Spatial and Seasonal Variations of C, Nutrient, and Metal Concentration in Thermokarst Lakes of Western Siberia Across a Permafrost Gradient
Abstract
1. Introduction
2. Study Site Description, Sampling, Analytical and Statistical Methods
2.1. Study Site Description
2.2. Sampling and Analyses
2.3. Statistical Treatment
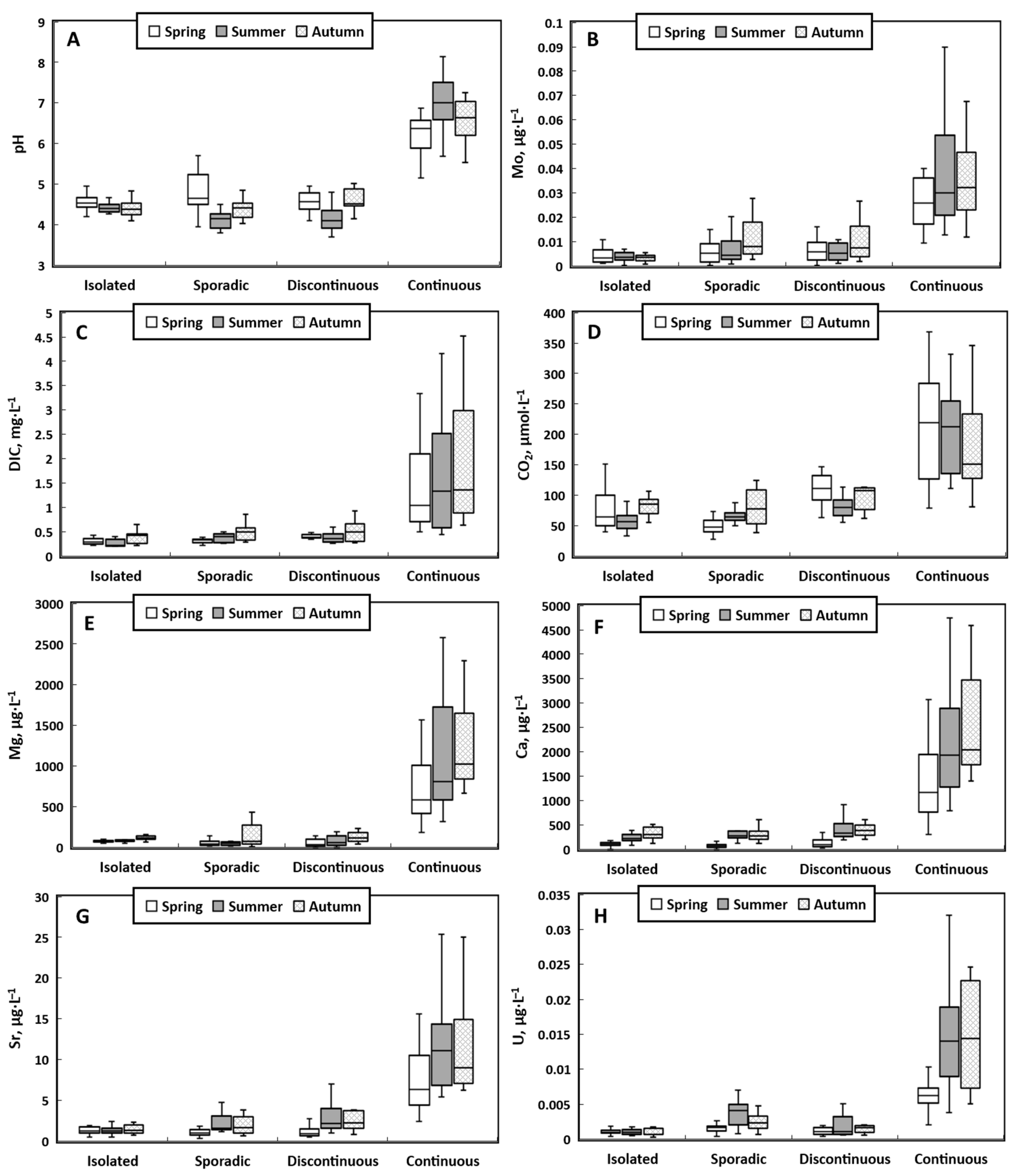
3. Results and Discussion
3.1. Dependence of the Concentration of DOC, DIC, Anions, and Trace Elements on the Water Body Size
3.1.1. Isolated Permafrost Zone
3.1.2. Sporadic Permafrost Zone
3.1.3. Discontinuous Permafrost Zone
3.1.4. Continuous Permafrost Zone
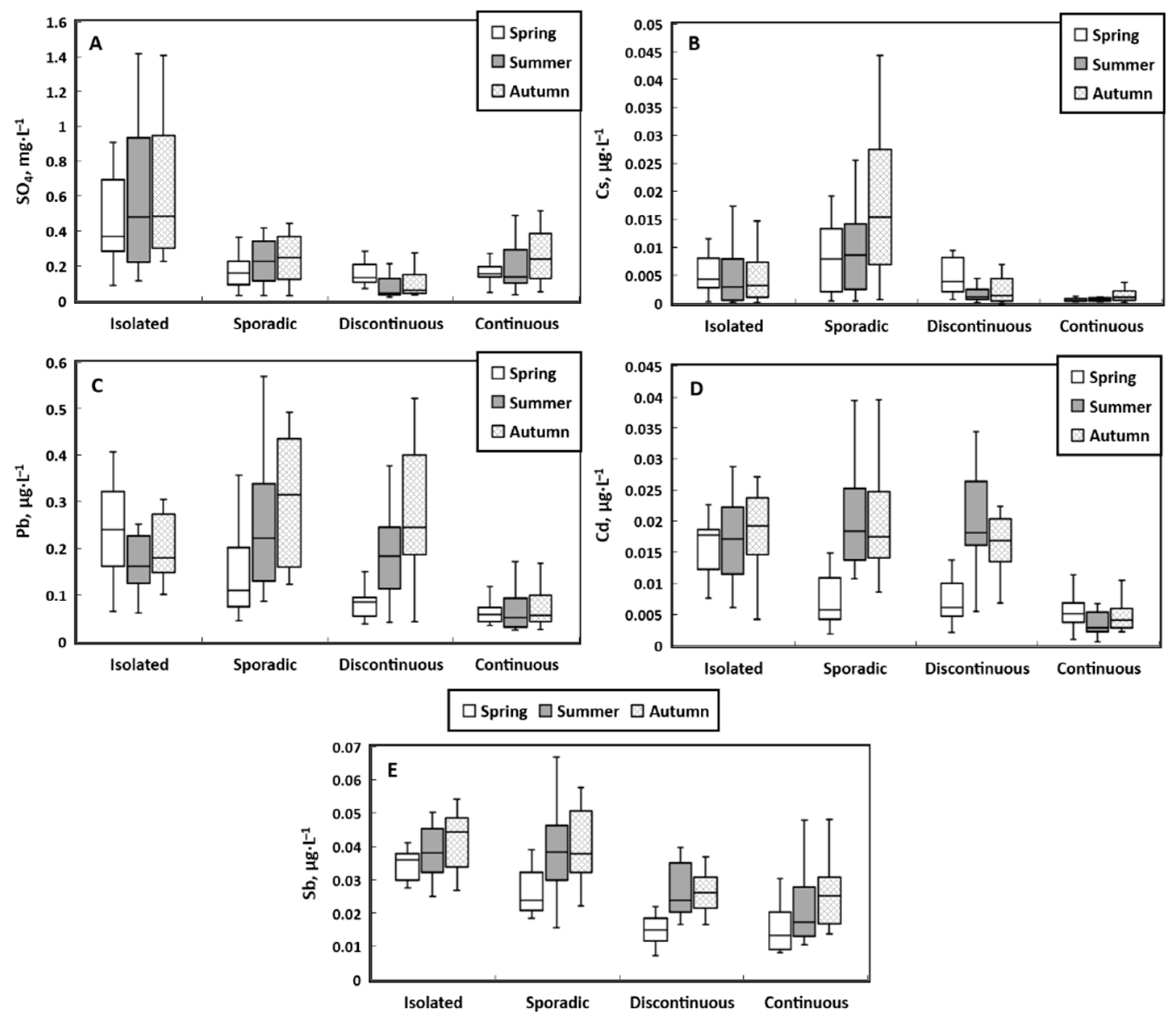
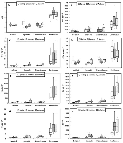
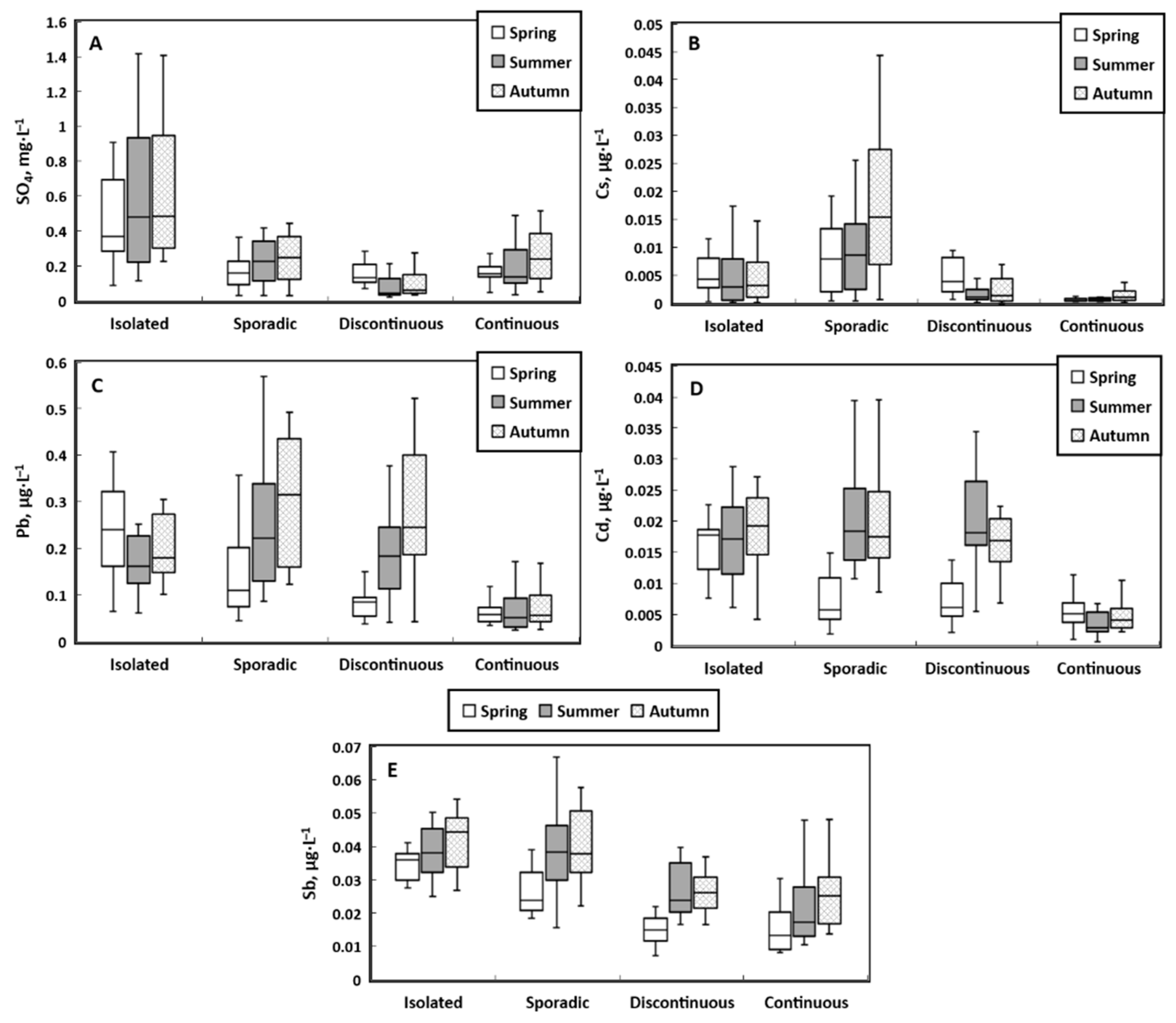
3.2. Impact of Hydrological Season on the Concentration of DOC, DIC, Anions, and Trace Elements in Thermokarst Lake Water
3.3. Effect of the Permafrost Gradient on the Concentration of Elements in Thermokarst Lakes
3.4. Element Pools in Thermokarst Lakes of Western Siberia: Seasonal Variations and Dependence on the Geographic Latitude
3.5. Multiparametrical Statistical Analysis (PCA and HCA)
3.6. How Northward Shift in Permafrost Zones May Affect the Chemical Composition of Lakes
4. Conclusions
Supplementary Materials
Author Contributions
Funding
Conflicts of Interest
Appendix A
| Element | Units | Isolated | Sporadic | Discontinuous | Continuous | Average | ||||||||
|---|---|---|---|---|---|---|---|---|---|---|---|---|---|---|
| Spring | Summer | Autumn | Spring | Summer | Autumn | Spring | Summer | Autumn | Spring | Summer | Autumn | |||
| SC | µS·cm−1 | 14 ± 5.2 | 15 ± 2.4 | 18 ± 3.6 | 13 ± 5.2 | 24 ± 9.9 | 26 ± 7.9 | 13 ± 4.6 | 22 ± 7.8 | 23 ± 8.2 | 16 ± 7.2 | 21 ± 11 | 24 ± 8.9 | 18 ± 8.4 |
| 12.5 ± 5 | 14 ± 4 | 17.5 ± 4 | 11 ± 4 | 21.5 ± 13 | 27 ± 8 | 11.5 ± 7 | 19 ± 12 | 22 ± 12 | 14.5 ± 9 | 16.5 ± 14 | 20 ± 14 | 17 ± 9.4 | ||
| pH | 4.57 ± 0.2 | 4.51 ± 0.4 | 4.51 ± 0.5 | 4.9 ± 0.8 | 4.14 ± 0.2 | 4.4 ± 0.2 | 4.62 ± 0.4 | 4.18 ± 0.4 | 4.7 ± 0.5 | 6.18 ± 0.5 | 6.99 ± 0.7 | 6.58 ± 0.6 | 5 ± 1 | |
| 4.53 ± 0.2 | 4.4 ± 0.2 | 4.39 ± 0.3 | 4.65 ± 0.6 | 4.15 ± 0.3 | 4.42 ± 0.3 | 4.57 ± 0.4 | 4.1 ± 0.4 | 4.53 ± 0.3 | 6.38 ± 0.7 | 7.01 ± 0.8 | 6.63 ± 0.8 | 4.52 ± 1.3 | ||
| CH4 | µmol·L−1 | 1.12 ± 0.9 | 1.35 ± 1.49 | 1.72 ± 2.3 | 0.661 ± 0.89 | 1.08 ± 2.4 | 15.9 ± 47.8 | 16.3 ± 23 | 4.45 ± 7.8 | 13.7 ± 27 | 5.26 ± 5.9 | 1.18 ± 0.7 | 0.639 ± 0.7 | 5.17 ± 18 |
| 0.73 ± 1.1 | 1.02 ± 1.3 | 0.9 ± 1.5 | 0.33 ± 0.37 | 0.34 ± 0.58 | 0.49 ± 1.2 | 13.1 ± 13 | 2.2 ± 3.7 | 5 ± 9.9 | 2.2 ± 9.3 | 1.2 ± 1 | 0.34 ± 0.54 | 0.97 ± 2.3 | ||
| CO2 | µmol·L−1 | 75.6 ± 30 | 61.6 ± 27.6 | 86.2 ± 24 | 49.7 ± 12 | 71.4 ± 26 | 156 ± 251 | 120 ± 50 | 100 ± 80 | 139 ± 128 | 211 ± 85 | 205 ± 73 | 175 ± 75 | 119 ± 106 |
| 65 ± 48 | 57 ± 18 | 86 ± 19.4 | 47.7 ± 18 | 65 ± 7.7 | 78.2 ± 49 | 112 ± 37 | 80 ± 24 | 108 ± 34 | 218 ± 142 | 212 ± 114 | 151 ± 92 | 88 ± 69 | ||
| Cl- | mg·L−1 | 0.188 ± 0.09 | 0.118 ± 0.09 | 0.188 ± 0.08 | 0.1 ± 0.08 | 0.148 ± 0.1 | 0.199 ± 0.2 | 0.106 ± 0.08 | 0.223 ± 0.19 | 0.261 ± 0.17 | 0.123 ± 0.04 | 0.136 ± 0.1 | 0.178 ± 0.04 | 0.163 ± 0.12 |
| 0.171 ± 0.1 | 0.09 ± 1.7 | 0.189 ± 0.07 | 0.08 ± 0.06 | 0.119 ± 0.18 | 0.18 ± 0.11 | 0.08 ± 0.03 | 0.171 ± 0.2 | 0.187 ± 0.21 | 0.12 ± 0.04 | 0.11 ± 0.08 | 0.17 ± 0.06 | 0.14 ± 0.13 | ||
| SO42- | mg·L−1 | 0.466 ± 0.25 | 0.607 ± 0.42 | 0.64 ± 0.39 | 0.192 ± 0.1 | 0.243 ± 0.2 | 0.302 ± 0.3 | 0.154 ± 0.6 | 0.09 ± 0.09 | 0.117 ± 0.11 | 0.159 ± 0.1 | 0.192 ± 0.1 | 0.281 ± 0.2 | 0.295 ± 0.29 |
| 0.368 ± 0.4 | 0.479 ± 0.7 | 0.49 ± 0.6 | 0.16 ± 0.09 | 0.226 ± 0.18 | 0.247 ± 0.22 | 0.135 ± 0.1 | 0.045 ± 0.08 | 0.063 ± 0.09 | 0.15 ± 0.06 | 0.14 ± 0.19 | 0.24 ± 0.23 | 0.2 ± 0.23 | ||
| SUVA245 | L·mg-C−1·m−1 | 3.8 ± 0.45 | 3.4 ± 0.46 | 3.2 ± 0.36 | 3.6 ± 0.5 | 4.7 ± 0.7 | 4.5 ± 0.7 | 3.9 ± 0.74 | 4.5 ± 0.66 | 4.2 ± 0.61 | 4.4 ± 0.4 | 4.1 ± 1 | 3.9 ± 0.7 | 4 ± 0.7 |
| 3.8 ± 0.7 | 3.3 ± 0.6 | 3.2 ± 0.5 | 3.6 ± 0.6 | 4.5 ± 0.8 | 4.4 ± 1 | 3.8 ± 1.1 | 4.2 ± 1 | 4.1 ± 0.8 | 4.3 ± 0.6 | 3.9 ± 0.7 | 3.8 ± 1.1 | 3.9 ± 1 | ||
| DOC | mg·L−1 | 9.3 ± 3.02 | 10.8 ± 3.4 | 11.3 ± 3.43 | 11.2 ± 3.9 | 27.4 ± 15 | 25.9 ± 9.6 | 10.8 ± 2.9 | 24.9 ± 12 | 24.1 ± 9.2 | 8.46 ± 3.9 | 13.5 ± 5.2 | 15.9 ± 4.4 | 16 ± 10 |
| 8.5 ± 3.8 | 10.8 ± 5.3 | 11.2 ± 5.4 | 10.5 ± 4.8 | 20.7 ± 13 | 23.5 ± 14 | 10.2 ± 3.4 | 22.3 ± 12 | 22 ± 9.3 | 7.27 ± 4.6 | 12.2 ± 3.3 | 14.9 ± 8.6 | 12 ± 9 | ||
| DIC | mg·L−1 | 0.307 ± 0.06 | 0.274 ± 0.11 | 0.395 ± 0.12 | 0.313 ± 0.05 | 0.395 ± 0.1 | 0.496 ± 0.2 | 0.408 ± 0.06 | 0.424 ± 0.19 | 0.55 ± 0.28 | 1.41 ± 0.9 | 1.67 ± 1.2 | 1.82 ± 1.2 | 0.689 ± 0.76 |
| 0.289 ± 0.11 | 0.221 ± 0.14 | 0.434 ± 0.19 | 0.327 ± 0.05 | 0.401 ± 0.17 | 0.51 ± 0.25 | 0.388 ± 0.06 | 0.369 ± 0.15 | 0.508 ± 0.34 | 1.04 ± 1.3 | 1.34 ± 1.9 | 1.36 ± 1.9 | 0.4 ± 0.3 | ||
| P-PO4 | µg·L−1 | 1.42 ± 0.86 | 1.76 ± 2.14 | 1.66 ± 0.99 | 1.87 ± 1.3 | 2.52 ± 1.7 | 3.31 ± 3 | 2.02 ± 1.4 | 5.51 ± 8.2 | 2.08 ± 1.6 | 2.27 ± 0.9 | 4.11 ± 2.2 | 2.6 ± 1.2 | 2.61 ± 3 |
| 1.46 ± 1.3 | 1.06 ± 1.1 | 1.63 ± 1.3 | 1.44 ± 0.84 | 2.24 ± 2.4 | 2.24 ± 4 | 1.62 ± 0.8 | 1.96 ± 3.8 | 1.72 ± 2.4 | 2.07 ± 1.4 | 3.48 ± 2.8 | 2.44 ± 1.5 | 1.9 ± 1.8 | ||
| N-NO3 | µg·L−1 | 11.9 ± 17 | 7.03 ± 9.3 | 24.4 ± 42 | 18.6 ± 22 | 6.2 ± 5.9 | 37.2 ± 53 | 3.33 ± 3.8 | 2.83 ± 1.9 | 3.48 ± 2.07 | 4.1 ± 2.1 | 1.5 ± 1.3 | 25.4 ± 3.5 | 12.2 ± 25 |
| 7 ± 9.2 | 1.6 ± 10 | 4.1 ± 14 | 7.5 ± 28 | 3.2 ± 8.5 | 9.8 ± 37 | 2.39 ± 1.7 | 2.19 ± 2.7 | 2.57 ± 3.6 | 3.72 ± 2.8 | 1.44 ± 2.8 | 12.4 ± 29 | 3.2 ± 8 | ||
| N-NH4 | µg·L−1 | 108 ± 102 | 20.6 ± 44 | 38.9 ± 87 | 130 ± 98 | 105 ± 151 | 348 ± 277 | 88.8 ± 124 | 54.2 ± 76 | 164 ± 302 | 11.8 ± 12 | 8.74 ± 9.1 | 23 ± 46 | 89 ± 161 |
| 120 ± 135 | 5.13 ± 4.8 | 7.6 ± 12 | 137 ± 193 | 55 ± 118 | 361 ± 564 | 38 ± 105 | 20 ± 80 | 7.6 ± 95 | 8.3 ± 12 | 5.36 ± 5.2 | 6.62 ± 17 | 14 ± 86 | ||
| Li | µg·L−1 | 0.167 ± 0.15 | 0.331 ± 0.49 | 0.381 ± 0.52 | 0.108 ± 0.1 | 0.336 ± 0.2 | 0.422 ± 0.1 | 0.128 ± 0.08 | 0.357 ± 0.24 | 0.403 ± 0.25 | 0.511 ± 0.3 | 1.01 ± 0.4 | 1.23 ± 0.5 | 0.443 ± 0.44 |
| 0.124 ± 0.02 | 0.21 ± 0.04 | 0.244 ± 0.08 | 0.103 ± 0.07 | 0.294 ± 0.21 | 0.4 ± 0.17 | 0.112 ± 0.15 | 0.24 ± 0.37 | 0.24 ± 0.32 | 0.43 ± 0.39 | 0.97 ± 0.63 | 1.19 ± 0.7 | 0.26 ± 0.36 | ||
| B | µg·L−1 | 2.02 ± 1.12 | 2.76 ± 0.71 | 2.91 ± 0.77 | 1.77 ± 1.3 | 6.38 ± 2.3 | 3.88 ± 1.8 | 1.25 ± 1.3 | 2.63 ± 0.97 | 3.4 ± 1.7 | 2.24 ± 1.8 | 17.6 ± 12 | 3.61 ± 1.5 | 4.26 ± 5.7 |
| 1.8 ± 1.2 | 2.7 ± 1.2 | 2.7 ± 0.49 | 1.38 ± 1.6 | 6.2 ± 3.3 | 3.8 ± 2.3 | 0.916 ± 1.1 | 2.17 ± 1.2 | 3.13 ± 2 | 1.49 ± 2.4 | 14.9 ± 20 | 3.57 ± 2.1 | 2.7 ± 2.6 | ||
| Na | µg·L−1 | 201 ± 61 | 200 ± 124 | 169 ± 170 | 232 ± 114 | 297 ± 184 | 193 ± 120 | 225 ± 167 | 363 ± 303 | 341 ± 345 | 362 ± 157 | 686 ± 440 | 535 ± 257 | 314 ± 265 |
| 183 ± 62 | 181 ± 54 | 136 ± 43 | 211 ± 102 | 302 ± 159 | 179 ± 129 | 182 ± 101 | 242 ± 415 | 227 ± 279 | 320 ± 138 | 675 ± 388 | 470 ± 316 | 221 ± 228 | ||
| Mg | µg·L−1 | 81.8 ± 49 | 97.6 ± 83 | 144 ± 129 | 48.6 ± 36 | 109 ± 149 | 161 ± 133 | 54.8 ± 47 | 105 ± 117 | 148 ± 120 | 709 ± 392 | 1098 ± 746 | 1225 ± 537 | 331 ± 501 |
| 74 ± 13 | 79 ± 18 | 115 ± 33 | 43 ± 36 | 52 ± 37 | 74 ± 213 | 34 ± 64 | 62 ± 71 | 113 ± 107 | 583 ± 539 | 811 ± 1006 | 1029 ± 744 | 92 ± 239 | ||
| Al | µg·L−1 | 27.4 ± 14 | 38.7 ± 12 | 41 ± 9.7 | 51.3 ± 94 | 111 ± 40 | 94.8 ± 36 | 52.1 ± 33 | 137 ± 65 | 163 ± 111 | 31.2 ± 32 | 61.9 ± 67 | 97.6 ± 87 | 74.6 ± 72 |
| 26 ± 27 | 38 ± 17 | 42 ± 15 | 28 ± 14 | 123 ± 63 | 94 ± 37 | 50 ± 56 | 120 ± 88 | 129 ± 87 | 18 ± 32 | 40 ± 37 | 76 ± 70 | 47 ± 64 | ||
| Si | µg·L−1 | 239 ± 69 | 236 ± 338 | 425 ± 451 | 134 ± 49 | 273 ± 446 | 282 ± 539 | 660 ± 725 | 185 ± 174 | 970 ± 1167 | 239 ± 156 | 379 ± 253 | 1021 ± 702 | 415 ± 581 |
| 235 ± 85 | 147 ± 62 | 266 ± 144 | 151 ± 78 | 107 ± 143 | 145 ± 161 | 217 ± 1391 | 98 ± 201 | 471 ± 750 | 217 ± 269 | 294 ± 361 | 744 ± 1067 | 219 ± 262 | ||
| Ptot | µg·L−1 | 0.518 ± 0.66 | 3.53 ± 2.5 | 3.66 ± 2.04 | 4.25 ± 2.7 | 24.8 ± 7.7 | 8.97 ± 3.8 | 10.3 ± 6 | 26.4 ± 13 | 13.2 ± 6.3 | 14.2 ± 8.9 | 20.9 ± 23 | 13 ± 6 | 11.6 ± 11 |
| 0.16 ± 0.31 | 3.14 ± 2.1 | 3.3 ± 2.6 | 4.6 ± 4 | 22 ± 15 | 9.4 ± 5.6 | 7.6 ± 9.7 | 21 ± 11 | 11 ± 8.9 | 13 ± 8.9 | 12 ± 10 | 12 ± 5 | 9.1 ± 13 | ||
| K | µg·L–1 | 77.7 ± 44 | 85.1 ± 68 | 85.5 ± 63 | 77.2 ± 39 | 68.4 ± 44 | 56.4 ± 38 | 54.9 ± 31 | 52.6 ± 33 | 43.7 ± 20 | 198 ± 153 | 141 ± 166 | 194 ± 142 | 95 ± 97 |
| 75 ± 44 | 52 ± 61 | 62 ± 27 | 63 ± 71 | 49 ± 47 | 33 ± 61 | 50 ± 51 | 42 ± 22 | 40 ± 18 | 141 ± 138 | 82 ± 58 | 132 ± 93 | 67 ± 75 | ||
| Ca | µg·L−1 | 132 ± 137 | 273 ± 232 | 363 ± 237 | 73 ± 45 | 378 ± 284 | 321 ± 169 | 124 ± 108 | 462 ± 297 | 593 ± 599 | 1408 ± 888 | 2329 ± 1364 | 2488 ± 1031 | 746 ± 1009 |
| 107 ± 58 | 227 ± 120 | 301 ± 202 | 68 ± 61 | 273 ± 113 | 283 ± 143 | 92 ± 57 | 329 ± 242 | 387 ± 201 | 1165 ± 1076 | 1937 ± 1418 | 2042 ± 1734 | 302 ± 755 | ||
| Ti | µg·L−1 | 1.41 ± 0.84 | 1.71 ± 1.5 | 1.9 ± 1.2 | 2.08 ± 0.9 | 8.94 ± 5 | 9.24 ± 5.4 | 3.45 ± 2.3 | 5.62 ± 4.5 | 7.31 ± 4.5 | 3.17 ± 2.1 | 7.6 ± 9 | 8.5 ± 6.1 | 5.04 ± 5.2 |
| 1.24 ± 1.4 | 1.37 ± 0.8 | 1.68 ± 0.9 | 2.07 ± 0.9 | 8.67 ± 6.6 | 9 ± 4.8 | 2.85 ± 3.9 | 4.1 ± 2.6 | 6.1 ± 4.6 | 2.48 ± 2.4 | 3.63 ± 5.4 | 6.9 ± 4.5 | 3.2 ± 4.9 | ||
| V | µg·L−1 | 0.594 ± 0.28 | 0.201 ± 0.05 | 0.232 ± 0.05 | 0.491 ± 0.4 | 0.606 ± 0.3 | 0.596 ± 0.3 | 0.515 ± 0.41 | 0.45 ± 0.13 | 0.453 ± 0.16 | 1.21 ± 0.3 | 0.731 ± 0.7 | 0.628 ± 0.4 | 0.552 ± 0.41 |
| 0.736 ± 0.57 | 0.193 ± 0.04 | 0.23 ± 0.06 | 0.295 ± 0.43 | 0.542 ± 0.1 | 0.575 ± 0.2 | 0.289 ± 0.83 | 0.447 ± 0.17 | 0.428 ± 0.27 | 1.08 ± 0.23 | 0.47 ± 0.38 | 0.56 ± 0.19 | 0.46 ± 0.46 | ||
| Cr | µg·L−1 | 0.121 ± 0.03 | 0.107 ± 0.07 | 0.287 ± 0.09 | 0.143 ± 0.1 | 0.523 ± 0.1 | 0.595 ± 0.1 | 0.312 ± 0.61 | 0.479 ± 0.17 | 0.56 ± 0.3 | 0.224 ± 0.2 | 0.394 ± 0.3 | 0.61 ± 0.3 | 0.352 ± 0.3 |
| 0.106 ± 0.04 | 0.088 ± 0.06 | 0.269 ± 0.07 | 0.15 ± 0.08 | 0.529 ± 0.25 | 0.539 ± 0.18 | 0.115 ± 0.17 | 0.436 ± 0.22 | 0.481 ± 0.24 | 0.14 ± 0.1 | 0.31 ± 0.27 | 0.57 ± 0.33 | 0.28 ± 0.39 | ||
| Mn | µg·L−1 | 8.93 ± 5.2 | 7.54 ± 3.8 | 8.53 ± 3.8 | 5.14 ± 2 | 15.4 ± 9.5 | 13.2 ± 7.1 | 13.9 ± 16 | 32.4 ± 24 | 28 ± 18 | 41.8 ± 34 | 13.9 ± 14 | 19.2 ± 21 | 17 ± 19 |
| 7.28 ± 2.7 | 8.1 ± 3.5 | 8.33 ± 4.1 | 5 ± 3.7 | 11.8 ± 5.1 | 11.6 ± 9 | 6.5 ± 14 | 23 ± 30 | 22.6 ± 17 | 33.4 ± 22 | 7.33 ± 15 | 12 ± 16 | 9.9 ± 13 | ||
| Fe | µg·L−1 | 122 ± 68 | 107 ± 98 | 97.6 ± 92 | 62.7 ± 26 | 171 ± 70 | 154 ± 53 | 160 ± 161 | 215 ± 207 | 303 ± 346 | 520 ± 345 | 361 ± 304 | 366 ± 217 | 215 ± 231 |
| 101 ± 101 | 79 ± 73 | 75 ± 56 | 55.6 ± 32 | 175 ± 139 | 148 ± 44 | 95 ± 138 | 163 ± 90 | 185 ± 177 | 379 ± 468 | 191 ± 432 | 306 ± 309 | 134 ± 161 | ||
| Co | µg·L−1 | 0.042 ± 0.01 | 0.039 ± 0.02 | 0.047 ± 0.01 | 0.03 ± 0.01 | 0.11 ± 0.1 | 0.1 ± 0.03 | 0.08 ± 0.07 | 0.249 ± 0.14 | 0.22 ± 0.1 | 0.389 ± 0.3 | 0.297 ± 0.2 | 0.342 ± 0.3 | 0.158 ± 0.18 |
| 0.044 ± 0.02 | 0.035 ± 0.02 | 0.046 ± 0.02 | 0.028 ± 0.02 | 0.104 ± 0.08 | 0.1 ± 0.04 | 0.051 ± 0.06 | 0.196 ± 0.2 | 0.195 ± 0.1 | 0.31 ± 0.31 | 0.23 ± 0.27 | 0.28 ± 0.22 | 0.1 ± 0.15 | ||
| Ni | µg·L−1 | 0.079 ± 0.04 | 0.095 ± 0.06 | 0.065 ± 0.02 | 0.166 ± 0.1 | 0.39 ± 0.2 | 0.523 ± 0.8 | 0.219 ± 0.11 | 0.558 ± 0.3 | 0.438 ± 0.22 | 0.858 ± 0.5 | 1.6 ± 0.7 | 1.91 ± 0.5 | 0.56 ± 0.69 |
| 0.061 ± 0.03 | 0.083 ± 0.04 | 0.066 ± 0.03 | 0.132 ± 0.13 | 0.374 ± 0.38 | 0.337 ± 0.15 | 0.203 ± 0.13 | 0.551 ± 0.33 | 0.465 ± 0.32 | 0.74 ± 0.66 | 1.48 ± 0.69 | 2.08 ± 0.51 | 0.27 ± 0.57 | ||
| Cu | µg·L−1 | 0.402 ± 1.08 | 0.118 ± 0.05 | 0.101 ± 0.04 | 0.211 ± 0.1 | 0.459 ± 0.2 | 0.16 ± 0.1 | 0.178 ± 0.11 | 0.453 ± 0.24 | 0.69 ± 1.1 | 0.465 ± 0.3 | 1.31 ± 1.6 | 1.1 ± 1 | 0.47 ± 0.79 |
| 0.116 ± 0.05 | 0.107 ± 0.02 | 0.09 ± 0.06 | 0.161 ± 0.13 | 0.436 ± 0.2 | 0.134 ± 0.1 | 0.16 ± 0.1 | 0.387 ± 0.34 | 0.212 ± 0.23 | 0.41 ± 0.36 | 0.72 ± 0.97 | 0.97 ± 0.72 | 0.23 ± 0.38 | ||
| Zn | µg·L−1 | 5.48 ± 3 | 11.3 ± 11 | 3.96 ± 1.2 | 8.32 ± 10 | 8.37 ± 3.7 | 6.55 ± 3.2 | 12.4 ± 5.6 | 9.29 ± 2.9 | 8.35 ± 14 | 4.79 ± 2.4 | 36.4 ± 31 | 3.31 ± 1.9 | 9.56 ± 13 |
| 4.67 ± 1.5 | 8.95 ± 3.5 | 3.94 ± 1 | 3.8 ± 6.4 | 7.13 ± 4.5 | 5.37 ± 5.4 | 10.7 ± 6.6 | 8.67 ± 3.9 | 4.45 ± 2 | 4.59 ± 3.1 | 24.5 ± 60 | 3.06 ± 3 | 5.75 ± 5.8 | ||
| Ga | µg·L−1 | 0.003 ± 0.003 | 0.01 ± 0.002 | 0.01 ± 0.002 | 0.008 ± 0.01 | 0.021 ± 0.01 | 0.019 ± 0.01 | 0.007 ± 0.003 | 0.016 ± 0.008 | 0.031 ± 0.03 | 0.008 ± 0.004 | 0.009 ± 0.007 | 0.014 ± 0.02 | 0.012 ± 0.01 |
| 0.002 ± 0.005 | 0.008 ± 0.002 | 0.008 ± 0.003 | 0.006 ± 0.003 | 0.022 ± 0.01 | 0.018 ± 0.01 | 0.006 ± 0.005 | 0.015 ± 0.01 | 0.019 ± 0.01 | 0.01 ± 0.007 | 0.01 ± 0.006 | 0.01 ± 0.006 | 0.009 ± 0.009 | ||
| As | µg·L−1 | 0.386 ± 0.08 | 0.51 ± 0.09 | 0.424 ± 0.08 | 0.267 ± 0.1 | 0.552 ± 0.2 | 0.465 ± 0.11 | 0.184 ± 0.09 | 0.386 ± 0.15 | 0.347 ± 0.12 | 0.585 ± 0.25 | 0.801 ± 0.37 | 0.601 ± 0.14 | 0.458 ± 0.23 |
| 0.37 ± 0.08 | 0.508 ± 0.15 | 0.437 ± 0.14 | 0.266 ± 0.09 | 0.501 ± 0.15 | 0.459 ± 0.13 | 0.164 ± 0.08 | 0.342 ± 0.21 | 0.332 ± 0.16 | 0.48 ± 0.4 | 0.72 ± 0.24 | 0.56 ± 0.2 | 0.42 ± 0.2 | ||
| Se | µg·L−1 | 25.8 ± 5.1 | 28.8 ± 8.4 | 28.7 ± 5.3 | 25 ± 5.9 | 57 ± 21 | 53.1 ± 12 | 16.8 ± 3.4 | 45.7 ± 17 | 38.2 ± 9.8 | 24.5 ± 11 | 46.6 ± 22 | 42.6 ± 10 | 36 ± 17 |
| 25.5 ± 6.1 | 30.4 ± 11 | 29 ± 9.6 | 25.7 ± 7.6 | 45.8 ± 26 | 55 ± 17 | 17 ± 4.6 | 42.2 ± 19 | 38 ± 17 | 20 ± 10 | 38.4 ± 15 | 42 ± 9.3 | 33 ± 19 | ||
| Rb | µg·L−1 | 0.194 ± 0.12 | 0.149 ± 0.19 | 0.131 ± 0.17 | 0.178 ± 0.12 | 0.163 ± 0.16 | 0.145 ± 0.15 | 0.145 ± 0.09 | 0.048 ± 0.04 | 0.057 ± 0.07 | 0.35 ± 0.25 | 0.09 ± 0.11 | 0.359 ± 0.44 | 0.169 ± 0.2 |
| 0.212 ± 0.15 | 0.065 ± 0.18 | 0.054 ± 0.11 | 0.178 ± 0.21 | 0.091 ± 0.2 | 0.065 ± 0.24 | 0.122 ± 0.15 | 0.039 ± 0.02 | 0.044 ± 0.04 | 0.32 ± 0.26 | 0.03 ± 0.13 | 0.21 ± 0.17 | 0.11 ± 0.2 | ||
| Sr | µg·L-1 | 1.52 ± 1.1 | 1.73 ± 1.8 | 1.84 ± 1.9 | 1.07 ± 0.45 | 2.39 ± 1.6 | 1.87 ± 1.1 | 1.3 ± 0.91 | 3.02 ± 2 | 4.91 ± 7 | 7.28 ± 3.9 | 11.8 ± 5.4 | 11.4 ± 5.7 | 4.12 ± 5 |
| 1.22 ± 0.73 | 1.27 ± 0.6 | 1.36 ± 0.98 | 1.02 ± 0.59 | 1.6 ± 1.3 | 1.7 ± 1.6 | 0.947 ± 0.76 | 2.14 ± 2.4 | 2.3 ± 2.1 | 6.37 ± 5.1 | 11.1 ± 7.1 | 8.98 ± 7.3 | 1.7 ± 4.3 | ||
| Y | µg·L−1 | 0.012 ± 0.01 | 0.019 ± 0.01 | 0.018 ± 0.01 | 0.01 ± 0.006 | 0.05 ± 0.03 | 0.035 ± 0.03 | 0.022 ± 0.02 | 0.063 ± 0.04 | 0.088 ± 0.1 | 0.09 ± 0.05 | 0.16 ± 0.14 | 0.231 ± 0.17 | 0.065 ± 0.09 |
| 0.01 ± 0.007 | 0.015 ± 0.008 | 0.015 ± 0.008 | 0.009 ± 0.01 | 0.056 ± 0.04 | 0.027 ± 0.04 | 0.015 ± 0.03 | 0.052 ± 0.04 | 0.042 ± 0.04 | 0.07 ± 0.03 | 0.12 ± 0.09 | 0.18 ± 0.15 | 0.03 ± 0.06 | ||
| Zr | µg·L−1 | 0.014 ± 0.02 | 0.019 ± 0.03 | 0.023 ± 0.03 | 0.032 ± 0.02 | 0.106 ± 0.06 | 0.1 ± 0.08 | 0.042 ± 0.03 | 0.075 ± 0.05 | 0.084 ± 0.04 | 0.087 ± 0.07 | 0.149 ± 0.15 | 0.269 ± 0.27 | 0.081 ± 0.12 |
| 0.012 ± 0.006 | 0.013 ± 0.008 | 0.014 ± 0.005 | 0.025 ± 0.03 | 0.096 ± 0.08 | 0.068 ± 0.07 | 0.029 ± 0.06 | 0.06 ± 0.08 | 0.068 ± 0.06 | 0.06 ± 0.04 | 0.11 ± 0.11 | 0.23 ± 0.18 | 0.05 ± 0.09 | ||
| Nb | µg·L−1 | 0.0031 ± 0.002 | 0.002 ± 0.001 | 0.0035 ± 0.003 | 0.006 ± 0.004 | 0.023 ± 0.012 | 0.019 ± 0.012 | 0.007 ± 0.004 | 0.012 ± 0.006 | 0.014 ± 0.005 | 0.008 ± 0.007 | 0.006 ± 0.006 | 0.012 ± 0.006 | 0.01 ± 0.009 |
| 0.003 ± 0.003 | 0.002 ± 0.002 | 0.003 ± 0.003 | 0.004 ± 0.003 | 0.024 ± 0.02 | 0.017 ± 0.01 | 0.008 ± 0.007 | 0.011 ± 0.007 | 0.013 ± 0.01 | 0.005 ± 0.006 | 0.004 ± 0.003 | 0.011 ± 0.006 | 0.007 ± 0.009 | ||
| Mo | µg·L−1 | 0.005 ± 0.004 | 0.004 ± 0.003 | 0.003 ± 0.001 | 0.006 ± 0.005 | 0.007 ± 0.005 | 0.011 ± 0.008 | 0.007 ± 0.005 | 0.009 ± 0.01 | 0.01 ± 0.008 | 0.035 ± 0.033 | 0.052 ± 0.062 | 0.038 ± 0.02 | 0.016 ± 0.03 |
| 0.003 ± 0.005 | 0.004 ± 0.003 | 0.004 ± 0.002 | 0.005 ± 0.007 | 0.004 ± 0.006 | 0.008 ± 0.011 | 0.006 ± 0.007 | 0.005 ± 0.007 | 0.008 ± 0.011 | 0.026 ± 0.017 | 0.03 ± 0.06 | 0.032 ± 0.02 | 0.007 ± 0.01 | ||
| Cd | µg·L−1 | 0.016 ± 0.004 | 0.017 ± 0.006 | 0.018 ± 0.006 | 0.008 ± 0.005 | 0.025 ± 0.019 | 0.021 ± 0.011 | 0.007 ± 0.003 | 0.022 ± 0.011 | 0.018 ± 0.008 | 0.006 ± 0.004 | 0.004 ± 0.003 | 0.006 ± 0.005 | 0.014 ± 0.01 |
| 0.018 ± 0.006 | 0.017 ± 0.01 | 0.019 ± 0.009 | 0.006 ± 0.005 | 0.018 ± 0.008 | 0.018 ± 0.009 | 0.006 ± 0.005 | 0.018 ± 0.01 | 0.017 ± 0.007 | 0.005 ± 0.003 | 0.003 ± 0.003 | 0.004 ± 0.003 | 0.01 ± 0.01 | ||
| Sb | µg·L−1 | 0.035 ± 0.004 | 0.038 ± 0.008 | 0.041 ± 0.008 | 0.026 ± 0.006 | 0.04 ± 0.014 | 0.04 ± 0.011 | 0.015 ± 0.005 | 0.027 ± 0.008 | 0.031 ± 0.023 | 0.026 ± 0.047 | 0.022 ± 0.014 | 0.026 ± 0.009 | 0.03 ± 0.02 |
| 0.036 ± 0.007 | 0.038 ± 0.013 | 0.044 ± 0.014 | 0.024 ± 0.011 | 0.038 ± 0.016 | 0.038 ± 0.018 | 0.015 ± 0.007 | 0.024 ± 0.014 | 0.026 ± 0.009 | 0.013 ± 0.01 | 0.017 ± 0.012 | 0.025 ± 0.012 | 0.03 ± 0.02 | ||
| Cs | µg·L−1 | 0.005 ± 0.004 | 0.005 ± 0.006 | 0.005 ± 0.004 | 0.008 ± 0.006 | 0.011 ± 0.011 | 0.018 ± 0.014 | 0.005 ± 0.003 | 0.0021 ± 0.003 | 0.002 ± 0.002 | 0.001 ± 0.0003 | 0.001 ± 0.001 | 0.002 ± 0.004 | 0.006 ± 0.008 |
| 0.004 ± 0.005 | 0.003 ± 0.007 | 0.003 ± 0.006 | 0.008 ± 0.011 | 0.009 ± 0.01 | 0.015 ± 0.017 | 0.004 ± 0.006 | 0.001 ± 0.002 | 0.001 ± 0.004 | 0.0005 ± 0.0004 | 0.001 ± 0.0006 | 0.001 ± 0.001 | 0.003 ± 0.007 | ||
| Ba | µg·L−1 | 1.63 ± 1.3 | 1.4 ± 0.99 | 1.34 ± 1.2 | 1.65 ± 0.84 | 3.35 ± 1.8 | 2.27 ± 1.7 | 2.89 ± 1.3 | 6.03 ± 4.8 | 4.59 ± 3.3 | 2.34 ± 0.75 | 87.4 ± 81 | 2.59 ± 0.58 | 9.78 ± 33 |
| 1 ± 1.7 | 1.1 ± 0.57 | 0.984 ± 0.81 | 1.49 ± 1.2 | 2.61 ± 2.1 | 1.88 ± 1 | 3.14 ± 2.3 | 4.3 ± 5.5 | 3.5 ± 1.6 | 2.1 ± 0.57 | 78 ± 117 | 2.75 ± 1 | 2.2 ± 2.2 | ||
| La | µg·L−1 | 0.032 ± 0.03 | 0.022 ± 0.03 | 0.011 ± 0.005 | 0.236 ± 0.55 | 0.028 ± 0.012 | 0.026 ± 0.017 | 0.04 ± 0.039 | 0.57 ± 0.04 | 0.055 ± 0.06 | 0.064 ± 0.03 | 0.123 ± 0.11 | 0.155 ± 0.11 | 0.072 ± 0.18 |
| 0.017 ± 0.03 | 0.01 ± 0.006 | 0.01 ± 0.006 | 0.092 ± 0.11 | 0.027 ± 0.01 | 0.023 ± 0.02 | 0.03 ± 0.02 | 0.035 ± 0.05 | 0.033 ± 0.03 | 0.05 ± 0.02 | 0.09 ± 0.06 | 0.14 ± 0.09 | 0.03 ± 0.06 | ||
| Ce | µg·L−1 | 0.05 ± 0.06 | 0.022 ± 0.012 | 0.022 ± 0.014 | 0.024 ± 0.014 | 0.06 ± 0.03 | 0.058 ± 0.042 | 0.062 ± 0.06 | 0.262 ± 0.046 | 0.129 ± 0.12 | 0.154 ± 0.07 | 0.268 ± 0.26 | 0.357 ± 0.28 | 0.12 ± 0.2 |
| 0.023 ± 0.033 | 0.019 ± 0.008 | 0.018 ± 0.01 | 0.022 ± 0.02 | 0.069 ± 0.04 | 0.04 ± 0.05 | 0.04 ± 0.07 | 0.149 ± 0.22 | 0.078 ± 0.09 | 0.14 ± 0.03 | 0.184 ± 0.17 | 0.297 ± 0.24 | 0.05 ± 0.12 | ||
| Pr | µg·L−1 | 0.003 ± 0.002 | 0.002 ± 0.002 | 0.003 ± 0.002 | 0.002 ± 0.001 | 0.007 ± 0.004 | 0.007 ± 0.005 | 0.006 ± 0.005 | 0.012 ± 0.011 | 0.016 ± 0.015 | 0.02 ± 0.01 | 0.035 ± 0.03 | 0.048 ± 0.035 | 0.013 ± 0.02 |
| 0.002 ± 0.002 | 0.002 ± 0.001 | 0.002 ± 0.002 | 0.002 ± 0.002 | 0.007 ± 0.006 | 0.05 ± 0.007 | 0.004 ± 0.007 | 0.008 ± 0.01 | 0.01 ± 0.01 | 0.017 ± 0.005 | 0.024 ± 0.02 | 0.04 ± 0.03 | 0.006 ± 0.01 | ||
| Nd | µg·L−1 | 0.012 ± 0.008 | 0.01 ± 0.007 | 0.011 ± 0.009 | 0.009 ± 0.005 | 0.029 ± 0.016 | 0.028 ± 0.021 | 0.024 ± 0.02 | 0.046 ± 0.04 | 0.065 ± 0.06 | 0.082 ± 0.04 | 0.141 ± 0.136 | 0.203 ± 0.15 | 0.054 ± 0.08 |
| 0.011 ± 0.007 | 0.008 ± 0.003 | 0.01 ± 0.008 | 0.009 ± 0.009 | 0.03 ± 0.02 | 0.02 ± 0.028 | 0.018 ± 0.03 | 0.031 ± 0.04 | 0.041 ± 0.05 | 0.07 ± 0.02 | 0.101 ± 0.09 | 0.166 ± 0.14 | 0.02 ± 0.06 | ||
| Sm | µg·L−1 | 0.007 ± 0.003 | 0.006 ± 0.002 | 0.009 ± 0.003 | 0.004 ± 0.001 | 0.012 ± 0.004 | 0.012 ± 0.005 | 0.009 ± 0.006 | 0.018 ± 0.01 | 0.036 ± 0.042 | 0.023 ± 0.01 | 0.034 ± 0.03 | 0.054 ± 0.045 | 0.018 ± 0.02 |
| 0.006 ± 0.004 | 0.006 ± 0.003 | 0.009 ± 0.003 | 0.004 ± 0.001 | 0.012 ± 0.005 | 0.011 ± 0.01 | 0.006 ± 0.007 | 0.013 ± 0.01 | 0.018 ± 0.01 | 0.021 ± 0.07 | 0.024 ± 0.02 | 0.046 ± 0.03 | 0.01 ± 0.01 | ||
| Eu | µg·L−1 | 0.001 ± 0.0009 | 0.0011 ± 0.001 | 0.001 ± 0.001 | 0.001 ± 0.0004 | 0.0022 ± 0.001 | 0.002 ± 0.001 | 0.002 ± 0.001 | 0.003 ± 0.002 | 0.003 ± 0.001 | 0.004 ± 0.002 | 0.015 ± 0.009 | 0.017 ± 0.03 | 0.004 ± 0.01 |
| 0.001 ± 0.0002 | 0.001 ± 0.0001 | 0.001 ± 0.0003 | 0.001 ± 0.001 | 0.002 ± 0.002 | 0.001 ± 0.002 | 0.001 ± 0.001 | 0.002 ± 0.003 | 0.002 ± 0.001 | 0.004 ± 0.002 | 0.011 ± 0.01 | 0.009 ± 0.007 | 0.002 ± 0.003 | ||
| Gd | µg·L−1 | 0.003 ± 0.002 | 0.004 ± 0.002 | 0.004 ± 0.003 | 0.0024 ± 0.002 | 0.009 ± 0.005 | 0.007 ± 0.004 | 0.005 ± 0.0048 | 0.014 ± 0.01 | 0.02 ± 0.02 | 0.02 ± 0.01 | 0.036 ± 0.03 | 0.05 ± 0.04 | 0.014 ± 0.02 |
| 0.003 ± 0.002 | 0.003 ± 0.002 | 0.004 ± 0.002 | 0.0021 ± 0.002 | 0.009 ± 0.008 | 0.005 ± 0.007 | 0.005 ± 0.006 | 0.01 ± 0.017 | 0.011 ± 0.01 | 0.017 ± 0.007 | 0.027 ± 0.02 | 0.04 ± 0.03 | 0.006 ± 0.01 | ||
| Tb | µg·L−1 | 0.0005 ± 0.0003 | 0.001 ± 0.0003 | 0.001 ± 0.0004 | 0.0003 ± 0.0002 | 0.002 ± 0.001 | 0.0012 ± 0.001 | 0.001 ± 0.0007 | 0.002 ± 0.001 | 0.003 ± 0.0025 | 0.003 ± 0.001 | 0.005 ± 0.005 | 0.007 ± 0.005 | 0.002 ± 0.003 |
| 0.0004 ± 0.0003 | 0.001 ± 0.0003 | 0.0005 ± 0.0005 | 0.0002 ± 0.0003 | 0.002 ± 0.001 | 0.001 ± 0.001 | 0.001 ± 0.001 | 0.002 ± 0.001 | 0.001 ± 0.001 | 0.002 ± 0.001 | 0.004 ± 0.003 | 0.006 ± 0.005 | 0.001 ± 0.002 | ||
| Dy | µg·L−1 | 0.002 ± 0.0013 | 0.004 ± 0.0018 | 0.003 ± 0.0026 | 0.0022 ± 0.001 | 0.01 ± 0.006 | 0.007 ± 0.005 | 0.004 ± 0.004 | 0.013 ± 0.008 | 0.016 ± 0.02 | 0.016 ± 0.009 | 0.03 ± 0.028 | 0.041 ± 0.03 | 0.012 ± 0.02 |
| 0.002 ± 0.001 | 0.003 ± 0.002 | 0.003 ± 0.002 | 0.002 ± 0.0017 | 0.009 ± 0.008 | 0.006 ± 0.008 | 0.003 ± 0.005 | 0.01 ± 0.01 | 0.008 ± 0.01 | 0.014 ± 0.01 | 0.021 ± 0.02 | 0.033 ± 0.03 | 0.007 ± 0.01 | ||
| Ho | µg·L−1 | 0.0005 ± 0.0004 | 0.001 ± 0.0004 | 0.001 ± 0.0005 | 0.0005 ± 0.0003 | 0.002 ± 0.001 | 0.0013 ± 0.001 | 0.001 ± 0.0007 | 0.003 ± 0.002 | 0.003 ± 0.003 | 0.003 ± 0.002 | 0.006 ± 0.005 | 0.008 ± 0.006 | 0.002 ± 0.003 |
| 0.0003 ± 0.0002 | 0.001 ± 0.0003 | 0.001 ± 0.0004 | 0.0004 ± 0.0005 | 0.002 ± 0.002 | 0.001 ± 0.002 | 0.001 ± 0.0007 | 0.002 ± 0.002 | 0.002 ± 0.001 | 0.003 ± 0.001 | 0.004 ± 0.003 | 0.007 ± 0.005 | 0.001 ± 0.002 | ||
| Er | µg·L−1 | 0.001 ± 0.001 | 0.002 ± 0.001 | 0.002 ± 0.0016 | 0.001 ± 0.0008 | 0.006 ± 0.003 | 0.004 ± 0.003 | 0.003 ± 0.002 | 0.01 ± 0.004 | 0.01 ± 0.0099 | 0.01 ± 0.005 | 0.016 ± 0.01 | 0.024 ± 0.01 | 0.007 ± 0.01 |
| 0.001 ± 0.0009 | 0.002 ± 0.001 | 0.001 ± 0.001 | 0.0005 ± 0.001 | 0.006 ± 0.005 | 0.003 ± 0.005 | 0.002 ± 0.003 | 0.006 ± 0.005 | 0.005 ± 0.004 | 0.009 ± 0.003 | 0.012 ± 0.01 | 0.02 ± 0.017 | 0.004 ± 0.007 | ||
| Tm | µg·L−1 | 0.0001 ± 0.0002 | 0.0003 ± 0.0002 | 0.0003 ± 0.0003 | 0.0001 ± 0.0001 | 0.0009 ± 0.0005 | 0.001 ± 0.0005 | 0.0004 ± 0.0004 | 0.001 ± 0.0006 | 0.0015 ± 0.001 | 0.0014 ± 0.001 | 0.002 ± 0.002 | 0.003 ± 0.002 | 0.001 ± 0.001 |
| 0.0001 ± 0.0001 | 0.0002 ± 0.0002 | 0.0003 ± 0.0002 | 0.0001 ± 0.0002 | 0.001 ± 0.0007 | 0.0004 ± 0.001 | 0.0002 ± 0.0006 | 0.001 ± 0.0007 | 0.001 ± 0.001 | 0.001 ± 0.0001 | 0.002 ± 0.001 | 0.003 ± 0.002 | 0.0005 ± 0.001 | ||
| Yb | µg·L−1 | 0.002 ± 0.0012 | 0.002 ± 0.0014 | 0.002 ± 0.0016 | 0.001 ± 0.0009 | 0.005 ± 0.003 | 0.004 ± 0.003 | 0.003 ± 0.002 | 0.01 ± 0.004 | 0.01 ± 0.001 | 0.01 ± 0.004 | 0.015 ± 0.01 | 0.024 ± 0.02 | 0.007 ± 0.01 |
| 0.001 ± 0.001 | 0.0015 ± 0.001 | 0.0013 ± 0.001 | 0.001 ± 0.001 | 0.005 ± 0.004 | 0.003 ± 0.004 | 0.002 ± 0.003 | 0.005 ± 0.005 | 0.004 ± 0.005 | 0.01 ± 0.004 | 0.01 ± 0.008 | 0.02 ± 0.01 | 0.003 ± 0.007 | ||
| Lu | µg·L−1 | 0.0003 ± 0.0002 | 0.0002 ± 0.0002 | 0.0003 ± 0.0003 | 0.0002 ± 0.0002 | 0.001 ± 0.0004 | 0.0005 ± 0.0005 | 0.0004 ± 0.0004 | 0.0008 ± 0.0006 | 0.0015 ± 0.001 | 0.0014 ± 0.001 | 0.002 ± 0.0017 | 0.004 ± 0.003 | 0.001 ± 0.001 |
| 0.0002 ± 0.0002 | 0.0002 ± 0.0001 | 0.0002 ± 0.0001 | 0.0001 ± 0.0003 | 0.001 ± 0.0006 | 0.0003 ± 0.0007 | 0.0003 ± 0.0005 | 0.001 ± 0.0007 | 0.001 ± 0.001 | 0.001 ± 0.0006 | 0.002 ± 0.001 | 0.003 ± 0.002 | 0.0004 ± 0.001 | ||
| Hf | µg·L−1 | 0.003 ± 0.002 | 0.003 ± 0.002 | 0.003 ± 0.002 | 0.005 ± 0.003 | 0.016 ± 0.01 | 0.014 ± 0.01 | 0.005 ± 0.004 | 0.013 ± 0.007 | 0.029 ± 0.04 | 0.012 ± 0.01 | 0.021 ± 0.02 | 0.035 ± 0.03 | 0.013 ± 0.018 |
| 0.002 ± 0.0015 | 0.002 ± 0.001 | 0.003 ± 0.002 | 0.005 ± 0.003 | 0.015 ± 0.01 | 0.011 ± 0.01 | 0.003 ± 0.007 | 0.013 ± 0.01 | 0.015 ± 0.02 | 0.01 ± 0.01 | 0.02 ± 0.01 | 0.03 ± 0.02 | 0.008 ± 0.01 | ||
| Pb | µg·L−1 | 0.274 ± 0.22 | 0.19 ± 0.1 | 0.218 ± 0.11 | 0.139 ± 0.08 | 0.257 ± 0.16 | 0.3 ± 0.1 | 0.085 ± 0.04 | 0.2 ± 0.11 | 0.281 ± 0.14 | 0.065 ± 0.03 | 0.067 ± 0.04 | 0.088 ± 0.09 | 0.184 ± 0.14 |
| 0.241 ± 0.15 | 0.162 ± 0.09 | 0.18 ± 0.12 | 0.111 ± 0.12 | 0.222 ± 0.13 | 0.316 ± 0.25 | 0.085 ± 0.04 | 0.184 ± 0.1 | 0.245 ± 0.21 | 0.06 ± 0.03 | 0.05 ± 0.06 | 0.06 ± 0.05 | 0.15 ± 0.16 | ||
| Th | µg·L−1 | 0.002 ± 0.001 | 0.003 ± 0.001 | 0.003 ± 0.002 | 0.003 ± 0.001 | 0.011 ± 0.01 | 0.011 ± 0.005 | 0.006 ± 0.004 | 0.011 ± 0.01 | 0.012 ± 0.01 | 0.01 ± 0.008 | 0.021 ± 0.02 | 0.028 ± 0.01 | 0.01 ± 0.01 |
| 0.002 ± 0.001 | 0.002 ± 0.001 | 0.003 ± 0.002 | 0.003 ± 0.002 | 0.011 ± 0.01 | 0.012 ± 0.01 | 0.003 ± 0.008 | 0.008 ± 0.009 | 0.01 ± 0.01 | 0.006 ± 0.006 | 0.01 ± 0.01 | 0.03 ± 0.02 | 0.01 ± 0.01 | ||
| U | µg·L−1 | 0.001 ± 0.0003 | 0.001 ± 0.0005 | 0.001 ± 0.0005 | 0.002 ± 0.001 | 0.004 ± 0.002 | 0.003 ± 0.002 | 0.0012 ± 0.001 | 0.002 ± 0.0015 | 0.004 ± 0.006 | 0.007 ± 0.005 | 0.017 ± 0.01 | 0.017 ± 0.01 | 0.005 ± 0.008 |
| 0.001 ± 0.0004 | 0.001 ± 0.0006 | 0.001 ± 0.0009 | 0.002 ± 0.001 | 0.004 ± 0.002 | 0.003 ± 0.002 | 0.001 ± 0.001 | 0.001 ± 0.002 | 0.002 ± 0.001 | 0.006 ± 0.002 | 0.01 ± 0.01 | 0.01 ± 0.01 | 0.002 ± 0.004 | ||
References
- Colombo, N.; Salerno, F.; Gruber, S.; Freppaz, M.; Williams, M.; Fratianni, S.; Giardino, M. Review: Impacts of permafrost degradation on inorganic chemistry of surface fresh water. Glob. Planet. Chang. 2018, 162, 69–83. [Google Scholar] [CrossRef]
- Kirpotin, S.; Berezin, A.; Bazanov, V.; Polishchuk, Y.; Vorobiov, S.; Mironycheva-Tokoreva, N.; Kosykh, N.; Volkova, I.; Dupré, B.; Pokrovsky, O. Western Siberia wetlands as indicator and regulator of climate change on the global scale. Int. J. Environ. Stud. 2009, 66, 409–421. [Google Scholar] [CrossRef]
- Kirpotin, S.; Polishchuk, Y.; Bryksina, N.; Sugaipova, A.; Kouraev, A.; Zakharova, E.; Pokrovsky, O.S.; Shirokova, L.; Kolmakova, M.; Manassypov, R.; et al. West Siberian palsa peatlands: Distribution, typology, cyclic development, present day climate-driven changes, seasonal hydrology and impact on CO2 cycle. Int. J. Environ. Stud. 2011, 68, 603–623. [Google Scholar] [CrossRef]
- Hjort, J.; Karjalainen, O.; Aalto, J.; Westermann, S.; Romanovsky, V.E.; Nelson, F.E.; Etzelmüller, B.; Luoto, M. Degrading permafrost puts Arctic infrastructure at risk by mid-century. Nat. Commun. 2018, 9, 1–9. [Google Scholar] [CrossRef] [PubMed]
- Polishchuk, Y.M.; Bogdanov, A.N.; Muratov, I.N.; Polishchuk, V.Y.; Lim, A.; Manasypov, R.M.; Shirokova, L.S.; Pokrovsky, O.S. Minor contribution of small thaw ponds to the pools of carbon and methane in the inland waters of the permafrost-affected part of the Western Siberian Lowland. Environ. Res. Lett. 2018, 13, 045002. [Google Scholar] [CrossRef]
- Polishchuk, Y.M.; Bogdanov, A.N.; Polishchuk, V.Y.; Manasypov, R.M.; Shirokova, L.S.; Kirpotin, S.N.; Pokrovsky, O.S. Size distribution, surface coverage, water, carbon, and metal storage of thermokarst lakes in the permafrost zone of the Western Siberia Lowland. Water 2017, 9, 228. [Google Scholar] [CrossRef]
- Serikova, S.; Pokrovsky, O.S.; Laudon, H.; Krickov, I.V.; Lim, A.G.; Manasypov, R.M.; Karlsson, J. High carbon emissions from thermokarst lakes of Western Siberia. Nat. Commun. 2019, 10, 1–7. [Google Scholar] [CrossRef]
- Marsh, P.; Russell, M.; Pohl, S.; Haywood, H.; Onclin, C. Changes in thaw lake drainage in the Western Canadian Arctic from 1950 to 2000. Hydrol. Process. 2009, 23, 145–158. [Google Scholar] [CrossRef]
- Rautio, M.; Dufresne, F.; Laurion, I.; Bonilla, S.; Vincent, W.F.; Christoffersen, K.S. Shallow freshwater ecosystems of the circumpolar Arctic. Écoscience 2011, 18, 204–222. [Google Scholar] [CrossRef]
- Grosse, G.; Goetz, S.; McGuire, A.D.; Romanovsky, V.E.; Schuur, E.A.G. Changing permafrost in a warming world and feedbacks to the Earth system. Environ. Res. Lett. 2016, 11, 040201. [Google Scholar] [CrossRef]
- Vonk, J.E.; Tank, S.E.; Bowden, W.B.; Laurion, I.; Vincent, W.F.; Alekseychik, P.; Amyot, M.; Billet, M.F.; Canário, J.; Cory, R.M.; et al. Reviews and syntheses: Effects of permafrost thaw on Arctic aquatic ecosystems. Biogeosciences 2015, 12, 7129–7167. [Google Scholar] [CrossRef]
- Bouchard, F.; Turner, K.W.; MacDonald, L.A.; Deakin, C.; White, H.; Farquharson, N.; Medeiros, A.S.; Wolfe, B.B.; Hall, R.I.; Pienitz, R.; et al. Vulnerability of shallow subarctic lakes to evaporate and desiccate when snowmelt runoff is low. Geophys. Res. Lett. 2013, 40, 6112–6117. [Google Scholar] [CrossRef]
- Manasypov, R.M.; Pokrovsky, O.S.; Kirpotin, S.N.; Shirokova, L.S. Thermokarst lake waters across the permafrost zones of western Siberia. Cryosphere 2014, 8, 1177–1193. [Google Scholar] [CrossRef]
- Arsenault, J.; Talbot, J.; Moore, T.R. Environmental controls of C, N and P biogeochemistry in peatland pools. Sci. Total Environ. 2018, 631–632, 714–722. [Google Scholar] [CrossRef]
- Arsenault, J.; Talbot, J.; Moore, T.R.; Beauvais, M.-P.; Franssen, J.; Roulet, N.T. The spatial heterogeneity of vegetation, hydrology and water chemistry in a peatland with open-water pools. Ecosystems 2019, 22, 1352–1367. [Google Scholar] [CrossRef]
- Pokrovsky, O.S.; Manasypov, R.M.; Loiko, S.V.; Krickov, I.A.; Kopysov, S.G.; Kolesnichenko, L.G.; Vorobyev, S.N.; Kirpotin, S.N. Trace element transport in western Siberian rivers across a permafrost gradient. Biogeosciences 2016, 13, 1877–1900. [Google Scholar] [CrossRef]
- Kokelj, S.V.; Zajdlik, B.; Thompson, M.S. The impacts of thawing permafrost on the chemistry of lakes across the subarctic boreal-tundra transition, Mackenzie Delta region, Canada. Permafr. Periglac. Process. 2009, 20, 185–199. [Google Scholar] [CrossRef]
- Pokrovsky, O.S.; Shirokova, L.S.; Kirpotin, S.N.; Audry, S.; Viers, J.; Dupré, B. Effect of permafrost thawing on organic carbon and trace element colloidal speciation in the thermokarst lakes of western Siberia. Biogeosciences 2011, 8, 565–583. [Google Scholar] [CrossRef]
- Shirokova, L.S.; Pokrovsky, O.S.; Kirpotin, S.N.; Desmukh, C.; Pokrovsky, B.G.; Audry, S.; Viers, J. Biogeochemistry of organic carbon, CO2, CH4, and trace elements in thermokarst water bodies in discontinuous permafrost zones of Western Siberia. Biogeochemistry 2013, 113, 573–593. [Google Scholar] [CrossRef]
- Shevchenko, V.P.; Pokrovsky, O.S.; Vorobyev, S.N.; Krickov, I.V.; Manasypov, R.M.; Politova, N.V.; Kopysov, S.G.; Dara, O.M.; Auda, Y.; Shirokova, L.S.; et al. Impact of snow deposition on major and trace element concentrations and elementary fluxes in surface waters of the Western Siberian Lowland across a 1700 km latitudinal gradient. Hydrol. Earth Syst. Sci. 2017, 21, 5725–5746. [Google Scholar] [CrossRef]
- Manasypov, R.M.; Shirokova, L.S.; Pokrovsky, O.S. Experimental modeling of thaw lake water evolution in discontinuous permafrost zone: Role of peat, lichen leaching and ground fire. Sci. Total Environ. 2017, 580, 245–257. [Google Scholar] [CrossRef]
- Osterkamp, T.E.; Viereck, L.; Shur, Y.; Jorgenson, M.T.; Racine, C.; Doyle, A.; Boone, R.D. Observations of thermokarst and its impact on boreal forests in Alaska, U.S.A. Arctic Antarct. Alp. Res. 2000, 32, 303–315. [Google Scholar] [CrossRef]
- Luoto, M.; Seppälä, M. Thermokarst ponds as indicators of the former distribution of palsas in Finnish Lapland. Permafr. Periglac. Process. 2003, 14, 19–27. [Google Scholar] [CrossRef]
- Bouchard, F.; Francus, P.; Pienitz, R.; Laurion, I. Sedimentology and geochemistry of thermokarst ponds in discontinuous permafrost, subarctic Quebec, Canada. J. Geophys. Res. Biogeosci. 2011, 116, G00M04. [Google Scholar] [CrossRef]
- Bouchard, F.; Francus, P.; Pienitz, R.; Laurion, I.; Feyte, S. Subarctic thermokarst ponds: Investigating recent landscape evolution and sediment dynamics in thawed permafrost of Northern Québec (Canada). Arct. Antarct. Alpine Res. 2014, 46, 251–271. [Google Scholar] [CrossRef]
- Bouchard, F.; MacDonald, L.A.; Turner, K.W.; Thienpont, J.R.; Medeiros, A.S.; Biskaborn, B.K.; Korosi, J.; Hall, R.I.; Pienitz, R.; Wolfe, B.B. Paleolimnology of thermokarst lakes: A window into permafrost landscape evolution. Arctic Sci. 2017, 3, 91–117. [Google Scholar] [CrossRef]
- Bouchard, F.; Proult, V.; Pienitz, R.; Antoniades, D.; Tremblay, R.; Vincent, W.F. Periphytic diatom community structure in thermokarst ecosystems of Nunavik (Québec, Canada). Arctic Sci. 2018, 4, 110–129. [Google Scholar] [CrossRef]
- Coulombe, O.; Bouchard, F.; Pienitz, R. Coupling of sedimentological and limnological dynamics in subarctic thermokarst ponds in Northern Québec (Canada) on an interannual basis. Sediment. Geol. 2016, 340, 15–24. [Google Scholar] [CrossRef]
- Yi, S.; Wischnewski, K.; Langer, M.; Muster, S.; Boike, J. Freeze/thaw processes in complex permafrost landscapes of northern Siberia simulated using the TEM ecosystem model: Impact of thermokarst ponds and lakes. Geosci. Model. Dev. 2014, 7, 1671–1689. [Google Scholar] [CrossRef]
- Czudek, T.; Demek, J. Thermokarst in Siberia and its influence on the development of lowland relief. Quat. Res. 1970, 1, 103–120. [Google Scholar] [CrossRef]
- Selroos, J.-O.; Cheng, H.; Vidstrand, P.; Destouni, G. Permafrost thaw with thermokarst wetland-lake and societal-health risks: Dependence on local soil conditions under large-scale warming. Water 2019, 11, 574. [Google Scholar] [CrossRef]
- Audry, S.; Pokrovsky, O.S.; Shirokova, L.S.; Kirpotin, S.N.; Dupré, B. Organic matter mineralization and trace element post-depositional redistribution in Western Siberia thermokarst lake sediments. Biogeosciences 2011, 8, 3341–3358. [Google Scholar] [CrossRef]
- Jorgenson, M.T.; Shur, Y. Evolution of lakes and basins in northern Alaska and discussion of the thaw lake cycle. J. Geophys. Res. Earth Surface 2007, 112, F02S17. [Google Scholar] [CrossRef]
- Hinkel, K.M.; Eisner, W.R.; Bockheim, J.G.; Nelson, F.E.; Peterson, K.M.; Dai, X. Spatial extent, age, and carbon stocks in drained thaw lake basins on the Barrow Peninsula, Alaska. Arct. Antarct. Alpine Res. 2003, 35, 291–300. [Google Scholar] [CrossRef]
- Matthews, J.A.; Dahl, S.O.; Berrisford, M.S.; Nesje, A. Cyclic development and thermokarstic degradation in the mid-alpine zone at Leirpullan, Dovrefjel, southern Norway. Permafr. Periglac. Process. 1997, 8, 107–122. [Google Scholar] [CrossRef]
- Ellis, C.J.; Rochefort, L.; Gauthier, G.; Pienitz, R. Paleoeco-logical evidence for transitions between contrasting landformsin a polygon-patterned High Arctic wetland. Arct. Antarct. Alpine Res. 2008, 40, 624–637. [Google Scholar] [CrossRef]
- Calmels, F.; Allard, M.; Delisle, G. Development and decay of a lithalsa in Northern Québec: A geomorphological history. Geomorphology 2008, 97, 287–299. [Google Scholar] [CrossRef]
- Grosse, G.; Jones, B.; Arp, C. Thermokarst Lakes, Drainage, and Drained Basins. In Treatise on Geomorphology, 3rd ed.; Shroder, J., Giardino, R., Harbor, J., Eds.; Academic Press: San Diego, CA, USA, 2013; Volume 8, pp. 325–353. [Google Scholar]
- Lenz, J.; Wetterich, S.; Jones, B.M.; Meyer, H.; Bobrov, A.; Grosse, G. Evidence of multiple thermokarst lake generations from an 11 800-year-old permafrost core on the northern Seward Peninsula, Alaska. Boreas 2016, 45, 584–603. [Google Scholar] [CrossRef]
- Manasypov, R.M.; Vorobyev, S.N.; Loiko, S.V.; Kritzkov, I.V.; Shirokova, L.S.; Shevchenko, V.P.; Kirpotin, S.N.; Kulizhsky, S.P.; Kolesnichenko, L.G.; Zemtzov, V.A.; et al. Seasonal dynamics of organic carbon and metals in thermokarst lakes from the discontinuous permafrost zone of western Siberia. Biogeosciences 2015, 12, 3009–3028. [Google Scholar] [CrossRef]
- Walter Anthony, K.M.; Anthony, P.; Grosse, G.; Chanton, J. Geologic methane seeps along boundaries of Arctic permafrost thaw and melting glaciers. Nat. Geosci. 2012, 5, 419–426. [Google Scholar] [CrossRef]
- Pokrovsky, O.S.; Shirokova, L.S.; Kirpotin, S.N.; Kulizhsky, S.P.; Vorobiev, S.N. Impact of western Siberia heat wave 2012 on greenhouse gases and trace metal concentration in thaw lakes of discontinuous permafrost zone. Biogeosciences 2013, 10, 5349–5365. [Google Scholar] [CrossRef]
- Pokrovsky, O.S.; Shirokova, L.S.; Manasypov, R.M.; Kirpotin, S.N.; Kulizhsky, S.P.; Kolesnichenko, L.G.; Loiko, S.V.; Vorobyev, S.N. Thermokarst lakes of Western Siberia: A complex biogeochemical multidisciplinary approach. Int. J. Environ. Stud. 2014, 71, 733–748. [Google Scholar] [CrossRef]
- Loiko, S.V.; Pokrovsky, O.S.; Raudina, T.V.; Lim, A.; Kolesnichenko, L.G.; Shirokova, L.S.; Vorobyev, S.N.; Kirpotin, S.N. Abrupt permafrost collapse enhances organic carbon, CO2, nutrient and metal release into surface waters. Chem. Geol. 2017, 471, 153–165. [Google Scholar] [CrossRef]
- Laudon, H.; Köhler, S.; Buffam, I. Seasonal TOC export from seven boreal catchments in northern Sweden. Aquat. Sci. 2004, 66, 223–230. [Google Scholar] [CrossRef]
- Pokrovsky, O.S.; Karlsson, J.; Giesler, R. Freeze-thaw cycles of Arctic thaw ponds remove colloidal metals and generate low-molecular-weight organic matter. Biogeochemistry 2018, 137, 321–336. [Google Scholar] [CrossRef]
- Ala-aho, P.; Soulsby, C.; Pokrovsky, O.S.; Kirpotin, S.N.; Karlsson, J.; Serikova, S.; Vorobyev, S.N.; Manasypov, R.M.; Loiko, S.; Tetzlaff, D. Using stable isotopes to assess surface water source dynamics and hydrological connectivity in a high-latitude wetland and permafrost influenced landscape. J. Hydrol. 2018, 556, 279–293. [Google Scholar] [CrossRef]
- Erwin, K.L. Wetlands and global climate change: The role of wetland restoration in a changing world. Wetl. Ecol. Manag. 2009, 17, 71–84. [Google Scholar] [CrossRef]
- Raudina, T.V.; Loiko, S.V.; Lim, A.G.; Krickov, I.V.; Shirokova, L.S.; Istigechev, G.I.; Kuzmina, D.M.; Kulizhsky, S.P.; Vorobyev, S.N.; Pokrovsky, O.S. Dissolved organic carbon and major and trace elements in peat porewater of sporadic, discontinuous, and continuous permafrost zones of western Siberia. Biogeosciences 2017, 14, 3561–3584. [Google Scholar] [CrossRef]
- Raudina, T.V.; Loiko, S.V.; Lim, A.; Manasypov, R.M.; Shirokova, L.S.; Istigechev, G.I.; Kuzmina, D.M.; Kulizhsky, S.P.; Vorobyev, S.N.; Pokrovsky, O.S. Permafrost thaw and climate warming may decrease the CO2, carbon, and metal concentration in peat soil waters of the Western Siberia Lowland. Sci. Total Environ. 2018, 634, 1004–1023. [Google Scholar] [CrossRef]
- Pokrovsky, O.S.; Manasypov, R.M.; Loiko, S.; Shirokova, L.S.; Krickov, I.A.; Pokrovsky, B.G.; Kolesnichenko, L.G.; Kopysov, S.G.; Zemtzov, V.A.; Kulizhsky, S.P.; et al. Permafrost coverage, watershed area and season control of dissolved carbon and major elements in western Siberian rivers. Biogeosciences 2015, 12, 6301–6320. [Google Scholar] [CrossRef]
- Krickov, I.V.; Lim, A.G.; Manasypov, R.M.; Loiko, S.V.; Shirokova, L.S.; Kirpotin, S.N.; Karlsson, J.; Pokrovsky, O.S. Riverine particulate C and N generated at the permafrost thaw front: Case study of western Siberian rivers across a 1700-km latitudinal transect. Biogeosciences 2018, 15, 6867–6884. [Google Scholar] [CrossRef]
- Frey, K.E.; McClelland, J.W.; Holmes, R.M.; Smith, L.C. Impacts of climate warming and permafrost thaw on the riverine transport of nitrogen and phosphorus to the Kara Sea. J. Geophys. Res. Biogeosci. 2007, 112, G04S58. [Google Scholar] [CrossRef]
- Frey, K.E.; Smith, L.C. Amplified carbon release from vast West Siberian peatlands by 2100. Geophys. Res. Lett. 2005, 32, L09401. [Google Scholar] [CrossRef]
- Vorobyev, S.N.; Pokrovsky, O.S.; Serikova, S.; Manasypov, R.M.; Krickov, I.V.; Shirokova, L.S.; Lim, A.; Kolesnichenko, L.G.; Kirpotin, S.N.; Karlsson, J. Permafrost boundary shift in Western Siberia may not modify dissolved nutrient concentrations in rivers. Water 2017, 9, 985. [Google Scholar] [CrossRef]
- Blois, J.L.; Williams, J.W.; Fitzpatrick, M.C.; Jackson, S.T.; Ferrier, S. Space can substitute for time in predicting climate-change effects on biodiversity. Proc. Natl. Acad. Sci. USA 2013, 110, 9374–9379. [Google Scholar] [CrossRef]
- Masing, V.; Botch, M.; Läänelaid, A. Mires of the former Soviet Union. Wetl. Ecol Manag. 2010, 18, 397–433. [Google Scholar] [CrossRef]
- Trofimova, I.E.; Balybina, A.S. Classification of climates and climatic regionalization of the West-Siberian plain. Geogr. Nat. Resour. 2014, 35, 114–122. [Google Scholar] [CrossRef]
- Serikova, S.; Pokrovsky, O.S.; Ala-Aho, P.; Kazantsev, V.; Kirpotin, S.N.; Kopysov, S.G.; Krickov, I.V.; Laudon, H.; Manasypov, R.M.; Shirokova, L.S.; et al. High riverine CO2 emissions at the permafrost boundary of Western Siberia. Nat. Geosci. 2018, 11, 825–829. [Google Scholar] [CrossRef]
- Pokrovsky, O.S.; Manasypov, R.M.; Loiko, S.V.; Shirokova, L.S. Organic and organo-mineral colloids in discontinuous permafrost zone. Geochim. Cosmochim. Acta 2016, 188, 1–20. [Google Scholar] [CrossRef]
- Brown, J.; Ferrians, O.J., Jr.; Heginbottom, J.A.; Melnikov, E.S. Circum-Arctic Map of Permafrost and Ground Ice Conditions; National Snow and Ice Data Center/World Data Center for Glaciology Digital Media: Boulder, CO, USA, 2001; pp. 28–44. [Google Scholar]
- Savchenko, N.V. Nature of lakes in subarctic of West Siberia. Geogr. Prir. Resur. 1992, 1, 85–92. (In Russian) [Google Scholar]
- Vasyukova, E.V.; Pokrovsky, O.S.; Viers, J.; Oliva, P.; Dupré, B.; Martin, F.; Candaudap, F. Trace elements in organic- and iron-rich surficial fluids of the boreal zone: Assessing colloidal forms via dialysis and ultrafiltration. Geochim. Cosmochim. Acta 2010, 74, 449–468. [Google Scholar] [CrossRef]
- Yeghicheyan, D.; Bossy, C.; Coz, M.B.L.; Douchet, C.; Granier, G.; Heimburger, A.; Lacan, F.; Lanzanova, A.; Rousseau, T.C.C.; Seidel, J.-L.; et al. A compilation of silicon, rare earth element and twenty-one other trace tlement concentrations in the natural river water reference material SLRS-5 (NRC-CNRC). Geostand. Geoanalytical Res. 2013, 37, 449–467. [Google Scholar] [CrossRef]
- De la Cruz, O.; Holmes, S. The duality diagram in data analysis: Examples of modern applications. Ann. Appl. Stat. 2011, 5, 2266–2277. [Google Scholar] [CrossRef] [PubMed]
- Bastviken, D.; Cole, J.; Pace, M.; Tranvik, L. Methane emissions from lakes: Dependence of lake characteristics, two regional assessments, and a global estimate. Glob. Biogeochem. Cycles 2004, 18, GB4009. [Google Scholar] [CrossRef]
- Juutinen, S.; Rantakari, M.; Kortelainen, P.; Huttunen, J.T.; Larmola, T.; Alm, J.; Silvola, J.; Martikainen, P.J. Methane dynamics in different boreal lake types. Biogeosciences 2009, 6, 209–223. [Google Scholar] [CrossRef]
- Wauthy, M.; Rautio, M.; Christoffersen, K.S.; Forsström, L.; Laurion, I.; Mariash, H.L.; Peura, S.; Vincent, W.F. Increasing dominance of terrigenous organic matter in circumpolar freshwaters due to permafrost thaw. Limnol. Oceanogr. Lett. 2018, 3, 186–198. [Google Scholar] [CrossRef]
- Peura, S.; Wauthy, M.; Simone, D.; Eiler, A.; Einarsdóttir, K.; Rautio, M.; Bertilsson, S. Ontogenic succession of thermokarst thaw ponds is linked to dissolved organic matter quality and microbial degradation potential. Limnol. Oceanogr. 2020, 65, S248–S263. [Google Scholar] [CrossRef]
- Shirokova, L.S.; Chupakov, A.V.; Zabelina, S.A.; Neverova, N.V.; Payandi-Rolland, D.; Causserand, C.; Karlsson, J.; Pokrovsky, O.S. Humic surface waters of frozen peat bogs (permafrost zone) are highly resistant to bio- and photodegradation. Biogeosciences 2019, 16, 2511–2526. [Google Scholar] [CrossRef]
- Babkina, E.A.; Leibman, M.O.; Dvornikov, Y.A.; Fakashchuk, N.Y.; Khairullin, R.R.; Khomutov, A.V. Activation of cryogenic processes in Central Yamal as a result of regional and local change in climate and thermal state of permafrost. Russ. Meteorol. Hydrol. 2019, 44, 283–290. [Google Scholar] [CrossRef]
- Xu, N.; Braida, W.; Christodoulatos, C.; Chen, J. A review of molybdenum adsorption on soils/bed sediments: Speciation, mechanisms and model applications. Soil Sediment Contam. Int. J. 2013, 22, 912–929. [Google Scholar] [CrossRef]
- Tournassat, C.; Tinnacher, R.M.; Grangeon, S.; Davis, J.A. Modeling uranium (VI) adsorption onto montmorillonite under varying carbonate concentrations: A surface complexation model accounting for the spillover effect on surface potential. Geochim. Cosmochim. Acta 2018, 220, 291–308. [Google Scholar] [CrossRef]
- Payandi-Rolland, D.; Shirokova, L.S.; Nakhle, P.; Tesfa, M.; Abdou, A.; Causserand, C.; Lartiges, B.; Rols, J.-L.; Guérin, F.; Bénézeth, P.; et al. Aerobic release and biodegradation of dissolved organic matter from frozen peat: Effects of temperature and heterotrophic bacteria. Chem. Geol. 2020, 536, 119448. [Google Scholar] [CrossRef]
- Chupakov, A.V.; Pokrovsky, O.S.; Moreva, O.Y.; Shirokova, L.S.; Neverova, N.V.; Chupakova, A.A.; Kotova, E.I.; Vorobyeva, T.Y. High resolution multi-annual riverine fluxes of organic carbon, nutrient and trace element from the largest European Arctic river, Severnaya Dvina. Chem. Geol. 2020, 538, 119491. [Google Scholar] [CrossRef]
- Vorobyev, S.N.; Pokrovsky, O.S.; Kolesnichenko, L.G.; Manasypov, R.M.; Shirokova, L.S.; Karlsson, J.; Kirpotin, S.N. Biogeochemistry of dissolved carbon, major, and trace elements during spring flood periods on the Ob River. Hydrol. Process. 2019, 33, 1579–1594. [Google Scholar] [CrossRef]
- Schuur, E.A.G.; McGuire, A.D.; Schädel, C.; Grosse, G.; Harden, J.W.; Hayes, D.J.; Hugelius, G.; Koven, C.D.; Kuhry, P.; Lawrence, D.M.; et al. Climate change and the permafrost carbon feedback. Nature 2015, 520, 171–179. [Google Scholar] [CrossRef]
- Biskaborn, B.K.; Smith, S.L.; Noetzli, J.; Matthes, H.; Vieira, G.; Streletskiy, D.A.; Schoeneich, P.; Romanovsky, V.E.; Lewkowicz, A.G.; Abramov, A.; et al. Permafrost is warming at a global scale. Nat. Commun. 2019, 10, 1–11. [Google Scholar] [CrossRef]
- Turetsky, M.R.; Abbott, B.W.; Jones, M.C.; Anthony, K.W.; Olefeldt, D.; Schuur, E.A.G.; Koven, C.; McGuire, A.D.; Grosse, G.; Kuhry, P.; et al. Permafrost collapse is accelerating carbon release. Nature 2019, 569, 32–34. [Google Scholar] [CrossRef]
- Anisimov, O.A.; Shiklomanov, N.I.; Nelson, F.E. Variability of seasonal thaw depth in permafrost regions: A stochastic modeling approach. Ecol. Model. 2002, 153, 217–227. [Google Scholar] [CrossRef]
- Pavlov, A.V.; Moskalenko, N.G. The thermal regime of soils in the north of Western Siberia. Permafr. Periglac. Process. 2002, 13, 43–51. [Google Scholar] [CrossRef]
- Anisimov, O.; Reneva, S. Permafrost and changing climate: The Russian Perspective. AMBIO A J. Human Environ. 2006, 35, 169–175. [Google Scholar] [CrossRef]
- Moskalenko, N.G. Permafrost and vegetation changes in the Nadym region of West Siberian northern taiga due to the climate change and technogenesis. Kriosfera Zemli 2009, 8, 18–23. (In Russian) [Google Scholar]
- Frey, K.E.; McClelland, J.W. Impacts of permafrost degradation on arctic river biogeochemistry. Hydrol. Process. 2009, 23, 169–182. [Google Scholar] [CrossRef]
- Anisimov, O.; Kokorev, V.; Zhil’tsova, Y. Temporal and spatial patterns of modern climatic warming: Case study of Northern Eurasia. Clim. Chang. 2013, 118, 871–883. [Google Scholar] [CrossRef]
- Walvoord, M.A.; Kurylyk, B.L. Hydrologic impacts of thawing permafrost—A review. Vadose Zone J. 2016, 15, 20. [Google Scholar] [CrossRef]
- Karlsson, J.M.; Lyon, S.W.; Destouni, G. Temporal behavior of lake size-distribution in a thawing permafrost landscape in Northwestern Siberia. Remote Sens. 2014, 6, 621–636. [Google Scholar] [CrossRef]
- Tank, S.E.; Lesack, L.F.W.; Hesslein, R.H. Northern delta lakes as summertime CO2 absorbers within the arctic landscape. Ecosystems 2009, 12, 144–157. [Google Scholar] [CrossRef]












| Element | Continuous into Discontinuous | Discontinuous into Sporadic | Sporadic into Isolated | Element | Continuous into Discontinuous | Discontinuous into Sporadic | Sporadic into Isolated |
|---|---|---|---|---|---|---|---|
| SC | 1.05 | 0.92 | 1.34 | Ga | 0.57 | 1.11 | 2.45 |
| pH | 1.46 | 1 | 0.99 | As | 2.17 | 0.71 | 0.97 |
| CH4 | 0.21 | 1.96 | 4.21 | Se | 1.13 | 0.74 | 1.63 |
| CO2 | 1.64 | 1.3 | 1.24 | Rb | 3.2 | 0.51 | 1.03 |
| Cl− | 0.74 | 1.32 | 0.9 | Sr | 3.3 | 1.73 | 1.05 |
| SO42− | 1.76 | 0.49 | 0.43 | Y | 2.78 | 1.81 | 1.97 |
| SUVA245 | 0.98 | 0.99 | 1.24 | Zr | 2.51 | 0.84 | 4.22 |
| DOC | 0.63 | 0.93 | 2.05 | Nb | 0.81 | 0.67 | 5.64 |
| DIC | 3.55 | 1.15 | 1.23 | Mo | 4.84 | 1.08 | 1.99 |
| P-PO4 | 0.94 | 1.25 | 1.59 | Cd | 0.35 | 0.87 | 1.04 |
| N-NO3 | 3.21 | 0.16 | 1.43 | Sb | 1.02 | 0.69 | 0.92 |
| N-NH4 | 0.14 | 0.53 | 3.48 | Cs | 0.4 | 0.25 | 2.46 |
| Li | 3.1 | 1.03 | 0.98 | Ba | 6.84 | 1.86 | 1.66 |
| B | 3.23 | 0.6 | 1.56 | La | 2.25 | 0.52 | 4.48 |
| Na | 1.71 | 1.29 | 1.27 | Ce | 1.72 | 3.18 | 1.51 |
| Mg | 9.86 | 0.97 | 0.99 | Pr | 3.07 | 2.13 | 1.97 |
| Al | 0.54 | 1.37 | 2.4 | Nd | 3.14 | 2.05 | 1.98 |
| Si | 0.9 | 2.63 | 0.77 | Sm | 1.76 | 2.3 | 1.23 |
| Ptot | 0.96 | 1.31 | 4.93 | Eu | 4.93 | 1.59 | 1.56 |
| K | 3.52 | 0.75 | 0.81 | Gd | 2.69 | 2.13 | 1.67 |
| Ca | 5.28 | 1.53 | 1 | Tb | 2.77 | 1.76 | 1.76 |
| Ti | 1.18 | 0.81 | 4.04 | Dy | 2.67 | 1.7 | 2.05 |
| V | 1.81 | 0.84 | 1.65 | Ho | 2.57 | 1.7 | 2.2 |
| Cr | 0.91 | 1.07 | 2.45 | Er | 2.6 | 1.82 | 2.11 |
| Mn | 1.01 | 2.2 | 1.35 | Tm | 2.45 | 1.83 | 2.1 |
| Fe | 1.84 | 1.75 | 1.19 | Yb | 2.55 | 1.89 | 1.92 |
| Co | 1.87 | 2.29 | 1.87 | Lu | 2.61 | 1.98 | 1.81 |
| Ni | 3.59 | 1.13 | 4.5 | Hf | 1.44 | 1.33 | 4.18 |
| Cu | 2.17 | 1.59 | 1.34 | Pb | 0.39 | 0.81 | 1.02 |
| Zn | 1.48 | 1.29 | 1.12 | Th | 2.02 | 1.11 | 3.45 |
| U | 5.87 | 0.9 | 2.6 |
© 2020 by the authors. Licensee MDPI, Basel, Switzerland. This article is an open access article distributed under the terms and conditions of the Creative Commons Attribution (CC BY) license (http://creativecommons.org/licenses/by/4.0/).
Share and Cite
Manasypov, R.M.; Lim, A.G.; Kriсkov, I.V.; Shirokova, L.S.; Vorobyev, S.N.; Kirpotin, S.N.; Pokrovsky, O.S. Spatial and Seasonal Variations of C, Nutrient, and Metal Concentration in Thermokarst Lakes of Western Siberia Across a Permafrost Gradient. Water 2020, 12, 1830. https://doi.org/10.3390/w12061830
Manasypov RM, Lim AG, Kriсkov IV, Shirokova LS, Vorobyev SN, Kirpotin SN, Pokrovsky OS. Spatial and Seasonal Variations of C, Nutrient, and Metal Concentration in Thermokarst Lakes of Western Siberia Across a Permafrost Gradient. Water. 2020; 12(6):1830. https://doi.org/10.3390/w12061830
Chicago/Turabian StyleManasypov, Rinat M., Artem G. Lim, Ivan V. Kriсkov, Liudmila S. Shirokova, Sergey N. Vorobyev, Sergey N. Kirpotin, and Oleg S. Pokrovsky. 2020. "Spatial and Seasonal Variations of C, Nutrient, and Metal Concentration in Thermokarst Lakes of Western Siberia Across a Permafrost Gradient" Water 12, no. 6: 1830. https://doi.org/10.3390/w12061830
APA StyleManasypov, R. M., Lim, A. G., Kriсkov, I. V., Shirokova, L. S., Vorobyev, S. N., Kirpotin, S. N., & Pokrovsky, O. S. (2020). Spatial and Seasonal Variations of C, Nutrient, and Metal Concentration in Thermokarst Lakes of Western Siberia Across a Permafrost Gradient. Water, 12(6), 1830. https://doi.org/10.3390/w12061830

