Seasonal Photoacclimation and Vulnerability Patterns in the Brown Macroalga Lessonia spicata (Ochrophyta)
Abstract
Highlights
Abstract
1. Introduction
2. Material and Methods
2.1. Species and Sampling Location
2.2. Abiotic Parameters
2.3. Photosynthesis and Energy Dissipation Measurements
2.4. Biochemical Variables
2.5. Statistical Analysis
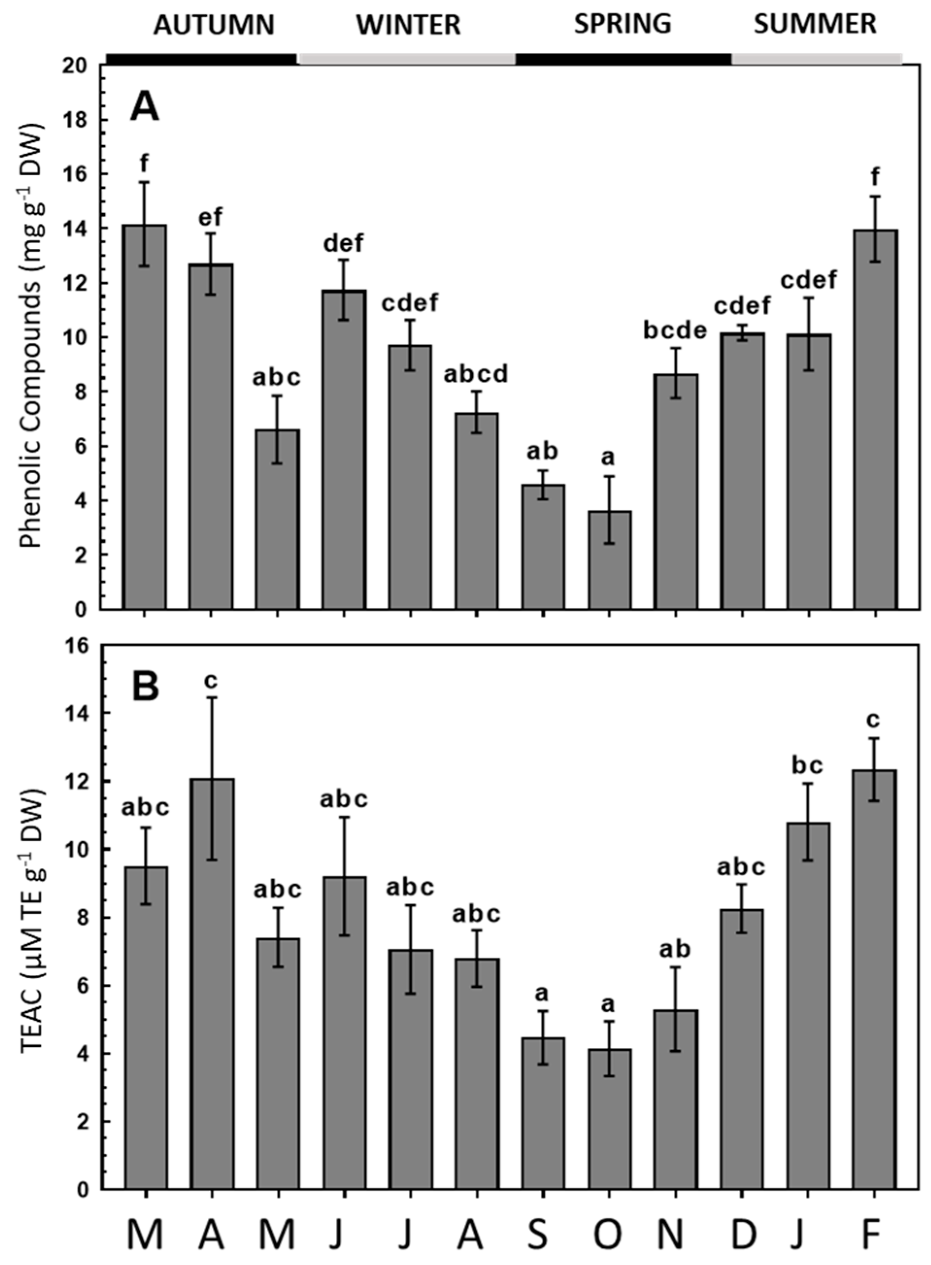
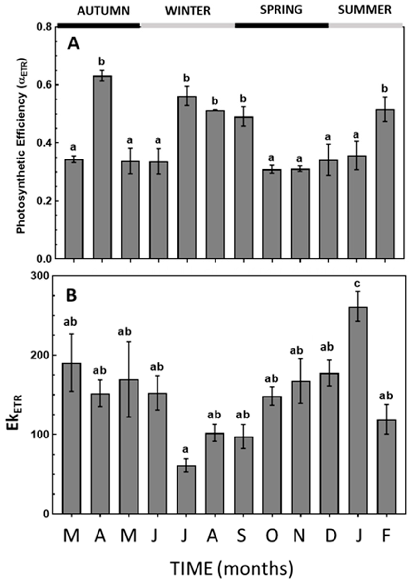
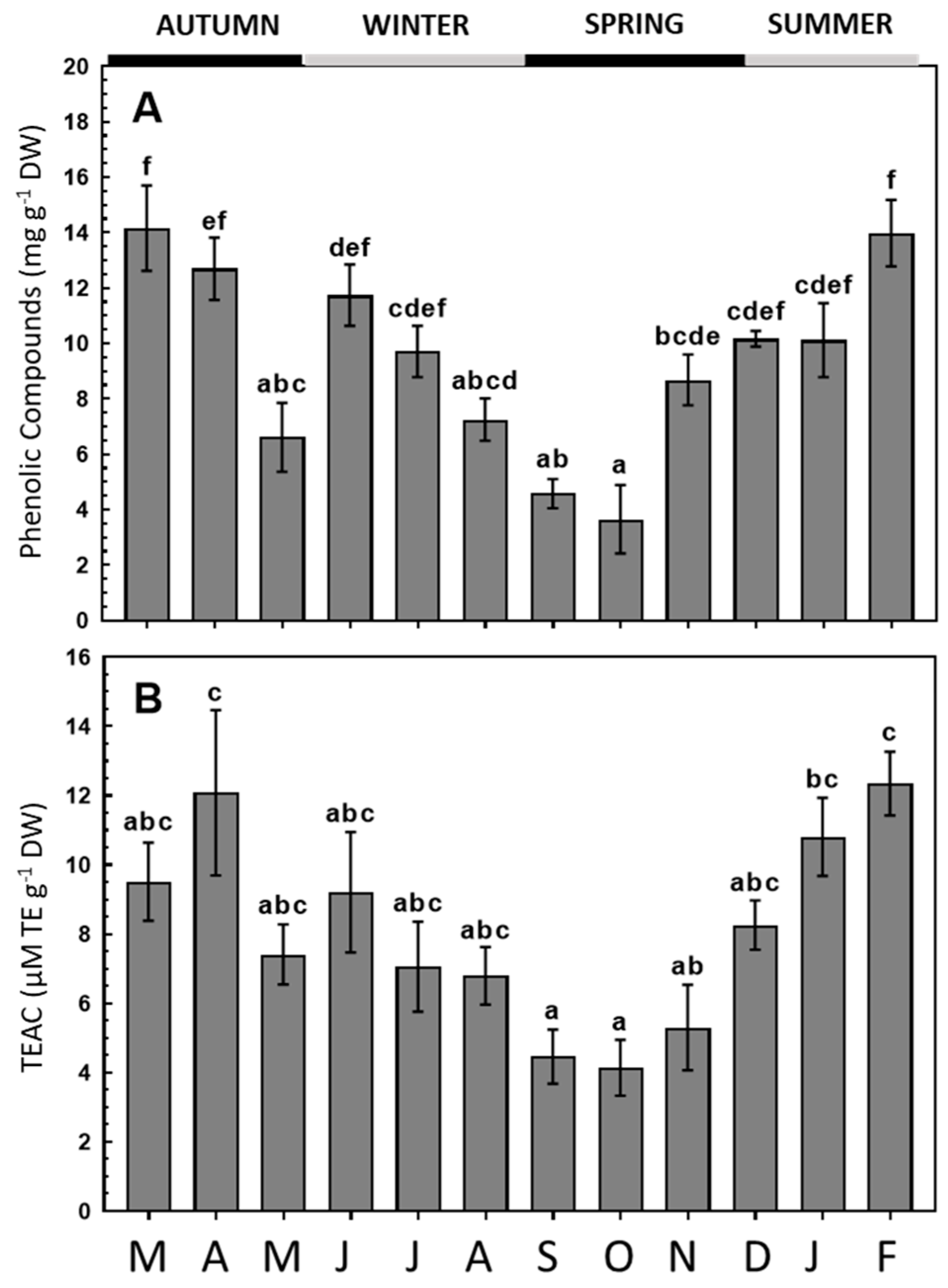
3. Results
3.1. Environmental Conditions
3.2. Physiological Responses and Biochemical Variables
4. Discussion
5. Conclusions
Supplementary Materials
Author Contributions
Funding
Institutional Review Board Statement
Informed Consent Statement
Acknowledgments
Conflicts of Interest
References
- IPCC. The Physical Science Basis. Working Group I Contribution to the Fifth Assessment Report of the Intergovernmental Panel on Climate Change; Cambridge University Press: Cambridge, UK, 2014. [Google Scholar]
- Lu, Y.; Wang, H.; Wang, Q.; Zhang, Y.; Yu, Y.; Qian, Y. Global anthropogenic heat emissions from energy consumption, 1965–2100. Clim. Chang. 2017, 145, 459–468. [Google Scholar] [CrossRef]
- Bischof, K.; Gómez, I.; Molis, M.; Hanelt, D.; Karsten, U.; Lüder, U.; Roleda, M.Y.; Zacher, K.; Wiencke, C. Ultraviolet radiation shapes seaweed communities. Rev. Environ. Sci. Bio. 2006, 5, 141–166. [Google Scholar] [CrossRef]
- Cabrera, S.; Ipiña, A.; Damiani, A.; Cordero, R.R.; Piacentini, R.D. UV index values and trends in Santiago, Chile (33.5ºS) based on ground and satellite data. J. Photochem. Photobiol. B Biol. 2012, 115, 73–84. [Google Scholar] [CrossRef]
- Gómez, I.; Español, S.; Véliz, K.; Huovinen, P. Spatial distribution of phlorotannins and its relationship with photosynthetic UV tolerance and allocation of storage carbohydrates in blades of the kelp Lessonia spicata. Mar. Biol. 2016, 163, 110. [Google Scholar] [CrossRef]
- Rahn, D.A.; Garreaud, R.D. A synoptic climatology of the near-surface wind along the west coast of South America. Int. J. Climatol. 2014, 34, 780–792. [Google Scholar] [CrossRef]
- Celis-Plá, P.S.M.; Bouzon, Z.; Hall-Spencer, J.M.; Schmidt, E.; Korbee, N.; Figueroa, F.L. Seasonal biochemical and photophysiological responses in the intertidal macroalga Cystoseira tamariscifolia (Ochrophyta). Mar. Environ. Res. 2016, 115, 89–97. [Google Scholar] [CrossRef]
- Celis-Plá, P.S.M.; Rodríguez-Rojas, F.; Méndez, L.; Moenne, F.; Muñoz, P.T.; Lobos, M.G.; Díaz, P.; Sánchez-Lizaso, J.L.; Brown, M.T.; Moenne, A.; et al. MAPK Pathway under Chronic Copper Excess in Green Macroalgae (Chlorophyta): Influence on Metal Exclusion/Extrusion Mechanisms and Photosynthesis. Int. J. Mol. Sci. 2019, 20, 4547. [Google Scholar] [CrossRef]
- Figueroa, F.L.; Domínguez-González, B.; Korbee, N. Vulnerability and acclimation to increased UVB in the three intertidal macroalgae of different morpho-functional groups. Mar. Environ. Res. 2014, 97, 30–38. [Google Scholar] [CrossRef]
- Sáez, C.A.; Roncarati, F.; Moenne, A.; Moody, A.J.; Brown, M.T. Copper-induced intra-specific oxidative damage and antioxidant responses in strains of the brown alga Ectocarpus siliculosus with different pollution histories. Aquat. Toxicol. 2015, 159, 81–89. [Google Scholar] [CrossRef]
- Álvarez-Gómez, F.; Bouzon, Z.; Korbee, N.; Celis-Plá, P.S.M.; Schmidt, E.C.; Figueroa, F.L. Combined effects of UVR and nutrients on cell ultrastructure, photosynthesis, and biochemistry in Gracilariopsis longissima (Gracilariales, Rhodophyta). Algal Res. 2017, 26, 190–202. [Google Scholar] [CrossRef]
- Celis-Plá, P.S.M.; Korbee, N.; Gómez-Garreta, A.; Figueroa, F.L. Seasonal photoacclimation patterns in the intertidal macroalga Cystoseira tamariscifolia (Ochrophyta). Sci. Mar. 2014, 78, 377–388. [Google Scholar] [CrossRef]
- Sathya, R.; Kanaga, N.; Sankar, P.; Jeeva, S. Antioxidant properties of phlorotannins from brown seaweed Cystoseira trinodis (Forsskal) C. Agardh. Arab. J. Chem. 2017, 10, S2608–S2614. [Google Scholar] [CrossRef]
- Ahn, G.N.; Kim, K.N.; Cha, S.H.; Song, C.B.; Lee, J.H.; Heo, M.-S.; Yeo, I.-K.; Lee, N.-H.; Jee, Y.-H.; Kim, J.-S.; et al. Antioxidant activities of phlorotannins purified from Ecklonia cava on free radical scavenging using ESR and H2O2-mediated DNA damage. Eur. Food. Res. Technol. 2007, 226, 71–79. [Google Scholar] [CrossRef]
- Tanniou, A.; Esteban Serrano, L.; Vandanjon, L.; Ibanez, E.; Mendiola, J.A.; Cerantola, S.; Kervarec, N.; La Barre, N.; Marchal, L.; Stiger-Pouvreau, V. Green improved processes to extract bioactive phenolic compounds from brown macroalgae using Sargassum muticum as model. Talanta 2013, 104, 44–52. [Google Scholar]
- Wernberg, T.; de Bettignies, T.; Joy, B.A.; Finnegan, P.M. Physiological responses of habitat-forming seaweeds to increasing temperatures. Limnol. Oceanogr. 2016, 61, 2180–2190. [Google Scholar] [CrossRef]
- Valdés, F.; Lobos, M.G.; Díaz, P.; Sáez, C.A. Metal assessment and cellular accumulation dynamics in the green macroalga Ulva lactuca. J. Appl. Phycol. 2018, 30, 663–671. [Google Scholar] [CrossRef]
- Rodríguez-Rojas, F.; López-Marras, A.; Celis-Plá, P.S.M.; Muñoz, P.; Garcia-Bartolome, E.; Valenzuela, F.; Orrego, R.; Carratala, A.; Sanchez-Lizaso, J.L.; Saez, C.A. Ecophysiological and cellular stress responses in the cosmopolitan brown macroalga Ectocarpus as biomonitoring tools for assessing desalination brine impacts. Desalination 2020, 489, 114527. [Google Scholar] [CrossRef]
- González, A.; Beltrán, J.; Hiriart-Bertrand, L.; Flores, V.; de Reviers, B.; Correa, J.A.; Santelices, B. Identification of cryptic species in the Lessonia nigrescens complex (Phaeophyceae, Laminariales). J. Phycol. 2012, 48, 1153–1165. [Google Scholar] [CrossRef]
- Quintano, E.; Ganzedo, U.; Díez, I.; Figueroa, F.L.; Gorostiaga, J.M. Solar radiation (PAR and UVR) and water temperature in relation to biochemical performance of Gelidium corneum (Gelidiales, Rhodophyta) in subtidal bottoms off the Basque coast. J. Sea Res. 2013, 83, 47–55. [Google Scholar] [CrossRef]
- Quintano, E.; Celis-Plá, P.S.M.; Martínez, B.; Díez, I.; Muguerza, N.; Figueroa, F.L.; Gorostiaga, J.M. Ecophysiological responses of threatened red algae to increased irradiance in an in-situ transplant experiment. Mar. Environ. Res. 2019, 144, 166–177. [Google Scholar] [CrossRef]
- Schreiber, U.; Endo, T.; Mi, H.; Asada, K. Quenching analysis of chlorophyll fluorescence by the saturation pulse method: Particular aspects relating to the study of eukaryotic algae and cyanobacteria. Plant. Cell. Physiol. 1995, 36, 873–882. [Google Scholar] [CrossRef]
- Figueroa, F.L.; Conde-Álvarez, R.; Gómez, I. Relations between electron transport rates determined by pulse amplitude modulated chlorophyll fluorescence and oxygen evolution in macroalgae under different light conditions. Photosynth. Res. 2003, 75, 259–275. [Google Scholar] [CrossRef] [PubMed]
- Eilers, P.H.C.; Peeters, J.C.H. A model for the relationship between light intensity and the rate of photosynthesis in phytoplankton. Ecol. Model. 1988, 42, 199–215. [Google Scholar] [CrossRef]
- Bilger, W.; Björkman, O. Role of the xanthophyll cycle in photoprotection elucidated by measurements of light-induced absorbance changes, fluorescence, and photosynthesis in leaves of Hedera canariensis. Photosynth. Res. 1990, 25, 173–185. [Google Scholar] [CrossRef]
- Ritchie, R.J. Fitting light saturation curves measured using modulated fluorometry. Photosynth. Res. 2008a, 96, 201–215. [Google Scholar] [CrossRef]
- Kramer, D.M.; Johson, G.; Kiirats, O.; Edwards, G.E. New fluorescence parameters for the determination of QA redox state and excitation energy fluxes. Photosynth. Res. 2004, 79, 209–218. [Google Scholar] [CrossRef]
- Hendrickson, L.; Furnbank, R.T.; Chow, W.S. A simple alternative approach to assessing the fate of absorbed light energy using chlorophyll fluorescence. Photosynth. Res. 2004, 82, 73–81. [Google Scholar] [CrossRef]
- Ritchie, R.J. Universal chlorophyll equations for estimating chlorophylls a, b, c and d and total chlorophylls in natural assemblages of photosynthetic organisms using acetone, methanol, or ethanol solvents. Photosynthetica 2008b, 46, 115–126. [Google Scholar] [CrossRef]
- Parsons, T.R.; Strickland, J.D.H. Discusson of spectrophometric determination of marine-plant pigments, with revised equations for ascertaining chlorophyll-a and carotenois. J. Mar. Res. 1963, 21, 105–156. [Google Scholar]
- Folin, O.; Ciocalteu, V. On tyrosine and tryptophane determinations in proteins. J. Boil. Chem. 1927, 73, 627–650. [Google Scholar]
- Blois, M.S. Antioxidant determinations by the use of a stable free radical. Nature 1958, 181, 1199–1200. [Google Scholar] [CrossRef]
- Underwood, T. Experiments in Ecology. Their Logical Design and Interpretation Using Analysis of Variance; Cambridge University Press: Cambridge, UK, 1997. [Google Scholar]
- Anderson, M.J.; Gorley, R.N.; Clarke, K.R. PERMANOVA+ for PRIMER: Guide to Software and Statistical Methods; PRIMER-E: Plymouth, UK, 2008. [Google Scholar]
- Ogawa, T.; Sonoike, K. Effects of bleaching by nitrogen deficiency on the quantum yield of photosystem II in Synechocystis sp. PCC 6803 revealed by Chl fluorescence measurements. Plant Cell Physiol. 2016, 57, 558–567. [Google Scholar] [CrossRef]
- Maxwell, K.; Johnson, G.N. Chlorophyll fluorescence-a practical guide. J. Exp. Bot. 2000, 51, 659–668. [Google Scholar] [CrossRef]
- Gómez, I.; López-Figueroa, F.; Ulloa, N.; Morales, V.; Lovengreen, C.; Huovinen, P.; Hess, S. Patterns of photosyntheisis in 18 species of intertidal macroalgae from southern Chile. Mar. Ecol. Prog. Ser. 2004, 270, 103–116. [Google Scholar] [CrossRef]
- Hanelt, D. Photoinhibition of photosynthesis in marine macroalgae. Sci. Mar. 1996, 60, 243–248. [Google Scholar]
- Celis-Plá, P.S.M.; Martínez, B.; Korbee, N.; Hall-Spencer, J.M.; Figueroa, F.L. Ecophysiological responses to elevated CO2 and temperature in Cystoseira tamariscifolia (Phaeophyceae). Clim. Chang. 2017, 142, 67–81. [Google Scholar] [CrossRef]
- Hoogenboom, M.O.; Anthony, K.R.N.; Connolly, S.R. Energy cost of photinhibtion in corals. Mar. Ecol. Prog. Ser. 2006, 313, 1–12. [Google Scholar] [CrossRef]
- Raven, J.A. The cost of photoinhibition. Physiol. Plant. 2011, 142, 87–104. [Google Scholar] [CrossRef]
- Pavia, H.; Toth, G.B. Inducible chemical resistance to herbivory in the brown seaweed Ascophyllum nodosum. Ecology 2000, 81, 3212–3225. [Google Scholar] [CrossRef]
- Cabello-Pasini, A.; Macías-Carranza, V.; Abdala, R.; Korbee, N.; Figueroa, F.L. Effect of nitrate concentration and UVR on photosynthesis, respiration, nitrate reductase activity, and phenolic compounds in Ulva rigida (Chlorophyta). J. Appl. Phycol. 2011, 23, 363–369. [Google Scholar] [CrossRef]
- Figueroa, F.L.; Bonomi-Barufi, J.; Celis-Plá, P.S.M.; Nitschke, U.; Arenas, F.; Connan, S.; Abreu, M.H.; Malta, E.-J.; Conde-Álvarez, R.; Chow, F.; et al. Short-term effects of increased CO2, nitrate and temperature on photosynthetic activity in Ulva rigida (Chlorophyta) estimated by different pulse amplitude modulated fluorometers and oxygen evolution. J. Exp. Bot. 2020, eraa473. [Google Scholar] [CrossRef] [PubMed]
- Parjikolaei, B.R.; Kloster, L.; Bruhn, A.; Rasmussen, M.B.; Fretté, X.C.; Christensen, K.V. Effect of light quality and nitrogen availability on the biomass production and pigment content of Palmaria palmata (Rhodophyta). Chem. Eng. Trans. 2013, 32, 967–972. [Google Scholar]
- Abdala-Díaz, R.T.; Cabello-Pasini, A.; Pérez-Rodríguez, E.; Conde-Álvarez, R.M.; Figueroa, F.L. Daily and seasonal variations of optimum quantum yield and phenolic compounds in Cystoseira tamariscifolia (Phaeophyta). Mar. Biol. 2006, 148, 459–465. [Google Scholar] [CrossRef]
- Buschmann, A.H.; Pereda, S.V.; Varela, D.A.; Rodríguez-Maulén, J.; López, A.; González-Carvajal, L.; Schilling, M.; Henríquez-Tejo, E.A.; Hernández-González, M.C. Ecophysiological plasticity of annual populations of giant kelp (Macrocystis pyrifera) in a seasonally variable coastal Environment in the Northern Patagonian Inner Seas of Southern Chile. J. Appl. Phycol. 2014, 26, 837–847. [Google Scholar] [CrossRef]
- Varela, D.A.; Henriquez, L.A.; Fernández, P.; Leal, P.; Hernández-González, M.C.; Figueroa, F.L.; Buschmann, A.H. Photosynthesis and nitrogen uptake of the giant kelp Macrocystis pyrifera grown close to salmon farms. Mar. Environ. Res. 2018, 135, 93–102. [Google Scholar] [CrossRef]
- Palacios, M.; Osman, D.; Ramirez, J.; Huovinen, P.; Gómez, I. Photobiology of the giant kelp Macrocystis pyrifera in the land-terminating glacier fjord Yendegaia (Tierra del Fuego): A look into the future? Sci. Total Environ. 2020, 751, 141810. [Google Scholar] [CrossRef]
- Stahl, W.; Sies, H. Carotenoids and flavonoids contribute to nutritional protection against skin damage from sunlight. Mol. Biotechnol. 2007, 37, 26–30. [Google Scholar] [CrossRef]
- Stengel, D.B.; Connan, S.; Popper, Z.A. Algal chemiodiversity and bioactivity: Sources of natural variability and implications for commercial application. Biotechnol. Adv. 2011, 29, 483–501. [Google Scholar] [CrossRef]
- Hanelt, D.; Figueroa, F.L. Physiological and photomorphogenic effects of light of marine macrophytes. In Seaweed Biology Ecological Studies; Wienke, C., Bischof, K., Eds.; Springer: Berlin/Heidelberg, Germany, 2012; pp. 3–23. [Google Scholar]









| T °C | pH | Salinity | KdPAR | |
|---|---|---|---|---|
| Autumn | 13.57 ± 1.22 | 7.91 ± 0.15 | 33.91 ± 1.13 | 0.360 |
| Winter | 12.25 ± 0.04 | 7.90 ± 0.09 | 31.95 ± 0.42 | 0.288 |
| Spring | 13.53 ± 0.70 | 7.93 ± 0.01 | 31.74 ± 0.25 | 0.304 |
| Summer | 15.21 ± 0.47 | 8.01 ± 0.04 | 33.98 ± 0.98 | 0.336 |
Publisher’s Note: MDPI stays neutral with regard to jurisdictional claims in published maps and institutional affiliations. |
© 2020 by the authors. Licensee MDPI, Basel, Switzerland. This article is an open access article distributed under the terms and conditions of the Creative Commons Attribution (CC BY) license (http://creativecommons.org/licenses/by/4.0/).
Share and Cite
Zúñiga, A.; Sáez, C.A.; Trabal, A.; Figueroa, F.L.; Pardo, D.; Navarrete, C.; Rodríguez-Rojas, F.; Moenne, F.; Celis-Plá, P.S.M. Seasonal Photoacclimation and Vulnerability Patterns in the Brown Macroalga Lessonia spicata (Ochrophyta). Water 2021, 13, 6. https://doi.org/10.3390/w13010006
Zúñiga A, Sáez CA, Trabal A, Figueroa FL, Pardo D, Navarrete C, Rodríguez-Rojas F, Moenne F, Celis-Plá PSM. Seasonal Photoacclimation and Vulnerability Patterns in the Brown Macroalga Lessonia spicata (Ochrophyta). Water. 2021; 13(1):6. https://doi.org/10.3390/w13010006
Chicago/Turabian StyleZúñiga, Antonio, Claudio A. Sáez, Andrés Trabal, Félix L. Figueroa, Diego Pardo, Camilo Navarrete, Fernanda Rodríguez-Rojas, Fabiola Moenne, and Paula S. M. Celis-Plá. 2021. "Seasonal Photoacclimation and Vulnerability Patterns in the Brown Macroalga Lessonia spicata (Ochrophyta)" Water 13, no. 1: 6. https://doi.org/10.3390/w13010006
APA StyleZúñiga, A., Sáez, C. A., Trabal, A., Figueroa, F. L., Pardo, D., Navarrete, C., Rodríguez-Rojas, F., Moenne, F., & Celis-Plá, P. S. M. (2021). Seasonal Photoacclimation and Vulnerability Patterns in the Brown Macroalga Lessonia spicata (Ochrophyta). Water, 13(1), 6. https://doi.org/10.3390/w13010006

