Evaluating the Hydrologic Risk of n-Year Floods According to RCP Scenarios
Abstract
:1. Introduction
2. Materials and Methods
2.1. Climate Change Scenarios
2.2. Hydrologic Risk of n-Year Flood Considering Climate Change Scenarios
3. Results
3.1. Design Floods According to Various Climate Change Scenarios
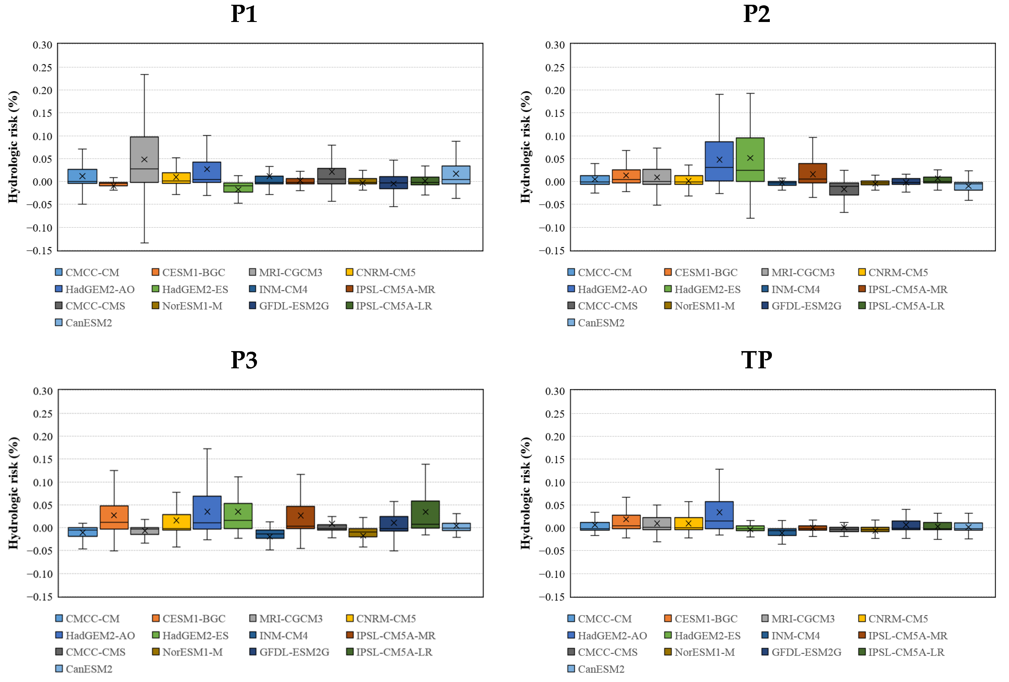
3.2. Hydrologic Risk of Flooding According to Various Climate Change Scenarios
3.3. Hydrologic Risk for Individual Basins
4. Conclusions
Author Contributions
Funding
Institutional Review Board Statement
Informed Consent Statement
Data Availability Statement
Conflicts of Interest
References
- Korea Meteorological Administration (KMA). Climate Change Scenario Use Casebook; KMA: Seoul, Korea, 2018. [Google Scholar]
- Liuzzo, L.; Bono, E.; Sammartano, V.; Freni, G. Analysis of spatial and temporal rainfall trends in Sicily during the 1921–2012 period. Appl. Clim. 2016, 126, 113–129. [Google Scholar] [CrossRef]
- Warming, G. Perceived community-based flood adaptation strategies under climate change in Nepal. Int. J. Glob. Warm. 2014, 6, 113–124. [Google Scholar]
- Avand, M.; Muradi, H.R.; Ramazanzadeh Lasboyee, M. Spatial prediction of future flood risk: An approach to the effects of climate change. Geoscience 2021, 11, 25. [Google Scholar] [CrossRef]
- Kordrostami, S.; Tao, Z.; Karim, F.; Rahman, A. Regional Flood Frequency Analysis Using an Artificial Neural Network Model. Geoscience 2020, 10, 127. [Google Scholar] [CrossRef] [Green Version]
- Akter, T.; Quevauviller, P.; Eisenreich, S.J.; Vaes, G. Impacts of climate and land use changes on flood risk management for the Schijn River, Belgium. Environ. Sci. Policy 2018, 89, 163–175. [Google Scholar] [CrossRef]
- Saber, M.; Abdrabo, K.I.; Habiba, O.M.; Kantosh, S.A.; Sumi, T. Impacts of triple factors on flash flood vulnerability in Egypt: Urban growth, extreme climate, and mismanagement. Geosciences 2020, 10, 24. [Google Scholar] [CrossRef] [Green Version]
- Ministry of the Interior and Safety (MOIS). Guideline for the Design Criteria of Structural Measures to Prevent Natural Disasters under Climate Change; MOIS: Sejong, Korea, 2014. [Google Scholar]
- Adnan, M.; Nabi, G.; Kang, S.; Zhang, G.; Adnan, R.M.; Anjum, M.N.; Iqbal, M.; Ali, A.F. Snowmelt runoff modelling under projected climate change patterns in the Gilgit river basin of Northern Pakistan. Pol. J. Environ. Stud. 2017, 26, 525–542. [Google Scholar] [CrossRef]
- Mehmood, A.; Jia, S.; Lv, A.; Zhu, W.; Mahmood, R.; Saifullah, M.; Adnan, R.M. Detection of spatial shift in flood regime of the Kabul river basin in Pakistan, causes, challenges, and opportunities. Water 2021, 13, 1276. [Google Scholar] [CrossRef]
- Najibi, N.; Devineni, N. Recent trends in the frequency and duration of global floods. Earth Syst. Dyn. 2018, 9, 757–783. [Google Scholar] [CrossRef] [Green Version]
- Mehmood, A.; Jia, S.; Mahmood, R.; Yan, J.; Ahsan, M. Non-stationary Bayesian modeling of annual maximum floods in a changing environment and implications for flood management in the Kabul river basin, Pakistan. Water 2019, 11, 1246. [Google Scholar] [CrossRef] [Green Version]
- Latif, Y.; Ma, Y.; Ma, W. Climatic trends variability and concerning flow regime of Upper Indus basin, Jehlum, and Kabul river basins Pakistan. Theor. Appl. Climatol 2021, 144, 447–468. [Google Scholar] [CrossRef]
- Ministry of the Interior and Safety (MOIS). Disaster Prevention Performance Establishment and Operation Standards by Region: Considering Future Climate Change Effects; MOIS: Sejong, Korea, 2017. [Google Scholar]
- Chungcheongnam-do. Determining the Design Frequency of Local Rivers in Chungcheongnam-do; Korea River Association: Chungcheongnam-do, Korea, 2017. [Google Scholar]
- Lee, J.-Y.; Choi, C.; Kang, D.; Kim, B.S.; Kim, T.-W. Estimating design floods at ungauged watersheds in South Korea using machine learning models. Water 2020, 12, 22. [Google Scholar] [CrossRef]
- Intergovernmental Panel on Climate Change (IPCC). Climate Change 2014: Synthesis Report. Contribution of Working Groups I, II and III to the Fifth Assessment Report of the Intergovernmental Panel on Climate Change; IPCC: Geneva, Switzerland, 2014. [Google Scholar]
- Kim, N.W.; Lee, J.-Y.; Park, D.H.; Kim, T.-W. Evaluation of future flood risk according to RCP scenarios using a regional flood frequency analysis for ungauged watersheds. Water 2019, 11, 992. [Google Scholar] [CrossRef] [Green Version]
- Condon, L.E.; Gangopadhyay, S.; Pruitt, T. Climate change and non-stationary flood risk for the upper Truckee River basin. Hydrol. Earth Syst. Sci. 2015, 19, 159–175. [Google Scholar] [CrossRef]
- Du, T.; Xiong, L.; Xu, C.Y.; Gippel, C.; Guo, S.; Liu, P. Return period and risk analysis of nonstationary low-flow series under climate change. J. Hydrol. 2015, 527, 234–250. [Google Scholar] [CrossRef] [Green Version]















| No. | GCMs | Resolution | Agency |
|---|---|---|---|
| 1 | CMCC-CM | 0.750 × 0.748 | Centro Euro-Mediterraneo per i Cambiamenti Climatici |
| 2 | CESM1-BGC | 1.250 × 0.942 | National Center for Atmospheric Research |
| 3 | MRI-CGCM3 | 1.125 × 1.122 | Meteorological Research Institute |
| 4 | CNRM-CM5 | 1.406 × 1.401 | Centre National de Recherches Meteorologiques |
| 5 | HadGEM2-AO | 1.875 × 1.250 | Met Office Hadley Centre |
| 6 | HadGEM2-ES | 1.875 × 1.250 | |
| 7 | INM-CM4 | 2.000 × 1.500 | Institute for Numerical Mathematics |
| 8 | IPSL-CM5A-MR | 2.500 × 1.268 | Institut Pierre-Simon Laplace |
| 9 | CMCC-CMS | 1.875 × 1.865 | Centro Euro-Mediterraneo per i Cambiamenti Climatici |
| 10 | NorESM1-M | 2.500 × 1.895 | Norwegian Climate Centre |
| 11 | GFDL-ESM2G | 2.500 × 2.023 | Geophysical Fluid Dynamics Laboratory |
| 12 | IPSL-CM5A-LR | 3.750 × 1.895 | Institut Pierre-Simon Laplace |
| 13 | CanESM2 | 2.813 × 2.791 | Canadian Centre for Climate Modelling and Analysis |
| Climate Change Scenario (GCM ID Number) | |||||||||||||
|---|---|---|---|---|---|---|---|---|---|---|---|---|---|
| 1 | 2 | 3 | 4 | 5 | 6 | 7 | 8 | 9 | 10 | 11 | 12 | 13 | |
| Ave | 0.64 | 0.65 | 0.64 | 0.64 | 0.67 | 0.63 | 0.62 | 0.63 | 0.64 | 0.63 | 0.64 | 0.64 | 0.64 |
| Max | 0.82 | 0.84 | 0.77 | 0.82 | 0.87 | 0.71 | 0.73 | 0.75 | 0.86 | 0.73 | 0.74 | 0.71 | 0.74 |
| Min | 0.49 | 0.48 | 0.49 | 0.50 | 0.50 | 0.48 | 0.48 | 0.50 | 0.49 | 0.51 | 0.48 | 0.49 | 0.49 |
| Climate Change Scenario (GCM ID Number) | |||||||||||||
|---|---|---|---|---|---|---|---|---|---|---|---|---|---|
| 1 | 2 | 3 | 4 | 5 | 6 | 7 | 8 | 9 | 10 | 11 | 12 | 13 | |
| Ave | 0.75 | 0.73 | 0.72 | 0.74 | 0.73 | 0.71 | 0.70 | 0.72 | 0.70 | 0.71 | 0.72 | 0.73 | 0.71 |
| Max | 0.92 | 0.92 | 0.84 | 0.91 | 0.91 | 0.79 | 0.78 | 0.84 | 0.76 | 0.78 | 0.80 | 0.91 | 0.83 |
| Min | 0.56 | 0.58 | 0.56 | 0.58 | 0.56 | 0.57 | 0.58 | 0.56 | 0.55 | 0.57 | 0.56 | 0.56 | 0.56 |
Publisher’s Note: MDPI stays neutral with regard to jurisdictional claims in published maps and institutional affiliations. |
© 2021 by the authors. Licensee MDPI, Basel, Switzerland. This article is an open access article distributed under the terms and conditions of the Creative Commons Attribution (CC BY) license (https://creativecommons.org/licenses/by/4.0/).
Share and Cite
Lee, J.-Y.; Son, H.-J.; Kim, D.; Ryu, J.-H.; Kim, T.-W. Evaluating the Hydrologic Risk of n-Year Floods According to RCP Scenarios. Water 2021, 13, 1805. https://doi.org/10.3390/w13131805
Lee J-Y, Son H-J, Kim D, Ryu J-H, Kim T-W. Evaluating the Hydrologic Risk of n-Year Floods According to RCP Scenarios. Water. 2021; 13(13):1805. https://doi.org/10.3390/w13131805
Chicago/Turabian StyleLee, Jin-Young, Ho-Jun Son, Dongwook Kim, Jae-Hee Ryu, and Tae-Woong Kim. 2021. "Evaluating the Hydrologic Risk of n-Year Floods According to RCP Scenarios" Water 13, no. 13: 1805. https://doi.org/10.3390/w13131805
APA StyleLee, J.-Y., Son, H.-J., Kim, D., Ryu, J.-H., & Kim, T.-W. (2021). Evaluating the Hydrologic Risk of n-Year Floods According to RCP Scenarios. Water, 13(13), 1805. https://doi.org/10.3390/w13131805

