Long-Term Impact of Wastewater Irrigation on Soil Pollution and Degradation: A Case Study from Egypt
Abstract
:1. Introduction
2. Materials and Methods
2.1. Site Specification
2.2. Water Sampling
2.3. Soil Sampling
2.4. Data Analysis
3. Results and Discussion
3.1. Irrigation Water Chemical Characteristics
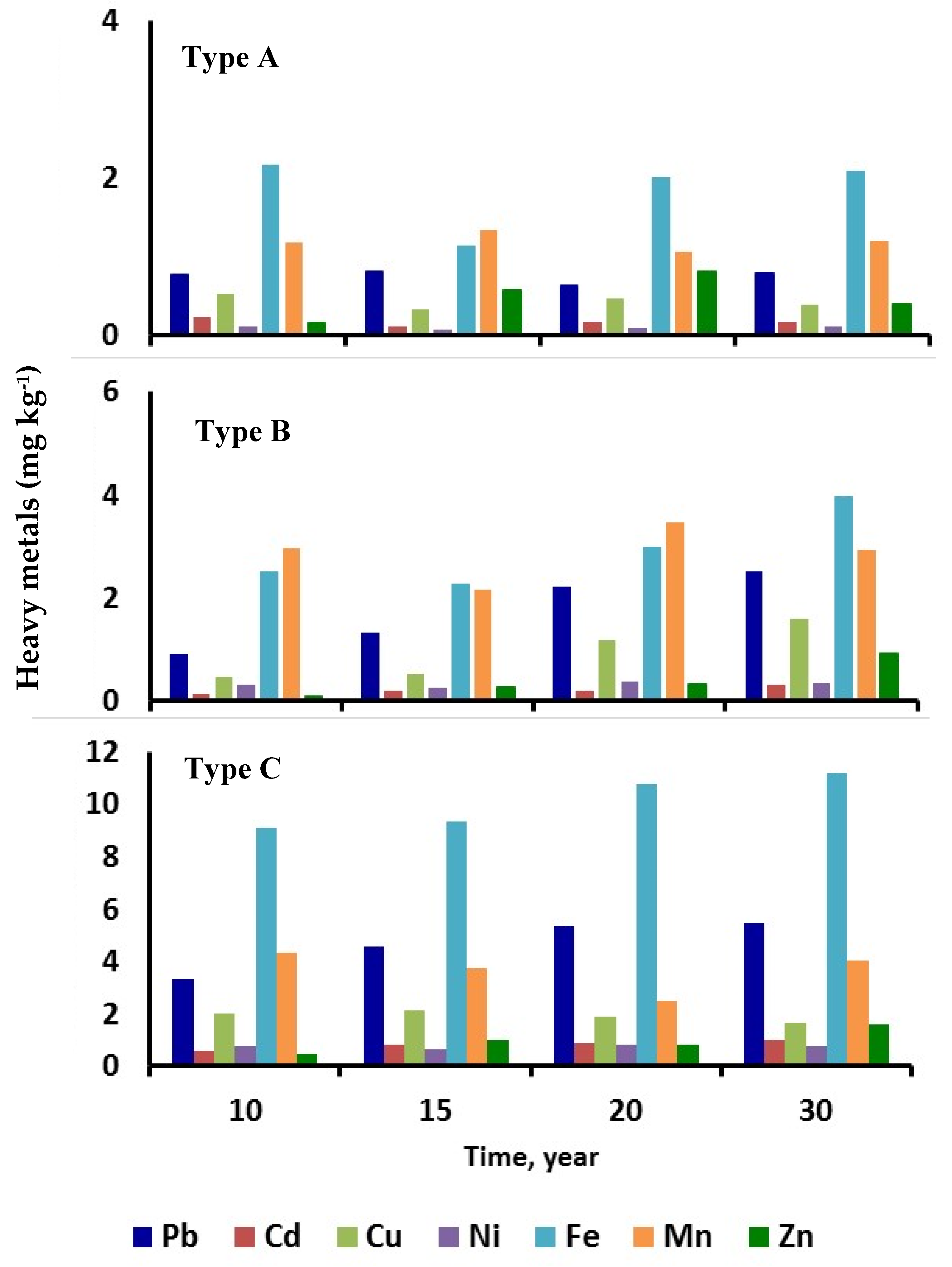
3.2. Temporal Changes in Soil Heavy Metal Content Due to Wastewater Addition
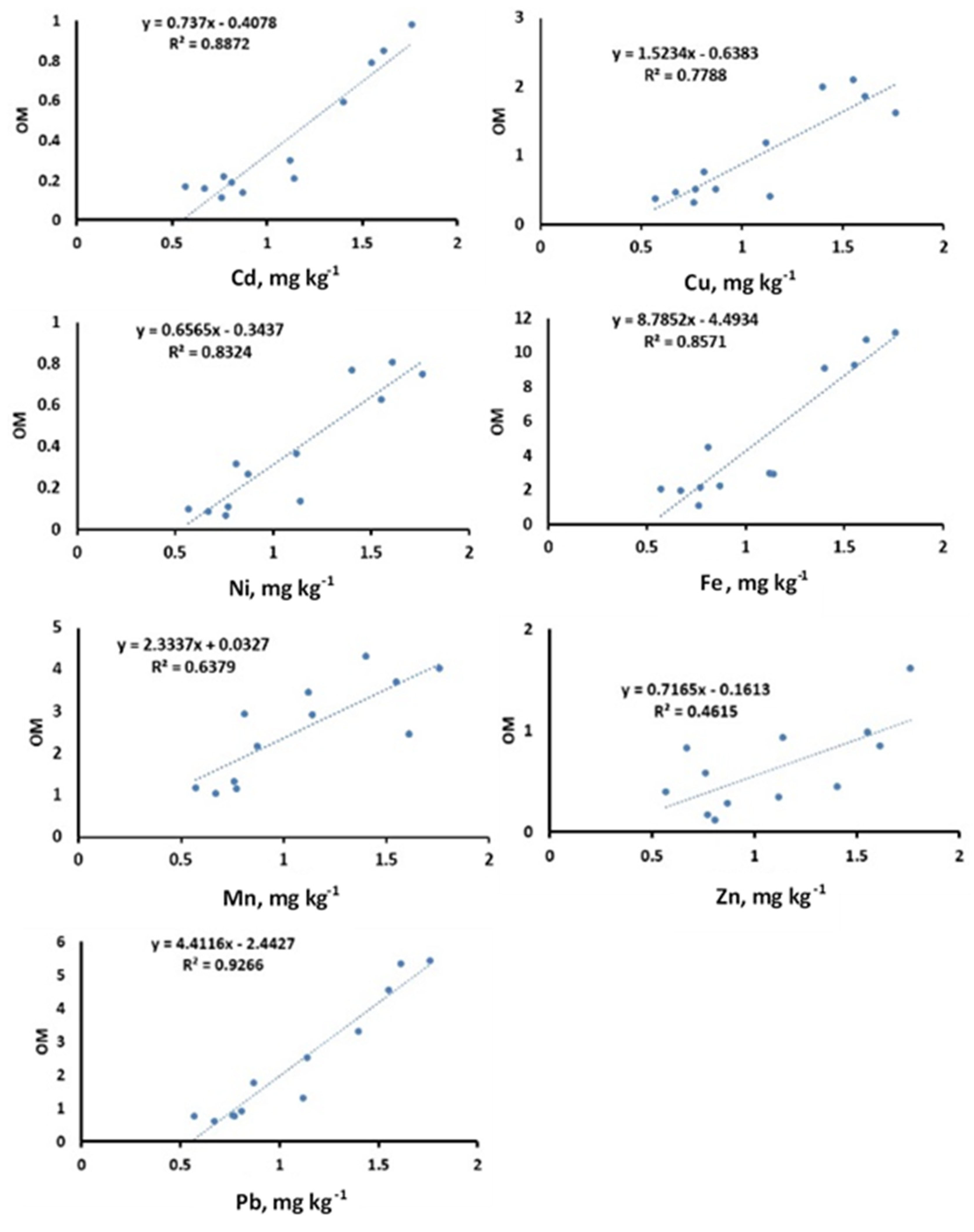
3.3. Effects of Soil Organic Matter (OM) and Soil Texture on Soil Pollution
3.4. Impact of Temporal Changes of Wastewater Addition on Soil Chemical Characteristics
4. Conclusions
Author Contributions
Funding
Institutional Review Board Statement
Informed Consent Statement
Data Availability Statement
Acknowledgments
Conflicts of Interest
Abbreviations
References
- Zarei, Z.; Karami, E.; Keshavarz, M. Co-production of knowledge and adaptation to water scarcity in developing countries. J. Environ. Manag. 2020, 262, 110283. [Google Scholar] [CrossRef] [PubMed]
- Boazar, M.; Yazdanpanah, M.; Abdeshahi, A. Response to water crisis: How do Iranian farmers think about and intent in relation to switching from rice to less water-dependent crops? J. Hydrol. 2019, 570, 523–530. [Google Scholar] [CrossRef]
- Talat, N. Recent trends and research strategies for treatment of water and wastewater in India. In Water Conservation and Wastewater Treatment in BRICS Nations, Technologies, Challenges, Strategies and Policies, 1st ed.; Singh, P., Milshina, Y., Tian, K., Gusain, D., Bassin, J., Eds.; Elsevier: Amsterdam, The Netherlands, 2020; p. 390. [Google Scholar]
- Galavi, M.; Jalali, A.; Ramroodi, M.; Mousavi, S.R.; Galavi, H. Effects of treated municipal wastewater on soil chemical properties and heavy metal uptake by sorghum (Sorghum bicolor L.). J. Agric. Sci. 2010, 2, 235–241. [Google Scholar] [CrossRef] [Green Version]
- Walker, C.; Lin, H.S. Soil property changes after four decades of wastewater irrigation: A landscape perspective. Catena 2008, 73, 63–74. [Google Scholar] [CrossRef]
- Chang, W.; Tran, H.; Park, D.; Zhang, R.; Ahn, D. Ammonium nitrogen removal characteristics of zeolite media in a Biological Aerated Filter (BAF) for the treatment of textile wastewater. J. Ind. Eng. Chem. 2009, 15, 524–528. [Google Scholar] [CrossRef]
- El-Hassanin, A.S.; Samak, M.R.; Abdel-Rahman, G.N.; Abu-Sree, Y.H.; Saleh, E.M. Risk assessment of human exposure to lead and cadmium in maize grains cultivated in soils irrigated either with low-quality water or freshwater. Toxicol. Rep. 2020, 7, 10–15. [Google Scholar] [CrossRef]
- Abdel-Rahman, G.N.; Ahmed, M.B.M.; Saleh, E.M.; Fouzy, A.S.M. Estimated heavy metal residues in Egyptian vegetables in comparison with previous studies and recommended tolerable limits. J. Biol. Sci. 2018, 18, 135–143. [Google Scholar] [CrossRef] [Green Version]
- Mahmoud, E.K.; Ghoneim, A.M. Effect of polluted water on soil and plant contamination by heavy metals in El-Mahla El-Kobra, Egypt. Solid Earth 2016, 7, 703–711. [Google Scholar] [CrossRef] [Green Version]
- Murtaza, G.; Ghafoor, A.; Qadir, M. Accumulation and implications of cadmium, cobalt and manganese in soils and vegetables irrigated with city effluent. J. Sci. Food Agric. 2008, 88, 100–107. [Google Scholar] [CrossRef]
- Hamilton, A.J.; Stagnitti, F.; Xiong, X.; Kreidl, S.L.; Benke, K.K.; Maher, P. Wastewater irrigation: The state of play. Vadose Zone 2007, 6, 823–840. [Google Scholar] [CrossRef] [Green Version]
- Rajkumar, R.H.; Nemichandrappa, M.; Anilkumar, T.D.; Ayyanagowdar, M.S.; Polisgowdar, B.S.; Satyanarayana, R.; Vishwanatha, J. Effect of different irrigation methods and saline water on soil properties in tomato (Solanum lycopersicum) crop under vertisols of Tungabhadra project command. Int. J. Chem. Stud. 2019, 7, 2952–2957. [Google Scholar]
- Leng, G.; Leung, L.R.; Huang, M. Significant impacts of irrigation water sources and methods on modeling irrigation effects in the ACME Land Model. J. Adv. Modeling Earth Sys. 2017, 9, 1665–1683. [Google Scholar] [CrossRef]
- Ibekwe, A.M.; Gonzalez-Rubio, A.; Suarez, D.L. Impact of treated wastewater for irrigation on soil microbial communities. Sci. Total Environ. 2018, 622–623, 1603–1610. [Google Scholar] [CrossRef] [PubMed]
- Bedbabis, S.; Ben Rouina, B.; Boukhris, M.; Ferrara, G. Effect of irrigation with treated wastewater on soil chemical roperties and infiltration rate. J. Environ. Manag. 2014, 133, 45–50. [Google Scholar] [CrossRef] [PubMed]
- Ganjegunte, G.; Ulery, A.; Niu, G.; Wu, Y. Organic carbon, nutrient, and salt dynamics in saline soil and switchgrass (Panicum virgatum L. irrigated with treated municipal wastewater. Land Degrad. Dev. 2018, 29, 80–90. [Google Scholar] [CrossRef]
- Ofori, S.; Puškáčová, A.; Růžičková, I.; Wanner, J. Treated wastewater reuse for irrigation: Pros and cons. Sci. Total Environ. 2021, 760, 144026. [Google Scholar] [CrossRef] [PubMed]
- Abd Ellah, R.G. Water resources in Egypt and their challenges, Lake Nasser case study. Egypt. J. Aquat. Res. 2020, 46, 1–12. [Google Scholar] [CrossRef]
- Luo, P.; Sun, Y.; Wang, S.; Wang, S.; Lyu, J.; Zhou, M.; Nakagami, K.; Takara, K.; Nover, D. Historical assessment and future sustainability challenges of Egyptian water resources management. J. Clean. Prod. 2020, 263, 121154. [Google Scholar] [CrossRef]
- Omar, M.E.O.; Moussa, A.M.A. Water management in Egypt for facing the future challenges. J. Adv. Res. 2016, 7, 403–412. [Google Scholar] [CrossRef] [Green Version]
- Attia, A.H.; El-Sayed, S.A.; El-Sabagha, M.E. Utilization of GIS modeling in geoenvironmental studies of Qaroun Lake, El Fayoum Depression. Egypt. J. Afr. Earth Sci. 2018, 138, 58–74. [Google Scholar] [CrossRef]
- Kotb, M.M.; Ali, R.R.; El Semary, M.A. Use of remote sensing and GIS for land degradation assessment of Qarun Lake Coastal Area, El-Fayoum, Egypt. In Water and Land Security in Drylands, 1st ed.; Ouessar, M., Gabriels, D., Tsunekawa, A., Evett, S., Eds.; Springer: Cham, Switzerland, 2017. [Google Scholar]
- Abd-Elgawad, M.; Shendi, M.M.; Sofi, D.M.; Abdurrahman, H.A.; Ahmed, A.M. Innovative Thinking and Use of Marginal Soil and Water Resources in Irrigated Agriculture. In Developments in Soil Salinity Assessment and Reclamation, 1st ed.; Shahid, S.A., Abdelfattah, M.A., Taha, F.K., Eds.; Springer Nature: Dordrecht, Switzerland, 2013; p. 808. [Google Scholar] [CrossRef]
- El-Zeiny, A.M.; El Kafrawy, S.B.; Ahmed, M.H. Geomatics based approach for assessing Qaroun Lake pollution. Egypt. J. Remote Sens. Space Sci. 2019, 22, 279–296. [Google Scholar] [CrossRef]
- Al-Afify, A.D.G.; Tahoun, U.M.; Abdo, M.H. Water Quality Index and Microbial Assessment of Lake Qarun, El-Batts and El-Wadi Drains, Fayoum Province, Egypt. Egypt. J. Aquat. Biol. Fish. 2019, 23, 341–357. [Google Scholar] [CrossRef] [Green Version]
- Abdel Wahed, M.S.M.; Mohamed, E.A. Assessment of water quality in surface waters of the Fayoum watershed, Egypt. Environ. Earth Sci. 2015, 74, 1765–1783. [Google Scholar] [CrossRef]
- Mukherjee, S.; Nelliyat, P. Ground Water Pollution and Emerging Environmental Challenges of Industrial Effluent Irrigation: A Case Study of Mettupalayam Taluk, Tamilnadu; Madras School of Economics Working Paper; 2007; 52p, Available online: https://ssrn.com/abstract=1021153 (accessed on 9 August 2021).
- Hajjami, K.; Ennaji, M.M.; Fouad, S.; Oubrim, N.; Khallayoune, K.; Cohen, N. Assessment of helminths health risk associated with reuse of raw and treated wastewater of the settat city (Morocco). Resour. Environ. 2012, 2, 193–201. [Google Scholar] [CrossRef] [Green Version]
- Saliba, R.; Callieris, R.; D’Agostino, D.; Roma, R.; Scardigno, A. Stakeholders’ attitude towards the reuse of treated wastewater for irrigation in Mediterranean agriculture. Agric. Water Manag. 2018, 204, 60–68. [Google Scholar] [CrossRef]
- Barber, L.B.; Rapp, J.L.; Kandel, C.; Keefe, S.H.; Rice, J.; Westerhoff, P.; Bertolatus, D.W.; Vajda, A.M. Integrated assessment of wastewater reuse, exposure risk, and fish endocrine disruption in the Shenandoah River watershed. Environ. Sci. Tech. 2019, 53, 3429–3440. [Google Scholar] [CrossRef] [PubMed]
- Yadav, R.K.; Goyal, B.; Sharma, R.K.; Dubey, S.K.; Minhas, P.S. Post irrigation impact of domestic sewage effluent on composition of soils, crops and groundwater e a case study. Environ. Int. 2002, 28, 481–486. [Google Scholar] [CrossRef]
- Tarchouna, L.G.; Merdy, P.; Raynaud, M.; Pfeifer, H.R.; Lucas, Y. Effects of long term irrigation with treated wastewater. Part I: Evolution of soilchemicalproperties. Appl. Geochem. 2010, 25, 1703–1710. [Google Scholar] [CrossRef]
- Abd-Elwahed, M.S. Influence of long-term wastewater irrigation on soil quality and its spatial distribution. Ann. Agric. Sci. 2018, 63, 191–199. [Google Scholar] [CrossRef]
- Malhat, F.M.; Nasr, I. Metals in water from the River Nile tributaries in Egypt. Bull. Environ. Contam. Toxicol. 2012, 88, 594–596. [Google Scholar] [CrossRef] [PubMed]
- Bardhan, G.; Russo, D.; Goldstein, D.; Levy, G.J. Changes in the hydraulic properties of a clay soil under long-term irrigation with treated wastewater. Geoderma 2016, 264, 1–9. [Google Scholar] [CrossRef]
- Erel, R.; Eppel, A.; Yermiyahu, U.; Ben-Gal, A.; Levy, G.; Zipori, I.; Schaumann, G.E.; Mayer, O.; Dag, A. Long-term irrigation with reclaimed wastewater: Implications on nutrient management, soil chemistry and olive (Olea europaea L.) performance. Agric. Water Manag. 2019, 213, 324–335. [Google Scholar] [CrossRef]
- Schacht, K.; Marschner, B. Treated wastewater irrigation effects on soil hydraulic conductivity and aggregate stability of loamy soils in Israel. J. Hydrol. Hydro. 2015, 63, 47–54. [Google Scholar] [CrossRef] [Green Version]
- Ali, R.R.; Abdel Kawy, W.A.M. Land degradation risk assessment of El Fayoum depression, Egypt. Arab. J. Geosci. 2012, 6, 2767–2776. [Google Scholar] [CrossRef]
- Soil Survey Staff. Keys to Soil Taxonomy, 12th ed.; U.S. Department of Agriculture; Natural Resources Conservation Service (NRCS); Lulu.com: Washington, DC, USA, 2014; p. 353.
- El-Sayed, S.A.; Moussa, E.M.M.; El-Sabagh, M.E.I. Evaluation of heavy metal content in Qaroun Lake, El-Fayoum, Egypt. Part I: Bottom sediments. J. Radiat. Res. Appl. Sci. 2015, 8, 276–285. [Google Scholar] [CrossRef] [Green Version]
- Omar, M.M. Evaluation of actions for better water supply and demand management in Fayoum, Egypt using RIBASIM. Water Sci. 2013, 27, 78–90. [Google Scholar] [CrossRef] [Green Version]
- Rice, E.W.; Rodger, B.B.; Andrew, D.E.; Leonore, S.C. Standard Methods for the Examination of Water and Wastewater, 20th ed.; American Public Health Association (APHA): Washington, DC, USA, 2012; p. 2671. [Google Scholar]
- Rodier, J.; Bernard, L.; Nicole, M. L’analyse de L’eau, 9th ed.; DUNOD: Paris, French, 2009; p. 1384. [Google Scholar]
- Soltanpour, P.; Workman, S. Modification of the NH4 HCO3-DTPA soil test to omit carbon black. Commun. Soil Sci. Plant Anal. 1979, 10, 1411–1420. [Google Scholar] [CrossRef]
- Walkley, A.; Black, I.A. An examination of the Degtjareff method for determining soil organic matter, and a proposed modification of the chromic acid titration method. Soil Sci. 1934, 37, 29–38. [Google Scholar] [CrossRef]
- Jackson, M.L. Soil Chemical Analysis, 2nd ed.; Parallel Press, UW-Madison Libraries: Madison, WI, USA, 2005; p. 895. [Google Scholar]
- Black, C.A.; Evans, D.D.; Dinauer, R. Methods of Soil Analysis; American Society of Agronomy: Madison, WI, USA, 1965; Volume 9, pp. 653–708. [Google Scholar]
- Watanabe, F.S.; Olsen, S.R. Test of an ascorbic acid method for determining phosphorus in water and NaHCO3 extracts from soil. Soil Sci. Soc. 1965, 29, 677–678. [Google Scholar] [CrossRef]
- Bünemann, E.K.; Bongiorno, G.; Bai, Z.; Creamer, R.E.; De Deyn, G.; de Goede, R.; Mäder, P. Soil quality—A critical review. Soil Biol. Biochem. 2018, 120, 105–125. [Google Scholar] [CrossRef]
- Gee, G.W.; Bauder, J.W. Particle-size analysis. In Methods of Soil Analysis, Part 1, 2nd ed.; Klute, A., Ed.; American Society of Agronomy: Madison, WI, USA, 1986; Volume 9, pp. 383–409. [Google Scholar]
- WHO/FAO. Joint FAO/WHO Food Standard Programme Codex Alimentarius Commission 13th Session. In Proceedings of the Thirty-Eight Session of the Codex Committee on Food Hygiene, Houston, United States of America, Alinorm, Washington, DC, USA, 29 March–03 April 2004. [Google Scholar]
- Belghyti, D.; El Guamri, Y.; Ztit, G.; Ouahidi, M.L.; Joti, M.B.; Harchrass, A.; Amghar, H.; Bouchouata, O.; El Kharrim, K.; Bounouira, H. Caracterisation physicochimique des eaux usées d’abattoir en vue de la mise en oeuvre d’un traitement adéquat: Cas de kénitra au maroc. Afr. Sci. 2009, 5, 199–216. [Google Scholar]
- Ministry of Housing. Physical planning and Environmental Conservation; Report HSE 94.021; European Environment Agency: Copenhagen, Denmark, 1994; p. 100.
- Ababsa, N.; Kribaa, M.; Tamrabet, L.; Addad, D.; Hallaire, V.; Ouldjaoui, A. Long-term effects of wastewater reuse on hydro physicals characteristics of grassland grown soil in semi-arid Algeria. J. King Saud Univ. Sci. 2020, 32, 1004–1013. [Google Scholar] [CrossRef]
- Kwiatkowska-Malina, J. Functions of organic matter in polluted soils: The effect of organic amendments on phytoavailability of heavy metals. Appl. Soil Ecol. 2018, 123, 542–545. [Google Scholar] [CrossRef]
- Cao, S.P. Vertical distribution of heavy metal pollutant in soil profiles of Tianjin. Contrib. Geol. Miner. Resour. Res. 2004, 19, 270–274. [Google Scholar]
- Dotaniya, M.L.; Rajendiran, S.; Meena, V.D.; Coumar, M.V.; Saha, J.K.; Kundu, S.; Patra, A.K. Impact of long-term application of sewage on soil and crop quality in vertisols of Central India. Bull. Environ. Contam. Toxicol. 2018, 101, 1–8. [Google Scholar] [CrossRef] [PubMed]
- Ahmad, K.; Wajid, K.; Khan, Z.I.; Ugulu, I.; Memoona, H.; Sana, M.; Nawaz, K.; Malik, I.S.; Bashir, H.; Sher, M. Evaluation of potential toxic metals accumulation in wheat irrigated with wastewater. Bull. Environ. Contam. Toxicol. 2019, 102, 822–828. [Google Scholar] [CrossRef]
- Papaioannou, D.; Kalavrouziotis, I.K.; Koukoulakis, P.H.; Papadopoulos, F.; Psoma, P. Interrelationships of metal transfer factor under wastewater reuse and soil pollution. J. Environ. Managem. 2018, 216, 328–336. [Google Scholar] [CrossRef]
- Fang, W.; Delapp, R.C.; Kosson, D.S.; van der Sloot, H.A.; Liu, J. Release of heavy metals during long-term land application of sewage sludge compost: Percolation leaching tests with repeated additions of compost. Chemosphere 2017, 169, 271–280. [Google Scholar] [CrossRef]
- Guo, H.; Nasir, M.; Lv, J.; Dai, Y.; Gao, J. Understanding the variation of microbial community in heavy metals contaminated soil using high throughput sequencing. Ecotoxicol. Environ. Saf. 2017, 144, 300–306. [Google Scholar] [CrossRef]
- Khaskhoussy, K.; Kahlaoui, B.; Nefzi, B.M.; Jozdan, O.; Dakheel, A.; Hachicha, M. Effect of treated wastewater irrigation on heavy metals distribution in a tunisian soil. Eng. Technol. Appl. Sci. 2015, 5, 805–810. [Google Scholar] [CrossRef]
- Singh, P.; Deshbhratar, P.; Ramteke, D. Effects of sewage wastewater irrigation on soil properties, crop yield and environment. Agric. Water Manag. 2012, 103, 100–104. [Google Scholar] [CrossRef]
- Yaylali-Abanuz, G. Heavy metal contamination of surface soil around Gebze industrial area. Turk. Microchem. J. 2011, 99, 82–92. [Google Scholar] [CrossRef]
- El-Nennah, M.; El-Kobbia, T.; Shehata, A.; El-Gamal, I. Effect of irrigation loamy sand soil by sewage effluents on its content of some nutrients and heavy metals. Plant Soil 1982, 65, 289–292. [Google Scholar] [CrossRef]
- Hang, X.; Wang, H.; Zhou, J.; Ma, C.; DU, C.; Chen, X. Risk assessment potentially toxic element contamination in soil and rice (Oryza sativa) in a typical area of Yangtze River delta. Environ. Pollut. 2009, 157, 2542. [Google Scholar] [CrossRef]
- Ene, A.; Popescu, I.V.; Stihi, C. Applications of proton-induced Xray emission technique inmaterials and environmental science. Ovidius Univ. Ann. Chem. 2009, 20, 35. [Google Scholar]
- Abd-Elwahed, M.S. Effect of long-term wastewater irrigation on the quality of alluvial soil for agricultural sustainability. Ann. Agric. Sci. 2019, 64, 151–160. [Google Scholar] [CrossRef]
- Abd El-Aziz, S.H. Guideline references to levels of heavy metals in arable soils in upper Egypt. J. Saudi Soc. Agric. Sci. 2021, article in press. [Google Scholar]
- Ljung, K.; Selinus, O.; Otabbong, E.; Berglund, M. Metal and arsenic distribution in soil particle sizes relevant to soil ingestion by children. Appl. Geochem. 2006, 21, 1613–1624. [Google Scholar] [CrossRef]
- Parizanganeh, A. Grain Size Effect on Trace Metals in Contaminated Sediments Along the Iranian Coast of the Caspian Sea. In Proceedings of the 12th World Lake Conference, Jaipur, India, 28 October–2 November 2007; Volume 329, p. 336. [Google Scholar]
- Quenea, K.; Lamy, I.; Winterton, P.; Bermond, A.; Dumat, C. Interactions between metals and soil organic matter in various particle size fractions of soil contaminated with waste water. Geoderma 2009, 149, 217–223. [Google Scholar] [CrossRef] [Green Version]
- Rafiei, B.; Bakhtiari, N.M.; Hashemi, M.; Khodaei, A.S. Distribution of Heavy Metals around the Dashkasan Au Mine. Int. J. Environ. Res. 2010, 4, 647–654. [Google Scholar]
- Beamer, P.I.; Elish, C.A.; Roe, D.J.; Loh, M.M.; Layton, D.W. Differences in metal concentration by particle size in house dust and soil. J. Environ. Monitor. 2012, 14, 839–844. [Google Scholar] [CrossRef]
- Zhang, H.; Luoa, Y.; Makino, T.; Wu, L.; Nanzyo, M. The heavy metal partition in size-fractions of the fine particles in agricultural soils contaminated by waste water and smelter dust. J. Hazard. Mater. 2013, 248–249, 303–312. [Google Scholar] [CrossRef]
- Kavvadias, V.; Elaiopoulos, K.; Theocharopoulos, S.; Soupios, P. Fate of potential contaminants due to disposal of olive mill wastewaters in unprotected evaporation ponds. Bull. Environ. Contam. Toxicol. 2017, 98, 323–330. [Google Scholar] [CrossRef] [PubMed]
- Khai, N.M.; Tuan, P.T.; Vinh, N.C.; Oborn, I. Effects of using wastewater as nutrient sources on soil chemical properties in peri-urban agricultural systems. VNU J. Sci. Earth Environ. Sci. 2016, 24, 87–95. [Google Scholar]
- Vaseghi, S.; Afyuni, M.; Shariatmadari, H.; Mobli, M. Effect of sewage sludge on some nutrients concentration and soil chemical properties. J. Isfahan Water Wastewater 2005, 53, 15–19. [Google Scholar]
- Nigam, R.; Srivastava, S.; Prakash, S.; Srivastava, M.M. Cadmium mo-bilisation and plant availability-the impact of organic acids commonly ex- uded from roots. Plant Soil 2001, 230, 107–113. [Google Scholar] [CrossRef]
- Boroojeni, A.K.; Noorbakhsh, F.; Afyuni, M.; Shariatmadari, H. Different forms of lead, nickel and cadmium in a calcareous soil treated with sewage sludge. J. Sci. Technol. Agric. Nat. Resour. 2007, 11, 41–53. [Google Scholar]
- Russo, D.; Laufer, A.; Bar-Tal, A. Improving water uptake by trees planted on a clayey soil and irrigated with low-quality water by various management means: A numerical study. Agric. Water Managem. 2019, 229, 105891. [Google Scholar] [CrossRef]
- Tarchitzki, J.; Bar-Tal, A.; Shenker, M.; Levy, G.; Eshel, A.; Cohen, S.; Russo, D.; Schwartz, A.; Ephrat, J.; Cohen, H.; et al. Examination of Treatments for the Prevention and Amendment of Damage Caused by TWW Irrigation in Orchards Planted on Clay Soils; Report 21-16-004 Submitted to the Chief Scientist of the Israeli Ministry of Agriculture and Rural Development (in Hebrew). 2019; Unpublished report. [Google Scholar]
- Paudel, I.; Bar-Tal, A.; Levy, J.G.; Rotbart, N.; Ephrath, J.; Cohen, S. Treated wastewater (TWW) irrigation: Soil variables and Grapefruit tree performance. Agric. Water Manag. 2018, 204, 126–137. [Google Scholar] [CrossRef]
- Ram, L.C.; Srivastava, N.K.; Tripathi, R.C.; Jha, S.K.; Sinha, A.K.; Singh, G.; Manoharans, V. Management of mine spoil for crop productivity with lignite fly ash and biological amendments. J. Environ. Manag. 2006, 79, 173–187. [Google Scholar] [CrossRef]
- Singh, A.; Sharma, R.K.; Agrawal, M.; Marshall, F. Effects of wastewater irrigation on physicochemical properties of soil and availability of heavy metals in soil and vegetables. Commun. Soil Sci. Plant Anal. 2009, 40, 3469–3490. [Google Scholar] [CrossRef]
- Bastida, F.; Jehmlich, N.; Martínez-Navarro, J.; Bayona, V.; García, C.; Moreno, J.L. The effects of struvite and sewage sludge on plant yield and the microbial community of a semiarid Mediterranean soil. Geoderma 2019, 337, 1051–1057. [Google Scholar] [CrossRef]
- Sánchez-González, A.; Chapela-Lara, M.; Germán-Venegas, E.; Fuentes-García, R.; Del Río-Portilla, F.; Siebe, C. Changes in quality and quantity of soil organic matter stocks resulting from wastewater irrigation in formerly forested land. Geoderma 2017, 306, 99–107. [Google Scholar] [CrossRef]
- Castro, E.; Manas, M.P.; Heras, J.L. Effects of wastewater irrigation on soil properties and turfgrass growth. Water Sci. Technol. 2011, 63, 1678. [Google Scholar] [CrossRef] [PubMed]
- Karami, M.; Rezainezhad, Y.; Afyuni, M.; Shriatmadari, H. The cumulative and remains effects of municipal sewage sludge on the concentration of Lead (Pb) and Cadmium (Cd) in soil and yield of wheat. J. Sci. Technol. Agric. Nat. Resour. 2007, 11, 79–94. [Google Scholar]
- Liu, C.; Dang, X.; Mayes, M.A.; Chen, L.; Zhang, Y. Effect of long-term irrigation patterns on phosphorus forms and distribution in the brown soil zone. PLoS ONE 2017, 12, 11. [Google Scholar] [CrossRef] [Green Version]
- Li, P.; Wu, J.; Qian, H. Effects of Irrigation with Paper Wastewater on Soil Fertility. In Proceedings of the 2014 International Conference on Gis And Resource Management (ICGRM), Guangzhou, China, 3–5 January 2014; Available online: https://www.researchgate.net/publication/264235442_Effects_of_Irrigation_with_Paper_Wastewater_on_Soil_Fertility (accessed on 9 August 2021).
- Kavita, U.; Piyush, M.; Gupta, A.K. Studies on the physico-chemical status of two ponds at Varanasi and Bhadohi under biotic stress. Plant Arch. 2010, 10, 691–693. [Google Scholar]
- Goher, M.E.; El-Rouby, W.M.A.; El-Dek, S.I.; El-Sayed, S.M.; Noaemy, S.G. Water quality assessment of Qarun Lake and heavy metals decontamination from its drains using nanocomposites. The 4th International Conference on Advanced Applied Sciences. IOP Conf. Ser. Mater. Sci. Eng. 2018, 464, 012003. [Google Scholar] [CrossRef]
- Kiziloglu, F.M.; Turan, M.; Sahin, U.; Kuslu, Y.; Dursun, A. Effects of untreated and treated wastewater irrigation on some chemical properties of cauliflower (Brassica olerecea L. var. botrytis) and red cabbage (Brassica olerecea L. var. rubra) grown on calcareous soil in Turkey. Agric. Water Manag. 2008, 95, 716–724. [Google Scholar] [CrossRef]
- Cakmakci, T.; Sahin, U. Productivity and heavy metal pollution management in a silage maize field with reduced recycled wastewater applications with different irrigation methods. J. Environ. Managem. 2021, 291, 112602. [Google Scholar] [CrossRef]
- Xu, J.; Wu, L.; Chang, A.C.; Zhang, Y. Impact of long-term reclaimed wastewater irrigation on agricultural soils: A preliminary assessment. J. Hazard. Mater. 2010, 183, 780–786. [Google Scholar] [CrossRef] [PubMed]
- Farahat, E.; Linderholm, H.W. The effect of long-term wastewater irrigation on accumulation and transfer of heavy metals in Cupressus sempervirens leaves and adjacent soils. Sci. Total Environ. 2015, 512, 1–7. [Google Scholar] [CrossRef]
- Abu-Hashim, M.; Sayed, A.; Zelenakova, M.; Vranayová, Z.; Khalil, M. Soil Water Erosion Vulnerability and Suitability under Different Irrigation Systems Using Parametric Approach and GIS, Ismailia, Egypt. Sustainability 2021, 13, 1057. [Google Scholar] [CrossRef]
- Nasr, E.E.; Khater, Z.Z.; Zelenakova, M.; Vranayova, Z.; Abu-Hashim, M. Soil Physicochemical Properties, Metal Deposition, and Ultrastructural Midgut Changes in Ground Beetles, Calosoma chlorostictum, under Agricultural Pollution. Sustainability 2020, 12, 4805. [Google Scholar] [CrossRef]
- Alnaimy, M.; Zelenakova, M.; Vranayova, Z.; Abu-Hashim, M. Effects of Temporal Variation in Long-Term Cultivation on Organic Carbon Sequestration in Calcareous Soils: Nile Delta, Egypt. Sustainability 2020, 12, 4514. [Google Scholar] [CrossRef]




| Parameter | S1 | S2 | S3 | Safe Limit [51] |
|---|---|---|---|---|
| pH | 7.32 | 7.21 | 7.11 | 7.60 |
| ECw, dS m−1 | 0.62 | 1.45 | 3.55 | <3 |
| Cations, mmolc L−1 | ||||
| Sodium (Na+) | 5.0 | 10.0 | 25.0 | 0–40 |
| Potassium (K+) | 0.1 | 0.2 | 0.6 | 0–2 |
| Calcium (Ca2+) | 1.5 | 2.5 | 5.0 | 0–20 |
| Magnesium (Mg2+) | 0.5 | 1.5 | 2.5 | 0–5 |
| Anions, mmolc L−1 | ||||
| Chloride (Cl−) | 5.0 | 9.0 | 15.0 | 0–30 |
| Bicarbonate (HCO3−) | 1.0 | 2.0 | 3.0 | 0–10 |
| Sulphate (SO42−) | 1.10 | 3.20 | 15.10 | 0–20 |
| SAR | 5.00 | 7.07 | 12. 91 | 3.00 |
| Heavy metals, mg L−1 | ||||
| Lead (Pb) | 0.002 | 0.004 | 0.006 | 5.00 |
| Cadmium (Cd) | 0.003 | 0.010 | 0.030 | 0.01 |
| Copper (Cu) | 0.02 | 0.03 | 0.03 | 0.20 |
| Nickel (Ni) | 0.03 | 0.10 | 0.10 | 0.20 |
| Iron (Fe) | 0.10 | 0.30 | 0.40 | 5.00 |
| Manganese (Mn) | 0.002 | 0.010 | 0.010 | 0.20 |
| Zinc (Zn) | 0.001 | 0.002 | 0.003 | 2.00 |
| Soil Types | Profile No. | * Pb | * Cd | * Cu | * Ni | * Fe | * Mn | * Zn |
|---|---|---|---|---|---|---|---|---|
| Soils irrigated with Nile water | 1 | 0.77 | 0.22 | 0.52 | 0.11 | 2.17 | 1.17 | 0.16 |
| 2 | 0.81 | 0.11 | 0.32 | 0.07 | 1.13 | 1.33 | 0.57 | |
| 3 | 0.62 | 0.16 | 0.47 | 0.09 | 2.00 | 1.05 | 0.81 | |
| 4 | 0.78 | 0.17 | 0.38 | 0.1 | 2.09 | 1.19 | 0.39 | |
| Soils irrigated with agricultural wastewater | 5 | 0.92 | 0.19 | 0.77 | 0.32 | 4.51 | 2.95 | 0.11 |
| 6 | 1.76 | 0.14 | 0.52 | 0.27 | 2.28 | 2.17 | 0.27 | |
| 7 | 1.32 | 0.3 | 1.19 | 0.37 | 3.00 | 3.47 | 0.33 | |
| 8 | 2.53 | 0.21 | 0.41 | 0.14 | 2.97 | 2.93 | 0.92 | |
| Soils irrigated with raw urban wastewater | 9 | 3.32 | 0.59 | 2.00 | 0.77 | 9.11 | 4.33 | 0.44 |
| 10 | 4.56 | 0.79 | 2.11 | 0.63 | 9.33 | 3.71 | 0.97 | |
| 11 | 5.34 | 0.85 | 1.87 | 0.81 | 10.77 | 2.47 | 0.83 | |
| 12 | 5.44 | 0.98 | 1.63 | 0.75 | 11.19 | 4.03 | 1.60 |
Publisher’s Note: MDPI stays neutral with regard to jurisdictional claims in published maps and institutional affiliations. |
© 2021 by the authors. Licensee MDPI, Basel, Switzerland. This article is an open access article distributed under the terms and conditions of the Creative Commons Attribution (CC BY) license (https://creativecommons.org/licenses/by/4.0/).
Share and Cite
Alnaimy, M.A.; Shahin, S.A.; Vranayova, Z.; Zelenakova, M.; Abdel-Hamed, E.M.W. Long-Term Impact of Wastewater Irrigation on Soil Pollution and Degradation: A Case Study from Egypt. Water 2021, 13, 2245. https://doi.org/10.3390/w13162245
Alnaimy MA, Shahin SA, Vranayova Z, Zelenakova M, Abdel-Hamed EMW. Long-Term Impact of Wastewater Irrigation on Soil Pollution and Degradation: A Case Study from Egypt. Water. 2021; 13(16):2245. https://doi.org/10.3390/w13162245
Chicago/Turabian StyleAlnaimy, Manal A., Sahar A. Shahin, Zuzana Vranayova, Martina Zelenakova, and Enas Mohamed Wagdi Abdel-Hamed. 2021. "Long-Term Impact of Wastewater Irrigation on Soil Pollution and Degradation: A Case Study from Egypt" Water 13, no. 16: 2245. https://doi.org/10.3390/w13162245
APA StyleAlnaimy, M. A., Shahin, S. A., Vranayova, Z., Zelenakova, M., & Abdel-Hamed, E. M. W. (2021). Long-Term Impact of Wastewater Irrigation on Soil Pollution and Degradation: A Case Study from Egypt. Water, 13(16), 2245. https://doi.org/10.3390/w13162245

