Is the Volume-of-Fluid Method Coupled with a Sub-Grid Bubble Equation Efficient for Simulating Local and Continuum Aeration?
Abstract
1. Introduction
2. Mathematical Models
2.1. Base Model
2.2. Sub-Grid Bubble Model
2.2.1. Bubble Entrainment
2.2.2. Bubble Transport
2.3. Turbulence Models
3. Results
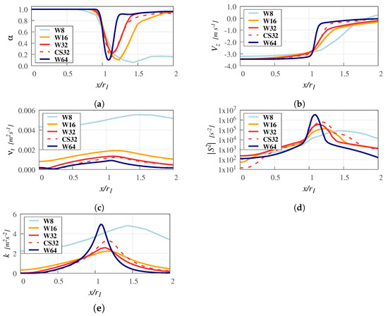
3.1. Local Aeration in a Impinging Jet
3.1.1. Numerical Setup
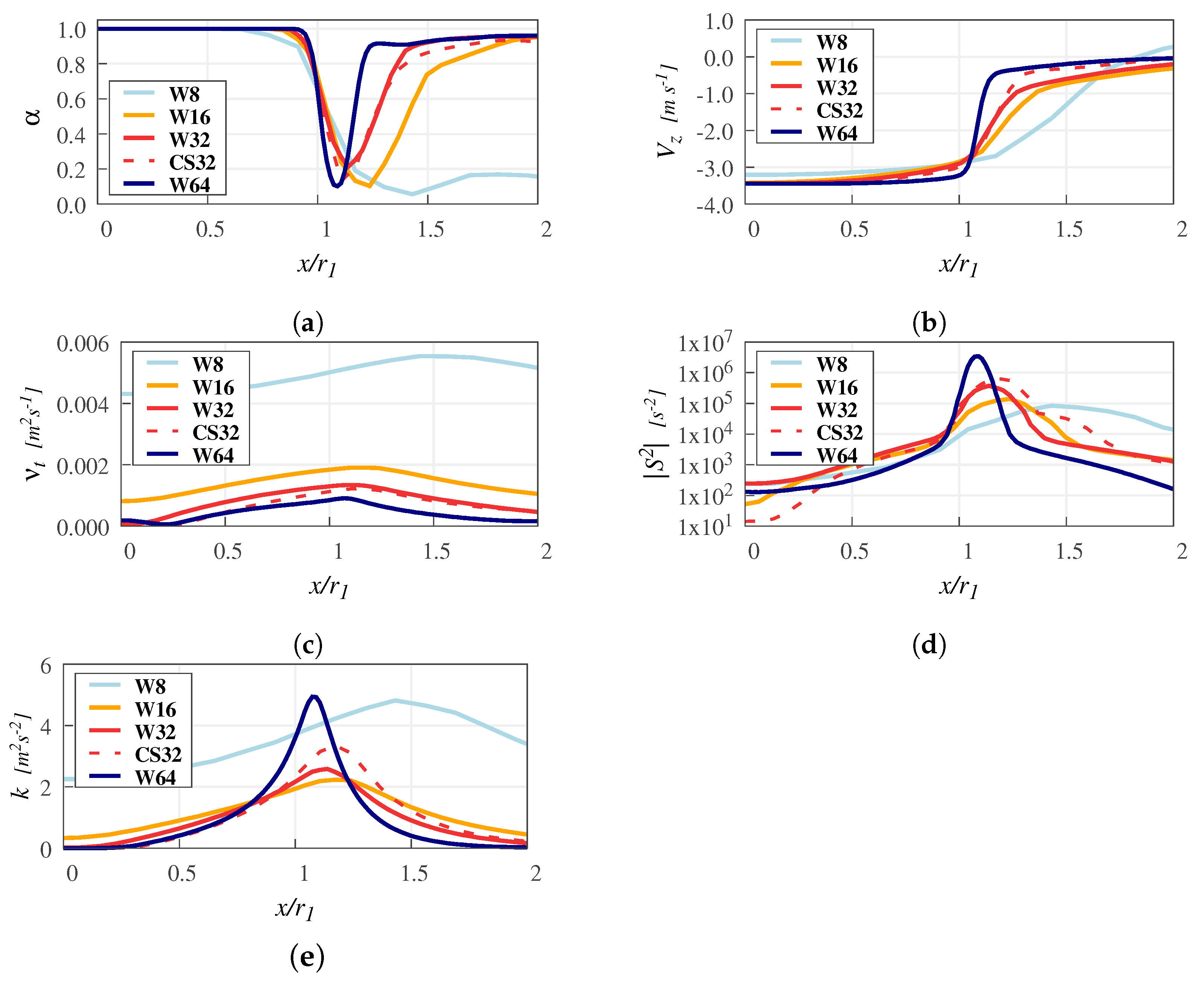
3.1.2. Impinging Jet Base Flow
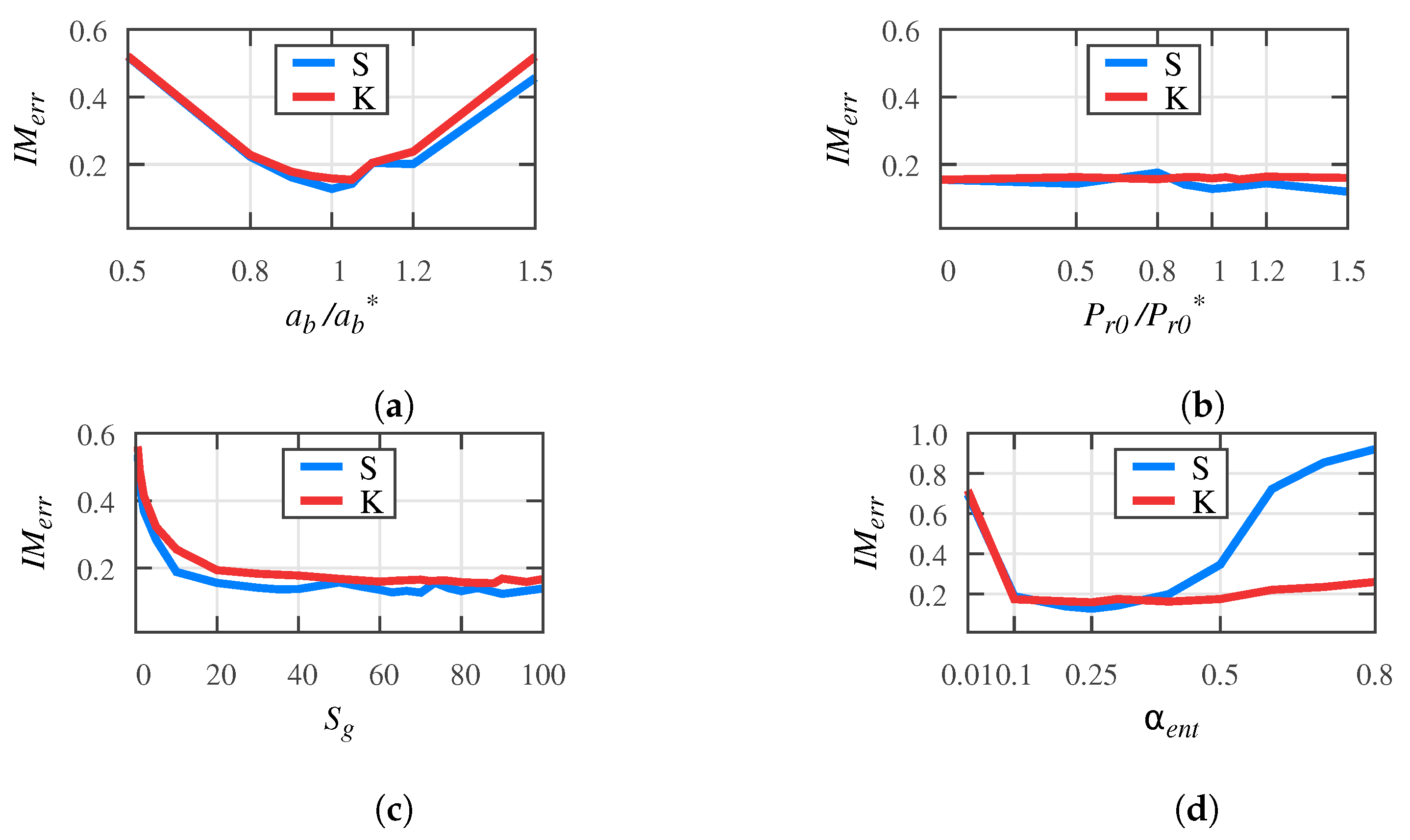
3.1.3. Sub-Grid Bubble Model Calibration
- Preliminary tests point out approximate parameters ranges and roles.
- Fixating to a reference value, which confines the entrainment to the impinging point vicinity and , multiple combinations of and are tested. Hence, a candidate to the best quadruplet is found.
- Finally, a variation of all four parameters , , , and is performed centered on the candidate to best match. If a better quadruplet is found, this step is repeated or, go back to step 2 if the deviation is excessive. Otherwise, the best quadruplet (‘*’ index) is found.
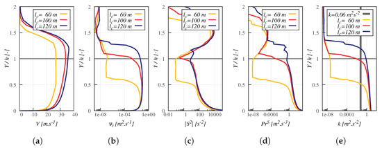
3.2. Continuum Aeration in a Spillway Chute
3.2.1. Numerical Setup
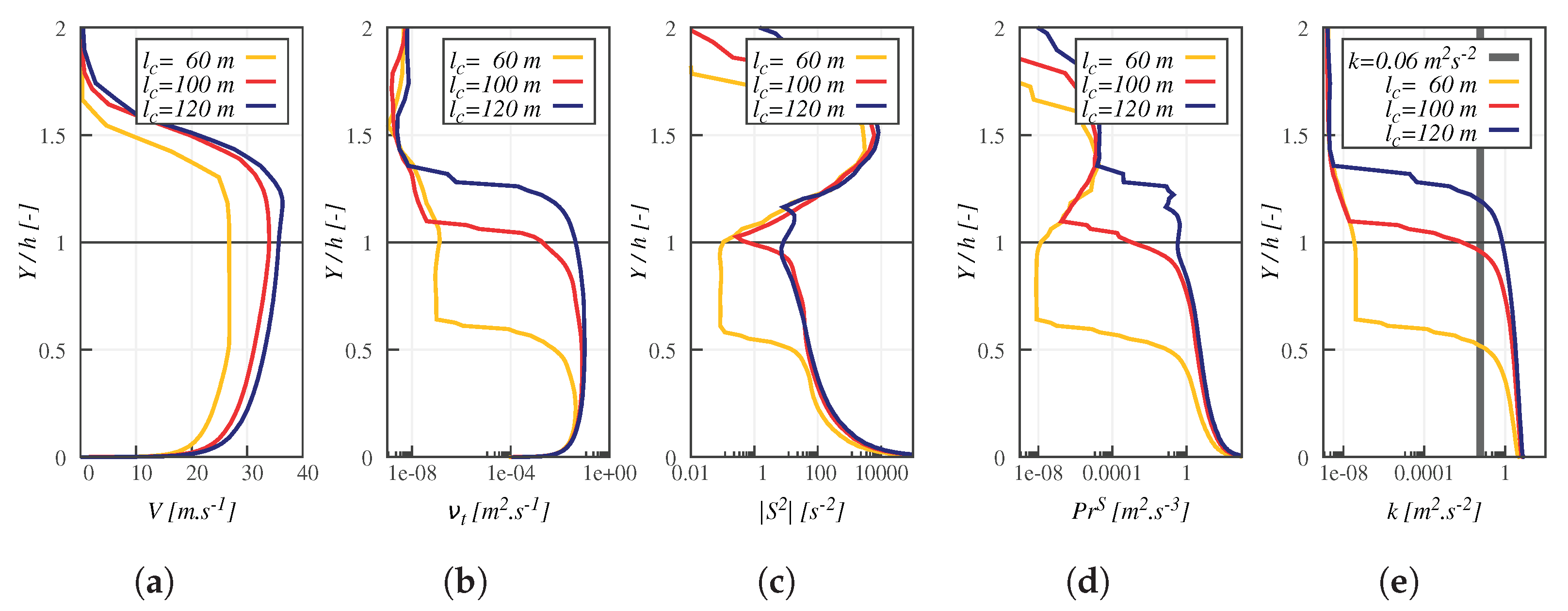
3.2.2. Spillway Chute Base Flow
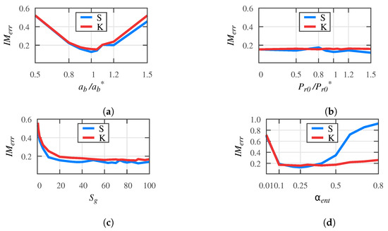
3.2.3. Sub-Grid Bubble Model Calibration
4. Discussion
4.1. RANS Model Constraints
4.2. Air Entrainment Formulations Performance
4.3. Sensibility to Parameters
4.4. Overall Appreciation
5. Conclusions
Author Contributions
Funding
Institutional Review Board Statement
Informed Consent Statement
Data Availability Statement
Acknowledgments
Conflicts of Interest
Abbreviations
| CFD | Computational Fluid Dynamics |
| DNS | Direct Numerical Simulations |
| DES | Detached Eddy Simulation |
| ES | Entrainment surface |
| HPC | High-performance computing |
| LS | Level-Set method |
| PI | Point of inception |
| RANS | Reynolds-average Navier–Stokes equations |
| SGBM | Sub-grid bubble model |
| SST | Shear Stress Transport |
| TL | Top layer |
| USBR | United States Bureau of Reclamation |
| VOF | Volume-of-fluid method |
| WES | Waterways Experiment Station, United States Army Corps of Engineers |
Appendix A. Numerical Implementation
Appendix B. Air-Bubble Entrainment Surface Detection
References
- Moraga, F.J.; Carrica, P.M.; Drew, D.A.; Lahey, R.T. A sub-grid air entrainment model for breaking bow waves and naval surface ships. Comput. Fluids 2008, 37, 281–298. [Google Scholar] [CrossRef]
- Bombardelli, F. Computational multi-phase fluid dynamics to address flows past hydraulic structures. In Proceedings of the 4th IAHR International Symposium on Hydraulic Structures, Porto, Portugal, 9–11 February 2012; pp. 978–989. [Google Scholar]
- Chanson, H. Hydraulics of aerated flows: Qui pro quo? J. Hydraul. Res. 2013, 51, 223–243. [Google Scholar] [CrossRef]
- Novak, P.; Moffat, A.; Nalluri, C.; Narayanan, R. Hydraulic Structures, 3rd ed.; Spon Press: London, UK, 2001; p. 689. [Google Scholar]
- Kobus, H.E. Local Air Entrainment and Detrainment. In Symposium on Scale Effects in Modelling Hydraulic Structures; Institution Für Wasserbau: Stuttgart, Germany, 1984; pp. 1–10. [Google Scholar]
- Chanson, H. Air Entrainment in Chute and Tunnel Spillways. In Proceedings of the 11th Australasian Fluid Mechanics Conference, Hobart, Australia, 14–18 December 1992; pp. 83–85. [Google Scholar]
- Aras, E.; Berkun, M. Comparison of stepped and smooth spillway effects on stream reaeration. Water SA 2010, 36, 309–314. [Google Scholar]
- Chanson, H. Environmental Hydraulics of Open Channel Flows, 1st ed.; Elsevier Butterworth-Heinemann: Oxford, UK, 2004; p. 485. [Google Scholar] [CrossRef]
- Kramer, K. Development of Aerated Chute Flow. Ph.D. Thesis, ETH Zürich, Zürich, Switzerland, 2004. [Google Scholar]
- Emiroglu, M.E.; Baylar, A. Self-Aeration in Smooth and Stepped Chutes. Int. J. Sci. Technol. 2006, 1, 105–113. [Google Scholar]
- Shi, F.; Kirby, J.T.; Ma, G. Modeling quiescent phase transport of air bubbles induced by breaking waves. Ocean. Model. 2010, 35, 105–117. [Google Scholar] [CrossRef]
- Valero, D.; García-Bartual, R.; Marco, J. Optimisation of Stilling Basin Chute Blocks Using a Calibrated Multiphase RANS Model. In Proceedings of the 5th International Junior Researcher and Engineer Workshop on Hydraulic Structures, Spa, Belgium, 28–30 August 2014; p. 9. [Google Scholar]
- Wilhelms, S.C.; Gulliver, J.S. Gas transfer, cavitation, and bulking in self-aerated spillway flow. J. Hydraul. Res. 2005, 43, 532–539. [Google Scholar] [CrossRef]
- Valero, D. On the Fluid Mechanics of Self-Aeration in Open Channel Flows. Ph.D. Thesis, Faculty of Applied Sciences, Université de Liège, Liège, Belgium, 2018. [Google Scholar]
- Chanson, H.; Manasseh, R. Air Entrainment Processes in a Circular Plunging Jet: Void-Fraction and Acoustic Measurements. J. Fluids Eng. 2003, 125, 910–921. [Google Scholar] [CrossRef]
- Lopes, P.; Tabor, G.; Carvalho, R.F.; Leandro, J. Explicit calculation of natural aeration using a Volume-of-Fluid model. Appl. Math. Model. 2016, 40, 7504–7515. [Google Scholar] [CrossRef]
- Ma, J.; Oberai, A.A.; Drew, D.A.; Lahey, R.T.; Hyman, M.C. A Comprehensive Sub-Grid Air Entrainment Model for RaNS Modeling of Free-Surface Bubbly Flows. J. Comput. Multiph. Flows 2011, 3, 41–56. [Google Scholar] [CrossRef]
- Cheng, X.; Chen, X. Progress in numerical simulation of high entrained air-water two-phase flow. In Proceedings of the 2012 3rd International Conference on Digital Manufacturing and Automation, Guilin, China, 31 July–2 August 2012; pp. 626–629. [Google Scholar] [CrossRef]
- Lopes, P.; Tabor, G.; Carvalho, R.F.; Leandro, J. Modelling air-entrainment in circular, 3D plunging jet using the OpenFOAM CFD toolbox. In Advances in Numerical Modelling of Hydrodynamics Workshop; University of Sheffield: Sheffield, UK, 2015; p. 9. [Google Scholar]
- Turan, C.; Politano, M.S.; Carrica, P.M.; Weber, L. Water entrainment due to spillway surface jets. Int. J. Comput. Fluid Dyn. 2007, 21, 137–153. [Google Scholar] [CrossRef]
- Yan, K.; Che, D. A coupled model for simulation of the gas-liquid two-phase flow with complex flow patterns. Int. J. Multiph. Flow 2010, 36, 333–348. [Google Scholar] [CrossRef]
- Hänsch, S.; Lucas, D.; Krepper, E.; Höhne, T. A multi-field two-fluid concept for transitions between different scales of interfacial structures. Int. J. Multiph. Flow 2012, 47, 171–182. [Google Scholar] [CrossRef]
- Ma, J.; Oberai, A.A.; Lahey, R.T.; Drew, D.A. Modeling air entrainment and transport in a hydraulic jump using two-fluid RANS and DES turbulence models. Heat Mass Transf. 2011, 47, 911–919. [Google Scholar] [CrossRef]
- Xiang, M.; Cheung, S.; Tu, J.; Zhang, W. A multi-fluid modelling approach for the air entrainment and internal bubbly flow region in hydraulic jumps. Ocean. Eng. 2014, 91, 51–63. [Google Scholar] [CrossRef]
- Lopes, P.; Leandro, J.; Carvalho, R.F. Self-aeration modelling using a sub-grid volume-of-fluid model. Int. J. Nonlinear Sci. Numer. Simul. 2017, 18, 559–574. [Google Scholar] [CrossRef]
- Pfister, M.; Chanson, H. Scale Effects in Modelling Two-phase Air-water Flows. In Proceedings of the IAHR World Congress, Chengdu, China, 8–13 September 2013; pp. 1–10. [Google Scholar]
- Chanson, H. Self-Aerated Flows on Chutes and Spillways. J. Hydraul. Eng. 1993, 119, 220–243. [Google Scholar] [CrossRef]
- Hirt, C.W. Modeling Turbulent Entrainment of Air at a Free Surface; FSI-03-TN6; Flow Science, Inc.: Santa Fe, NM, USA, 2012; pp. 1–9. [Google Scholar]
- OpenCFD. OpenFOAM v1906. 2019. Available online: www.openfoam.com (accessed on 24 May 2021).
- Rusche, H. Computational Fluid Dynamics of Dispersed Two-Phase Flows at High Phase Fractions. Ph.D. Thesis, Imperial College of Science, Technology & Medicine, London, UK, 2002. [Google Scholar] [CrossRef]
- Deshpande, S.S.; Anumolu, L.; Trujillo, M.F. Evaluating the performance of the two-phase flow solver interFoam. Comput. Sci. Discov. 2012, 5, 014016. [Google Scholar] [CrossRef]
- Larsen, B.E.; Fuhrman, D.R.; Roenby, J. Performance of interFoam on the simulation of progressive waves. Coast. Eng. J. 2019, 61, 380–400. [Google Scholar] [CrossRef]
- Deane, G.B.; Stokes, M.D. Scale dependence of bubble creation mechanisms in breaking waves. Nature 2002, 418, 839–844. [Google Scholar] [CrossRef]
- Clift, R.; Grace, J.R.; Weber, M.E. Bubbles, Drops and Particles; Academic Press: New York, NY, USA, 1978; p. 380. [Google Scholar]
- Brown, S.A.; Magar, V.; Greaves, D.M.; Conley, D.C. An Evaluation of RANS Turbulence Closure Models for Spilling Breakers. Coast. Eng. Proc. 2014, 1, 5. [Google Scholar] [CrossRef][Green Version]
- Launder, B.E.; Spalding, D.B. The numerical computation of turbulent flows. Comput. Methods Appl. Mech. Eng. 1974, 3, 269–289. [Google Scholar] [CrossRef]
- Menter, F.; Kuntz, M.; Langtry, R. Ten years of industrial experience with the SST turbulence model. In Proceedings of the 4th International Symposium on Turbulence, Heat and Mass Transfer, Antalya, Turkey, 12–17 October 2003; Begell House Inc.: Danbury, CT, USA, 2003; pp. 625–632. [Google Scholar]
- Kataoka, I.; Serizawa, A. Basic equations of turbulence in gas-liquid two-phase flow. Int. J. Multiph. Flow 1989, 15, 843–855. [Google Scholar] [CrossRef]
- Chanson, H.; Aoki, S.i.; Hoque, A. Similitude of Air Entrainment at Vertical Circular Plunging Jets. In Proceedings of the ASME FEDSM’02, ASME—Fluids Engineering Division, Montreal, QC, Canada, 14–18 July 2002; pp. 1–6. [Google Scholar]
- Harby, K.; Chiva, S.; Muñoz-Cobo, J. An experimental study on bubble entrainment and flow characteristics of vertical plunging water jets. Exp. Therm. Fluid Sci. 2014, 57, 207–220. [Google Scholar] [CrossRef]
- Higuera, P.; Lara, J.L.; Losada, I.J. Realistic wave generation and active wave absorption for Navier–Stokes models. Coast. Eng. 2013, 71, 102–118. [Google Scholar] [CrossRef]
- Andersson, B.; Andersson, R.; Hakansson, L.; Mortensen, M.; Sudiyo, R.; van Wachem, B.; van Wachem, B. Computational Fluid Dynamics for Engineers; Cambridge University Press: Cambridge, UK, 2012; p. 189. [Google Scholar]
- McKeogh, E.; Ervine, D. Air entrainment rate and diffusion pattern of plunging liquid jets. Chem. Eng. Sci. 1981, 36, 1161–1172. [Google Scholar] [CrossRef]
- Bin, A. Air entrainment by plunging liquid jets. In Symposium on Scale Effects in Modeling Hydraulic Structures; Kobus, H., Ed.; International Association for Hydraulic Research—Section on Experimental Techniques: Esslingen, Germany, 1984; pp. 1–6. [Google Scholar]
- Chanson, H. Air Bubble Entrainment in Free-Surface Turbulent Shear Flows; Academic Press: Cambridge, MA, USA, 1996. [Google Scholar] [CrossRef]
- Chanson, H. Turbulent air-water flows in hydraulic structures: Dynamic similarity and scale effects. Environ. Fluid Mech. 2009, 9, 125–142. [Google Scholar] [CrossRef]
- USACE. Hydraulic Design Criteria; Technical Report; U.S. Army Corps of Engineers—Waterways Experiment Station: Vicksburg, MS, USA, 1988.
- Cain, P. Measurements within Self-Aerated Flow on a Large Spillway. Ph.D. Thesis, University of Canterbury, Christchursch, New Zealand, 1978. [Google Scholar]
- Chanson, H. Air bubble diffusion in supercritical open channel flows. In Proceedings of the Twelfth Australasian Fluid Mechanics Conference, Sydney, Australia, 10–15 December 1995; pp. 707–710. [Google Scholar]
- Brattberg, T.; Chanson, H. Air entrapment and air bubble dispersion at two-dimensional plunging water jets. Chem. Eng. Sci. 1998, 53, 4113–4127. [Google Scholar] [CrossRef]
- Bertola, N.; Wang, H.; Chanson, H. Air Bubble Entrainment, Breakup, and Interplay in Vertical Plunging Jets. J. Fluids Eng. 2018, 140, 091301. [Google Scholar] [CrossRef]
- Tominaga, Y.; Stathopoulos, T. Turbulent Schmidt numbers for CFD analysis with various types of flowfield. Atmos. Environ. 2007, 41, 8091–8099. [Google Scholar] [CrossRef]
- Gualtieri, C.; Angeloudis, A.; Bombardelli, F.; Jha, S.; Stoesser, T. On the values for the turbulent Schmidt number in environmental flows. Fluids 2017, 2, 17. [Google Scholar] [CrossRef]
- Shi, R.; Wang, H.; Chanson, H. Bubble convection and bubbly flow turbulent time and length scales in two-dimensional plunging jets. Exp. Therm. Fluid Sci. 2018, 98, 278–289. [Google Scholar] [CrossRef]
- Guo, B.; Langrish, T.A.; Fletcher, D.F. An assessment of turbulence models applied to the simulation of a two-dimensional submerged jet. Appl. Math. Model. 2001, 25, 635–653. [Google Scholar] [CrossRef]













| Name | Type | Minimum Edge Length (mm) | Total Cells |
|---|---|---|---|
| W8 | 2D wedge | 28,474 | |
| W16 | 2D wedge | 41,449 | |
| W32 | 2D wedge | 57,730 | |
| W64 | 2D wedge | 74,741 | |
| CS32 | 3D | 9,916,128 |
| Formulation | |||||
|---|---|---|---|---|---|
| S | 100 | 70 | |||
| K | 25 | 80 | |||
| KE | 5250 | 0 | 80 | n/a |
| 700 |
Publisher’s Note: MDPI stays neutral with regard to jurisdictional claims in published maps and institutional affiliations. |
© 2021 by the authors. Licensee MDPI, Basel, Switzerland. This article is an open access article distributed under the terms and conditions of the Creative Commons Attribution (CC BY) license (https://creativecommons.org/licenses/by/4.0/).
Share and Cite
Mendes, L.S.; Lara, J.L.; Viseu, M.T. Is the Volume-of-Fluid Method Coupled with a Sub-Grid Bubble Equation Efficient for Simulating Local and Continuum Aeration? Water 2021, 13, 1535. https://doi.org/10.3390/w13111535
Mendes LS, Lara JL, Viseu MT. Is the Volume-of-Fluid Method Coupled with a Sub-Grid Bubble Equation Efficient for Simulating Local and Continuum Aeration? Water. 2021; 13(11):1535. https://doi.org/10.3390/w13111535
Chicago/Turabian StyleMendes, Lourenço Sassetti, Javier L. Lara, and Maria Teresa Viseu. 2021. "Is the Volume-of-Fluid Method Coupled with a Sub-Grid Bubble Equation Efficient for Simulating Local and Continuum Aeration?" Water 13, no. 11: 1535. https://doi.org/10.3390/w13111535
APA StyleMendes, L. S., Lara, J. L., & Viseu, M. T. (2021). Is the Volume-of-Fluid Method Coupled with a Sub-Grid Bubble Equation Efficient for Simulating Local and Continuum Aeration? Water, 13(11), 1535. https://doi.org/10.3390/w13111535

