Electrochemical Processes for the Treatment of Hazardous Wastes Exemplified by Electroplating Sludge Leaching Solutions
Abstract
1. Introduction
2. Experiment and Theories
2.1. Electrochemical Oxidation and Reduction
2.2. Non-Active Anode
2.3. Experimental Hypothesis
3. Materials and Methods
3.1. Dissolution of Solid Waste Samples
3.2. Experimental Setup
3.3. Analysis
4. Results and Discussion
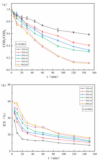
4.1. Effects of Current Density
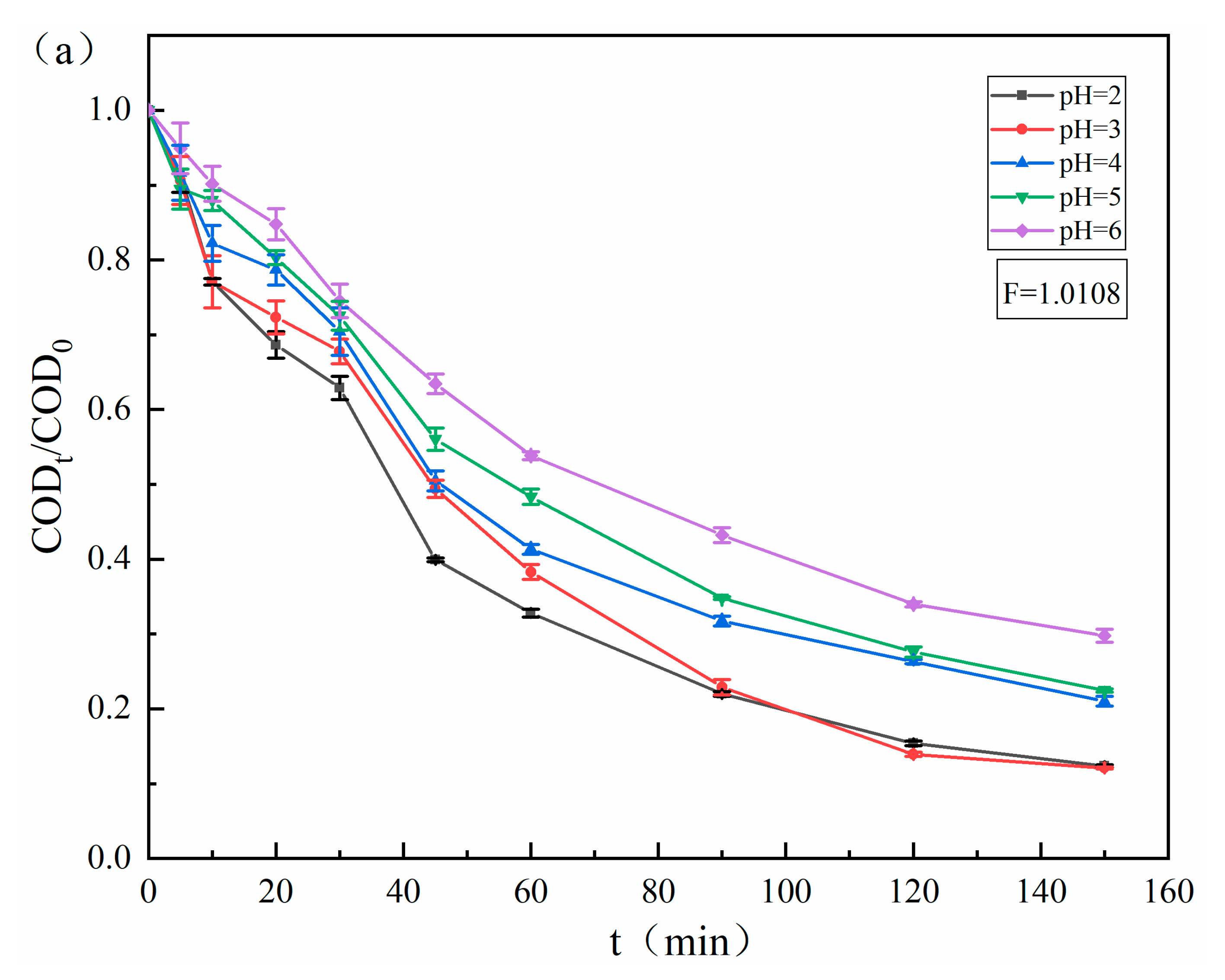
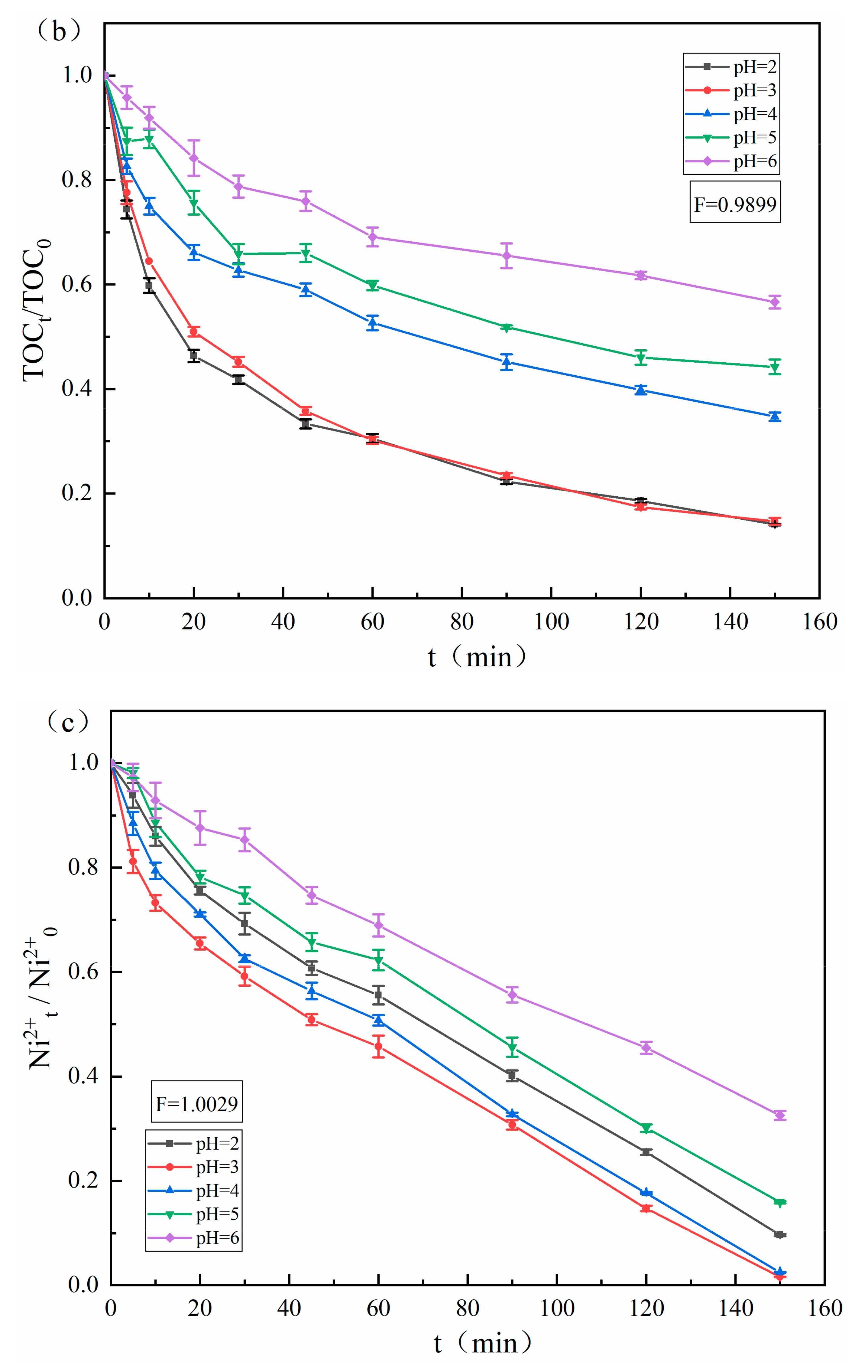
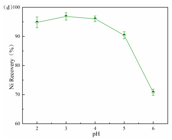
4.2. Effects of pH Value
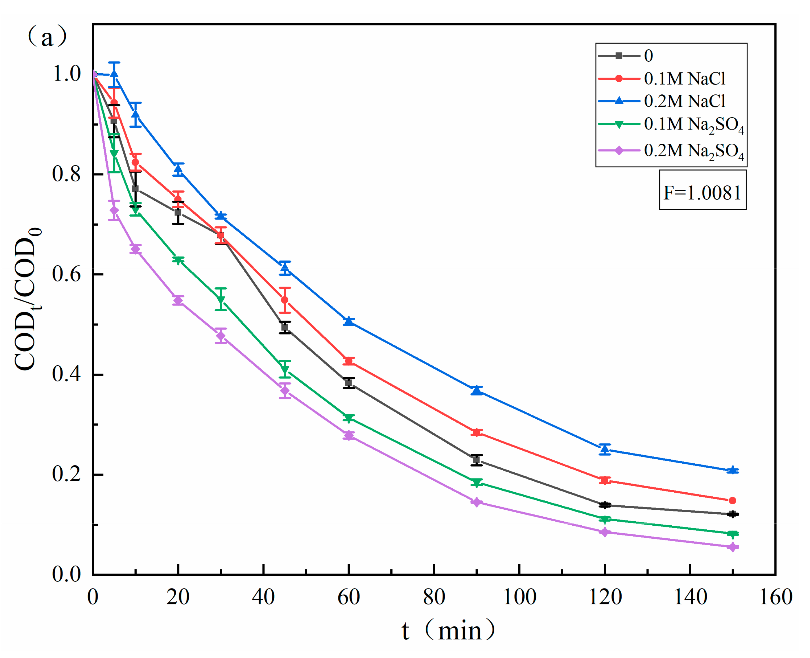
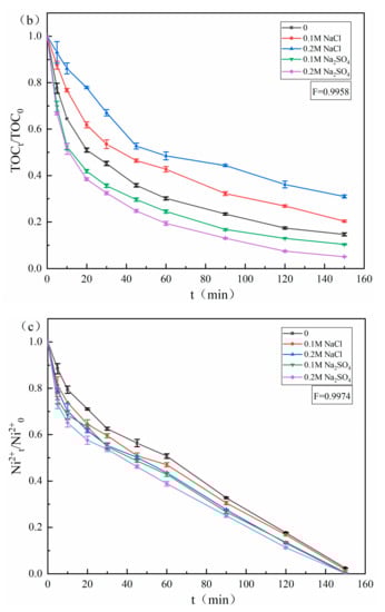
4.3. Effects of Chloride and Sulfate
4.4. Effect of Leachate Dilution
4.5. Inhibition of the Production of Organochloride By-Products
5. Conclusions
Author Contributions
Funding
Institutional Review Board Statement
Informed Consent Statement
Data Availability Statement
Acknowledgments
Conflicts of Interest
References
- Ministry of Ecology and Environment State; Development & Reform Commission (incl. former State Development Planning Commission); Ministry of Public Security; Ministry of Transport; National Health Commission. National Hazardous Waste List (Version 2021); Directory of National Hazardous Wastes: Beijing, China, 2020. Available online: http://www.mee.gov.cn/xxgk2018/xxgk/xxgk02/202011/t20201127_810202.html (accessed on 1 June 2021).
- Hou, Z.; Liu, T.; Tahir, M.U.; Ahmad, S.; Shao, X.; Yang, C.; He, B.; Su, X. Facile conversion of nickel-containing electroplating sludge into nickel-based multilevel nano-material for high-performance pseudocapacitors. Appl. Surf. Sci. 2021, 538, 141978. [Google Scholar] [CrossRef]
- Sun, J.; Zhou, W.; Zhang, L.; Cheng, H.; Wang, Y.; Tang, R.; Zhou, H. Bioleaching of copper-containing electroplating sludge. J. Environ. Manag. 2021, 285, 112133. [Google Scholar] [CrossRef]
- Nikfar, S.; Parsa, A.; Bahaloo-Horeh, N.; Mousavi, S.M. Enhanced bioleaching of Cr and Ni from a chromium-rich electroplating sludge using the filtrated culture of Aspergillus niger. J. Clean. Prod. 2020, 264, 121622. [Google Scholar] [CrossRef]
- Zoqi, M.J.; Ganjidoust, H.; Mokhtarani, N.; Ayati, B. Solidification optimisation of electroplating sludge. J. Environ. Eng. Sci. 2016, 11, 33–43. [Google Scholar] [CrossRef]
- Samadder, S.; Prabhakar, R.; Khan, D.; Kishan, D.; Chauhan, M. Analysis of the contaminants released from municipal solid waste landfill site: A case study. Sci. Total Environ. 2017, 580, 593–601. [Google Scholar] [CrossRef] [PubMed]
- Przydatek, G.; Kanownik, W. Impact of small municipal solid waste landfill on groundwater quality. Environ. Monit. Assess 2019, 191, 169. [Google Scholar] [CrossRef] [PubMed]
- Emami, S.; Negahdar, A.; Zarei, M. Investigating the influence of the leachate from the municipal solid waste on the mechanical and environmental properties of soil around the landfill (case study: The municipal landfill located in Ardabil—Iran). Arab. J. Sci. Eng. 2019, 44, 8417–8428. [Google Scholar] [CrossRef]
- Indelicato, S.; Orecchio, S.; Avellone, G.; Bellomo, S.; Ceraulo, L.; Di Leonardo, R.; Di Stefano, V.; Favara, R.; Candela, E.G.; La Pica, L.; et al. Effect of solid waste landfill organic pollutants on groundwater in three areas of Sicily (Italy) characterized by different vulnerability. Environ. Sci. Pollut. Res. 2017, 24, 16869–16882. [Google Scholar] [CrossRef] [PubMed]
- Chabuk, A.; Al-Ansari, N.; Hussain, H.M.; Laue, J.; Hazim, A.; Knutsson, S.; Pusch, R. Landfill sites selection using MCDM and comparing method of change detection for Babylon Governorate, Iraq. Environ. Sci. Pollut. Res. 2019, 26, 35325–35339. [Google Scholar] [CrossRef]
- Blight, G.E.; Fourie, A.B. Experimental landfill caps for semi-arid and arid climates. Waste Manag. Res. 2005, 23, 113–125. [Google Scholar] [CrossRef]
- Al-Yaqout, A.F.; Hamoda, M.F. Evaluation of landfill leachate in arid climate—A case study. Environ. Int. 2003, 29, 593–600. [Google Scholar] [CrossRef]
- Anwar, F.; Yaqout, A. Assessment and analysis of industrial liquid waste and sludge disposal at unlined landfill sites in arid climate. Waste Manag. 2003, 23, 817–824. [Google Scholar]
- Basahi, J.M.; Masoud, M.H.Z.; Rajmohan, N. Effect of flash flood on trace metal pollution in the groundwater—Wadi Baysh Basin, western Saudi Arabia. J. Afr. Earth Sci. 2018, 147, 338–351. [Google Scholar] [CrossRef]
- Fan, S.; Wang, X.; Lei, J.; Ran, Q.; Ren, Y.; Zhou, J. Spatial distribution and source identification of heavy metals in a typical Pb/Zn smelter in an arid area of northwest China. Hum. Ecol. Risk Assess. 2019, 25, 1661–1687. [Google Scholar] [CrossRef]
- Ghosh, P.; Thakur, I.S.; Kaushik, A. Bioassays for toxicological risk assessment of landfill leachate: A review. Ecotoxicol. Environ. Saf. 2017, 141, 259–270. [Google Scholar] [CrossRef]
- Al-Yaqout, A.; Hamoda, M.F. Long-term Temporal Variations in Characteristics of Leachates from a Closed Landfill in an Arid Region. Water Air Soil Pollut. 2020, 231, 319. [Google Scholar] [CrossRef]
- Vargas-Machuca, B.D.; Zanetta-Colombo, N.; De Pol-Holz, R.; Latorre, C. Variations in local heavy metal concentrations over the last 16,000 years in the central Atacama Desert (22 °S) measured in rodent middens. Sci. Total Environ. 2021, 775, 145849. [Google Scholar] [CrossRef]
- Maskooni, E.K.; Naseri-Rad, M.; Berndtsson, R.; Nakagawa, K. Use of heavy metal content and modified water quality index to assess groundwater quality in a semiarid area. Water 2020, 12, 1115. [Google Scholar] [CrossRef]
- Ma, W. Investigation and Management of Industrial Hazardous Waste in Gansu Province. Master’s Thesis, Lanzhou University, Lanzhou, China, January 2018. [Google Scholar]
- Ye, S.S.; Chen, Y.X.; Yao, X.L.; Zhang, J. Simultaneous removal of organic pollutants and heavy metals in wastewater by photoelectrocatalysis: A review. Chemosphere 2020, 6, 128503. [Google Scholar] [CrossRef] [PubMed]
- Martínez-Huitle, C.A.; Panizza, M. Electrochemical oxidation of organic pollutants for wastewater treatment. Curr. Opin. Electrochem. 2018, 11, 62–71. [Google Scholar] [CrossRef]
- Kothari, M.S.; Shah, K.A. Electrochemical oxidation for decolorization of Rhodamine-B dye using mixed metal oxide electrode: Modeling and optimization. Water Sci. Technol. 2020, 81, 720–731. [Google Scholar] [CrossRef]
- Carretero, D.S.; Huang, C.P.; Tzeng, J.H.; Huang, C.-P. The recovery of sulfuric acid from spent piranha solution over a dimensionally stable anode (DSA) Ti-RuO2 electrode. J. Hazard. Mater. 2021, 406, 124658. [Google Scholar] [CrossRef] [PubMed]
- Gonzaga, I.M.D.; Dória, A.R.; Vasconcelos, V.M.; Souza, F.M.; dos Santos, M.C.; Hammer, P.; Rodrigo, M.A.; Eguiluz, K.I.B.; Salazar-Banda, G.R. Microwave synthesis of Ti/(RuO2)0.5(IrO2)0.5 anodes: Improved electrochemical properties and stability. J. Electroanal. Chem. 2020, 874, 114460. [Google Scholar] [CrossRef]
- Santos, J.E.L.; Gómez, A.M.; Moura, D.C.; Cerro-López, M.; Quiroz, M.A.; Martinez-Huitle, C.A. Removal of herbicide 1-chloro-2,4-dinitrobenzene (DNCB) from aqueous solutions by electrochemical oxidation using boron-doped diamond (BDD) and PbO2 electrodes. J. Hazard. Mater. 2021, 402, 123850. [Google Scholar] [CrossRef] [PubMed]
- Chen, M.; Pan, S.; Zhang, C.; Wang, C.; Zhang, W.; Chen, Z.; Zhao, X.; Zhao, Y. Electrochemical oxidation of reverse osmosis concentrates using enhanced TiO2-NTA/SnO2-Sb anodes with/without PbO2 layer. Chem. Eng. J. 2020, 399, 125756. [Google Scholar] [CrossRef]
- Zhang, J.; Wei, X.; Miao, J.; Zhang, R.; Zhang, J.; Zhou, M.; Lu, W. Enhanced performance of an Al-doped SnO2 anode for the electrocatalytic oxidation of organic pollutants in water. Mater. Today Commun. 2020, 24, 101164. [Google Scholar] [CrossRef]
- Garcia-Segura, S.; Ocon, J.D.; Chong, M.N. Electrochemical oxidation remediation of real wastewater effluents—A review. Process Saf. Environ. Prot. 2018, 113, 48–67. [Google Scholar] [CrossRef]
- Panizza, M.; Cerisola, G. Direct and mediated anodic oxidation of organic pollutants. Chem. Rev. 2009, 109, 6541–6569. [Google Scholar] [CrossRef]
- Bobadilla, M.C.; González, O.V.P.; Lorza, R.L.; Somovilla Gómez, F. Effecting partial elimination of isocyanuric acid from swimming pool water systems. Water 2019, 11, 712. [Google Scholar] [CrossRef]
- Krasner, S.W.; Mitch, W.A.; McCurry, D.L.; Hanigan, D.; Westerhoff, P. Formation, precursors, control, and occurrence of nitrosamines in drinking water: A review. Water Res. 2013, 47, 4433–4450. [Google Scholar] [CrossRef]
- Ding, S.; Chu, W.; Bond, T.; Cao, Z.; Xu, B.; Gao, N. Contribution of amide-based coagulant polyacrylamide as precursors of haloacetamides and other disinfection by-products. Chem. Eng. J. 2018, 350, 356–363. [Google Scholar] [CrossRef]
- Radjenovic, J.; Sedlak, D.L. Challenges and oppor. for electrochemical processes as next-generation technologies for the treatment of contaminated water. Environ. Sci. Technol. 2015, 49, 11292–11302. [Google Scholar] [CrossRef]
- State Administration for Market Regulation; Standardization Administration. Treatment and Disposal for Electroplating Sludge-Classification (GB/T 38066-2019); Standards Press of China: Beijing, China, 2019. [Google Scholar]
- Chai, L.Y.; You, X.Y.; Shu, Y.D.; Yang, J.; Wang, Y.Y.; Zhao, N. Electrochemical degradation of organic wastewater containing EDTA with three-dimensional electrode reactor. J. Cent. South Univ. 2010, 41, 1240–1245. [Google Scholar]
- Zhao, B.; Zhu, W.K.; Mu, T.; Hu, Z.; Duan, T. Electrochemical oxidation of EDTA in nuclear wastewater using platinum supported on activated carbon fibers. Int. J. Environ. Res. Public Health 2017, 14, 819. [Google Scholar] [CrossRef]
- Apollo, S.; Onyango, M.S.; Ochieng, A. An integrated anaerobic digestion and UV photocatalytic treatment of distillery wastewater. J. Hazard. Mater. 2013, 261, 435–442. [Google Scholar] [CrossRef] [PubMed]
- Fukushima, M.; Tatsumi, K.; Nagao, S. Degradation characteristics of humic Acid during photo-fenton processes. Environ. Sci. Technol. 2001, 35, 3683–3690. [Google Scholar] [CrossRef] [PubMed]
- Vargas, R.; Díaz, S.; Viele, L.; Núñez, O.; Borrás, C.; Mostany, J.; Scharifker, B.R. Electrochemical oxidation of dichlorvos on SnO2-Sb2O5 electrodes. Appl. Catal. Appl. Catal. B Environ. 2014, 144, 107–111. [Google Scholar]
- Wei, J.Z.; Feng, Y.J.; Sun, X.; Liu, J.; Zhu, L. Effectiveness and pathways of electrochemical degradation of pretilachlor herbicides. J. Hazard. Mater. 2011, 189, 84–91. [Google Scholar] [CrossRef]
- Luu, T.L. Post treatment of ICEAS-biologically landfill leachate using electrochemical oxidation with Ti/BDD and Ti/RuO2 anodes. Environ. Technol. Innov. 2020, 20, 101099. [Google Scholar] [CrossRef]
- Ya, V.; Martin, N.; Chou, Y.-H.; Chen, S.-S.; Choo, K.-H.; Naddeo, V.; Le, N.C.; Li, C.-W. Efficient Cu removal from CuEDTA complex-containing wastewater using electrochemically controlled sacrificial iron anode. Chemosphere 2021, 264, 128573. [Google Scholar] [CrossRef]
- Hu, X.; Dong, H.; Zhang, Y.; Fang, B.; Jiang, W. Mechanism of N,N-dimethylformamide electrochemical oxidation using a Ti/RuO2–IrO2 electrode. RSC Adv. 2021, 11, 7205–7213. [Google Scholar] [CrossRef]
- Wu, J.; Zhu, K.; Xu, H.; Yan, W. Electrochemical oxidation of rhodamine B by PbO2/Sb-SnO2/TiO2 nanotube arrays electrode. Chin. J. Catal. 2019, 40, 917–927. [Google Scholar] [CrossRef]
- Saadi, S.; Moteshaker, P.M.; Rokni, S.E.; Ahmadidoust, G.; Farnoodian, N.; Yousefi, A. The electrochemical degradation of the metronidazole (MNZ) antibiotic using electrochemical oxidation on a stainless steel316 coated with beta lead oxide (SS316/β-PbO2) anode. Int. J. Chem. React. Eng. 2020, 18, 20190026. [Google Scholar] [CrossRef]
- Yu, Y.; Huang, Q.; Zhou, J.; Wu, Z.; Deng, H.; Liu, X.; Lin, Z. One-step extraction of high-purity CuCl2·2H2O from copper-containing electroplating sludge based on the directional phase conversion. J. Hazard. Mater. 2021, 413, 125469. [Google Scholar] [CrossRef]
- Wang, J.L.; Wang, S.Z. Reactive species in advanced oxidation processes: Formation, identification and reaction mechanism. Chem. Eng. J. 2020, 401, 126158. [Google Scholar] [CrossRef]
- Lan, Y.; Coetsier, C.; Causserand, C.; Serrano, K.G. On the role of salts for the treatment of wastewaters containing pharmaceuticals by electrochemical oxidation using a boron doped diamond anode. Electrochim. Acta 2017, 231, 309–318. [Google Scholar] [CrossRef]
- Chanikya, P.; Nidheesh, P.V.; Babu, D.S.; Gopinath, A.; Kumar, M.S. Treatment of dyeing wastewater by combined sulfate radical based electrochemical advanced oxidation and electrocoagulation processes. Sep. Purif. Technol. 2021, 254, 117570. [Google Scholar] [CrossRef]
- Garcia-Segura, S.; Keller, J.; Brillas, E.; Radjenovic, J. Removal of organic contaminants from secondary effluent by anodic oxidation with a boron-doped diamond anode as tertiary treatment. J. Hazard. Mater. 2015, 283, 551–557. [Google Scholar] [CrossRef] [PubMed]
- Zhang, L.; Xu, L.; He, J.; Zhang, J. Preparation of Ti/SnO2-Sb electrodes modified by carbon nanotube for anodic oxidation of dye wastewater and combination with nanofiltration. Electrochim. Acta 2014, 117, 192–201. [Google Scholar] [CrossRef]
- Anglada, A.; Ortiz, D.; Urtiaga, A.M.; Ortiz, I. Electrochemical oxidation of landfill leachates at pilot scale: Evaluation of energy needs. Water Sci. Technol. 2010, 61, 2211–2217. [Google Scholar] [CrossRef]
- Katsoni, A.; Mantzavinos, D.; Diamadopoulos, E. Sequential treatment of diluted olive pomace leachate by digestion in a pilot scale UASB reactor and BDD electrochemical oxidation. Water Res. 2014, 57, 75–86. [Google Scholar] [CrossRef] [PubMed]








| Unit | Value | |
|---|---|---|
| Chemical oxygen demand (COD) | mg/L | 28,000 |
| EDTA | mg/L | 35,000 |
| Total organic carbon (TOC) | mg/L | 9500 |
| Ni2+ | mg/L | 47,300 |
| Al3+ | mg/L | 4120 |
| Ca2+ | mg/L | 2380 |
| Cu2+ | mg/L | 48 |
| PO43− | mg/L | 17,300 |
| SO42− | mg/L | 761 |
| Cl− | mg/L | 318 |
| pH | 3.04 |
| Parameter | Unit | Value |
|---|---|---|
| CHCl3 | μg/L | 128 |
| CHCl2Br | μg/L | 0 |
| CHClBr2 | μg/L | 0 |
| CHBr3 | μg/L | 0 |
Publisher’s Note: MDPI stays neutral with regard to jurisdictional claims in published maps and institutional affiliations. |
© 2021 by the authors. Licensee MDPI, Basel, Switzerland. This article is an open access article distributed under the terms and conditions of the Creative Commons Attribution (CC BY) license (https://creativecommons.org/licenses/by/4.0/).
Share and Cite
Wu, N.; Zhang, X.; Zhang, X.; Li, Y.; Song, X.; Wang, S. Electrochemical Processes for the Treatment of Hazardous Wastes Exemplified by Electroplating Sludge Leaching Solutions. Water 2021, 13, 1576. https://doi.org/10.3390/w13111576
Wu N, Zhang X, Zhang X, Li Y, Song X, Wang S. Electrochemical Processes for the Treatment of Hazardous Wastes Exemplified by Electroplating Sludge Leaching Solutions. Water. 2021; 13(11):1576. https://doi.org/10.3390/w13111576
Chicago/Turabian StyleWu, Nan, Xue Zhang, Xuemin Zhang, Yanjuan Li, Xiaosan Song, and Sanfan Wang. 2021. "Electrochemical Processes for the Treatment of Hazardous Wastes Exemplified by Electroplating Sludge Leaching Solutions" Water 13, no. 11: 1576. https://doi.org/10.3390/w13111576
APA StyleWu, N., Zhang, X., Zhang, X., Li, Y., Song, X., & Wang, S. (2021). Electrochemical Processes for the Treatment of Hazardous Wastes Exemplified by Electroplating Sludge Leaching Solutions. Water, 13(11), 1576. https://doi.org/10.3390/w13111576

