Next Article in Journal
Hybrid Scour Depth Prediction Equations for Reliable Design of Bridge Piers
Previous Article in Journal
Research on Design of the Safety Supervision System for Desalinated Seawater Entering Urban Water Supply Network
 
 
Due to scheduled maintenance work on our servers, there may be short service disruptions on this website between 11:00 and 12:00 CEST on March 28th.
Font Type:
Arial Georgia Verdana
Font Size:
Aa Aa Aa
Line Spacing:
Column Width:
Background:
Article

Statistical Analysis of Green Laboratory Practice Survey: Conservation on Non-Distilled Water from Distillation Process

1
Thoughts Formulation Laboratory, Discipline of Pharmaceutical Technology, School of Pharmaceutical Sciences, Universiti Sains Malaysia, Minden, Gelugor 11800, Malaysia
2
Discipline of Pharmaceutical Technology, College of Pharmacy, Al-Kitab University, Altun-Kupri 36001, Iraq
3
Centre for Global Sustainability Studies, Universiti Sains Malaysia, Minden, Gelugor 11800, Malaysia
4
Faculty of Technical and Vocational, Universiti Pendidikan Sultan Idris, Tanjong Malim 35900, Malaysia
*
Authors to whom correspondence should be addressed.
Water 2021, 13(15), 2018; https://doi.org/10.3390/w13152018
Submission received: 1 June 2021 / Revised: 19 July 2021 / Accepted: 20 July 2021 / Published: 23 July 2021
(This article belongs to the Section Water Use and Scarcity)

Abstract

:
The water crisis is identified as the most serious global risk for the coming decade. Distilled water is one of the on-demand elements in academic laboratories; however, water scarcity may eventually affect the education sector, necessitating the implementation of new policies. Human behavior, awareness, knowledge, and opinion is having an impact on water management; accordingly, a questionnaire was purposely designed and validated to assess these variables in a Malaysian public university regarding the use of non-distilled water produced by the distillation process. An exploratory factor analysis yielded four factors: “concept of green laboratory and water”, “usage of non-distilled water”, “knowledge about water distillation”, and “behavior related to water conservation”. Using the Mann–Whitney U test to compare laboratory and non-laboratory users’ responses, the variables “Knowledge”, “Behavior”, and “Opinion” revealed statistically significant differences, with laboratory users scoring higher in all four variables. Employing the Kruskal–Wallis H test in an occupation-based comparison among laboratory users, and with an additional variable “Practice”, showed that “Lecturer” has the highest mean rank for “Awareness”, “Behavior”, and “Opinion”, while “Laboratory Assistant” has the highest mean rank for “Knowledge”. This study provides a rationale analysis for future insights to educate faculty members about the reuse of non-distilled water sustainably.

1. Introduction

The mismatch between freshwater demand and availability is the essence of global water scarcity, resulting in increased competition for freshwater resources, while estimated reliance on water resources is on the rise, posing serious challenges to Earth’s future food security and environmental sustainability [1]. In fact, water availability and accessibility are two of the most significant constraints for various economic, industrial, healthcare, agricultural, and food sectors [2,3,4,5,6]. The increasing global population, rising living standards, shifting consumption patterns, and the expansion of irrigated agriculture are the primary drivers of the rising global demand for freshwater [1,7]. Future climate change projections foresee an increased global pressure on water resources; as a result, the salinity level of seawater is constantly increasing, making flooding more likely and thereby dwindling the availability of freshwater [8,9]. Accordingly, the water crisis was identified as the most serious global risk for the next decade [10].
Pursuant to the United Nations World Water Development Report 2017, improving wastewater management is as much about eliminating emissions at the source; this includes reusing reclaimed water through various recycling strategies as a necessary practice to achieve the 2030 Agenda for Sustainable Development [11]. On the other hand, a total of 2.1 billion people (29% of the global population) do not have access to safe drinking water, and this access lack is responsible for 1.2 million deaths each year [12]. Currently, ~4.0 billion people face severe water scarcity at least one month of the year [13].
Malaysia is one of the countries with a high domestic water consumption, ranging from 209 to 228 L per capita per day (lcd). The consumption is still above the World Health Organization’s (WHO) recommended target of 165 lcd. In this context, Penang state has the highest domestic water consumption, while Sabah state has the lowest. As a result, if water consumption is not improved, Malaysia may face a water shortage crisis in the foreseeable future [14].
On the other hand, distilled water is one of the most commonly used elements in undergraduate and postgraduate laboratories, as well as research centers, due to its inert nature. Despite the evident reuse potentials of non-distilled water produced during the distillation process, studies have revealed that water reuse implementation remains a rare practice [15,16,17,18]. Distilled water is produced by boiling water and then condensing the vapors. The non-distilled water will be produced during the water distillation process, and most of the time it will be drained into the sink rather than fully utilized. Previously, in 2004, professor Sharma proposed that 200 L of fresh water would be consumed to produce approximately 2.5 L of distilled water as a daily average use per laboratory, and upon using the conventional glass distillation apparatus, this estimates that to generate 100 mL of distilled water, it needs 4000 mL to 8000 mL of tap water [19,20]; i.e., a minimum of 3000 mL tap water will be drained, and the quality of this water will be diminished instantly. As previously published in Chan et al. 2020, the immense amount of water use in the distillation process could be linked to the billed water. Such uncontrolled water distillation practices might place academic institutions’ laboratories and many foundations far away from the United Nations’ Sustainable Development Goals (SDGs), particularly goal number six which emphasizes the importance of water management in sustaining humankind, i.e., “ensure availability and sustainable management of water and sanitation for all”. Consequently, the massive waste of clean water from the outlet of the distillation process is one of the silent causes of water scarcity which is oftentimes being overlooked [21]. In this regard, the underutilization of such clean water may indirectly contribute to water shortages especially during the drought. This might eventually hit the same research cycle and human life in general, necessitating the enforcement of new policies, as the COVID-19 pandemic did. Therefore, addressing distilled water waste management within academia and research is indispensable to offer insights on current challenges and suggest future practical strategies for application once needed.
Human behavior has been recognized to have an impact on sustainability, including water management, and thus it is necessary to regulate human behavioral contributions to the water scarcity issue [22,23,24,25]. The same holds true for human awareness [26,27,28], knowledge [29,30], and opinion [31,32]. Of this, the study and analysis of such variables could help in understanding and achieving distilled water waste management.
On the same line, having faculty members who behave sustainably on campus is the ultimate goal of higher education institutions, but this remains difficult. However, their daily life tasks involve online courses, zoom meetings, coursework preparations and delivery, administrative work, undergraduate practical courses, and postgraduate research experiments, all of which are closely related to sustainability [33,34]. Furthermore, because the majority of campus members do not pay their utility bills, they are frequently unaware of water and energy consumption issues. Faculty members’ behavior has an influence on the overall on-campus environmental sustainability; thus, regulating their behavior may provide opportunities for resources’ savings [21].

Study Trend

Using the Google Scholar engine, the keyword “Green laboratory” yields approximately 5,600,000 published works; however, when searching “Distilled water” this number drops to approximately 1,940,000. Furthermore, a search for “drained water” and “Distilled water waste reuse” revealed a sharp decline in research articles with only 703,000 and 86,200 published works. Interestingly, as shown in Figure 1, searching the PubMed engine yields a much lower number of articles using the exact same keywords (by 23rd May 2021). Such numbers illustrate the critical need for research in the field of green laboratories’ applications via distilled water waste management in universities.
To the best of our knowledge, this is the first questionnaire designed to assess Knowledge, Awareness, Behavior, Opinion, and Practice of faculty members and students (laboratory and non-laboratory users) on the use of non-distilled water produced by the distillation process. The resulting data, along with its statistical analysis, could pave the way for understanding the significance of evaluating such factors to assist schools, universities, sustainability departments managers, and policymakers in applying the correct approach as a key to successful non-distilled water waste reduction.
This work is conducted at a Malaysian public university using a purposely designed and validated new 23-item questionnaire that studied the green laboratory practice from the point of conservation of non-distilled water from distillation process. Such an approach could help to raise faculty members’ awareness of non-distilled water reuse, laying the groundwork for the subsequent plan, which could include the launch of a targeted online or on-campus campaign, as well as seminars aimed at educating faculty members about non-distilled water reuse and leading to the introduction and implementation of green standard operating procedures (SOP) at the laboratory levels.

2. Methods

2.1. Participants’ Selection and Study Design

The study used an online-based questionnaire method, and data was collected via email, with a total of 222 responses received. There were no exclusion criteria, thus, the questionnaire was open to all faculty members enrolled on all four campuses of a Malaysian public university. The questionnaire contains 23 items divided into six sections, namely “Respondent’s Information”, “Knowledge” (6 items), “Awareness” (5 items), “Practice” (3 items), “Behavior” (5 items), and “Opinion” (4 items). There are items with dichotomous questions (Two response options. i.e., Yes or No) and items accompanied by a five-point Likert-scale (i.e., 1. “Very weak” or “Strongly disagree”, 2. “Weak” or “Disagree”, 3. “Neutral” or “Not sure”, 4. “Strong” or “Agree”, and 5. “Very strong” or “Strongly agree”).

2.2. Statistical Analysis

For data analysis, the Statistical Package for the Social Sciences (SPSS version 27) and MATLAB (version R2010a) were used. The data were analyzed using Principal Axis Factoring (PAF) followed by the Oblique Oblimin Rotation to extract latent factors in an exploratory factor analysis. For factor selection, three criteria were used: eigenvalue greater than one, scree plot point of inflection, and cumulative percentage of variance explained. Furthermore, two phases of analysis were performed; the first phase seeks to determine whether there are statistically significant differences in knowledge, awareness, behavior, and opinion between laboratory and non-laboratory users. The second phase of analysis was limited to the laboratory users, and included, in addition to all of the investigated fields in the first phase, the level of practice. The level of significance, α, was set at 0.05 [35,36].

3. Results and Discussion

3.1. Respondents’ Demography

The demographics of this study’s respondents are represented in Table 1. Surprisingly, more than half of the respondents (67.12%) were females, and the majority of the respondents (73.42%) were students, mostly affiliated with the school of pharmaceutical sciences (36.04%), and under the age of 46 (95.95%), also with 165 out of the 222 respondents being laboratory users.

3.2. Questionnaire Reliability and Validity

Table 2 shows the item means and standard deviation scores from the dichotomous questions section of the questionnaire. The relatively low standard deviation scores suggest that the data points tend to cluster around the mean.
Given that the Kaiser–Meyer–Olkin measure of sampling adequacy equals 0.825 (close to 1.0), and Bartlett’s Test of Sphericity is significant (i.e., X2 = 1731.659, p = 0.000), the data were considered suitable for factor analysis [37,38]. Cronbach’s Alpha coefficient (0.731) for the entire dataset was acceptable and reflects the reliability of the developed questionnaire [39,40].
For further questionnaire validation assessment, an exploratory factor analysis was conducted using Principal Axis Factoring (PAF) where the Oblique Oblimin rotation was carried out [41]. Three criteria were used to extract latent factors for factor selection, i.e., eigenvalue greater than unity [42], scree plot [43], and cumulative percentage of variance explained [44]. The analysis of the twenty-three items returned eight factors with eigenvalues greater than one, and a cumulative percentage of the variance of 66.14%. The items are classified to a certain factor if loadings on both the pattern and the structure matrices are above 0.3 [44,45]. Factors with only an item were excluded, resulting in four factors with 13 items. Table 3 illustrates the variance explained by the extracted factors accordingly.
The popular graphical technique based on the scree plot, as shown in Figure 2, displays the eigenvalues in decreasing order. A visual inspection of a scree plot determines where the curve’s “elbow” occurs; this is a strategy for determining how many principal components to use [46]. Accordingly, Figure 2 depicts the “elbow” at the fifth factor, implying that four factors were retained via the exploratory factor analysis.
Out of these four factors, the first is highly related to the green laboratory concept and water conservation. It also contains an item on encouraging water conservation practices at the university. The second factor, about the use of non-distilled water, discusses the potential uses of non-distilled water and includes an item on the effect of the tap water running rate into the water distiller in producing distilled water. Water distillation knowledge, the third factor, focuses on the water distillation process as well as the differences between tap water and distilled water. The last factor, which investigates the behavior related to water conservation, mainly related to the willingness of respondents to participate in water conservation activities.

3.3. Responses Comparison between Laboratory and Non-Laboratory Users

In this phase of the study, the analysis investigated if there are statistically significant differences in the responses from both laboratory user and non-laboratory user, measured by four variables (i.e., “Knowledge”, “Awareness”, “Behavior”, and “Opinion”). Precisely, a two phase analysis was performed; in the first phase of the analysis, several criteria have to be fulfilled first to conduct the independent-samples t-test and compare the means between the two investigated groups; this includes the dependent variables’ data distribution normality (or approximal normality), and for this purpose, the Shapiro–Wilk test was employed [47]. If the significant (i.e., Sig.) value of the Shapiro–Wilk Test is larger than the level of significance, which is 0.05, the data are normally distributed, as the null hypothesis stating the sample data are not significantly different than a normal population cannot be rejected. All the data from dependent variables as demonstrated in Table 4 returned a value of p < 0.05 indicating that they are not normally distributed; thus, the independent-samples t-test cannot be performed.
The Mann–Whitney U test is used to compare differences between two independent groups when the dependent variable is not normally distributed [48,49]. Accordingly, the Mann–Whitney U test was conducted as illustrated in Table 5. Interestingly, among the four variables, only “Awareness” did not show a significant difference between the laboratory user and non-laboratory user (p = 0.119), with the “Awareness” rank average scores of 125.45 for laboratory user, while the non-laboratory user has the “Awareness” score rank average of 110.14. Overall, the differences between the laboratory user and non-laboratory user for “Knowledge”, “Behavior”, and “Opinion” are statistically significant, where the higher scores of the laboratory user are indicating that this group has more knowledge and behave more sustainably, though their awareness does not differ significantly.
The boxplot is a standardized way of displaying the distribution of data as shown in Figure 3. These plots can be extremely useful for conveying a detailed picture regarding the investigated four variables for laboratory and non-laboratory users [50]. All plots have a small amount of outliers, indicating that there are fewer extreme data that are abnormally distant from other values. Figure 3A shows that the laboratory user gained higher scores in “Knowledge” than the non-laboratory user. This could be explained by the fact that non-laboratory users are unlikely to be exposed to the distillation process, and four of the six questions in this section are related to the water distillation; thus, the non-laboratory user may have less knowledge. As shown in Figure 3B, the median scores for section “Awareness” of both laboratory and non-laboratory users are similar. The data from non-laboratory users are more dispersed than those from laboratory users, though their scores do not differ significantly.
In terms of “Behavior,” the laboratory user acted more sustainably in terms of water conservation, as manifested in Figure 3C. While in Figure 3D, a similar trend can be observed for the “Opinion,” where the median score for laboratory users is higher than non-laboratory users. Overall, there is no statistically significant difference between laboratory and non-laboratory users in terms of “Awareness”; in contrast, in terms of “Knowledge”, “Behavior”, and “Opinion”, there was a statistically significant difference, with the laboratory user scoring higher in all of these three categories. The findings are encouraging as the laboratory user is directly involved in the distillation process.

3.4. Responses Comparison between Laboratory Users’ Different Occupations

In this phase of analysis, the study is focusing on the responses from the laboratory user only. The data used here are extracted from the responses that indicated “Yes” for the item of the questionnaire which asked if the respondent is a laboratory user, and accordingly, a total of 165 responses were considered. The normality test analysis was conducted as previously described in Section 3.1 to check if the data fulfilled the criteria for Analysis of Variance (ANOVA) [51]. Table 6 displays the normality test results for five categories of occupations among the laboratory users, namely “Undergraduate student”, “Postgraduate student”, “Lecturer”, “Laboratory assistant”, and “Other”.
It can be seen from Table 6 that only data from variable “Awareness” are normally distributed, so the conventional ANOVA could not be conducted. Alternatively, the Kruskal–Wallis H test was used to determine whether there are statistically significant differences between two or more groups [52]. The Kruskal–Wallis H test is a nonparametric test that does not assume normality in the data [53]. As demonstrated in Table 7, the occupation “Lecturer” has the highest mean rank for “Awareness”, “Behavior”, and “Opinion”. The occupation “Laboratory assistant” has the highest mean rank for the variable “Knowledge”, whereas “Undergraduate student” obtained the highest mean rank for the variable “Practice”. Based on responses from different categories of faculty members, it is found that lecturers not only have higher awareness, but they also think (i.e., represented by the “Opinion” score) and behave better than those from other occupations. Meanwhile, because the occupation “Laboratory assistant” typically requires training to handle the laboratory tasks, this suggests why they have demonstrated a greater amount of knowledge concerning the distillation process.
The results of the five variables analysis using the Kruskal–Wallis H test are shown in Table 8, where the statistically significant differences (Asymp. Sig) are presented in three variables, namely “Knowledge”, “Practice”, and “Opinion”, via the p-values of the Chi-Square statistic and equal to 0.000, 0.016, and 0.006, respectively. It is noteworthy that these variables are more closely related to participation in the laboratory distillation process. Furthermore, the Kruskal–Wallis H test analysis demonstrated no significant difference in the “Awareness” and “Behavior” variables, depending on the occupation. This is more correlated with an individual’s socioeconomic status and the environment in which the individual grew up, as well as the environmental and social constraints in daily lives that affect individual personalities.
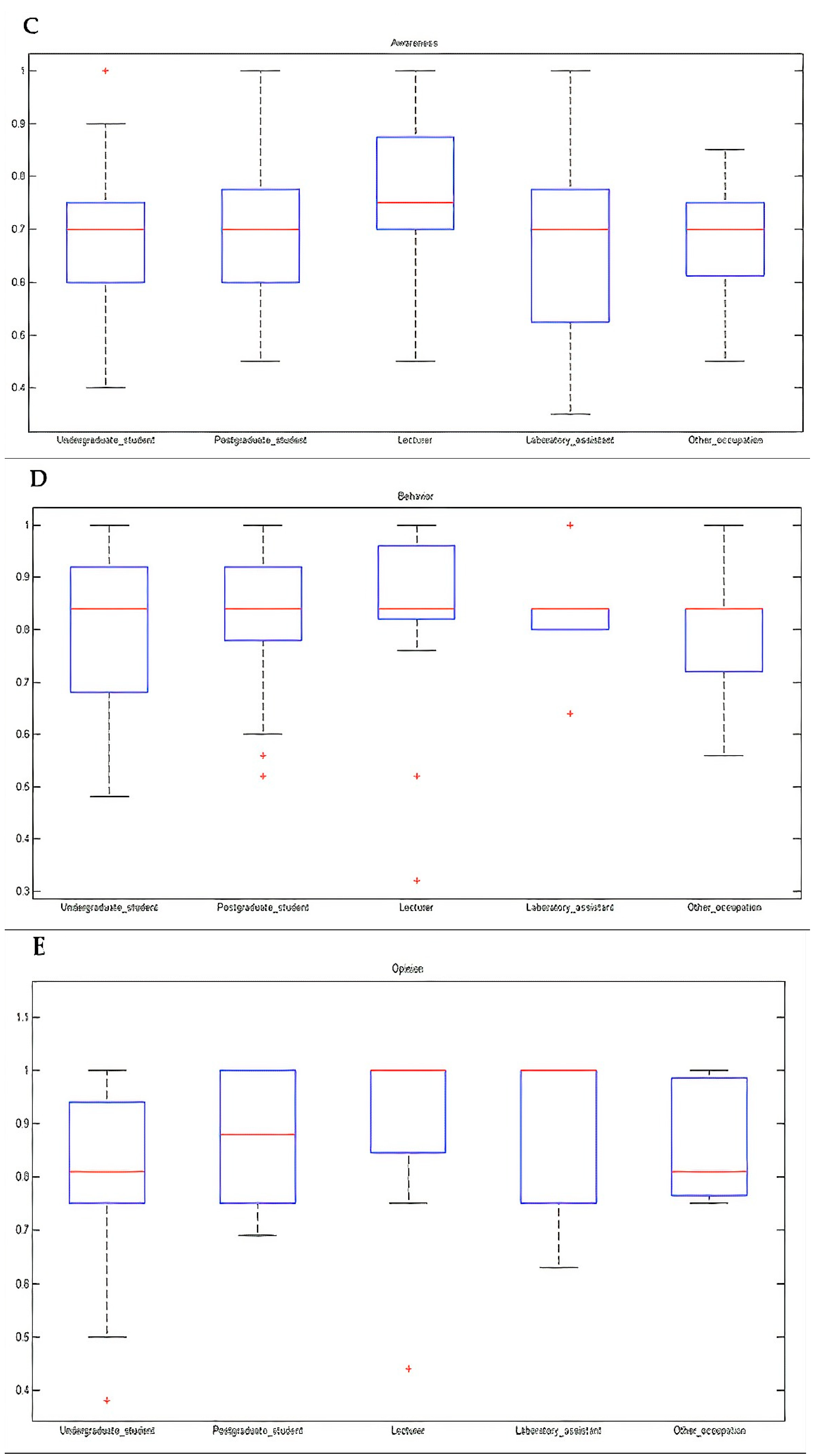
Figure 4 (from A to E) depicts the boxplots for the five occupation-based variables. According to Figure 4A, the median values of “Knowledge” for “Post-graduate student”, “Lecturer”, and “Other” occupations are similar. All data from the “Laboratory assistant” are greater than 0.65. In comparison to other occupations, responses from “Undergraduate students” show relatively low scores for “Knowledge”. The boxplots in Figure 4B show that all occupations have nearly the same median values for “Awareness,” except for “Lecturer”, which has the highest median value. In terms of “Practice”, the response from “Undergraduate student” has the largest interquartile range, indicating that their response varies the most when compared to the other occupations. This is demonstrated by the boxplots in Figure 4C, which shows that all other occupations have a relatively small interquartile range for the variable “Practice”.
According to the boxplots in Figure 4D, which depict the response distribution for variable “Behavior”, the median values for all occupations appeared to be the same. Responses from the occupation “Laboratory assistant” are more consistent than responses from the other occupations. Similarly, to the response for variable “Practice”, the response from “Undergraduate student” varies the most because it has the widest interquartile range. “Lecturer” has slightly higher scores for “Behavior”, whereas the opposite is true for “Other occupation” responses. The occupations of “Lecturer” and “Laboratory assistant” have the highest median values for “Opinion” responses (Figure 4E). In this regard, both occupations’ median scores achieved the maximum score of one.

4. Study Limitation

There has been no previous study of its kind for this specific group to draw a comparison from. Precisely, no study compares faculty members’ levels of awareness, knowledge, behavior, and opinion about distilled water concerning its drained water reuse as part of green laboratory practices. Furthermore, the data were gathered from faculty members at a Malaysian public university, so the sample size, while adequate, is small. The covered age range in this study is limited to respondents from 20 to 45 years old, which may have an impact on the results. Furthermore, the majority of respondents were females and from the student’s occupation, which may have influenced the findings. Besides that, the findings of this study are limited to the truthfulness of the respondents, so there may be errors in recalling some answers. Future studies will use larger samples with different backgrounds, such as the community in primary and secondary schools, with laboratory water distillers, to represent the entire society.

5. Discussion and Suggestions

Universities have a primary responsibility to promote a systemic approach to influencing policymakers in the field of green laboratories by first understanding the members of their faculties, which can lead to the creation of water scarcity programs that can be encouraged to become mandatory upon enrollment in degree-based studies in certain fields. This study shed light on the presence of a significant gap in addressing water scarcity in academia, specifically the method of handling the massive amount of drained water from the distillation process, which is carried out daily to produce enough distilled water for undergraduate, postgraduate, and research laboratories.
In this work, the results showed good awareness and knowledge among the academic staff and the laboratory assistant, respectively; thus, both personnel are having a highly critical role in pushing for the reuse of wastewater to their corresponding laboratory users, mainly students, which also scored highest in practice. Aside from that, higher management of the university shall play a role in seeing into the overlooked problem. For instance, regardless of the working domain but only if it involves the use of distilled water, new-era personnel are expected to have sufficient distilled water waste management skills, either from their undergraduate curriculum or through specific training. Thus, even when the personnel have full access to water resources, this will instill a sense of responsibility toward water resources and make it easier to regulate distilled water use and its waste reuse.
Subjective opinions from this questionnaire showed that more than 97% of the respondents supported the effort to recycle wastewater from the distillation process. Examples of the received comments include “Water crisis is always an issue in other states such as Selangor. Although Penang state may not have this problem, we should be aware of it as part of our efforts to protect the environment.”, “Recycled for plants or industrial”, “Water crisis, especially freshwater, has recently become an issue as its resources are depleting at an alarming rate. Pollution and contamination cause the water supply to become even more limited, so we must conserve while we still have the resource to ensure its long-term viability”. Others make recycling suggestions, such as “A chiller can be installed to recycle the water. However, electricity is required to cool the water and allow condensation to occur. So, make a chiller that doesn’t require electricity?” Investigating this comment led us to the negative side of the collected opinion, where one of the respondents, who is under the lecturer category, mentioned, “Too much effort required to save the non-distilled water, not value for money.” Thus, and based on these subjective opinions, additional suggestions could be the initiation of community-wide competitions and financial awards initiatives, in the context of distilled water reuse policies, as well as strategies to inspire youth and junior researchers to put theory into action.
It is worth highlighting that the sanitary or water management system is heavily reliant on the development of local water infrastructure. Professor Sharma’s innovation of a modified Recycling Distillation Technique that uses an earthen pot as a cooling reservoir is one of the commendable individual efforts made while resources are limited [19,20]. Another one was recently published where a group of dedicated team members made up of students, laboratory technicians, and instructors designed their new distillation system to waste no fresh water out of the distillation unit and replace the conventional glass distillation apparatus [54]. More designs should be encouraged to investigate the impact of such implementations in various laboratories, in terms of the annual volume of reused non-distilled water, as well as the amount of tap water consumed in the first place to generate the distilled water.
Furthermore, the findings of this study could be presented to the top management of Housing, Building, and Planning, at the very least for future infrastructure expansion. A secondary piping system for different water distribution, for instance, may be considered for more sustainable water system usage, which channels the distilled water waste to further usage such as but not limited to toilet washing and watering plants (for gardening and herbal research). This necessitates additional research into the efficiency of water pumps as well as their robustness in the face of such water shortages.
A top-down enforcement manner could be beneficial in this regard; thus, governments and their related organizations can implement a “reward and punishment” strategy in which a specially designed water meter for distilled water waste is installed in laboratories, research centers, and schools with a water bill waiver if the institute achieves a certain level of distilled water reuse, and vice versa in terms of excessive use of distilled water without waste management.
Future scientists maybe are required to provide data on the benefits, drawbacks, and sensitivity of using non-distilled water from the distillation process in washing, as well as daily experiments from basic solvent preparations into molecular experiments. In this regard, a collection of such experiments’ results will contribute to the establishment and activation of on-hands SOP.
Since the COVID-19 pandemic in 2020, and with the implementation of the new norms such as virtual education and academic events, different E-platforms should be studied and used to raise awareness for non-distilled water reuse from the distillation process based on game activities using different approaches including the internet of things, which was recently employed for raising awareness on water pollution [27], aiding in the development of water-sensitive communities [28], as well as reducing water reuse illiteracy and promoting green laboratory practices with a focus on distilled water waste reuse.

6. Concluding Remarks

This paper evaluated four variables, namely, the human behavior, awareness, knowledge, and opinion, regarding reusing non-distilled water produced by the distillation process in a Malaysian public university. Findings from an exploratory factor analysis revealed that the designed questionnaire has adequate construct validity and reliability. Interestingly, among the four variables, only “Awareness” did not show a significant difference between the laboratory user and non-laboratory user, but only laboratory users showed more knowledge and behaved more sustainably. Upon comparing different occupations among laboratory users, “Lecturer” has the highest mean rank for “Awareness”, “Behavior”, and “Opinion”. The occupation “Laboratory assistant” has the highest mean rank for the variable “Knowledge”, whereas “Undergraduate student” obtained the highest mean rank for the variable “Practice”. These preliminary results could help the university management or the water policymakers in addressing the issue of non-distilled water waste.

Author Contributions

Conceptualization, S.Y.C., T.F.N. and J.R.T.; methodology, M.S.H., T.F.N., S.Y.C. and J.R.T.; software, T.F.N., S.Y.C. and J.R.T.; validation, M.S.H. and R.A.A.; formal analysis, M.S.H., T.F.N., S.Y.C. and J.R.T.; investigation, T.F.N., S.Y.C., J.R.T. and R.A.A.; resources, T.F.N., S.Y.C. and J.R.T.; data curation: M.S.H., T.F.N., S.Y.C. and J.R.T.; writing—original draft preparation, S.Y.C., T.F.N. and R.A.A.; writing—review and editing, R.A.A., S.Y.C., T.F.N.; visualization, S.Y.C., T.F.N. and R.A.A.; supervision, S.Y.C. and T.F.N.; project administration, S.Y.C., T.F.N. and M.S.H.; funding acquisition: S.Y.C., T.F.N. and M.S.H. All authors have read and agreed to the published version of the manuscript.

Funding

The authors would like to acknowledge the financial support received from the grant 304/PFARMASI/6501084/U161, Global Research Translation Award via Global Challenges Research Fund by the UK government in carrying out this work.

Institutional Review Board Statement

Not applicable.

Informed Consent Statement

Not applicable.

Data Availability Statement

No suppoting data with this article.

Acknowledgments

Author Reem Abou Assi is the recipient of Universiti Sains Malaysia USM Fellowship Award (P-FD0009/20(R)) from the Institute of Postgraduate Studies (IPS), Universiti Sains Malaysia (USM), Malaysia.

Conflicts of Interest

The authors declare no conflict of interest.

References

  1. Ercin, A.E.; Hoekstra, A.Y. Water footprint scenarios for 2050: A global analysis. Environ. Int. 2014, 64, 71–82. [Google Scholar] [CrossRef]
  2. Dolan, F.; Lamontagne, J.; Link, R.; Hejazi, M.; Reed, P.; Edmonds, J. Evaluating the economic impact of water scarcity in a changing world. Nat. Commun. 2021, 12, 1915. [Google Scholar] [CrossRef]
  3. Tenuta, E. Closing the Execution Gap: How Industry Can Lower Its Water Use and Help Tackle Global Water Scarcity; IWA Publishing: London, UK, 2021; p. 485. [Google Scholar]
  4. Zakar, M.Z.; Zakar, D.R.; Fischer, F. Climate change-induced water scarcity: A threat to human health. South Asia 2012, 27, 293–312. [Google Scholar]
  5. Anderson, D.M.; Cronk, R.; Fejfar, D.; Pak, E.; Cawley, M.; Bartram, J. Safe Healthcare Facilities: A Systematic Review on the Costs of Establishing and Maintaining Environmental Health in Facilities in Low- and Middle-Income Countries. Int. J. Environ. Res. Public Health 2021, 18, 817. [Google Scholar] [CrossRef]
  6. Ouda, S.; Zohry, A.E.-H. Water Scarcity Leads to Food Insecurity. In Deficit Irrigation; Springer: Berlin/Heidelberg, Germany, 2020; pp. 1–13. [Google Scholar]
  7. De Fraiture, C.; Wichelns, D. Satisfying future water demands for agriculture. Agric. Water Manag. 2010, 97, 502–511. [Google Scholar] [CrossRef]
  8. Jeppesen, E.; Brucet, S.; Naselli-Flores, L.; Papastergiadou, E.; Stefanidis, K.; Nõges, T.; Nõges, P.; Attayde, J.L.; Zohary, T.; Coppens, J.; et al. Ecological impacts of global warming and water abstraction on lakes and reservoirs due to changes in water level and related changes in salinity. Hydrobiologia 2015, 750, 201–227. [Google Scholar] [CrossRef]
  9. Wdowinski, S.; Bray, R.; Kirtman, B.P.; Wu, Z. Increasing flooding hazard in coastal communities due to rising sea level: Case study of Miami Beach, Florida. Ocean Coast Manag. 2016, 126, 1–8. [Google Scholar] [CrossRef]
  10. WEF (World Economic Forum). The Global Risks Report; WEF: Geneva, Switzerland, 2016. [Google Scholar]
  11. WWAP (United Nations World Water Assessment Programme). The United Nations World Water. Development Report Wastewater: The Untapped Resource; UNESCO: Paris, France, 2017. [Google Scholar]
  12. Hannah Ritchie and Max Roser (2017)-“Water Use and Stress”. Available online: https://ourworldindata.org/water-use-stress (accessed on 4 March 2021).
  13. Mekonnen, M.M.; Hoekstra, A.Y. Four billion people facing severe water scarcity. Sci. Adv. 2016, 2. [Google Scholar] [CrossRef] [Green Version]
  14. Hafizi Md Lani, N.; Yusop, Z.; Syafiuddin, A. A Review of Rainwater Harvesting in Malaysia: Prospects and Challenges. Water 2018, 10, 506. [Google Scholar] [CrossRef] [Green Version]
  15. Deroiné, M.; Le Duigou, A.; Corre, Y.-M.; Le Gac, P.-Y.; Davies, P.; César, G.; Bruzaud, S. Accelerated ageing of polylactide in aqueous environments: Comparative study between distilled water and seawater. Polym. Degrad. Stab. 2014, 108, 319–329. [Google Scholar] [CrossRef] [Green Version]
  16. Hultquist, G.; Graham, M.J.; Kodra, O.; Moisa, S.; Liu, R.; Bexell, U.; Smialek, J.L. Corrosion of copper in distilled water without O2 and the detection of produced hydrogen. Corros. Sci. 2015, 95, 162–167. [Google Scholar] [CrossRef]
  17. Liu, H.; Guo, P.; Du, J.; Wang, Z.; Chen, G.; Li, Y. Experiments and modeling of hydrate phase equilibrium of CH4/CO2/H2S/N2 quaternary sour gases in distilled water and methanol-water solutions. Fluid Phase Equilibr. 2017, 432, 10–17. [Google Scholar] [CrossRef]
  18. Anandan, S.; Sundara Raj, B.G.; Emeline, A.V.; Bahnemann, D.; Wu, J.J. Facile ultrasound assisted synthesis of monodisperse spherical CuMn(OH)3NO3 nanoparticles for energy storage applications. J. Alloys Compd. 2017, 699, 745–750. [Google Scholar] [CrossRef]
  19. Sharma, K.K. Modification of distilation process in labratories and industries to conserve water. Indian J. Environ. Sci. 2004, 8, 108–116. [Google Scholar]
  20. Sharma, K.K. (Ed.) Recycling of Water during Distillation in Laboratories and Industries Saves Gallons of Water. 2011. Available online: https://www.indiawaterportal.org/articles/recycling-water-during-distillation-laboratories-and-industries-saves-gallons-water-blog (accessed on 12 March 2021).
  21. Chan, S.-Y.; Ng, T.F.; Hassan, M.S. A Survey of Laboratory Practice on Water Scarcity: Conservation of Drained Water from the Water Distillation Process. In Universities as Living Labs for Sustainable Development; Leal Filho, W., Ed.; Springer: Berlin/Heidelberg, Germany, 2020; pp. 761–775. [Google Scholar]
  22. Sullivan, C. Calculating a water poverty index. World Dev. 2002, 30, 1195–1210. [Google Scholar] [CrossRef]
  23. Fiorella, K.J.; Bageant, E.R.; Schwartz, N.B.; Thilsted, S.H.; Barrett, C.B. Fishers’ response to temperature change reveals the importance of integrating human behavior in climate change analysis. Sci. Adv. 2021, 7, eabc7425. [Google Scholar] [CrossRef]
  24. Singha, B.; Eljamal, O. A Review on Water Conservation and Consumption Behavior: Leading Issues, Promoting Actions, and Managing the Policies. Sciences. Sciences (IEICES) 2020, 6, 171–178. [Google Scholar]
  25. Zhao, T.; Zhang, C.; Xu, J.; Wu, Y.; Ma, L. Data-driven correlation model between human behavior and energy consumption for college teaching buildings in cold regions of China. J. Build. Eng. 2021, 38, 102093. [Google Scholar] [CrossRef]
  26. Dwianika, A.; Murwaningsari, E.; Suparta, W. Analysis of water awareness, accountability, and governance to improve sustainability of firm′ s performance in urban areas. Geogr. Tech. 2020, 15, 35–42. [Google Scholar]
  27. Tziortzioti, C.; Andreetti, G.; Rodinò, L.; Mavrommati, I.; Vitaletti, A.; Chatzigiannakis, I. Raising awareness for water polution based on game activities using internet of things. In Proceedings of the 14th European Conference on Ambient Intelligence, EUSAI, Larnaca, Cyprus, 12–14 November 2018; pp. 171–187. [Google Scholar]
  28. Mazzo, C.F.; Anda, M. Online platform to promote awareness and help towards creating water sensitive communities. In Proceedings of the 10th International Conference on Water Sensitive Urban Design: Creating water sensitive communities, WSUD 2018 & Hydropolis Queensland, Perth, Australis, 13 February 2018; p. 152. [Google Scholar]
  29. Fu, H.; Liu, X. A study on the impact of environmental education on individuals’ behaviors concerning recycled water reuse. Eurasia Journal of Mathematics. J. Sci. Educ. Technol. 2017, 13, 6715–6724. [Google Scholar]
  30. Amahmid, O.; El Guamri, Y.; Yazidi, M.; Razoki, B.; Kaid Rassou, K.; Rakibi, Y.; Knini, G.; El Ouardi, T. Water education in school curricula: Impact on children knowledge, attitudes and behaviours towards water use. Int. Res. Geogr. Environ. Educ. 2019, 28, 178–193. [Google Scholar] [CrossRef]
  31. Marlow, D.R.; Beale, D.J.; Burn, S. A pathway to a more sustainable water sector: Sustainability-based asset management. Water Sci. Technol. 2010, 61, 1245–1255. [Google Scholar] [CrossRef] [PubMed] [Green Version]
  32. Hannibal, B.; Portney, K. The impact of water scarcity on support for hydraulic fracturing regulation: A water-energy nexus study. Energy Policy 2020, 146, 111718. [Google Scholar] [CrossRef]
  33. Sintov, N.; Dux, E.; Tran, A.; Orosz, M. What goes on behind closed doors? How college dormitory residents change to save energy during a competition-based energy reduction intervention. Int. J. Sustain. High. Educ. 2016, 17, 451–470. [Google Scholar] [CrossRef]
  34. Fawehinmi, O.; Yusliza, M.Y.; Mohamad, Z.; Faezah, J.N.; Muhammad, Z. Assessing the green behaviour of academics: The role of green human resource management and environmental knowledge. Int. J. Manpow. 2020, 41, 879–900. [Google Scholar] [CrossRef]
  35. Ghekiere, A.; Deforche, B.; Carver, A.; Mertens, L.; de Geus, B.; Clarys, P.; Cardon, G.; De Bourdeaudhuij, I.; Van Cauwenberg, J. Insights into children’s independent mobility for transportation cycling–Which socio-ecological factors matter? J. Sci. Med. Sport 2017, 20, 267–272. [Google Scholar] [CrossRef]
  36. Traeger, A.C.; Skinner, I.W.; Hübscher, M.; Henschke, N.; Moseley, G.L.; McAuley, J.H. What you wear does not affect the credibility of your treatment: A blinded randomized controlled study. Patient Educ. Couns. 2017, 100, 104–111. [Google Scholar] [CrossRef] [PubMed] [Green Version]
  37. Conijn, A.P.; Santema, T.B.K.; Bipat, S.; Koelemay, M.J.W.; de Haan, R.J. Clinimetric evaluation of the vascular quality of life questionnaire in patients with lower limb ischaemia. Eur. J. Vasc. Endovasc. Surg. 2017, 53, 412–418. [Google Scholar] [CrossRef] [PubMed] [Green Version]
  38. Lin, H.L.; Lin, M.H.; Ho, C.C.; Fu, C.H.; Koo, M. Psychometric properties of the Chinese version of the attitudes towards cardiopulmonary resuscitation with defibrillation (ACPRD-C) among female hospital nurses in Taiwan. Int. Emerg. Nurs. 2017, 33, 7–13. [Google Scholar] [CrossRef]
  39. Matsudaira, K.; Oka, H.; Kawaguchi, M.; Murakami, M.; Fukudo, S.; Hashizume, M.; Löwe, B. Development of a Japanese version of the Somatic Symptom Scale-8: Psychometric validity and internal consistency. Gen. Hosp. Psychiatry 2017, 45, 7–11. [Google Scholar] [CrossRef] [PubMed]
  40. Lee, K.J.; Jang, H.I.; Choi, H. Korean translation and validation of the WHOQOL-DIS for people with spinal cord injury and stroke. Disabil. Health J. 2017, 627–631. [Google Scholar] [CrossRef]
  41. Nievas Soriano, B.J.; García Duarte, S.; Fernández Alonso, A.M.; Bonillo Perales, A.; Parrón Carreño, T. Validation of a Questionnaire Developed to Evaluate a Pediatric eHealth Website for Parents. Int. J. Environ. Res. Public Health 2020, 17, 2671. [Google Scholar] [CrossRef]
  42. Kaiser, H.F. The application of electronic computers to factor analysis. Educ. Psychol. Meas. 1960, 20, 141–151. [Google Scholar] [CrossRef]
  43. Cattell, R.B. The scree test for the number of factors. Multivar. Behav. Res. 1966, 1, 245–276. [Google Scholar] [CrossRef]
  44. Williams, B.; McKenna, L.; French, J.; Dousek, S. The clinical teaching preference questionnaire (CTPQ): An exploratory factor analysis. Nurse Educ. Today 2013, 33, 814–817. [Google Scholar] [CrossRef]
  45. Pugh, S.L.; Wyatt, G.; Wong, R.K.; Sagar, S.M.; Yueh, B.; Singh, A.K.; Yao, M.; Nguyen-Tan, P.F.; Yom, S.S.; Cardinale, F.S. Exploratory factor analysis of NRG oncology’s University of Washington quality of life questionnaire—RTOG modification. J. Pain Symptom. Manag. 2017, 53, 139–145. [Google Scholar] [CrossRef] [Green Version]
  46. Wilcox, R. Chapter 6-Some Multivariate Methods. In Introduction to Robust Estimation and Hypothesis Testing, 3rd ed.; Wilcox, R., Ed.; Academic Press: Boston, MA, USA, 2012; pp. 215–289. [Google Scholar] [CrossRef]
  47. Thode, H.C. Testing for Normality; Marcel Dekker: New York, NY, USA, 2002. [Google Scholar]
  48. McKnight, P.E.; Najab, J. Mann-Whitney U test. In The Corsini Encyclopedia of Psychology; John Wiley & Sons, Inc.: Hoboken, NJ, USA, 2010. [Google Scholar] [CrossRef]
  49. García-Marín, A.P.; Estévez, J.; Morbidelli, R.; Saltalippi, C.; Ayuso-Muñoz, J.L.; Flammini, A. Assessing Inhomogeneities in Extreme Annual Rainfall Data Series by Multifractal Approach. Water 2020, 12, 1030. [Google Scholar] [CrossRef] [Green Version]
  50. Agrawal, P.; Sinha, A.; Kumar, S.; Agarwal, A.; Banerjee, A.; Villuri, V.G.K.; Annavarapu, C.S.R.; Dwivedi, R.; Dera, V.V.R.; Sinha, J.; et al. Exploring Artificial Intelligence Techniques for Groundwater Quality Assessment. Water 2021, 13, 1172. [Google Scholar] [CrossRef]
  51. Iversen, G.R.; Norpoth, H. Analysis of Variance; SAGE Publications: Thousand Oaks, CA, USA, 1987. [Google Scholar]
  52. Kruskal, W.H.; Wallis, W.A. Use of ranks in one-criterion variance analysis. J. Am. Stat. Assoc. 1952, 47, 583–621. [Google Scholar] [CrossRef]
  53. Ferencz, B.; Toporowska, M.; Dawidek, J. Temporal and Vertical Relations between Various Environmental Factors in the Largest Lake of Łęczna-Włodawa Lake District (Eastern Poland). Water 2019, 11, 1263. [Google Scholar] [CrossRef] [Green Version]
  54. Matos, L.C.; Eulálio, A.; Antunes, T.; Loureiro, J.M.; Ferreira, A.; Mendes, A. Project and Implementation of an Educational Large-Scale Water Distillation Unit with a Closed-Circuit Condenser. Sustainability 2020, 12, 3239. [Google Scholar] [CrossRef] [Green Version]
Figure 1. Number of published articles via PubMed engine using the keywords of (A): Distilled water; (B): Green laboratory; (C): Drained water; (D): Distilled water waste re-use (23 May 2021).
Figure 1. Number of published articles via PubMed engine using the keywords of (A): Distilled water; (B): Green laboratory; (C): Drained water; (D): Distilled water waste re-use (23 May 2021).
Water 13 02018 g001
Figure 2. A scree plot via the exploratory factor analysis with the “elbow” at the fifth factor.
Figure 2. A scree plot via the exploratory factor analysis with the “elbow” at the fifth factor.
Water 13 02018 g002
Figure 3. Boxplot of variables (A) “Knowledge, (B) “Awareness”, (C) “Behavior”, and (D) “Opinion” between laboratory and non-laboratory user.
Figure 3. Boxplot of variables (A) “Knowledge, (B) “Awareness”, (C) “Behavior”, and (D) “Opinion” between laboratory and non-laboratory user.
Water 13 02018 g003
Figure 4. Boxplot of variables (A): “Knowledge”, (B): “Awareness”, (C): “Practice”, (D): “Behavior”, and (E): “Opinion” among laboratory users’ various occupations including undergraduate students, postgraduate students, lecturers, laboratory assistant and others.
Figure 4. Boxplot of variables (A): “Knowledge”, (B): “Awareness”, (C): “Practice”, (D): “Behavior”, and (E): “Opinion” among laboratory users’ various occupations including undergraduate students, postgraduate students, lecturers, laboratory assistant and others.
Water 13 02018 g004aWater 13 02018 g004b
Table 1. The demographic distribution of the survey participants.
Table 1. The demographic distribution of the survey participants.
VariableDescriptorFrequencyPercentage
GenderFemale14967.12
Male7332.88
Age<20125.41
20–2510748.20
26–459442.34
46–6073.15
>6020.90
NationalityMalaysian20391.44
Foreigners (non-Malaysian)198.56
SchoolPharmaceutical Sciences8036.04
Biological Science2712.16
Chemical Science229.91
Industrial Technology188.11
Physics198.56
Other5625.23
OccupationUndergraduate student10949.10
Postgraduate student5424.32
Lecturer3113.96
Laboratory assistant104.50
Other188.11
Laboratory userYes16574.32
No5725.68
Table 2. Mean and standard deviation (SD) of item score.
Table 2. Mean and standard deviation (SD) of item score.
ItemMeanSD
1Do you know about Green Laboratory?1.710.45
2Do you know about water distillation process?1.100.30
3Have you seen distiller machine before?1.220.41
4Do you know that to generate 100 mL of distilled water we need 4000 mL of tap water?1.770.42
5Based on question B5 (i.e., previous question), do you think that it is a waste of resource?1.180.39
6Do you know the differences between tap water, and distilled water?1.080.27
7Are you aware of the water conservation issue?3.890.87
8How important is water conservation to you?4.320.74
9Are you aware of the water crisis issue happening in India and Africa?3.841.09
10Lowering the rate of running tap water into the water distiller can produce a relatively higher amount of distilled water as compared to the non-distilled water.3.310.99
11Have you thought of the other potential uses of the non-distilled water?3.240.99
12In your laboratory, is the non-distilled water being collected from the distiller during the distillation process?1.790.41
13On average, how long is the distiller in your laboratory switched ON during a working day?1.940.88
14Will you support if Universiti Sains Malaysia (USM) proposes the conservation of non-distilled water generated from the distillation process?1.070.25
15I am interested to learn more about water conservation.4.080.78
16I am willing to get involved in the water conservation program.3.870.86
17I am willing to use the non-distilled water from the distiller after the water distillation process.4.040.82
18I will use non-distilled water efficiently.4.080.79
19Do you practice a water conservation lifestyle in your daily life?1.250.43
20The non-distilled water produced from distillation process can be used for other purposes.4.260.73
21The USM community needs to promote water conservation practice.4.360.72
22Do you think that USM should apply the green laboratory concept in designing a new laboratory?4.360.78
23Do you think improving the distillation process could contribute to the concept of a green laboratory?4.270.80
Table 3. Pattern and structure matrixes with communalities and explained variance of the extracted factors.
Table 3. Pattern and structure matrixes with communalities and explained variance of the extracted factors.
Items by FactorCommunalitiesExplained Variance (%)Matrix
PatternStructure
Factor 1: Concept of Green Laboratory and Water Conservation 26.21
Do you think improving the distillation process could contribute to concept green laboratory?0.862 0.9340.919
Do you think that USM should apply the green laboratory concept in designing a new laboratory?0.791 0.8510.885
The USM community needs to promote water conservation practice.0.716 0.8240.843
The non-distilled water produced from distillation process can be used for other purposes.0.556 0.3530.614
Factor 2: Usage of Non-distilled Water 7.60
Have you thought of the other potential uses of the non-distilled water?0.668 0.8270.796
Lowering the rate of running tap water into the water distiller can produce a relatively higher amount of distilled water as compared to the non-distilled water.0.336 0.4130.486
Factor 3: Knowledge about Water Distillation 7.10
Do you know about the water distillation process?0.527 0.7410.718
Have you seen a distiller machine before?0.553 0.6620.716
Do you know the differences between tap water, and distilled water?0.187 0.3820.409
Factor 4: Behavior related to Water Conservation 5.86
I am willing to get involved in the water conservation program.0.695 0.8100.816
I am interested to learn more about water conservation.0.668 0.7470.805
I will use non-distilled water efficiently.0.618 0.4360.654
I am willing to use the non-distilled water from the distiller after the water distillation process.0.673 0.3990.645
Table 4. Normality test for phase 1 analysis using Shapiro–Wilk test.
Table 4. Normality test for phase 1 analysis using Shapiro–Wilk test.
Laboratory UserStatisticdf.Sig.
KnowledgeYes0.9041710.000
No0.919700.000
AwarenessYes0.9781710.007
No0.965700.048
BehaviorYes0.9311710.000
No0.960700.025
OpinionYes0.8811710.000
No0.862700.000
Table 5. Mann–Whitney U test in phase 1 analysis.
Table 5. Mann–Whitney U test in phase 1 analysis.
VariableGroupMean RankSum of Ranksp-ValueMann-Whitney U
KnowledgeLaboratory User137.0623,437.500.0003238.500
Non-laboratory User81.765723.50
AwarenessLaboratory User125.4521,451.500.119 *5224.500
Non-laboratory User110.147709.50
BehaviorLaboratory User130.9222,386.500.0014289.500
Non-laboratory User96.786774.50
OpinionLaboratory User129.4522,136.500.0034539.500
Non-laboratory User100.357024.50
* p-value is not significant.
Table 6. Normality test analysis using Shapiro–Wilk test.
Table 6. Normality test analysis using Shapiro–Wilk test.
OccupationStatisticdf.Sig.
KnowledgeUndergraduate student0.904770.000
Postgraduate student0.874440.000
Lecturer0.840240.001
Laboratory assistant0.65590.000
Other0.625110.000
AwarenessUndergraduate student0.979770.217 *
Postgraduate student0.970440.313 *
Lecturer0.969240.630 *
Laboratory assistant0.96790.867 *
Other0.960110.771 *
PracticeUndergraduate student0.907770.000
Postgraduate student0.875440.000
Lecturer0.815240.001
Laboratory assistant0.77690.011
Other0.625110.000
BehaviorUndergraduate student0.941770.001
Postgraduate student0.928440.009
Lecturer0.772240.000
Laboratory assistant0.82990.043
Other0.930110.406 *
OpinionUndergraduate student0.922770.000
Postgraduate student0.849440.000
Lecturer0.694240.001
Laboratory assistant0.75190.006
Other0.843110.034
* p-value is not significant.
Table 7. Mean ranks of Kruskal–Wallis H test analysis for the laboratory users’ different occupations.
Table 7. Mean ranks of Kruskal–Wallis H test analysis for the laboratory users’ different occupations.
OccupationNMean Rank
KnowledgeUndergraduate student7762.73
Postgraduate student4498.67
Lecturer24101.08
Laboratory assistant9106.89
Other11103.23
AwarenessUndergraduate student7775.34
Postgraduate student4483.03
Lecturer24109.00
Laboratory assistant981.61
Other1180.86
PracticeUndergraduate student7795.93
Postgraduate student4475.74
Lecturer2471.06
Laboratory assistant967.11
Other1160.59
BehaviorUndergraduate student7777.42
Postgraduate student4489.32
Lecturer2495.15
Laboratory assistant977.94
Other1174.45
OpinionUndergraduate student7769.58
Postgraduate student4490.69
Lecturer24107.54
Laboratory assistant992.33
Other1185.00
Table 8. Test statistics of Kruskal–Wallis H test of five variables for laboratory users.
Table 8. Test statistics of Kruskal–Wallis H test of five variables for laboratory users.
KnowledgeAwarenessPracticeBehaviorOpinion
Chi Square29.0489.25012.1713.92014.600
df.44444
Asymp. Sig.0.0000.055 *0.0160.417 *0.006
* p-value is not significant.
Publisher’s Note: MDPI stays neutral with regard to jurisdictional claims in published maps and institutional affiliations.

Share and Cite

MDPI and ACS Style

Abou Assi, R.; Ng, T.F.; Tang, J.R.; Hassan, M.S.; Chan, S.Y. Statistical Analysis of Green Laboratory Practice Survey: Conservation on Non-Distilled Water from Distillation Process. Water 2021, 13, 2018. https://doi.org/10.3390/w13152018

AMA Style

Abou Assi R, Ng TF, Tang JR, Hassan MS, Chan SY. Statistical Analysis of Green Laboratory Practice Survey: Conservation on Non-Distilled Water from Distillation Process. Water. 2021; 13(15):2018. https://doi.org/10.3390/w13152018

Chicago/Turabian Style

Abou Assi, Reem, Theam Foo Ng, Jing Rui Tang, Mohd Sayuti Hassan, and Siok Yee Chan. 2021. "Statistical Analysis of Green Laboratory Practice Survey: Conservation on Non-Distilled Water from Distillation Process" Water 13, no. 15: 2018. https://doi.org/10.3390/w13152018

APA Style

Abou Assi, R., Ng, T. F., Tang, J. R., Hassan, M. S., & Chan, S. Y. (2021). Statistical Analysis of Green Laboratory Practice Survey: Conservation on Non-Distilled Water from Distillation Process. Water, 13(15), 2018. https://doi.org/10.3390/w13152018

Note that from the first issue of 2016, this journal uses article numbers instead of page numbers. See further details here.

Article Metrics

Back to TopTop