Prediction and Evaluation of Waterjet Pump Performance under Nonuniform Inflow Using Parallel Compressor Theory
Abstract
:1. Introduction
2. Numerical Setup
2.1. Geometry of Waterjet Pump
2.2. Configuration, Grid and Boundary Conditions of Waterjet Pump under Nonuniform Inflow
2.3. Configuration, Grid and Boundary Conditions of Waterjet Pump under Uniform Inflow
2.4. Simulation Model Validation
3. A modified Parallel Compressor Theory to Waterjet Pump under Nonuniform Inflow
4. Results
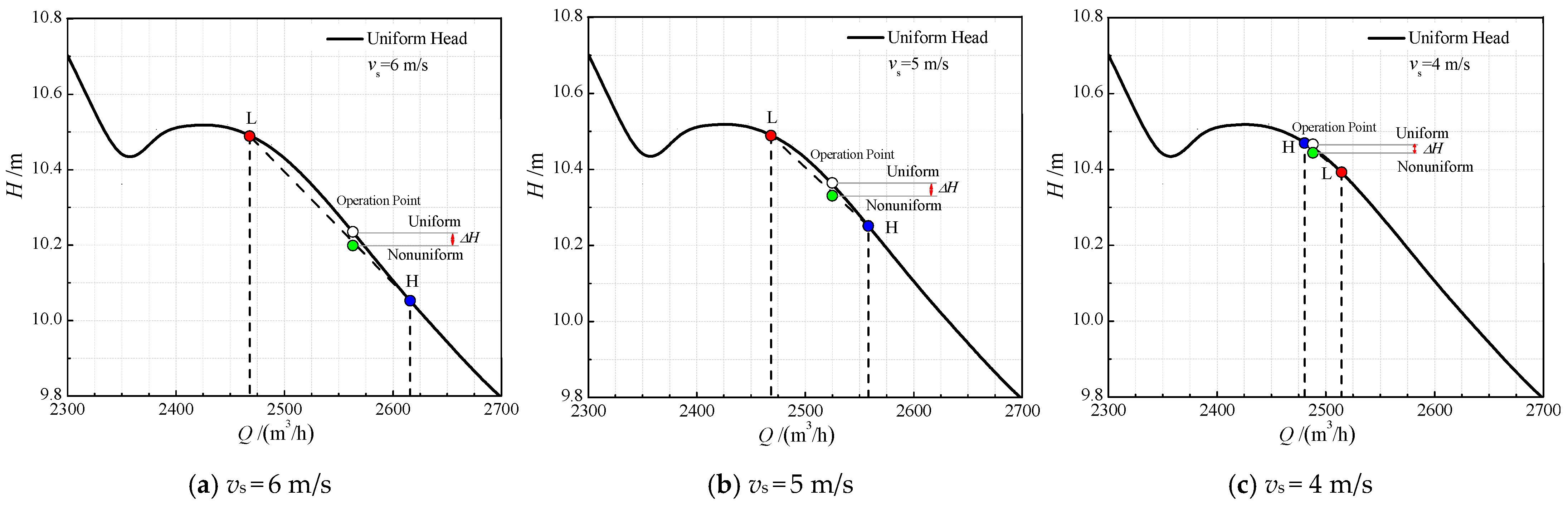
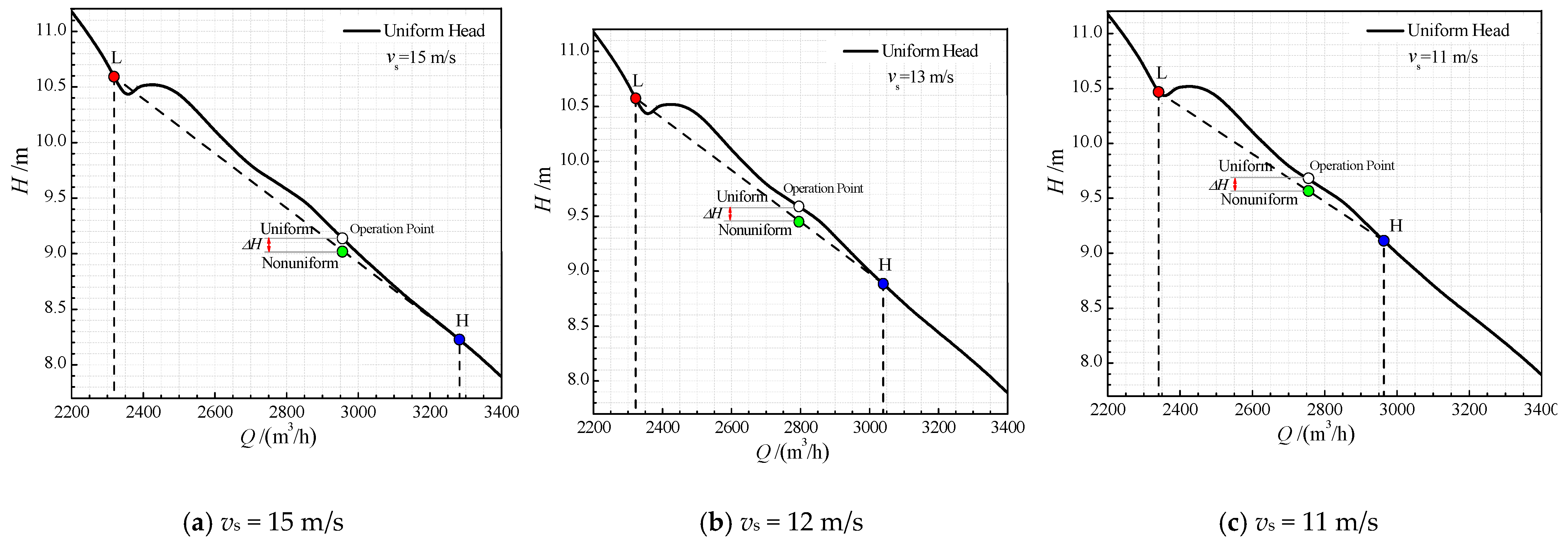
4.1. Application of Parallel Compressor Theory in Predicting Head of Waterjet Pump
4.2. Application of Parallel Compressor Theory in Evaluating Stall Behavior of Waterjet Pump
5. Discussion
Correlation between Multi-Segment Head Curve and Stall Behavior under Nonuniform Inflow
6. Conclusions
Author Contributions
Funding
Institutional Review Board Statement
Informed Consent Statement
Data Availability Statement
Conflicts of Interest
Nomenclature
| PCT | Parallel compressor theory |
| L | Low velocity/total pressure/distorted sector |
| H | High velocity/total pressure/distorted sector |
| Pt | Total pressure (Pa) |
| D2 | Diameter of impeller (m) |
| D3 | Diameter of casing (m) |
| Dh | Diameter of hub (m) |
| Dj | Diameter of nozzle (m) |
| Q | Volume flow rate (m3/h) |
| H | Head of the pump (m) |
| η | Pump efficiency (%) |
| n | Rotating speed (r/min) |
| z | Number of blade |
| δ | Thickness of boundary layer (m) |
| θ | Circumferential angle |
| Re | Reynolds number |
| Qc | Q-criterion (s−2) |
| vs | Ship speed (knot or m/s) |
| vin | Actual inlet velocity (m/s) |
| span | Dimensionless spanwise distance |
| d | Design point |
| sim | Value calculated by numerical simulation |
| th | Value calculated by PCT |
| i | Tube number of PCT |
References
- Bulten, N.W.H. Numerical Analysis of a Waterjet Propulsion System. Ph.D. Thesis, Eindhoven University of Technology, Eindhoven, The Netherlands, 2006. [Google Scholar]
- Cao, P.Y.; Wang, Y.; Kang, C.; Li, G.D.; Zhang, X. Investigation of the role of non–uniform suction flow in the performance of water–jet pump. Ocean. Eng. 2017, 140, 258–269. [Google Scholar] [CrossRef]
- Van Esch, B.P.M. Performance and radial loading of a mixed-flow pump under non-uniform suction flow. J. Fluids Eng. Trans. ASME 2009, 131, 051101. [Google Scholar] [CrossRef]
- Duerr, P.; Von Ellenrieder, K.D. Scaling and numerical analysis of nonuniform waterjet pump inflows. IEEE J. Oceanic. Eng. 2015, 40, 701–709. [Google Scholar] [CrossRef]
- Luo, X.W.; Ye, W.; Huang, R.F.; Wang, Y.; Du, T.; Huang, C. Numerical investigations of the energy performance and pressure fluctuations for a waterjet pump in a non-uniform inflow. Renew. Energy 2020, 153, 1042–1052. [Google Scholar] [CrossRef]
- Cao, P.Y.; Wang, Y.; Zhang, X.; Li, G.D.; Yin, G. Concentrated separation vortex induced by non-uniform suction flow and its role in performance breakdown of a water-jet pump. Adv. Mech. Eng. 2017, 9. [Google Scholar] [CrossRef]
- Johnsen, I.A.; Bullock, R.O. Aerodynamic Design of Axial−Flow Compressors: NASA SP−36; National Aeronautics and Space Administration: Washington, DC, USA, 1965. [Google Scholar]
- Smith, S.L. One-Dimensional Mean Line Code Technique to Calculate Stage-by-Stage Compressor Characteristics. Master’s Thesis, University of Tennessee, Knoxville, TN, USA, 1999. [Google Scholar]
- Cumsty, N.A. Compressor Aerodynamics, 1st ed.; Longman Scientific & Technical: London, UK, 1989. [Google Scholar]
- Greitzer, E.M. Surge and rotating stall in axial flow compressors—part I: Theoretical compression system model. J. Eng. Power 1976, 98, 190–198. [Google Scholar] [CrossRef]
- Korn, J.A. Estimated effect of circumferential distortion on axial compressors using parallel compressor theory and dynamic stall delay. In Proceedings of the 12th Aerospace Sciences Meeting and Exhibit (AIAA), Washington, DC, USA, 9–12 January 1974. [Google Scholar]
- Shahrokhi, K.; DAVIS, M.W. Application of a modified dynamic compression system model to a low aspect ratio fan: Effects of inlet distortion. In Proceedings of the 33rd Aerospace Sciences Meeting and Exhibit (AIAA), Reno, NV, USA, 5–8 August 1995. [Google Scholar]
- Pokhrel, M.; Gladin, J.; Garcia, E.; Mavris, D.N. A methodology for quantifying distortion impacts using a modified parallel compressor theory. In Proceedings of the ASME Turbo Expo: Turbomachinery Technical Conference and Exposition, Oslo, Norway, 11–15 June 2018. [Google Scholar]
- O’Brien, W. A three-dimensional turbine engine analysis compressor code (TEACC) for steady-state inlet distortion. J. Turbomach. 1998, 120, 423–435. [Google Scholar]
- Davis, M.W.; Kidman, D.S. Prediction and analysis of inlet pressure and temperature distortion on engine operability from an accent T−38 flight test program. In Proceedings of the Turbo Expo: Power for Land, Sea, and Air, Glasgow, UK, 14–18 June 2010. [Google Scholar]
- Floyd, R.S.; DAVIS, M.W. Validation of a modified parallel compressor model for prediction of the effects of inlet swirl on compressor performance and operability. In Proceedings of the ASME Turbo Expo: Turbomachinery Technical Conference and Exposition, Montreal, QC, Canada, 15–19 June 2015. [Google Scholar]
- SAE S−16 Committee. Inlet Total−Pressure−Distortion Considerations for Gas−Turbine Engines; Society of Automatical Engineering International: Warrendale, DC, USA, 2013. [Google Scholar]
- Zhao, X.; Liu, T.; Huang, B.; Wang, G.Y. Combined experimental and numerical analysis of cavitating flow characteristics in an axial flow waterjet pump. Ocean. Eng. 2020, 209, 107450. [Google Scholar] [CrossRef]
- Guo, Q.; Huang, X.N.; Qiu, B. Numerical investigation of the blade tip leakage vortex cavitation in a waterjet pump. Ocean. Eng. 2020, 187, 106170. [Google Scholar] [CrossRef]
- Huang, R.; Dai, Y.; Luo, X.W.; Wang, Y.; Huang, C. Multi-objective optimization of the flush-type intake duct for a waterjet propulsion system. Ocean. Eng. 2019, 187, 106172. [Google Scholar] [CrossRef]
- Stel, H.; Amaral, G.D.L.; Negrao, C.O.R.; Chiva, S.; Estevam, V.; Morales, R.E.M. Numerical analysis of the fluid flow in the first stage of a two-stage centrifugal pump with a vanned diffuser. J. Fluids Eng. Trans. 2013, 135, 235–244. [Google Scholar]
- Emmons, H.W.; Pearson, C.E.; Grant, H.P. Compressor surge and stall propagation. Z. Angew. Math. Phys. ZAMP 1955, 77, 455–469. [Google Scholar]












| Number of impeller blades [zR] | 3 |
| Number of guide vanes [zS] | 7 |
| Impeller diameter [D2] | 447 mm |
| Casing diameter [D3] | 450 mm |
| Tip clearance (normal) | 1.5 mm |
| Hub ratio [Dh/D2] | 0.4 |
| Discharge nozzle diameter [Dj] | 250 mm |
| vs (m/s) | Qsim (m3/h) | Qth (m3/h) | Error (%) | Hsim (m) * | Hth (m) | Error (%) |
|---|---|---|---|---|---|---|
| 15 | 2956 | 2960 | 0.138 | 8.473 | 9.017 | 6.42 |
| 14 | 2896 | 2900 | 0.150 | 8.718 | 9.181 | 5.31 |
| 13 | 2844 | 2848 | 0.151 | 8.964 | 9.320 | 3.97 |
| 12 | 2795 | 2800 | 0.157 | 9.238 | 9.450 | 2.29 |
| 11 | 2752 | 2755 | 0.139 | 9.481 | 9.566 | 0.89 |
| 10 | 2716 | 2720 | 0.140 | 9.726 | 9.720 | 0.07 |
| 9 | 2680 | 2684 | 0.132 | 9.930 | 9.858 | 0.73 |
| 8 | 2644 | 2647 | 0.123 | 10.125 | 9.954 | 1.70 |
| 7 | 2608 | 2612 | 0.130 | 10.301 | 10.038 | 2.55 |
| 6 | 2563 | 2566 | 0.126 | 10.363 | 10.199 | 1.59 |
| 5 | 2525 | 2528 | 0.123 | 10.437 | 10.331 | 1.02 |
| 4 | 2488 | 2492 | 0.143 | 10.538 | 10.444 | 0.9 |
| 3 | 2447 | 2448 | 0.035 | 10.321 | 10.510 | 1.84 |
| 2 | 2415 | 2419 | 0.133 | 10.542 | 10.500 | 0.39 |
| 1 | 2394 | 2397 | 0.151 | 10.557 | 10.468 | 0.84 |
Publisher’s Note: MDPI stays neutral with regard to jurisdictional claims in published maps and institutional affiliations. |
© 2021 by the authors. Licensee MDPI, Basel, Switzerland. This article is an open access article distributed under the terms and conditions of the Creative Commons Attribution (CC BY) license (http://creativecommons.org/licenses/by/4.0/).
Share and Cite
Cao, P.; Zhu, R. Prediction and Evaluation of Waterjet Pump Performance under Nonuniform Inflow Using Parallel Compressor Theory. Water 2021, 13, 99. https://doi.org/10.3390/w13010099
Cao P, Zhu R. Prediction and Evaluation of Waterjet Pump Performance under Nonuniform Inflow Using Parallel Compressor Theory. Water. 2021; 13(1):99. https://doi.org/10.3390/w13010099
Chicago/Turabian StyleCao, Puyu, and Rui Zhu. 2021. "Prediction and Evaluation of Waterjet Pump Performance under Nonuniform Inflow Using Parallel Compressor Theory" Water 13, no. 1: 99. https://doi.org/10.3390/w13010099
APA StyleCao, P., & Zhu, R. (2021). Prediction and Evaluation of Waterjet Pump Performance under Nonuniform Inflow Using Parallel Compressor Theory. Water, 13(1), 99. https://doi.org/10.3390/w13010099
