of some coastal aquifers in the province of Grosseto (Southern Tuscany, Italy). J. Hydrol. 2000, 237, 198–211. [Google Scholar] [CrossRef]
- Turner, A.; Millward, G.E.; Le Roux, S.M. Sediment-water partitioning of inorganic mercury in estuaries. Environ. Sci. Technol. 2001, 35, 4648–4654. [Google Scholar] [CrossRef]
- Stumm, W.; Morgan, J.J. Aquatic Chemistry, 3rd ed.; A Wiley-Interscience Publication: Hoboken, NJ, USA, 1996. [Google Scholar]
- Ravichandran, M. Interactions between mercury and dissolved organic matter- a review. Chemosphere 2004, 55, 319–331. [Google Scholar] [CrossRef] [PubMed]
- Merrit, K.A.; Amirbahman, A. Mercury methylation dynamics in estuarine and coastal marine environment–A critical review. Earth-Sci. Rev. 2009, 96, 54–66. [Google Scholar] [CrossRef]
- Jonsson, S.; Skyllberg, U.; Nilsson, M.B.; Lundberg, E.; Andersson, A.; Bjorn, E. Differentiated availability of geochemical mercury pools controls methylmercury levels in estuarine sediment and biota. Nat. Commun. 2014, 5, 4624–4633. [Google Scholar] [CrossRef] [PubMed]
- Hsu-Kim, H.; Kucharzyk, K.H.; Zhang, T.; Deshusses, M.A. Mechanisms Regulating Mercury Bioavailability for Methylating Microorganisms in the Aquatic Environment: A Critical Review. Environ. Sci. Technol. 2013, 47, 2441–2456. [Google Scholar] [CrossRef]
- Lee, C.S.; Fisher, N.S. Methylmercury uptake by diverse marine phytoplankton. Limnol. Oceanogr. 2016, 61, 1626–1639. [Google Scholar] [CrossRef]
- Schartup, A.; Qureshi, A.; Dassuncao, C.; Thackray, C.P.; Harding, G.; Sunderland, E.M. A model for methylmercury uptake and trophic transfer by marine plankton. Environ. Sci. Technol. 2018, 52, 654–662. [Google Scholar] [CrossRef] [PubMed]
- Stoichev, T.; Amouroux, D.; Monperrus, M.; Point, D.; Tessier, E.; Bareille, G.; Donard, O.F.X. Merecury in surface waters of a macrotidal urban estuary (River Adour, south-west France). Chem. Ecol. 2006, 22, 137–148. [Google Scholar] [CrossRef]
- Luengen1, A.C.; Flegal, A.R. Role of phytoplankton in mercury cycling in the San Francisco Bay estuary. Limnol. Oceanogr. 2009, 54, 23–40. [Google Scholar] [CrossRef]
- Heimburger, L.E.; Cossa, D.; Marty, J.C.; Migon, C.; Averty, B.; Dufour, A.; Ras, J. Methyl mercury distributions in relation to the presence of nano- and picophytoplankton in an oceanic water column (Ligurian Sea, North-western Mediterranean). Geochim. Cosmochim. Acta 2010, 74, 5549–5559. [Google Scholar] [CrossRef]
- Faucheur, S.L.; Campbell, P.G.C.; Fortin, C.; Slaveykova, V.I. Interactions between mercury and phytoplankton: Speciation, bioavailability, and internal handling. Environ. Toxicol. Chem. 2014, 33, 1211–1224. [Google Scholar] [CrossRef]
- Jiann, K.T.; Wen, L.S.; Santschi, P.H. Trace metal (Cd, Cu, Ni and Pb) partitioning, affinities and removal in the Danshuei River estuary, a macro-tidal, temporally anoxic estuary in Taiwan. Mar. Chem. 2005, 96, 293–313. [Google Scholar] [CrossRef]
- Wen, L.S.; Jiann, K.T.; Liu, K.K. Seasonal variation and flux of dissolved nutrients in the Danshuei Estuary, Taiwan: A hypoxic subtropical mountain river. Estuar. Coast. Shelf Sci. 2008, 78, 694–704. [Google Scholar] [CrossRef]
- Fang, T.H.; Wang, C.W. Dissolved and particulate phosphorus species partitioning and distribution in the Danshuei River Estuary, Northern Taiwan. Mar. Pollut. Bull. 2020, 151, 110839. [Google Scholar] [CrossRef] [PubMed]
- Fang, T.H.; Chen, W.H. Dissolved and particulate nitrogen species partitioning and distribution in the Danshuei River Estuary, Northern Taiwan. Mar. Pollut. Bull. 2021, 164, 111981. [Google Scholar] [CrossRef]
- Gbondo-Tugbawa, S.S.; McAlear, J.A.; Driscoll, C.T.; Sharpe, C.W. Total and methyl mercury transformations and mass loadings within a wastewater treatment plant and the impact of the effluent discharge to an alkaline hypereutrophic lake. Water Res. 2010, 44, 2863–2875. [Google Scholar] [CrossRef] [PubMed]
- Liu, M.; Du, P.; Yu, C.; He, Y.; Zhang, H.; Sun, X.; Lin, H.; Luo, Y.; Xie, H.; Guo, J.; et al. Increases of total mercury and methylmercury releases from municipal sewage into environment in China and implications. Environ. Sci. Technol. 2018, 52, 124–134. [Google Scholar] [CrossRef] [PubMed]
- Ramond, J.; Petit, F.; Quilet, L.; Quddane, B.; Berthe, T. Evidence of methylmercury production and modification of the microbial community structure in estuary sediments contaminated with wastewater treatment plant effluents. Mar. Pollut. Bull. 2011, 62, 1073–1080. [Google Scholar] [CrossRef]
- Lu, T.H. Temporal and Spatial Variations of Hg in Sediments of the Danshuei Watershed and Adjacent Coastal Area, Taiwan. Master’s Thesis, National Taiwan Normal University, Taiwan, 2013. [Google Scholar]
- Liu, W.C.; Chen, W.B.; Kuo, J.T.; Wu, C. Numerical determination of residence time and age in a partially mixed estuary using three-dimensional hydrodynamic model. Cont. Shelf Res. 2008, 28, 1068–1088. [Google Scholar] [CrossRef]
- PWD, Public Works Department, Taipei City Government. Available online: https://www.sso.gov.taipei/News.aspx?n=AACA1DD3515C73D7&sms=C4B1D81C0A0892E0 (accessed on 27 August 2021).
- Fang, T.H.; Lin, C.L. Dissolved and particulate trace metals and their partitioning in a hypoxic estuary: The Tanshui Estuary in northern Taiwan. Estuaries 2002, 25, 598–607. [Google Scholar] [CrossRef]
- Pai, S.C.; Gong, G.C.; Liu, K.K. Determination of dissolved oxygen in seawater by direct spectrophotometry of total iodine. Mar. Chem. 1993, 41, 343–351. [Google Scholar] [CrossRef]
- Strickland, J.D.; Parsons, T.R. A Practical Handbook of Seawater Analysis; Fisheries Research Board of Canada: Ottawa, ON, Canada, 1972. [Google Scholar]
- Grasshoff, K.; Kremling, K.; Ehrhardt, M. Methods of Seawater Analysis, 2nd ed.; John Wiley & Sons: Hoboken, NJ, USA, 2009. [Google Scholar]
- Environmental Protection Agency. Method 1631, Revision E: Mercury in Water by Oxidation, Purge and Trap, and Cold Vapor Atomic Fluorescence Spectrometry. 2002. Available online: https://www.epa.gov/cwa-methods/approved-cwa-test-methods-metals (accessed on 27 August 2021).
- Environmental Protection Agency. Method 1630. Methyl Mercury in Water by Distillation, Aqueous Ethylation, Purge and Trap, and Cold Vapor Atomic Fluorescence Spectrometry. Available online: https://www.epa.gov/cwa-methods/other-clean-water-act-test-methods-chemical (accessed on 27 August 2021).
- Environmental Protection Agency. Method 7474. Mercury in Sediment and Tissue Samples by Atomic Fluorescence Spectrometry. 2007. Available online: https://www.epa.gov/hw-sw846/sw-846-test-method-7474-mercury-sediment-tissue-samples-atomic-fluorescene (accessed on 27 August 2021).
- Shi, J.; Liang, L.; Jiang, G.; Jin, X. The speciation and bioavailability of mercury in sediments of Haihe River, China. Environ. Int. 2005, 31, 357–365. [Google Scholar] [CrossRef] [PubMed]
- Fang, T.H.; Chen, R.Y. Mercury contamination and accumulation in sediments of the East China Sea. J. Environ. Sci. 2010, 22, 1–7. [Google Scholar] [CrossRef]
- Hintelmann, H. Comprison of different extraction techniques used for methylmercury analysis with respect to accidental formation of methylmercury during sample preparation. Chemosphere 1999, 39, 1093–1105. [Google Scholar] [CrossRef]
- Fang, T.H.; Hong, E. Mechanisms influencing the spatial distribution of trace metals in surficial sediments off the south-western Taiwan. Mar. Pollut. Bull. 1999, 38, 1026–1037. [Google Scholar] [CrossRef]
- Folk, R. Petrology of Sedimentary Rocks; Hamphill’s: Austin, TX, USA, 1974. [Google Scholar]
- Wang, S.; Jia, Y.; Wang, S.; Wang, X.; Wang, H.; Zhao, Z.; Liu, B. Total mercury and monomethylmercury in water, sediments, and hydrophytes from the rivers, estuary, and bay along the Bohai Sea coast, northeastern China. Appl. Geochem. 2009, 24, 1702–1711. [Google Scholar] [CrossRef]
- Liu, J.; Feng, X.; Zhang, X.; Yin, R. Spatial distribution and speciation of mercury and methyl mercury in the surface waters of East River (Dongjiang) tributry of Pearl River Delta, South China. Environ. Sci. Pollut. Res. 2012, 19, 105–112. [Google Scholar] [CrossRef]
- Leermakers, M.; Galletti, S.; De Galan, N.; Brion, W.; Baeyens, W. Mercury in the Southern North Sea and Scheldt estuary. Mar. Chem. 2001, 75, 229–248. [Google Scholar] [CrossRef]
- Bartkic, A.; Ogrinc, N.; Kotnik, J.; Faganeli, J.; Zagar, D.; Yano, S.; Tada, A.; Horvat, M. Mercury speciation driven by seasonal changes in a contaminated estuarine environment. Environ. Res. 2013, 125, 171–178. [Google Scholar] [CrossRef] [PubMed]
- Covelli, S.; Acquavita, A.; Piani, R.; Predonzani, S.; De Vittor, C. Recent contamination of mercury in an estuarine environment (Marano lagoon, Northern Adriatic, Italy). Estuar. Coast. Shelf Sci. 2009, 82, 273–284. [Google Scholar] [CrossRef]
- Cardoso, P.G.; D’Ambrosio, M.; Marques, S.C.; Azeiteiro, U.M.; Coelho, J.P.; Pereira, E. The effects of mercury on the dynamics of the peracarida community in a temperate coastal lagoon (Ria de Aveiro, Portugal). Mar. Pollut. Bull. 2013, 72, 188–196. [Google Scholar] [CrossRef]
- Chen, C.Y.; Folt, C.L. High plankton densities reduce mercury biomagnification. Environ. Sci. Technol. 2005, 39, 115–121. [Google Scholar] [CrossRef]
- Hammerschmidt, C.R.; Finiguerra, M.B.; Weller, R.L.; Fitzgerald, W.F. Methylmercury accumulation in plankton on the continental margin of the Northwest Atlantic Ocean. Environ. Sci. Technol. 2013, 47, 3671–3677. [Google Scholar] [CrossRef]
- Soerensen, A.L.; Schartup, A.T.; Gustafsson, E.; Gustafsson, B.G.; Undeman, E.; Bjorn, E. Eutrophication increase phytoplankton methylmercury concentrations in a coastal sea–A Baltic Sea case study. Environ. Sci. Technol. 2016, 50, 11787–11796. [Google Scholar] [CrossRef]
- Gosnell, K.; Balcom, P.H.; Tobias, C.R.; Gilhooly, W.P., III; Mason, R.P. Spatial and temporal trophic transfer dynamics of mercury and methylmercury into zooplankton and phytoplankton of Long Island Sound. Limnol. Oceanogr. 2017, 62, 1122–1138. [Google Scholar] [CrossRef]
- Chen, C.Y.; Buckman, K.L.; Shaw, A.; Curtis, A.; Taylor, M.; Montesdeoca, M.; Driscoll, C. The influence of nutrient loading on methylmercury availability in Long Island estuaries. Environ. Pollut. 2021, 268, 115510. [Google Scholar] [CrossRef]
- Monperrus, M.; Tessier, E.; Amouroux, D.; Leynaert, A.; Huonnic, P.; Donard, O.F.X. Mercury methylation, demethylation and reduction rates in coastal and marine surface waters of the Mediterranean Sea. Mar. Chem. 2007, 107, 49–63. [Google Scholar] [CrossRef]
- Cossa, D.; Averty, B.; Pirronec, N. The origin of methylmercury in open Mediterranean waters. Limnol. Oceanogr. 2009, 54, 837–844. [Google Scholar] [CrossRef]
- Hammerschmidt, C.R.; Bowman, K. Vertical methylmercury distribution in the subtropical North Pacific Ocean. Mar. Chem. 2012, 132–133, 77–82. [Google Scholar] [CrossRef]
- Benoit, G.; Rozan, T.F. The influence of size distribution on the particle concentration effect and trace metal partitioning in rivers. Geochim.Cosmochim. Acta 1999, 63, 113–127. [Google Scholar] [CrossRef]
- Li, Y.H.; Burkhardt, L.; Buchholtz, M.; O’Hara, P.; Santschi, P.H. Partition of radiotracers between suspended particles and seawater. Geochim.Cosmochim. Acta 1984, 48, 2011–2019. [Google Scholar] [CrossRef]
- Lawson, N.; Mason, R.P.; Laporte, J.M. The fate and transport of mercury, methylmercury, and other trace metals in Chesapeake tributaries. Water Res. 2001, 35, 501–515. [Google Scholar] [CrossRef]
- Stordal, M.C.; Gill, G.A.; Wen, L.S.; Santschi, P.H. Mercury phase speciation in the surface waters of three Texas estuaries: Importance of colloidal forms. Limnol. Oceanogr. 1996, 41, 52–61. [Google Scholar] [CrossRef]
- Daye, M.; Kadlecova, M.; Wuddane, B. Biogeochemical factors affecting the distribution, speciation, and transport of Hg species in the Deule and Lys Rivers (Northern France). Environ. Sci. Pollut. Res. 2015, 22, 2708–2720. [Google Scholar] [CrossRef] [PubMed]
- Comans, R.N.J.; van Dijk, C.P.J. Role of complexation processes in cadmium mobilization during estuarine mixing. Nature 1988, 336, 151–154. [Google Scholar] [CrossRef]
- Benoit, J.M.; Mason, R.P.; Gilmour, C.C.; Aiken, G.R. Constants for mercury binding by dissolved organic matter isolated from the Florida Everglades. Geochim. Cosmochim. Acta 2001, 65, 4445–4451. [Google Scholar] [CrossRef]
- Haitzer, M.; Aiken, G.R.; Ryan, J.N. Binding of mercury (II) to dissolved organic matter: The role of the mercury-to-DOM concentration ratio. Environ. Sci. Technol. 2002, 36, 3564–3570. [Google Scholar] [CrossRef] [PubMed]
- Middelburg, J.J.; Herman, P.M.J. Organic matter processing in tidal estuaries. Mar. Chem. 2007, 106, 127–147. [Google Scholar] [CrossRef]
- Turner, A.; Martino, M.; Le Roux, S.M. Trace metal distribution coefficients in the Mersey Estuary, UK: Evidence for salting out of metal complexes. Environ. Sci. Technol. 2002, 36, 4578–4584. [Google Scholar] [CrossRef] [PubMed]
- Turner, A. Trace metal partitioning in estuaries: Importance of salinity and particle concentration. Mar. Chem. 1996, 54, 27–39. [Google Scholar] [CrossRef]
- Choe, K.Y.; Gill, G.A.; Lehman, R. Distribution of particulate, colloidal, and dissolved mercury in San Francisco Bay estuary. 1. Total mercury. Limnol. Oceanogr. 2003, 48, 1535–1546. [Google Scholar] [CrossRef]
- Laurier, F.J.G.; Cossa, D.; Gonzalez, J.L.; Sarazin, G. Mercury transformations and exchanges in a high turbidity estuary: The role of organic matter and amorphous oxyhydroxides. Geochim.Cosmochim. Acta 2003, 67, 3329–3345. [Google Scholar] [CrossRef]
- Turner, A.; Millward, G.E.; Le Roux, S.M. Significance of oxides and particulate organic matter in controlling trace metal partitioning in a contaminated estuary. Mar. Chem. 2004, 88, 179–192. [Google Scholar] [CrossRef]
- Long, E.R.; Macdonald, D.D.; Smith, S.; Calder, F.D. Incidence of adverse biological effects within ranges of chemical concentrations in marine and estuarine sediments. Environ. Manag. 1995, 19, 81–97. [Google Scholar] [CrossRef]
- Birch, G.F. Determination of sediment metal background concentrations and enrichment in marine environment—A critical review. Sci. Total Environ. 2017, 580, 813–831. [Google Scholar] [CrossRef]
- Ng, K.; Szabo, Z.; Reilly, P.A.; Barringer, J.L.; Smalling, K.L. An assessment of mercury in estuarine sediment and tissue in Southern New Jersey using public domain data. Mar. Pollut. Bull. 2016, 107, 22–35. [Google Scholar] [CrossRef] [PubMed]
- Kwokal, Z.; Franciskovic-Bilinski, S.; Bilinski, H.; Branica, M. A comparison of anthropogenic mercury pollution in Kastela Bay (Croatia) with pristine estuaries in Ore (Sweden) and Krka (Croatia). Mar. Pollut. Bull. 2002, 44, 1152–1169. [Google Scholar] [CrossRef]
- Covelli, S.; Faganeli, J.; Horvat, M.; Brambati, A. Mercury contamination of coastal sediments as the result of long-term cinnabar mining activity (Gulf of Trieste, northern Adriatic sea). Appl. Geochem. 2001, 16, 541–558. [Google Scholar] [CrossRef]
- Taylor, D.L.; Linehan, J.C.; Murray, D.W.; Prell, W.L. Indicators of sediment and biotic mercury contamination in a southern New England estuary. Mar. Pollut. Bull. 2012, 64, 807–819. [Google Scholar] [CrossRef]
- Stoichev, T.; Amouroux, D.; Wasserman, J.; Point, A.; De Diego, A.; Bareille, G.; Donard, O.F.X. Mercury speciation in surface sediments from of the Adour estuary and other bays of the Basque coast (Gulf of Biscay). Estuar. Coast. Shelf Sci. 2004, 59, 511–521. [Google Scholar] [CrossRef]
- Canario, J.; Caetano, M. Distribution of monomethylmercury and mercury in surface sediments of the Tagus Estuary (Portugal). Mar. Pollut. Bull. 2005, 50, 1142–1145. [Google Scholar] [CrossRef]
- Yanez, J.; Guajardo, M.; Miranda, C.; Soto, C.; Mansilla, H.D.; Flegal, A.R. New assessment of organic mercury formation in highly polluted sediments in the Lenga estuary, Chile. Mar. Pollut. Bull. 2013, 73, 16–23. [Google Scholar] [CrossRef]
- Hammershchmidt, C.R.; Fitzgerald, W.F.; Lamborg, C.H.; Balcom, P.H.; Visscher, P.T. Biogeochemistry of methylmercury in sediments of Long Island Sound. Mar. Chem. 2004, 90, 31–52. [Google Scholar] [CrossRef]
- Ram, A.M.A.; Zingde, M.D. Mercury enrichment in sediments of Amba estuary. Indian J. Mar. Sci. 2009, 38, 89–96. [Google Scholar]








| Dissolved Hg Conc. (ng/L) | Particulate Hg Conc. (ng/L) | Sediment Hg Conc. (ng/g) | Dissolved Methyl Hg (%) (DMeHg/DTHg) | Total Hg | ||||
|---|---|---|---|---|---|---|---|---|
| Total Hg | Methyl Hg | Par. Total Hg | Total Hg | Methyl Hg | DTHg (%) | PTHg (%) | ||
| Sampled time 3 January 2020 | ||||||||
| Min | 24.3 | 0.50 | 1.02 | 80.4 | 0.09 | 1.6 | 50.2 | 3.1 |
| Max | 34.0 | 7.71 | 24.3 | 363.8 | 0.32 | 30.4 | 96.9 | 49.8 |
| Sampled time 25 March 2020 | ||||||||
| Min | 27.7 | 0.62 | 3.78 | 115.9 | <0.01 | 1.9 | 43.5 | 8.3 |
| Max | 43.1 | 9.64 | 41.4 | 315.9 | 0.37 | 30.4 | 91.7 | 56.5 |
| Sampled time 16 July 2020 | ||||||||
| Min | 24.0 | 0.27 | 5.85 | 118.1 | 0.07 | 0.6 | 30.8 | 11.3 |
| Max | 45.8 | 5.77 | 55.13 | 378.5 | 0.75 | 23.9 | 88.7 | 69.2 |
| Studied Area | DTHg (ng/L) | DMeHg (ng/L) | DMeHg/DTHg (%) | PTHg (ng/g) | Reference |
|---|---|---|---|---|---|
| Danshuei RE, Taiwan | 24.0−45.8 | 0.27−9.64 | 0.6−30.4 | 108.7−1429 | This study |
| Wuli RE, China | 210−2700 | 0.048−3.0 | 0.03−0.39 | ND | [52] |
| East R/Pear R. delta, China | 11−49 | 0.08−0.21 | 0.2−3 | ND | [53] |
| Delaware RE, USA | 0.24−0.80 | 0.01−0.16 | <2−28 | ND | [10] |
| New Jersey Harbor RE, USA | 0.18−3.29 | 0.002−0.05 | 0.06−18.2 | 84.2−2427 | [16] |
| Hudson RE, USA | 0.22−11.7 | 0.01−0.16 | 0.4−42.2 | ND | [6] |
| Adour RE, France | 0.1−1.16 | 0.008−0.054 | 2.2−10.2 | 14−2314 | [8] |
| Scheldt RE, Belgium | 0.44−3.0 | 0.01−0.4 | ND | 40−1946 | [54] |
| Soca/Isonzo RE, Italy | 2.1−31.4 | 0.04−0.9 | 0.2−11.6 | ND | [55] |
| Aussa-River Marano lagoon, Italy | 20−283 | ND | ND | 1100−20.300 | [56] |
| Ria de Aveiro lagoon, Portugal | 8.5−95 | ND | ND | 100−3400 | [57] |
| Tagus RE, Portugal | 3.6−65.4 | 0.06−6.42 | 0.5−30 | 361−8625 | [11] |
| Studied Area | THg (ng/g) | MeHg (ng/g) | MeHg/THg (%) | Reference |
|---|---|---|---|---|
| Danshuei RE, Taiwan | 80.4−78.5 | 0.001−0.75 | <0.01−0.34 | This study |
| Haihe R, China | 60−8779 | 0.8−21.7 | 0.1−2.2 | [47] |
| Wuli RE, China ** | 800−64000 | 180−35000 | 0.017−0.49 | [52] |
| Minamata Bay, Japan ** | 340−4470 | 3.5−5.06 | 0.08−0.17 | [4] |
| Delaware RE, USA | 100.3−862.5 | 0.06−1.44 | 0.1−0.45 | [10] |
| Narragansett Bay, USA | 35−2629 | 0.14−8.59 | 0.03−1.32 | [85] |
| San Francisco Bay, USA | 20−702 | 0.02−3.41 | <0.2 | [14] |
| Adour RE, France | 0.4−1464 | 0.1−1.6 | 0.01−1.8 | [86] |
| Soca/Isonzo RE, Italy | 1650−17200 | 0.21−6.28 | <0.12 | [55] |
| Scheldt RE, Belgium | 4.0−736 | 7.0−471 | ND | [54] |
| Tagus RE, Portugal | 8−49345 | 0.3−32 | 0.02−0.4 | [87] |
| Krka RE, Croatia | 101−1418 | 0.4−2.96 | <0.01−2.7 | [83] |
| Kastela Bay, Croatia ** | 14280−74000 | 6.05−36.7 | 0.04−0.18 | [83] |
| Lenga RE, Chile** | 500−129000 | 11−53 | 0.02−5.7 | [88] |
Publisher’s Note: MDPI stays neutral with regard to jurisdictional claims in published maps and institutional affiliations. |
© 2021 by the authors. Licensee MDPI, Basel, Switzerland. This article is an open access article distributed under the terms and conditions of the Creative Commons Attribution (CC BY) license (https://creativecommons.org/licenses/by/4.0/).
Share and Cite
Fang, T.-H.; Lien, C.-Y. Different Mercury Species Partitioning and Distribution in the Water and Sediment of a Eutrophic Estuary in Northern Taiwan. Water 2021, 13, 2471. https://doi.org/10.3390/w13182471
Fang T-H, Lien C-Y. Different Mercury Species Partitioning and Distribution in the Water and Sediment of a Eutrophic Estuary in Northern Taiwan. Water. 2021; 13(18):2471. https://doi.org/10.3390/w13182471
Chicago/Turabian StyleFang, Tien-Hsi, and Chia-Yu Lien. 2021. "Different Mercury Species Partitioning and Distribution in the Water and Sediment of a Eutrophic Estuary in Northern Taiwan" Water 13, no. 18: 2471. https://doi.org/10.3390/w13182471
APA StyleFang, T.-H., & Lien, C.-Y. (2021). Different Mercury Species Partitioning and Distribution in the Water and Sediment of a Eutrophic Estuary in Northern Taiwan. Water, 13(18), 2471. https://doi.org/10.3390/w13182471
