Abstract
Urban flooding has become a serious but not well-resolved problem during the last decades. Traditional mainstream facilities, such as vegetated roofs, permeable pavements, and others, are effective to eliminate urban flooding only in case of small rains because the water-retaining and detaining capacities of these traditional facilities are limited. Here, we propose a new buffer tank buried in soil to deal with rainwater onsite as peak-flow control for urban flooding mitigation. Experiments showed that the buffer tank intercepts the surface runoff and discharges the intercepted water through a designed outlet orifice. By properly setting the cross-sectional area of the orifice, the tank extends the drainage duration several times longer than that of the rainfall duration. It is found that the buffer tank attenuates the peak flow greater at heavier rain. At small rain (<2.5 mm), the tank is always unfilled, preserving storage spaces for detaining rainwater in case of heavy rain. The buffer tank is thus greatly helpful to mitigate the flooding problem, avoiding being saturated by small long-lasting rain.
1. Introduction
Urbanization seals many open soils, lawns, and other permeable surfaces with impervious surfaces such as pavements and roofs. The space for infiltrating the rainfall onsite has shrunk dramatically. During heavy rainfall, bubbles, ditches, and depressions are readily filled with water; as a result, further rainfall leads to runoff. To reduce the runoff, drainage facilities, such as sewers, conduits, pipes, canals, and other facilities have been widely built to convey the surface runoff off-site to the nearby streams and rivers. When runoff from all sealed surfaces discharged simultaneously, the peak flow of the discharge may exceed the carrying capacity of the local sewers, and consequently, leading to flooding. Urban flooding also occurs when surface water enters the sewers at a high place and then becomes deposited at low-lying streets. The flooding problem has been becoming even more serious because climate change has increased the frequency of high intensity rainfall [1,2].
Urban flooding can be cured if the peak flow of the runoff discharge is attenuated to a level that falls below the carrying capacity of the sewers. During the last decades, a group of new techniques has been proposed to mitigate urban flooding. Typical and widely-known projects are the Low Impact Development [3], Sustainable Urban Drainage Design [4], Integrated Urban Water Management [5], Water Sensitive Urban Design [6], Sponge Cities [7], and others [8]. While the processing methods of these projects are different, their key techniques for urban rainwater management are similar [9]. That is, rainwater is detained, retained, infiltrated, purified, stored, and/or used on source to reduce the amount of runoff and to decay the peak flow [10]. The mainstream technologies include vegetated roofs, permeable pavements, rainwater tanks, infiltration trenches, and others. Vegetated roofs can retain and detain rainwater in plant roots and in the substrate of roof for subsequent evaporation, thus reducing the peak flow of discharge to a certain extent [11,12]. The substrate of the vegetated roof, however, is readily saturated during heavy rain, making the roof fail to further retain the water [13]. Permeable pavements allow rainwater passing through their matrix, with a portion of rainwater storing in the subbase of the pavement structure for subsequent infiltration [14]. The infiltration, however, is thus limited to the places with deep groundwater table and with highly-permeable subsoils. [15]. Rainwater tanks can store a sizable volume of rainwater, but the stored water needs to be evacuated manually to reset the tank [6,16]. Infiltration trenches drain rainwater onsite but are also limited to the places with highly-permeable soils and deep groundwater table [17]. In addition, infiltration trenches and permeable pavements are prone to be clogged by fine particles [18,19]. Because of the shortcomings of the above-mentioned technologies, urban flooding is still unsolved, although these technologies have been widely applied to mitigate urban flooding for decades [20].
Here, we propose a new self-setting buffer tank to detain rainwater on source for attenuating the peak flow of runoff. The buffer tank detains runoff from the nearby sealed surfaces and then drains the detained water through a small drain orifice. By controlling the cross-sectional area of the orifice, the peak flow discharge of the tank is controlled. The detained rainwater can drain from the buffer tank even after the rainfall has stopped for hours. As the interim of two heavy rains is longer than the rainfall duration, there is sufficient time to ensure that the water in the buffer tank infiltrates through the surface of soil and/or is transferred to other places. In this way, the problem of insufficient storage space for rainwater is solved.
2. Concept of Peak-Flow Control
To find a solution to attenuate the peak flow, one needs understand the hydrograph of runoff from a sealed surface. Figure 1 presents a typical runoff hydrograph (red straight line) of a sealed surface during a heavy rain. Runoff increases from zero to a peak value and then drops gradually to zero. Without properly detaining rainwater, the peak value could exceed the carrying capacity of the local sewers, leading to flooding. The flooding could be avoided if the peak flow of the discharge is attenuated to a level that falls below the carrying capacity of the sewer.
Figure 1.
Typical runoff hydrographs and their simplified forms.
As indicated in Figure 1, a typical Cypress–Creek hydrograph (red straight line) can be approximated to a triangle (red dashed line), with the peak flow of the discharge equal to the height of the triangle, the discharge duration equal to the base of the triangle, and the total discharge volume equal to the area of the triangle [21]. Without modifying the urban sealed surfaces, the runoff volume remained unchanged so the area of the triangle is unchanged as well. This means that attenuating the peak-flow discharge must be done by extending the discharge duration, as indicated in Figure 1 (the dwarfed triangle). Such an extension is practically possible because the sewer is always idle during the interim between two heavy rain events. If this idle time is used to drain the rainwater, the peak flow could be attenuated. As indicated in Figure 1, the red triangular hydrograph can be modified to a new dwarfed triangle that has a height lower than the carrying capacity of the sewage (green dashed line). By extending the discharge duration, the rainwater can continually discharge a smaller volume of water through a small space for a longer time than those of the original discharge (the red triangle); that is, time is traded for space.
To extend the discharge duration, the runoff from a sealed surface can be detained in a buffer tank that slowly drains the detained water through a small orifice. The tank must have an inlet whose cross-sectional area is greater than that of the outlet. With such a tank, a portion of the rainwater would be detained in the buffer tank, and the remaining portion discharges as the instantaneous runoff. If the tank is properly designed, the peak flow of the runoff can be attenuated to a level less than the carrying capacity of the sewer. By draining the detained water through the outlet orifice, the tank is reset automatically before the next heavy rain. A schematic for the buffer tank is shown in Figure 2. Rainwater enters through a large pipe at the top of the tank, while a small outlet orifice is open closely at the bottom of the tank as the outlet.
Figure 2.
A schematic for a rainwater buffer tank.
3. Theory, Experiment, and Numerical Simulations
3.1. Drop of Water Head in a Tank with a Drain Hole
As shown in Figure 2, the detained water drains through the outlet orifice via gravitational flow. According to the Torricelli law, the speed, v (m/s), of water discharging through the orifice is proportional to the square root of the height, h (m), of water above the center of orifice, which is
where g = 9.81 m2/s is the gravitational acceleration.
The speed, (m/s), can also be expressed as
where (m) is the horizontal displacement of the fluid discharging through the orifice over a period of time (). According to the principle of mass conservation:
where a (m2) is the cross-sectional area of the outlet orifice, and (m2) is the internal cross-sectional area of the buffer tank. The differential equations of the water height h (m) and t (s) can be obtained by combining Equations (1)–(3), which is
The exact expression can be obtained after integrating Equation (4), which is
where (m) is initial liquid level.
3.2. Experiments
To verify Equation (5), a buffer tank with a size of 12.5 m × 4 m × 1.6 m (length × width and height) is evacuated in an open lawn of Guangxi University, China (Figure 3 a). The tank’s wall consists of clay bricks and the tank’s bottom, a 10 cm-thick plain Portland cement concrete layer over a gravel layer. The internal wall of the tank is surfaced with a thin cementitious paste to make the tank waterproof. To structurally support the panels, the tank is partitioned in two chambers; but the water in the two chambers is connected (Figure 3b). For the safety during the experiment, the tank is roofed by reinforced concrete panels (Figure 3c). On the side of the tank’s wall, a hole is designed to house a glass plate tightly. In the center of the glass plate, a drain orifice is prepared. The water head dropping in the water tank is measured. The experiment procedure is set as:
Figure 3.
Schematic diagram of the buffer tank. (a) Pit excavation for the tank; (b) construction of the buffer tank. (c) The buffer tank with reinforced roof.
- (1)
- Add water to the buffer tank until the water head is 50 cm above the center of the drain orifice;
- (2)
- Open the drain orifice and record the water head dropping in the tank until the water dropping rate is less than 0.1 cm/hour;
- (3)
- Replace the glass plate with different diameter of drain orifice and then repeat steps (1) and (2).
In the experiments, the diameter of the drain orifice can be set as 1 cm, 1.5 cm, 2 cm and 2.5 cm, respectively. The water draining from the orifice is led to a pipe to convey the water to a low-lying place.
3.3. Numerical Simulations
In reality, the water enters and drains from the buffer tank simultaneously. Correspondingly, the water head can drop or rise during a rain event, depending on the rain depth and the tank’s size. To simulate this process, here, we assume that a buffer tank with a cross-sectional area of 100 m2 and that the runoff coefficient is 0.80. The buffer tank is also assumed to be cubic in shape. The corresponding outflow, (m3/s), is
Considering an instantaneous rainfall intensity of p (m/s) and a runoff coefficient of r (-), the inflow to the buffer tank, (m3/s), is
where Ac (m2) is the area of the catchment.
According to the principle of mass conservation, the difference between the inflow and outflow of the tank is the water storage in the buffer tank
where t (s) is time.
In Equation (8), finding an analytic solution for h (m) is technically difficult because both p and h are variables in terms of time. It is, however, practical to find h using numerical differentiation if the boundary condition, p, is given. With the water height h, the inflow () and the outflow () can be inquired from Equation (8). The peak-flow attenuation can be estimated subsequently, which is
where max(x) is an operator that searches for the maximum value of a series of x.
The critical parameters that determine the runoff volume and runoff peak flow are the rainfall distribution and rainfall depth. The instantaneous rainfall distribution can be modeled by a group of probability density functions such as gamma distribution [22], which is adopted in this study for simplicity and is formulated by
where α and β are two parameters controlling the shape of the gamma distribution. The integral of f over the time interval of t = [0, ∞) is unity. We can further assume the instantaneous rainfall intensity as
where P (m) is the rainfall water depth. For simplicity, we assume that the rainfall immediately leads to runoff without considering the decay effect.
Generally, a large rainfall depth for a short duration causes flooding. Here, the rainfall was assumed lasting for one hour. It was also assumed that the rainfall was stronger in the first half hour than in the latter half. According to the assumptions, different pairs of α and β values were tried repeatedly until the assumptions were met. Finally, α = 2 and β = 1/500 were found. Then, according to the rainfall intensity standard issued by the Meteorological Department of China, the rainfall depths were assumed P = 2 cm and P = 10 cm to represent moderate and heavy rains, respectively. Using these assumed rainfall distributions and rainfall depths as the input to Equation (8), we simulated the rainwater volume detaining in the buffer tank with different drain orifices and different internal edge lengths. In the simulation, the time step is one second and the linear interpolation is used when needed. Simulation results indicate that if a cubic buffer tank has an internal edge length of 1.41 m (the square root of 2 m) and a drain orifice of 2.6 cm in diameter, the tank can fully detain rainwater without overflow in case of 10 cm rainfall depth. We assume that the ground surface is composed of concrete pavement and a small amount of green space with a runoff coefficient of 0.9 and 0.15, respectively. After comprehensive consideration, the weighted runoff coefficient is set as 0.8. In the following, the parameters in Table 1 were adopted unless noted.
Table 1.
Simulation parameters.
4. Result
4.1. Water Head Dropping in the Water Tank Obeys the Torricelli Law
As indicated in Figure 4, the drop of the water head approximately obeys the Torricelli law. The measurement water heads are lightly higher than those estimated by the Torricelli law. This deviation is reasonable because the Torricelli law is idealized and neglects the viscous resistance of the water from the small drainage orifice. As indicated in Figure 4, the observed water head deviates more from the theoretical one in case of a greater size of drain orifice. Taking the water head at 10 cm as the limit, when the drain orifice diameter is 2 cm and 2.5 cm, the actual drainage time is extended by about 2 h and 2.5 h, respectively, compared with the theoretical one. This deviation is reasonable because water discharges from a larger drain orifice is turbulent flow, while the Torricelli law assumes the outflow is a laminar flow. Except these deviations for the case of the greater drain orifices (2 cm, 2.5 cm), the observed water head is very close to the theoretical one, verifying that water head dropping in the water tank obeys the Torricelli law.
Figure 4.
The height of the liquid level decreases with time in a quadratic curve. Dotted data represent measured values; solid lines represent theoretical values.
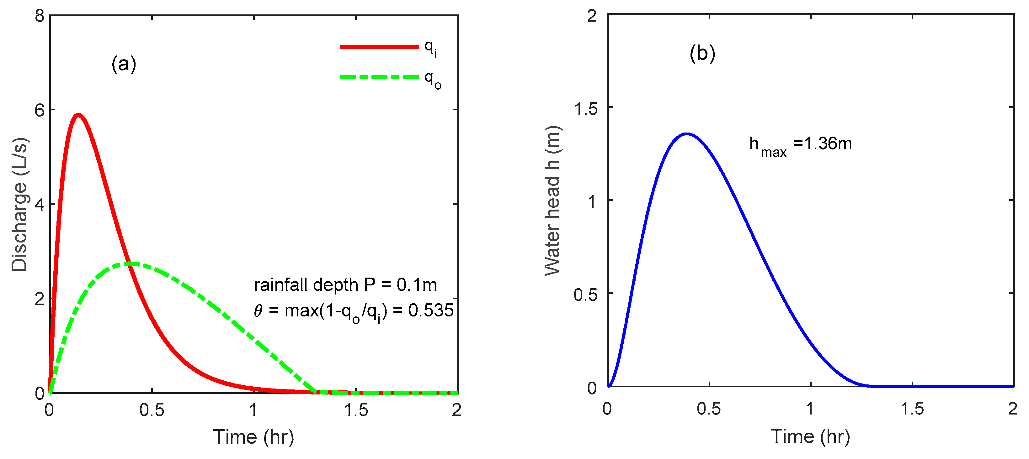
4.2. The Buffer Tank Effectively Attenuates the Peak Flow in Case of Heavy Rain
The simulated results indicate that the buffer tank effectively attenuates the peak flow of runoff in case of heavy rain. Without the buffer tank, the peak flow from the 100 m2 sealed surface would be about 6 L/s (Figure 5a). As the diameter of the drain orifice (2.6 cm) in the simulation is close to the maximum one in the test (2.5 cm), the outflow rate will be slightly smaller than the outflow rate predicted by the Torricelli law (Figure 4). However, the difference within one hour at the beginning of the discharge is negligibly small (Figure 4); so, the discharge in Figure 5 still obeys to the Torricelli law. When the buffer tank is used, the peak flow decreases to about 2.4 L/s and the time to drain the same amount of runoff delays about a quarter of an hour (Figure 5a). The water in the buffer tank can rise to a culmination of 1.36 m, without overflow for a cubic tank with an internal size length of square root of 2 m (Figure 5b). This setup of the buffer tank leads to a peak-flow attenuation rate of 0.535. As indicated in Figure 5a, the rainfall lasts for 1 h (red straight line) but the discharge from the buffer tank (green dashed line) lasts for about 1.3 h. Therefore, the use of the buffer tank extends the discharge duration and thus attenuates the peak flow of runoff. A greater attenuation rate and a longer discharge duration could be obtained if the drain orifice is set smaller than that of the considered one. However, a smaller drain orifice would result in more water being retained in the buffer tank, which would lead to overflow of the tank.
Figure 5.
The discharge and water head of the buffer tank during heavy rain. (a) Discharge flow; (b) water head in the tank.
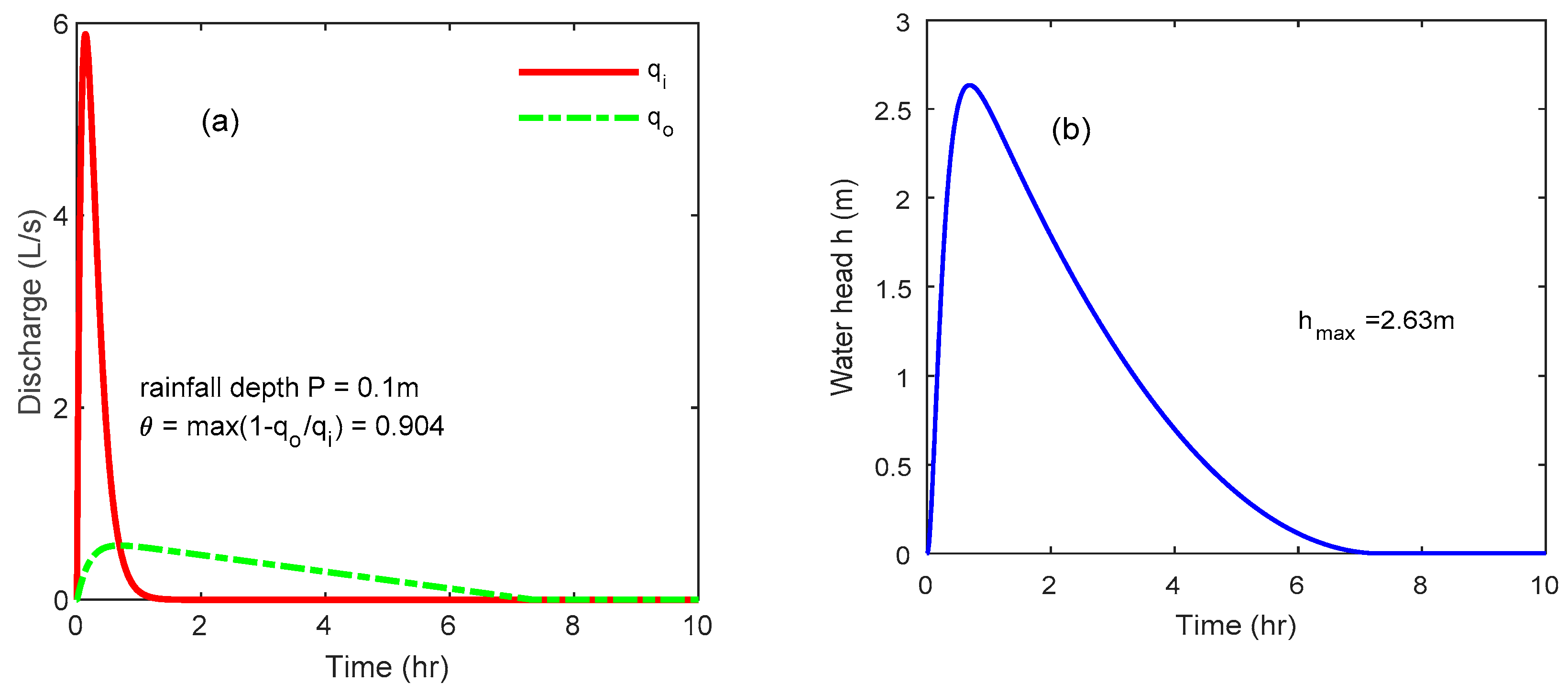
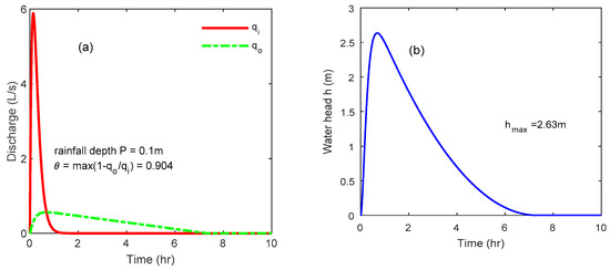
4.3. The Peak-Flow Attenuation Rate Is Controlled by the Drain Orifice
The drain orifice of the buffer tank controls the discharge rate and discharge duration of the retained water. To verify this control, we simulate the discharge flow and water head of the buffer tank by assuming a smaller orifice diameter of 1 cm (in comparison to 2.6 cm used in the previous simulations). The change of the water head is assumed to follow Torricelli law exactly. The base area of the buffer tank is still set as 2 m2 (√2 m × √2 m), while the height of the tank is unlimited. The simulation results in Figure 6 show that the peak flow can be curtailed about 90%. As a result, a greater portion of runoff is detained in the buffer tank, which must be at least 2.63 m—the height for preventing overflow (Figure 6b). Correspondingly, the continual discharge of the detained water is extended by about 7 h after the rainfall stops. One can imagine that adopting a smaller drain orifice would extend the discharge duration and thus attenuate the peak flow further. As the interim between two heavy rain events is typically longer than the rainfall duration, it is practical to elongate the discharge duration by using a buffer tank with a small drain orifice. Doing so, the buffer tank can trade time for overcoming the problem that the discharge volume is greater than the carrying capacity of the sewer. That is, trading time for space solves flooding problems.
Figure 6.
Decreasing the cross-sectional area of the drain orifice greatly extends the discharge time. (a) Discharge flow; (b) water head in the tank.
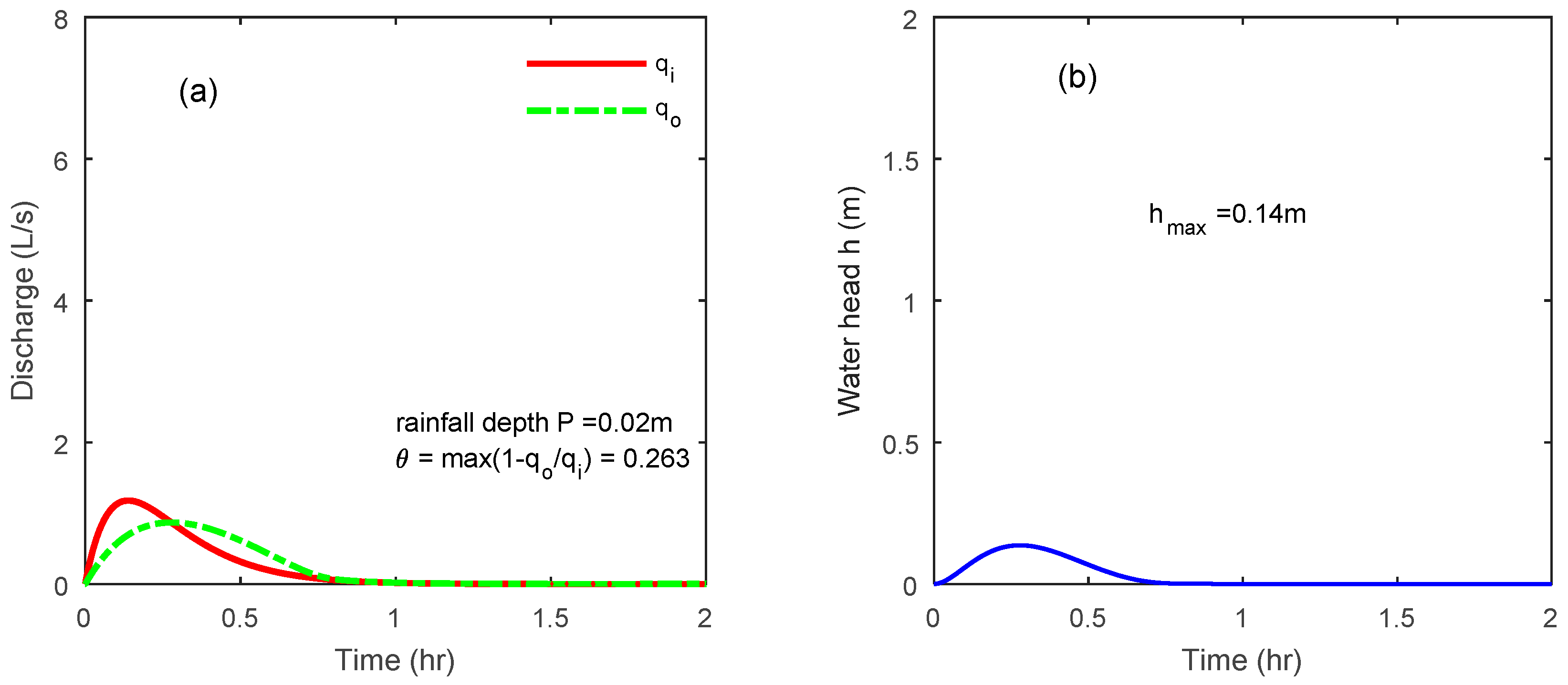
4.4. The Buffer Tank Keeps Empty in Case of Small Rain
In comparison, the buffer tank is less effective to attenuate the peak flow of runoff in case of small rain compared with heavy rain. The simulation results show that in case of a 2-cm rainfall depth, the buffer tank attenuates the peak flow attenuation rate of about 0.263 (Figure 7a). This means that the installation of the buffer tank does not attenuate the peak flow notably, in comparison with the case of a 10-cm rainfall depth. Consequently, the discharge duration of the buffer tank is almost equal to the rainfall duration. Correspondingly, the water level in the buffer tank rises to a height of 0.14 m (Figure 7b), which means that most spaces of the buffer tank remain unfilled. It is noted that, if the drain orifice of the tank decreases, more rainwater can be detained in the tank so the peak-flow attention rate would increase and the water level in the tank would rise. However, this is undesirable because the buffer tank with a smaller drain orifice would not reserve spaces for detaining rainwater in future heavy rain. In contrary, the buffer tank should be set-up to prevent saturation in case of long-lasting small rainfall, which does not cause flooding. The small amount of rainwater detained in the buffer tank drains soon after the rainfall stops. Therefore, although the buffer tank cannot effectively attenuate the peak flow of runoff in case of small rain, it is beneficial to reserve the storage capacity for detaining a large volume of rainwater in case of heavy rain.
Figure 7.
Discharge and water head of the buffer tank during small rain. (a) Discharge flow; (b) water head in the tank.
4.5. Buffer Tank Works Better in Case of Heavy Rain
We further simulate the peak-flow attenuation rate and water head of the buffer tank under conditions that the rainfall depths range from 0.01 to 0.10 cm. We found that the culmination of the water head in the buffer tank increases exponentially with the rainfall depth (Figure 8a). This trend further verifies that the tank is not filled in case of small and medium rains and reserves spaces for detaining water in case of heavy rain. The trend also means that, at sites with an extreme rainfall depth greater than 0.10 m, the tank would overflow, so a bigger tank should be designed (Figure 8b). Similarly, the peak-flow attenuation rate rises with the rainfall depth following a logical law. This trend further verifies that the buffer tank attenuates a greater rate of the peak flow in case of heavy rain. Therefore, the buffer tank must be designed site-specifically to attenuate the peak flow to an anticipated level for avoiding flooding and overflow.
Figure 8.
The buffer tank performs better in case of a greater rainfall depth. (a) Culminations of water head in the buffer tank increase with the rainfall depth; (b) the peak flow is attenuated at a greater level at heavier rainfall.
5. Discussion
The buffer tank location and the orifice size are site-specific. To save construction cost, the buffer tank should be close to the existing municipal network, such as green belts or sidewalks. In areas where water is a scarce resource, the buffer tank could be installed near residential areas for reusing the harvested water. Similar with other facilities for attenuating the peak flow of runoff, the buffer tank newly developed in this study may be prone to clogging when it is improperly designed. If the drain orifice is set at the bottom of the tank, it would be eventually clogged by dredges because rainwater-carrying particles preferentially settle at the bottom. It is optional to set the drain orifice at the side wall of the tank and at an elevation from the tank’s bottom. The tank’s sidewall is commonly 5–10 cm thick reinforced concrete to resist the internal water pressure against the wall because the tank can detain rainwater to a height of 1–2 m in case of heavy rain. Opening a tiny orifice on such a thick wall is unwise because such an orifice would be prone to be clogged by dredges that settle when the discharge rate is low. It is wise to intentionally leave a hole in the tank’s wall and cover the hole with a thin barrier that has an orifice drilled at the center (Figure 2). Under the orifice is a dead storage space hosting water that cannot drain through the orifice. Water in the dead storage is optional for non-portable water use such as irrigation. The size and orifice number of a buffer tank is customized to avoid overflow in case of heavy rain.
The buffer tank can be set above the ground or underground. If the buffer tank is set above the ground, it can collect runoff from the roof of a building. The water can be drained to ready-built drainage facilities such as nearby sewers and drains, and even to infiltration units such as rainwater gardens. If the soils surrounding the tank are high-permeable, the discharge can infiltrate through the soils to replenish local aquifers. In such a case, the infiltration of the soil should not undermine the stability of the nearby buildings; meanwhile, the groundwater table should stay at the deep ground. Otherwise, the discharge from the tank should be diverted to the local sewers. This case is common in an urbanized area because the infiltration of urban soils is low, and because the groundwater table rises in monsoon seasons. The buffer tank is alternatively to be installed underground to detain rainwater from roofs, roads, and other sealed surfaces. The inlet of the tank must be set at a relatively low elevation for detaining rainwater via the gravitational flow. The tank is roofed by a reinforced slab above which the land is not sacrificed.
Compared with traditional drainage facilities, such as the rain barrel, rainwater tank and detention/retention pond, the buffer tank has advantages in function and cost. A rain barrel is a small chamber installed nearby a private house to harvest runoff from the roof for reducing a runoff volume [23]. The barrel, once filled, does little to further store rainwater, and thus, it needs to get frequently emptied [24]. The barrel cannot reset automatically [25]. Similarly, a traditional rainwater tank is a bigger unit storing rainwater for non-portable water usage [26]. A tank commonly has a bypass pipe on the tank’s top to lead surplus water for preventing overflow. Water harvested in the tank is extracted for hometown uses. If the tank is not emptied before the next heavy rain, it cannot restore, so its ability to attenuate the peak flow is limited [27]. Frequent emptying of the tank, however, is costly. The detention/retention ponds are built to temporarily collect excess rainwater. The only difference between the two is that the retention pond can retain a part of rainwater over a long period of time. The detention/retention pond can store rainwater effectively, but it requires a large area of land. Owing to the poor drainage of urban soils, it is difficult to drain the detained water in a short time, which may cause overflow during the next heavy rain. In addition, the affiliated facilities of the detention/retention tank, such as flow regulators, pipes, a pump, and other devices are required to transport the stored water to the end users, lead to additional cost. Therefore, rainwater barrel, rainwater tank, and detention/retention pond cannot reset automatically while the buffer can; a difference that makes the buffer tank unique.
6. Conclusions
A new self-resetting buffer tank is proposed to detain a portion of rainwater on a source for attenuating the peak flow of runoff and thus mitigating urban flooding. The buffer tank collects runoff automatically and discharges the detained water through an orifice setting at the tank’s bottom. When the inflow is greater than the outflow, a portion of water is detained in the tank and the peak flow of runoff is attenuated. We found that, for a 100-m2 sealed roof with a runoff coefficient of 0.80 and a 10-cm rainfall depth for one hour, a cubic buffer tank with an internal side length of 1.41 m (the square root of 2 m) can attenuate 50% of the peak flow. At heavy rain, the buffer tank can attenuate the peak flow greatly, while, at small rain, the peak-flow attenuation is limited. These different attenuations are greatly desirable because the buffer tank always reserves storage spaces for detaining rainwater in case of heavy rain. By properly designing the cross-sectional area of the drain orifice, the discharge from the buffer tank can stop immediately after rainfall or can extend over hours.
Author Contributions
Writing and editing: Y.L.; data processing: J.X.; modeling: C.Y.; conceptualization, Y.Q. All authors have read and agreed to the published version of the manuscript.
Funding
This work is supported by the high-level innovation team and outstanding scholar program in Guangxi colleges (to Y. Qin) and the Natural Science Foundation of Guangxi (No. 2018GXNSFAA294070, 2018GXNSFDA138009).
Institutional Review Board Statement
Not applicable.
Informed Consent Statement
Not applicable.
Data Availability Statement
Not applicable.
Conflicts of Interest
The authors declare no conflict of interest.
References
- Schreider, S.Y.; Smith, D.I.; Jakeman, A.J. Climate Change Impacts on Urban Flooding. Clim. Chang. 2000, 47, 91–115. [Google Scholar] [CrossRef]
- Huong, H.T.L.; Pathirana, A. Urbanization and climate change impacts on future urban flooding in Can Tho city, Vietnam. Hydrol. Earth Syst. Sci. 2013, 17, 379–394. [Google Scholar] [CrossRef]
- Dietz, M.E. Low Impact Development Practices: A Review of Current Research and Recommendations for Future Directions. Water Air Soil Pollut. 2007, 186, 351–363. [Google Scholar] [CrossRef]
- Loc, H.H.; Duyen, P.M.; Ballatore, T.J.; Lan, N.H.M.; Das Gupta, A. Applicability of sustainable urban drainage systems: an evaluation by multi-criteria analysis. Environ. Syst. Decis. 2017, 37, 332–343. [Google Scholar] [CrossRef]
- Mitchell, V.G. Applying Integrated Urban Water Management Concepts: A Review of Australian Experience. Environ. Manag. 2006, 37, 589–605. [Google Scholar] [CrossRef]
- Khastagir, A.; Jayasuriya, L. Impacts of using rainwater tanks on stormwater harvesting and runoff quality. Water Sci. Technol. 2010, 62, 324–329. [Google Scholar] [CrossRef][Green Version]
- Wang, H.; Mei, C.; Liu, J.; Shao, W. A new strategy for integrated urban water management in China: Sponge city. Sci. China Technol. Sci. 2018, 61, 317–329. [Google Scholar] [CrossRef]
- Lim, H.S.; Lu, X.X. Sustainable urban stormwater management in the tropics: An evaluation of Singapore’s ABC Waters Program. J. Hydrol. 2016, 538, 842–862. [Google Scholar] [CrossRef]
- Fletcher, T.D.; Shuster, W.; Hunt, W.F.; Ashley, R.; Butler, D.; Arthur, S.; Trowsdale, S.; Barraud, S.; Semadeni-Davies, A.; Bertrand-Krajewski, J.-L.; et al. SUDS, LID, BMPs, WSUD and more—The evolution and application of terminology surrounding urban drainage. Urban Water J. 2015, 12, 525–542. [Google Scholar] [CrossRef]
- Ahiablame, L.M.; Engel, B.A.; Chaubey, I. Effectiveness of Low Impact Development Practices: Literature Review and Suggestions for Future Research. Water Air Soil Pollut. 2012, 223, 4253–4273. [Google Scholar] [CrossRef]
- DeNardo, J.C.; Jarrett, A.R.; Manbeck, H.B.; Beattie, D.J.; Berghage, R.D. Stormwater mitigation and surface temperature reduction by green roofs. Trans. ASAE 2005, 48, 1491–1496. [Google Scholar] [CrossRef]
- Ercolani, G.; Chiaradia, E.A.; Gandolfi, C.; Castelli, F.; Masseroni, D. Evaluating performances of green roofs for stormwater runoff mitigation in a high flood risk urban catchment. J. Hydrol. 2018, 566, 830–845. [Google Scholar] [CrossRef]
- Carter, T.; Jackson, C.R. Vegetated roofs for stormwater management at multiple spatial scales. Landsc. Urban Plan. 2007, 80, 84–94. [Google Scholar] [CrossRef]
- Imran, H.M.; Akib, S.; Karim, M.R. Permeable pavement and stormwater management systems: a review. Environ. Technol. 2013, 34, 2649–2656. [Google Scholar] [CrossRef] [PubMed]
- Coughlin, J.; Campbell, C.; Mays, D. Infiltration and Clogging by Sand and Clay in a Pervious Concrete Pavement System. J. Hydrol. Eng. 2011, 17, 68–73. [Google Scholar] [CrossRef]
- Guo, Y.; Baetz, B.W. Sizing of Rainwater Storage Units for Green Building Applications. J. Hydrol. Eng. 2007, 12, 197–205. [Google Scholar] [CrossRef]
- Warnaars, E.; Larsen, A.V.; Jacobsen, P.; Mikkelsen, P.S. Hydrologic behaviour of stormwater infiltration trenches in a central urban area during 2¾ years of operation. Water Sci. Technol. 1999, 39, 217–224. [Google Scholar] [CrossRef]
- Siriwardene, N.R.; Deletic, A.; Fletcher, T.D. Clogging of stormwater gravel infiltration systems and filters: Insights from a laboratory study. Water Res. 2007, 41, 1433–1440. [Google Scholar] [CrossRef] [PubMed]
- Kia, A.; Wong, H.S.; Cheeseman, C.R. Clogging in permeable concrete: A review. J. Environ. Manag. 2017, 193, 221–233. [Google Scholar] [CrossRef]
- Qin, Y. Urban Flooding Mitigation Techniques: A Systematic Review and Future Studies. Water 2020, 12, 3579. [Google Scholar] [CrossRef]
- Ferguson, B.K. Storm-Water Infiltration for Peak-Flow Control. J. Irrig. Drain. Eng. 1995, 121, 463–466. [Google Scholar] [CrossRef]
- ŞEN, Z.; Eljadid, A.G. Rainfall distribution function for Libya and rainfall prediction. Hydrol. Sci. J. 1999, 44, 665–680. [Google Scholar] [CrossRef]
- Nachshon, U.; Netzer, L.; Livshitz, Y. Land cover properties and rain water harvesting in urban environments. Sustain. Cities Soc. 2016, 27, 398–406. [Google Scholar] [CrossRef]
- Jennings, A.A.; Adeel, A.A.; Hopkins, A.; Litofsky, A.L.; Wellstead, S.W. Rain Barrel-Urban Garden Stormwater Management Performance. J. Environ. Eng. 2013, 139, 757–765. [Google Scholar] [CrossRef]
- Gao, Y.; Babin, N.; Turner, A.J.; Hoffa, C.R.; Peel, S.; Prokopy, L.S. Understanding urban-suburban adoption and maintenance of rain barrels. Landsc. Urban Plann. 2016, 153, 99–110. [Google Scholar] [CrossRef]
- Petrucci, G.; Deroubaix, J.-F.; de Gouvello, B.; Deutsch, J.-C.; Bompard, P.; Tassin, B. Rainwater harvesting to control stormwater runoff in suburban areas. An experimental case-study. Urban Water J. 2012, 9, 45–55. [Google Scholar] [CrossRef]
- Palla, A.; Gnecco, I.; Lanza, L.G.; La Barbera, P. Performance analysis of domestic rainwater harvesting systems under various European climate zones. Resour. Conserv. Recycl. 2012, 62, 71–80. [Google Scholar] [CrossRef]
Publisher’s Note: MDPI stays neutral with regard to jurisdictional claims in published maps and institutional affiliations. |
© 2021 by the authors. Licensee MDPI, Basel, Switzerland. This article is an open access article distributed under the terms and conditions of the Creative Commons Attribution (CC BY) license (https://creativecommons.org/licenses/by/4.0/).







