Impact of Permafrost Thaw and Climate Warming on Riverine Export Fluxes of Carbon, Nutrients and Metals in Western Siberia
Abstract
1. Introduction
2. Study Site and Methods
2.1. Rivers of Western Siberian Lowland, their Sampling and Analyses
2.2. Hydrological Parameters, River Discharge Modeling, and Element Export Flux Calculations
3. Results
3.1. Impact of the Watershed Size and Season on Element Export Fluxes
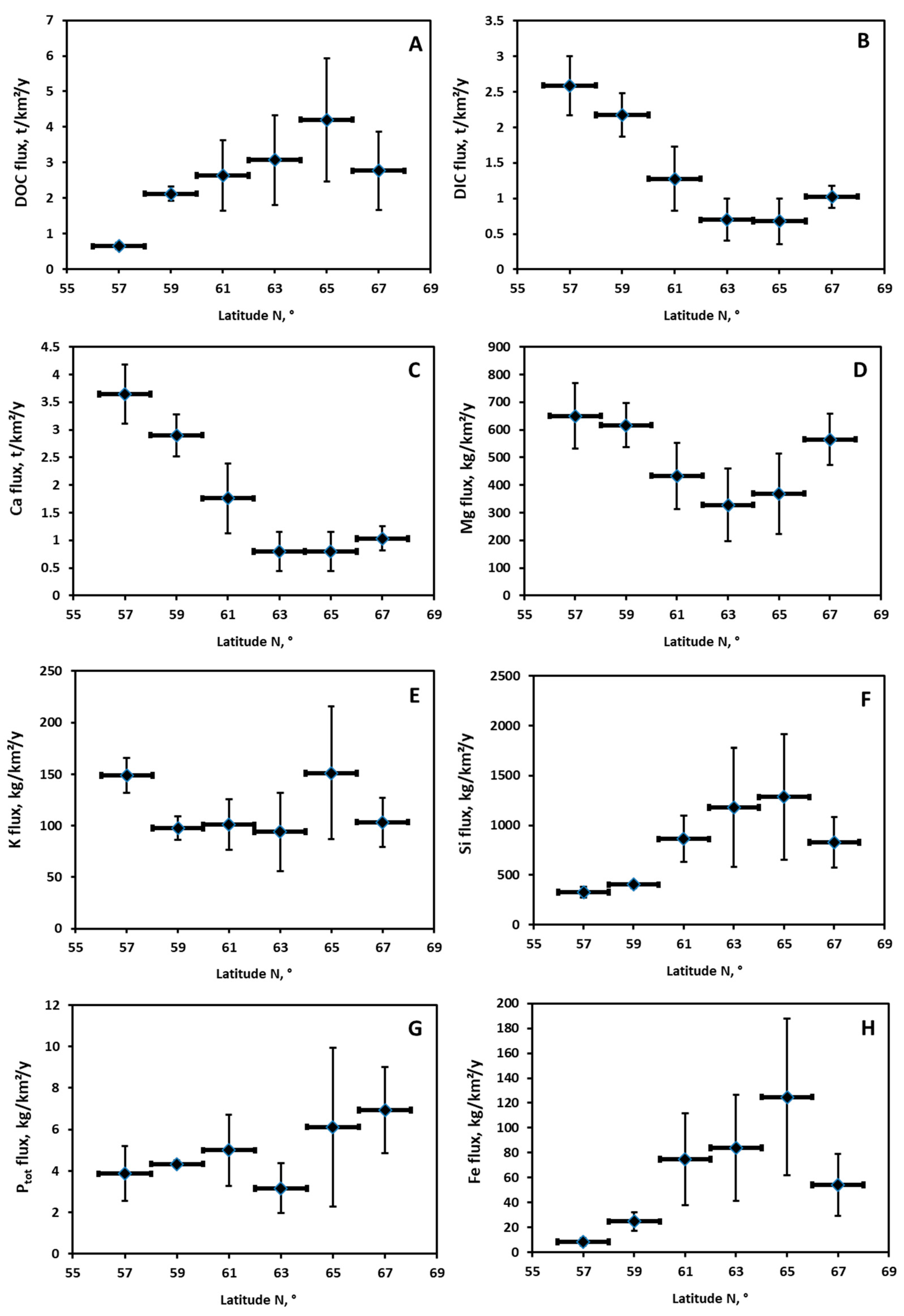
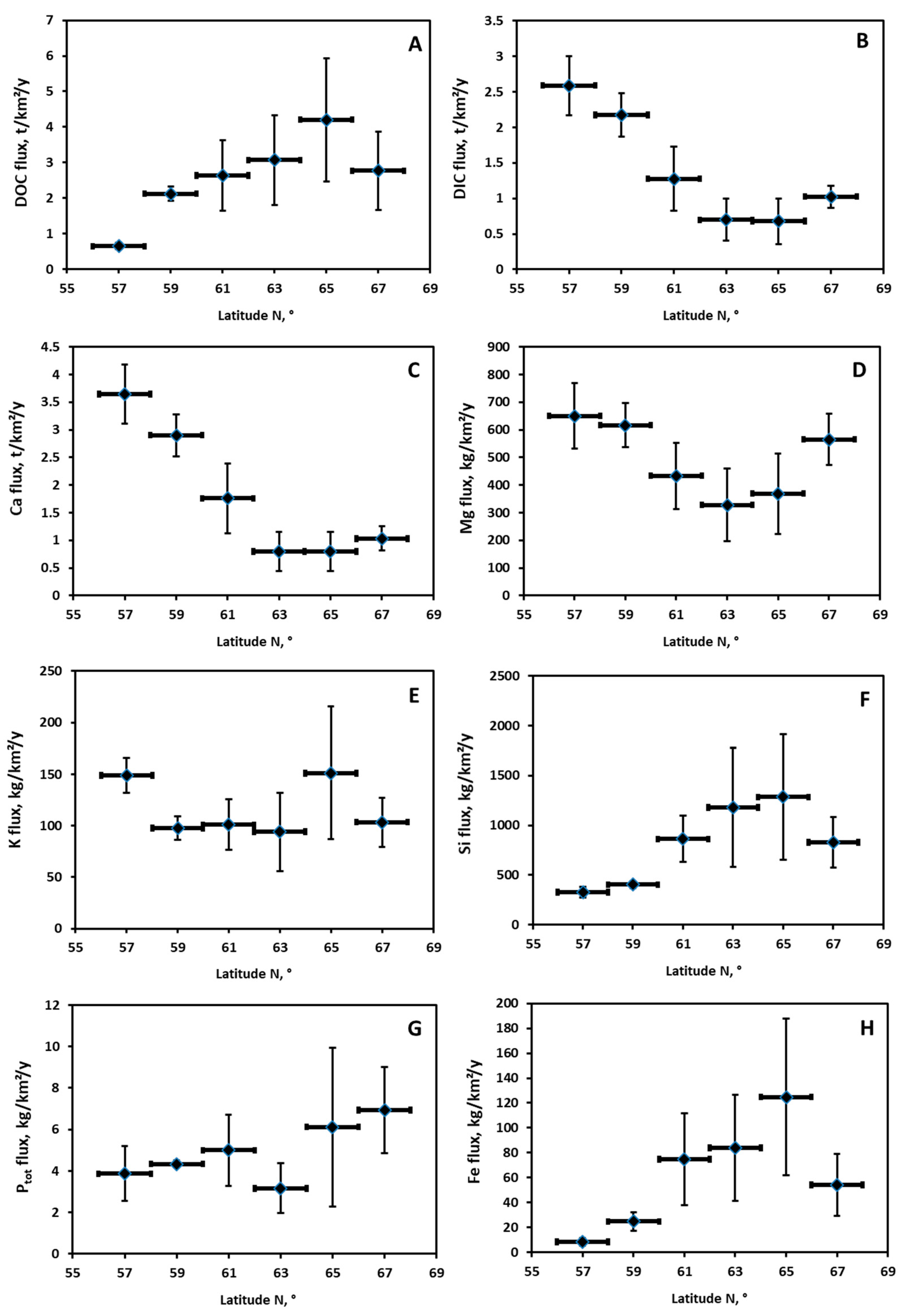
3.2. Riverine Element Export Fluxes Across the Latitudinal Profile (Permafrost and Climate Gradient)
4. Discussion
4.1. Effect of Seasons, Watershed Size, Latitude and Permafrost Coverage on Elementary Yields
4.2. Comparison of Major Cation, DIC, Si and DOC Export Fluxes in the WSL with Other Boreal Regions
4.3. Possible Evolution of Western Siberia Rivers Elementary Yields Under Climate Change Scenario
5. Conclusions
Supplementary Materials
Author Contributions
Funding
Acknowledgments
Conflicts of Interest
References
- Turetsky, M.R.; Abbott, B.W.; Jones, M.C.; Anthony, K.W.; Olefeldt, D.; Schuur, E.A.G.; Grosse, G.; Kuhry, P.; Hugelius, G.; Koven, C.; et al. Carbon release through abrupt permafrost thaw. Nat. Geosci. 2020, 13, 138–143. [Google Scholar] [CrossRef]
- Vonk, J.E.; Tank, S.E.; Walvoord, M.A. Integrating hydrology and biogeochemistry across frozen landscapes. Nat. Commun. 2019, 10, 1–4. [Google Scholar] [CrossRef] [PubMed]
- Smith, L.C.; Sheng, Y.; MacDonald, G.M. A first Pan-Arctic assessment of the influence of glaciation, permafrost, topography and peatlands on Northern hemisphere lake distribution. Permafr. Periglac. Proc. 2007, 18, 201–208. [Google Scholar] [CrossRef]
- McEnroe, N.A.; Roulet, N.T.; Moore, T.R.; Garneau, M. Do pool surface area and depth control CO2 and CH4 fluxes from an ombrotrophic raised bog, James Bay, Canada? J. Geophys. Res. Biogeosci. 2009, 114. [Google Scholar] [CrossRef]
- Olefeldt, D.; Roulet, N.T. Effects of permafrost and permafrost thaw on dissolved organic carbon in a subarctic peatland complex. J. Geophys. Res. Biogeosci. 2012, 117. [Google Scholar] [CrossRef]
- Olefeldt, D.; Roulet, N.; Giesler, R.; Persson, A. Total waterborne carbon export and DOC composition from ten nested subarctic peatland catchments—Importance of peatland cover, groundwater influence, and inter-annual variability of precipitation patterns. Hydrol. Process. 2013, 27, 2280–2294. [Google Scholar] [CrossRef]
- Roehm, C.L.; Giesler, R.; Karlsson, J. Bioavailability of terrestrial organic carbon to lake bacteria: The case of a degrading subarctic permafrost mire complex. J. Geophys. Res. Biogeosci. 2009, 114. [Google Scholar] [CrossRef]
- Amesbury, M.J.; Gallego-Sala, A.; Loisel, J. Peatlands as prolific carbon sinks. Nat. Geosci. 2019, 12, 880–881. [Google Scholar] [CrossRef]
- Frey, K.E.; McClelland, J.W. Impacts of permafrost degradation on arctic river biogeochemistry. Hydrol. Process. 2009, 23, 169–182. [Google Scholar] [CrossRef]
- Bartsch, A.; Leibman, M.; Strozzi, T.; Khomutov, A.; Widhalm, B.; Babkina, E.; Mullanurov, D.; Ermokhina, K.; Kroisleitner, C.; Bergstedt, H. Seasonal Progression of Ground Displacement Identified with Satellite Radar Interferometry and the Impact of Unusually Warm Conditions on Permafrost at the Yamal Peninsula in 2016. Remote Sens. 2019, 11, 1865. [Google Scholar] [CrossRef]
- Beilman, D.W.; MacDonald, G.M.; Smith, L.C.; Reimer, P.J. Carbon accumulation in peatlands of West Siberia over the last 2000 years. Glob. Biogeochem. Cycles 2009, 23. [Google Scholar] [CrossRef]
- Liljedahl, A.K.; Boike, J.; Daanen, R.P.; Fedorov, A.N.; Frost, G.V.; Grosse, G.; Hinzman, L.D.; Iijma, Y.; Jorgenson, J.C.; Matveyeva, N.; et al. Pan-Arctic ice-wedge degradation in warming permafrost and its influence on tundra hydrology. Nat. Geosci. 2016, 9, 312–318. [Google Scholar] [CrossRef]
- Colombo, M.; Brown, K.A.; De Vera, J.; Bergquist, B.A.; Orians, K.J. Trace metal geochemistry of remote rivers in the Canadian Arctic Archipelago. Chem. Geol. 2019, 525, 479–491. [Google Scholar] [CrossRef]
- Drake, T.W.; Tank, S.E.; Zhulidov, A.V.; Holmes, R.M.; Gurtovaya, T.; Spencer, R.G.M. Increasing alkalinity export from large russian Arctic rivers. Environ. Sci. Technol. 2018, 52, 8302–8308. [Google Scholar] [CrossRef]
- Fabre, C.; Sauvage, S.; Tananaev, N.; Noël, G.E.; Teisserenc, R.; Probst, J.L.; Pérez, J.M.S. Assessment of sediment and organic carbon exports into the Arctic ocean: The case of the Yenisei River basin. Water Res. 2019, 158, 118–135. [Google Scholar] [CrossRef]
- Griffin, C.G.; McClelland, J.W.; Frey, K.E.; Fiske, G.; Holmes, R.M. Quantifying CDOM and DOC in major Arctic rivers during ice-free conditions using Landsat TM and ETM+ data. Remote Sens. Environ. 2018, 209, 395–409. [Google Scholar] [CrossRef]
- Guo, L.; Ping, C.-L.; Macdonald, R.W. Mobilization pathways of organic carbon from permafrost to arctic rivers in a changing climate. Geophys. Res. Lett. 2007, 34. [Google Scholar] [CrossRef]
- Hindshaw, R.S.; Teisserenc, R.; Le Dantec, T.; Tananaev, N. Seasonal change of geochemical sources and processes in the Yenisei River: A Sr, Mg and Li isotope study. Geochim. Cosmochim. Acta 2019, 255, 222–236. [Google Scholar] [CrossRef]
- Li, M.; Peng, C.; Zhou, X.; Yang, Y.; Guo, Y.; Shi, G.; Zhu, Q. Modeling global riverine DOC flux dynamics from 1951 to 2015. J. Adv. Modeling Earth Syst. 2019, 11, 514–530. [Google Scholar] [CrossRef]
- Murphy, M.J.; Porcelli, D.; Pogge von Strandmann, P.A.E.; Hirst, C.A.; Kutscher, L.; Katchinoff, J.A.; Mörth, C.-M.; Maximov, T.; Andersson, P.S. Tracing silicate weathering processes in the permafrost-dominated Lena River watershed using lithium isotopes. Geochim. Cosmochim. Acta 2019, 245, 154–171. [Google Scholar] [CrossRef]
- Holmes, R.M.; Coe, M.T.; Fiske, G.J.; Gurtovaya, T.; McClelland, J.W.; Shiklomanov, A.I.; Spencer, R.G.M.; Tank, S.E.; Zhulidov, A.V. Climate change impacts on the hydrology and biogeochemistry of Arctic Rivers. In Climatic Changes and Global warming of Inland Waters; Impacts and Mitigation for Ecosystems and Societies; Goldman, C.R., Kumagi, M., Robarts, R.D., Eds.; John Wiley and Sons: Hoboken, NJ, USA, 2013; pp. 1–26. [Google Scholar]
- McClelland, J.W.; Déry, S.J.; Peterson, B.J.; Holmes, R.M.; Wood, E.F. A pan-arctic evaluation of changes in river discharge during the latter half of the 20th century. Geophys. Res. Lett. 2006, 33. [Google Scholar] [CrossRef]
- Shiklomanov, A.I.; Lammers, R.B.; Vörösmarty, C.J. Widespread decline in hydrological monitoring threatens Pan-Arctic research. Eos Trans. Am. Geophys. Union 2002, 83, 13–20. [Google Scholar] [CrossRef]
- Shogren, A.J.; Zarnetske, J.P.; Abbott, B.W.; Iannucci, F.; Frei, R.J.; Griffin, N.A.; Bowden, W.B. Revealing biogeochemical signatures of Arctic landscapes with river chemistry. Sci. Rep. 2019, 9, 1–11. [Google Scholar] [CrossRef] [PubMed]
- Toohey, R.C.; Herman-Mercer, N.M.; Schuster, P.F.; Mutter, E.A.; Koch, J.C. Multidecadal increases in the Yukon River Basin of chemical fluxes as indicators of changing flowpaths, groundwater, and permafrost. Geophys. Res. Lett. 2016, 43, 12–120. [Google Scholar] [CrossRef]
- Frey, K.E.; McClelland, J.W.; Holmes, R.M.; Smith, L.C. Impacts of climate warming and permafrost thaw on the riverine transport of nitrogen and phosphorus to the Kara Sea. J. Geophys. Res. 2007, 112. [Google Scholar] [CrossRef]
- Frey, K.E.; Siegel, D.I.; Smith, L.C. Geochemistry of west Siberian streams and their potential response to permafrost degradation. Water Resour. Res. 2007, 43. [Google Scholar] [CrossRef]
- Frey, K.E.; Smith, L.C. Amplified carbon release from vast West Siberian peatlands by 2100. Geophys. Res. Lett. 2005, 32. [Google Scholar] [CrossRef]
- Krickov, I.; Lim, A.; Manasypov, R.M.; Loiko, S.V.; Shirokova, L.S.; Kirpotin, S.N.; Karlsson, J.; Pokrovsky, O.S. Riverine particulate C and N generated at the permafrost thaw front: Case study of western Siberian rivers across a 1700-km latitudinal transect. Biogeosciences 2018, 15, 6867–6884. [Google Scholar] [CrossRef]
- Krickov, I.V.; Pokrovsky, O.S.; Manasypov, R.M.; Lim, A.G.; Shirokova, L.S.; Viers, J. Colloidal transport of carbon and metals by western Siberian rivers during different seasons across a permafrost gradient. Geochim. Cosmochim. Acta 2019, 265, 221–241. [Google Scholar] [CrossRef]
- Krickov, I.V.; Lim, A.G.; Manasypov, R.M.; Loiko, S.V.; Vorobyev, S.N.; Shevchenko, V.P.; Dara, O.M.; Gordeev, V.V.; Pokrovsky, O.S. Major and trace elements in suspended matter of western Siberian rivers: First assessment across permafrost zones and landscape parameters of watersheds. Geochim. Cosmochim. Acta 2020, 269, 429–450. [Google Scholar] [CrossRef]
- Manasypov, R.M.; Pokrovsky, O.S.; Kirpotin, S.N.; Shirokova, L.S. Thermokarst lake waters across the permafrost zones of western Siberia. Cryosphere 2014, 8, 1177–1193. [Google Scholar] [CrossRef]
- Pokrovsky, O.S.; Manasypov, R.M.; Shirokova, L.S.; Loiko, S.V.; Krickov, I.V.; Kopysov, S.; Zemtzov, V.A.; Kulizhsky, S.P.; Vorobyev, S.N.; Kirpotin, S.N. Permafrost coverage, watershed area and season control of dissolved carbon and major elements in western Siberia rivers. Biogeosciences 2015, 12, 6301–6320. [Google Scholar] [CrossRef]
- Pokrovsky, O.S.; Manasypov, R.M.; Loiko, S.; Krickov, I.A.; Kopysov, S.G.; Kolesnichenko, L.G.; Vorobyev, S.N.; Kirpotin, S.N. Trace element transport in western Siberia rivers across a permafrost gradient. Biogeosci. Discuss. 2016, 13, 1877–1900. [Google Scholar] [CrossRef]
- Polishchuk, Y.M.; Bogdanov, A.N.; Muratov, I.N.; Polishchuk, V.Y.; Lim, A.; Manasypov, R.M.; Shirokova, L.S.; Pokrovsky, O.S. Minor contribution of small thaw ponds to the pools of carbon and methane in the inland waters of the permafrost-affected part of the Western Siberian Lowland. Environ. Res. Lett. 2018, 13, 045002. [Google Scholar] [CrossRef]
- Raudina, T.V.; Loiko, S.V.; Lim, A.G.; Krickov, I.V.; Shirokova, L.S.; Istigichev, G.I.; Kuzmina, D.M.; Kulizhsky, S.P.; Vorobyev, S.N.; Pokrovsky, O.S. Dissolved organic carbon and major and trace elements in peat porewater of sporadic, discontinuous, and continuous permafrost zones of western Siberia. Biogeosciences 2017, 14, 3561–3584. [Google Scholar] [CrossRef]
- Vorobyev, S.N.; Pokrovsky, O.S.; Serikova, S.; Manasypov, R.M.; Krickov, I.V.; Shirokova, L.S.; Lim, A.; Kolesnichenko, L.G.; Kirpotin, S.N.; Karlsson, J. Permafrost boundary shift in Western Siberia may not modify dissolved nutrient concentrations in rivers. Water 2017, 9, 985. [Google Scholar] [CrossRef]
- Raudina, T.V.; Loiko, S.V.; Lim, A.; Manasypov, R.M.; Shirokova, L.S.; Istigechev, G.I.; Kuzmina, D.M.; Kulizhsky, S.P.; Vorobyev, S.N.; Pokrovsky, O.S. Permafrost thaw and climate warming may decrease the CO2, carbon, and metal concentration in peat soil waters of the Western Siberia Lowland. Sci. Total Environ. 2018, 634, 1004–1023. [Google Scholar] [CrossRef]
- Blois, J.L.; Williams, J.W.; Fitzpatrick, M.C.; Jackson, S.T.; Ferrier, S. Space can substitute for time in predicting climate-change effects on biodiversity. Proc. Natl. Acad. Sci. USA 2013, 110, 9374–9379. [Google Scholar] [CrossRef]
- Nikitin, S.P.; Zemtsov, V.A. The Variability of Hydrological Parameters of Western Siberia; Nauka: Novosibirsk, Russia, 1986; 204p. (In Russian) [Google Scholar]
- Huh, Y.; Edmond, J.M. The fluvial geochemistry of the rivers of Eastern Siberia: III. Tributaries of the Lena and Anabar draining the basement terrain of the Siberian Craton and the Trans-Baikal Highlands. Geochim. Cosmochim. Acta 1999, 63, 967–981. [Google Scholar] [CrossRef]
- Spence, J.; Telmer, K. The role of sulfur in chemical weathering and atmospheric CO2 fluxes: Evidence from major ions, δ13CDIC, and δ34SSO4 in rivers of the Canadian Cordillera. Geochim. Cosmochim. Acta 2005, 69, 5441–5458. [Google Scholar] [CrossRef]
- Qin, J.; Huh, Y.; Edmond, J.M.; Du, G.; Ran, J. Chemical and physical weathering in the Min Jiang, a headwater tributary of the Yangtze River. Chem. Geol. 2006, 227, 53–69. [Google Scholar] [CrossRef]
- Bulygina, O.N.; Razuvaev, V.N.; Alexsandrova, T.M. Description of Daily Air Temperature and Precipitation Data set from Russian Meteorological Stations and from some Meteorological Stations over the Former USSR Territory (TTTR) [Electronic Resource]. Available online: http://meteo.ru/english/climate/descrip11.htm (accessed on 17 March 2020).
- Pokrovsky, O.S.; Manasypov, R.M.; Loiko, S.V.; Shirokova, L.S. Organic and organo-mineral colloids in discontinuous permafrost zone. Geochim. Cosmochim. Acta 2016, 188, 1–20. [Google Scholar] [CrossRef]
- Prokushkin, A.S.; Pokrovsky, O.S.; Shirokova, L.S.; Korets, M.A.; Viers, J.; Prokushkin, S.G.; Amon, R.M.W.; Guggenberger, G.; McDowell, W.H. Sources and the flux pattern of dissolved carbon in rivers of the Yenisey basin draining the Central Siberian Plateau. Environ. Res. Lett. 2011, 6, 045212. [Google Scholar] [CrossRef]
- Rozhdestvensky, A.V.; Buzin, V.A.; Dobroumov, B.M.; Lobanova, A.G.; Lobanov, V.A.; Plitkin, G.A.; Tumanovskaya, S.M. SP 33-101-2003. Svod Pravil. Opredelenie Osnovny Khraschetnykh Gidrologicheskikh Kharakteristik [Set of Rules. Determination of Basic Design Hydrological Characteristics]. Odobren dlya Primeneniya v Kachestve Normativnogo Dokumenta Postanovleniem Gosstroya Rossii No 218 ot 26.12.2003. Available online: https://files.stroyinf.ru/Data2/1/4294815/4294815038.htm (accessed on 18 March 2020).
- Novikov, S.M.; Moskvin, Y.P.; Trofimov, S.A.; Usova, L.I.; Batuev, V.I.; Tumanovskaya, S.M.; Smirnova, V.P.; Markov, M.L.; Korotkevicth, A.E.; Potapova, T.M. Hydrology of Bog Territories of the Permafrost Zone of Western Siberia; BBM Publishing House: St. Petersbourg, Russia, 2009; 535p. (In Russian) [Google Scholar]
- McClelland, J.W.; Holmes, R.M.; Peterson, B.J.; Raymond, P.A.; Striegl, R.G.; Zhulidov, A.V.; Zimov, S.A.; Zimov, N.; Tank, S.E.; Spencer, R.G.M.; et al. Particulate organic carbon and nitrogen export from major Arctic rivers. Glob. Biogeochem. Cycles 2016, 30, 629–643. [Google Scholar] [CrossRef]
- Bergström, S. The HBV Model. In Structure and Applications; Swedish Meteorological and Hydrological Institute (SMHI): Norrköping, Sweden, 1992; p. 35. [Google Scholar]
- Bergström, S. The HBV model. In Computer Models of Watershed Hydrology; Singh, V.P., Ed.; Water Resources Publications: Highlands Ranch, CO, USA, 1995; Chapter 13; pp. 443–476. [Google Scholar]
- Seibert, J.; Vis, M.J.P. Teaching hydrological modeling with a user-friendly catchment-runoff-model software package. Hydrol. Earth Syst. Sci. 2012, 16, 3315–3325. [Google Scholar] [CrossRef]
- AIS GMVO Avtomatizirovannaya Informatsionnaya Sistema Gosudarstvennogo Monitoring Vodnykh ob”Ektov [Automated Information System of State Monitoring of Water Bodies]. [Electronic Resource]. 2020. Available online: https://gmvo.skniivh.ru/ (accessed on 17 March 2020).
- Critelli, T.; Vespasiano, G.; Apollaro, C.; Muto, F.; Marini, L.; De Rosa, R. Hydrogeochemical study of an ophiolitic aquifer: A case study of Lago (Southern Italy, Calabria). Environ. Earth Sci. 2015, 74, 533–543. [Google Scholar] [CrossRef]
- Raymond, P.A. Temperature versus hydrologic controls of chemical weathering fluxes from United States forests. Chem. Geol. 2015, 458, 1–13. [Google Scholar] [CrossRef]
- Raymond, P.A.; Hamilton, S.K. Anthropogenic influences on riverine fluxes of dissolved inorganic carbon to the oceans. Limnol. Oceanogr. Lett. 2018, 3, 143–155. [Google Scholar] [CrossRef]
- Stackpoole, S.M.; Stets, E.G.; Striegl, R.G. The impact of climate and reservoirs on longitudinal riverine carbon fluxes from two major water-sheds in the Central and Intermontane West. J. Geophys. Res. Biogeosci. 2014, 119, 848–863. [Google Scholar] [CrossRef]
- Pokrovsky, O.S.; Viers, J.; Dupré, B.; Chabaux, F.; Gaillardet, J.; Audry, S.; Prokushkin, A.S.; Shirokova, L.S.; Kirpotin, S.N.; Lapitsky, S.A.; et al. Biogeochemistry of carbon, major and trace elements in watersheds of Northern Eurasia drained to the Arctic Ocean: The change of fluxes, sources and mechanisms under the climate warming prospective. Comptes Rendus Geosci. 2012, 344, 663–677. [Google Scholar] [CrossRef]
- Chupakov, A.V.; Pokrovsky, O.S.; Moreva, O.Y.; Shirokova, L.S.; Neverova, N.V.; Chupakova, A.A.; Kotova, E.I.; Vorobyeva, T.Y. High resolution multi-annual riverine fluxes of organic carbon, nutrient and trace element from the largest European Arctic river, Severnaya Dvina. Chem. Geol. 2020, 538. [Google Scholar] [CrossRef]
- Newcomer Johnson, T.A.; Kaushal, S.S.; Mayer, P.M.; Smith, R.M.; Sivirichi, G.M. Nutrient retention in restored streams and rivers: A global review and synthesis. Water 2016, 8, 116. [Google Scholar] [CrossRef]
- Bloom, P.R. Phosphorus adsorption by an aluminum-peat complex. Soil Sci. Soc. Am. J. 1981, 45, 267–272. [Google Scholar] [CrossRef]
- Richardson, C. Mechanisms controlling phosphorus retention capacity in fresh-water wetlands. Science 1985, 228, 1424–1427. [Google Scholar] [CrossRef] [PubMed]
- Penn, C.J.; Camberato, J.J. A critical review on soil chemical processes that control how soil pH affects phosphorus availability to plants. Agriculture 2019, 9, 120. [Google Scholar] [CrossRef]
- Prokushkin, A.S.; Hagedorn, F.; Pokrovsky, O.S.; Viers, J.; Kirdyanov, A.V.; Masyagina, O.V.; Prokushkina, M.P.; McDowell, W.H. Permafrost regime affects the nutritional status and productivity of larches in Central Siberia. Forests 2018, 9, 314. [Google Scholar] [CrossRef]
- Stets, E.G.; Striegl, R.G. Carbon export by rivers draining the conterminous United States. Inland Waters 2012, 2, 177–184. [Google Scholar] [CrossRef]
- Giesler, R.; Lyon, S.W.; Morth, C.-M.; Karlsson, J.; Karlsson, E.M.; Jantze, E.J.; Destouni, G.; Humborg, C. Catchment-scale dissolved carbon concentrations and export estimates across six subarctic streams in northern Sweden. Biogeosciences 2014, 11, 525–537. [Google Scholar] [CrossRef]
- Zakharova, E.A.; Pokrovsky, O.S.; Dupré, B.; Zaslavskaya, M.B. Chemical weathering of silicate rocks in Aldan Shield and Baikal Uplift: Insights from long-term seasonal measurements of solute fluxes in rivers. Chem. Geol. 2005, 214, 223–248. [Google Scholar] [CrossRef]
- White, A.F.; Blum, A.E. Effects of climate on chemical weathering in watersheds. Geochim. Cosmochim. Acta 1995, 59, 1729–1747. [Google Scholar] [CrossRef]
- Dessert, C.; Dupré, B.; Gaillardet, J.; Francois, L.M.; Allégre, C.J. Basalt weathering laws and the impact of basalt weathering on the global carbon cycle. Chem. Geol. 2003, 202, 257–273. [Google Scholar] [CrossRef]
- Oliva, P.; Viers, J.; Dupré, B. Chemical weathering in granitic environments. Chem. Geol. 2003, 202, 225–256. [Google Scholar] [CrossRef]
- Payandi-Rolland, D.; Shirokova, L.S.; Nakhle, P.; Tesfa, M.; Abdou, A.; Causserand, C.; Lartiges, B.; Rols, J.-L.; Guérin, F.; Bénézeth, P.; et al. Aerobic release and biodegradation of dissolved organic matter from frozen peat: Effects of temperature and heterotrophic bacteria. Chem. Geol. 2020, 536, 119448. [Google Scholar] [CrossRef]
- Fraysse, F.; Pokrovsky, O.S.; Meunier, J.-D. Experimental study of terrestrial plant litter interaction with aqueous solutions. Geochim. Cosmochim. Acta 2010, 74, 70–84. [Google Scholar] [CrossRef]
- Antipina, T.G.; Preis, Y.I.; Zenin, V.N. Dynamics of forest vegetation and climate in the southern taiga of Western Siberia in the Late Holocene according to spore–pollen analysis and AMS dating of the peat bog. Russ. J. Ecol. 2019, 50, 445–452. [Google Scholar] [CrossRef]
- Fotiev, S.M. Arctic peatlands of the Yamal-Gydan province of Western Siberia. Earth’s Cryosphere 2017, XXI, 3–15. [Google Scholar] [CrossRef]
- Loiko, S.; Raudina, T.; Lim, A.; Kuzmina, D.; Kulizhskiy, S.; Pokrovsky, O. Microtopography Controls of Carbon and Related Elements Distribution in the West Siberian Frozen Bogs. Geosciences 2019, 9, 291. [Google Scholar] [CrossRef]
- Panova, N.K.; Trofimova, S.S.; Antipina, T.G.; Zinoviev, E.V.; Gilev, A.V.; Erokhin, N.G. Holocene dynamics of vegetation and ecological conditions in the southern Yamal Peninsula according to the results of comprehensive analysis of a relict peat bog deposit. Russ. J. Ecol. 2010, 41, 20–27. [Google Scholar] [CrossRef]
- Stepanova, V.M.; Pokrovsky, O.S.; Viers, J.; Mironycheva-Tokareva, N.P.; Kosykh, N.P.; Vishnyakova, E.K. Major and trace elements in peat profiles in Western Siberia: Impact of the landscape context, latitude and permafrost coverage. Appl. Geochem. 2015, 53, 53–70. [Google Scholar] [CrossRef]
- Pokrovsky, O.S.; Schott, J.; Kudryavtzev, D.I.; Dupré, B. Basalt weathering in Central Siberia under permafrost conditions. Geochim. Cosmochim. Acta 2005, 69, 5659–5680. [Google Scholar] [CrossRef]
- Gordeev, V.V.; Martin, J.-M.; Sidorov, I.S.; Sidorova, M.V. A reassessment of the Eurasian river input of water, sediment, major elements, and nutrients to the Arctic Ocean. Am. J. Sci. 1996, 296, 664–691. [Google Scholar] [CrossRef]
- Vorobyev, S.N.; Pokrovsky, O.S.; Kolesnichenko, L.G.; Manasypov, R.M.; Shirokova, L.S.; Karlsson, J.; Kirpotin, S.N. Biogeochemistry of dissolved carbon, major, and trace elements during spring flood periods on the Ob River. Hydrol. Process. 2019, 33, 1579–1594. [Google Scholar] [CrossRef]
- Serikova, S.; Pokrovsky, O.S.; Ala-Aho, P.; Kazantsev, V.; Kirpotin, S.N.; Kopysov, S.G.; Krickov, I.V.; Laudon, H.; Manasypov, R.M.; Shirokova, L.S.; et al. High riverine CO2 emissions at the permafrost boundary of Western Siberia. Nat. Geosci. 2018, 11, 825–829. [Google Scholar] [CrossRef]
- Serikova, S.; Pokrovsky, O.S.; Laudon, H.; Krickov, I.V.; Lim, A.G.; Manasypov, R.M.; Karlsson, J. High carbon emissions from thermokarst lakes of Western Siberia. Nat. Commun. 2019, 10, 1–7. [Google Scholar] [CrossRef] [PubMed]
- Smedberg, E.; Mörth, C.-M.; Swaney, D.P.; Humborg, C. Modeling hydrology and silicon-carbon interactions in taiga and tundra biomes from a landscape perspective: Implications for global warming feedbacks. Glob. Biogeochem. Cycles 2006, 20. [Google Scholar] [CrossRef]
- Guo, L.; Zhang, J.-Z.; Guéguen, C. Speciation and fluxes of nutrients (N, P, Si) from the upper Yukon River. Glob. Biogeochem. Cycles 2004, 18. [Google Scholar] [CrossRef]
- Zakharova, E.A.; Pokrovsky, O.S.; Dupré, B.; Gaillardet, J.; Efimova, L.E. Chemical weathering of silicate rocks in Karelia region and Kola peninsula, NW Russia: Assessing the effect of rock composition, wetlands and vegetation. Chem. Geol. 2007, 242, 255–277. [Google Scholar] [CrossRef]
- Raymond, P.A.; McClelland, J.W.; Holmes, R.M.; Zhulidov, A.V.; Mull, K.; Peterson, B.J.; Striegl, R.G.; Aiken, G.R.; Gurtovaya, T.Y. Flux and age of dissolved organic carbon exported to the Arctic Ocean: A carbon isotopic study of the five largest arctic rivers. Glob. Biogeochem. Cycles 2007, 21. [Google Scholar] [CrossRef]
- Anisimov, O.A.; Shiklomanov, N.I.; Nelson, F.E. Variability of seasonal thaw depth in permafrost regions: A stochastic modeling approach. Ecol. Model. 2002, 153, 217–227. [Google Scholar] [CrossRef]
- Dankers, R.; Burke, E.J.; Price, J. Simulation of permafrost and seasonal thaw depth in the JULES land surface scheme. Cryosphere 2011, 5, 773–790. [Google Scholar] [CrossRef]
- Stendel, M.; Christensen, J.H. Impact of global warming on permafrost conditions in a coupled GCM. Geophys. Res. Lett. 2002, 29, 1632. [Google Scholar] [CrossRef]
- Babkina, E.A.; Leibman, M.O.; Dvornikov, Y.A.; Fakashchuk, N.Y.; Khairullin, R.R.; Khomutov, A.V. Activation of cryogenic processes in Central Yamal as a result of regional and local change in climate and thermal state of permafrost. Russ. Meteorol. Hydrol. 2019, 44, 283–290. [Google Scholar] [CrossRef]
- Botch, M.S.; Kobak, K.I.; Vinson, T.S.; Kolchugina, T.P. Carbon pools and accumulation in peatlands of the former Soviet Union. Glob. Biogeochem. Cycles 1995, 9, 37–46. [Google Scholar] [CrossRef]
- Liss, O.L.; Abramova, L.I.; Avetov, N.A.; Berezina, N.A.; Inisheva, L.I.; Kurnishnikova, T.V.; Sluka, Z.A.; Tolpysheva, T.Y.; Shvedchikova, N.K. Wetland Systems of West Siberia and Their Importance for Nature Conservation; Grifi K Publisher: Tula, Russia, 2001; 584p. (In Russian) [Google Scholar]
- Gentsch, N.; Mikutta, R.; Alves, R.J.E.; Barta, J.; Capek, P.; Gitte, A.; Hugelius, G.; Kuhry, P.; Lashchinskiy, N.; Palmtag, J.; et al. Storage and transformation of organic matter fractions in cryoturbated permafrost soils across the Siberian Arctic. Biogeosciences 2015, 12, 4525–4542. [Google Scholar] [CrossRef]
- Kaiser, C.; Meyer, H.; Biasi, C.; Rusalimova, O.; Barsukov, P.; Richter, A. Conservation of soil organic matter through cryoturbation in arctic soils in Siberia. J. Geophys. Res. 2007, 112, 9–17. [Google Scholar] [CrossRef]
- Kawahigashi, M.; Kaiser, K.; Kalbitz, K.; Rodionov, A.; Guggenberger, G. Dissolved organic matter in small streams along a gradient from discontinuous to continuous permafrost. Glob. Chang. Biol. 2004, 10, 1576–1586. [Google Scholar] [CrossRef]
- Mergelov, N.S.; Targulian, V.O. Accumulation of organic matter in the mineral layers of permafrost-affected soils of coastal lowlands in East Siberia. Eurasian Soil Sci. 2011, 44, 249–260. [Google Scholar] [CrossRef]
- Oosterwoud, M.R.; Temminghoff, E.J.M.; van der Zee, S.E.A.T.M. Quantification of DOC concentrations in relation with soil properties of soils in tundra and taiga of Northern European Russia. Biogeosci. Discuss. 2010, 7, 3189–3226. [Google Scholar] [CrossRef]
- Anisimov, O.; Kokorev, V.; Zhil’tsova, Y. Temporal and spatial patterns of modern climatic warming: Case study of Northern Eurasia. Clim. Chang. 2013, 118, 871–883. [Google Scholar] [CrossRef]
- Romanovsky, V.E.; Drozdov, D.S.; Oberman, N.G.; Malkova, G.V.; Kholodov, A.L.; Marchenko, S.S.; Moskalenko, N.G.; Sergeev, D.O.; Ukraintseva, N.G.; Abramov, A.A.; et al. Thermal state of permafrost in Russia. Permafr. Periglac. Proc. 2010, 21, 136–155. [Google Scholar] [CrossRef]
- Vasiliev, A.A.; Streletskaya, I.D.; Shirokov, R.S.; Oblogov, G.E. Evolution of cryolithozone of coastal zone of western Yamal during climate change. Kriosf. Zemli 2011, 2, 56–64. [Google Scholar]
- Ernakovich, J.; Hopping, K.A.; Berdanier, A.B.; Simpson, R.T.; Kachergis, E.J.; Steltzer, H.; Wallenstein, M.D. Predicted responses of arctic and alpine ecosystems to altered seasonality under climate change. Glob. Chang. Biol. 2014, 20, 3256–3269. [Google Scholar] [CrossRef] [PubMed]
- Karlsson, J.; Serikova, S.; Vorobyev, S.N.; Rocher-Ros, G.; Denfeld, B.; Pokrovsky, O.S. Carbon emission from Western Siberian inland waters. Nature Comm. (submitted).




| Element kg/km2/y | Biennial Flux, 2015 + 2016 (May—August) | Annual Flux, 2016 (May—October) | ||
|---|---|---|---|---|
| Permafrost-Free | Permafrost | Permafrost-Free | Permafrost | |
| DOC | 1192 ± 310 | 6340 ± 1858 | 1165 ± 202 | 3399 ± 1279 |
| Major anions | ||||
| DIC | 2122 ± 389 | 1150 ± 316 | 2278 ± 403 | 839 ± 280 |
| Cl | 132 ± 50 | 2092 ± 1052 | 160 ± 84 | 1150 ± 692 |
| SO4 | 409 ± 201 | 308 ± 112 | 486 ± 319 | 234 ± 116 |
| Major cations | ||||
| Na | 452 ± 115 | 1784 ± 769 | 528 ± 163 | 1116 ± 592 |
| Mg | 554 ± 103 | 615 ± 174 | 602 ± 107 | 414 ± 125 |
| Ca | 3045 ± 545 | 1585 ± 510 | 3125 ± 557 | 1004 ± 368 |
| K | 136 ± 21 | 175 ± 56 | 130 ± 20 | 108 ± 36 |
| Macro-nutrients | ||||
| Ptot | 6.41 ± 2.4 | 22.4 ± 8.2 | 3.66 ± 1 | 5.71 ± 2.3 |
| P-PO4 | 1.99 ± 0.67 | 10.7 ± 3.8 | - | - |
| N-NO3- | 7.4 ± 1.8 | 8.12 ± 3.4 | - | - |
| N-NH4+ | 3.57 ± 0.8 | 14.6 ± 6.1 | - | - |
| Si | 409 ± 73 | 1528 ± 415 | 426 ± 112 | 1076 ± 430 |
| Micro-nutrients | ||||
| B | 2.26 ± 0.43 | 5.63 ± 2.1 | 2.23 ± 0.39 | 3.82 ± 1.8 |
| Mn | 3.46 ± 1.8 | 36.7 ± 13 | 1.4 ± 0.69 | 16.9 ± 11 |
| Fe | 32.9 ± 14.3 | 292.7 ± 93.8 | 17.3 ± 7.5 | 92.2 ± 42 |
| Co | 0.012 ± 0.005 | 0.15 ± 0.06 | 0.009 ± 0.002 | 0.066 ± 0.04 |
| Ni | 0.126 ± 0.03 | 0.599 ± 0.22 | 0.118 ± 0.018 | 0.322 ± 0.15 |
| Cu | 0.159 ± 0.06 | 0.283 ± 0.12 | 0.128 ± 0.041 | 0.177 ± 0.087 |
| Zn | 1.31 ± 1 | 4.55 ± 3 | 0.203 ± 0.091 | 1.42 ± 0.89 |
| Rb | 0.092 ± 0.016 | 0.261 ± 0.098 | 0.078 ± 0.014 | 0.159 ± 0.059 |
| Mo | 0.023 ± 0.01 | 0.011 ± 0.004 | 0.029 ± 0.017 | 0.006 ± 0.002 |
| Ba | 3.32 ± 0.52 | 7.89 ± 3.4 | 2.87 ± 0.37 | 2.95 ± 1.4 |
| Toxicants | ||||
| As | 0.098 ± 0.021 | 0.337 ± 0.11 | 0.093 ± 0.026 | 0.143 ± 0.047 |
| Cd | 0.0009 ± 0.0004 | 0.005 ± 0.002 | 0.0008 ± 0.0003 | 0.003 ± 0.001 |
| Sb | 0.008 ± 0.003 | 0.016 ± 0.005 | 0.008 ± 0.003 | 0.009 ± 0.004 |
| Pb | 0.023 ± 0.009 | 0.065 ± 0.031 | 0.005 ± 0.002 | 0.024 ± 0.012 |
| Geochemical traces | ||||
| Li | 0.193 ± 0.059 | 0.57 ± 0.17 | 0.272 ± 0.094 | 0.455 ± 0.18 |
| Al | 5.37 ± 2.8 | 41.5 ± 18 | 5.86 ± 2.6 | 20.4 ± 11 |
| Ti | 0.223 ± 0.075 | 1.58 ± 0.56 | 0.512 ± 0.1 | 1.4 ± 0.52 |
| Cr | 0.041 ± 0.01 | 0.379 ± 0.12 | 0.024 ± 0.009 | 0.204 ± 0.08 |
| Ga | 0.002 ± 0.001 | 0.007 ± 0.002 | 0.0009 ± 0.0004 | 0.004 ± 0.002 |
| Sr | 15.7 ± 3 | 17.2 ± 8.8 | 16.6 ± 3.4 | 9.12 ± 4.8 |
| Y | 0.015 ± 0.006 | 0.11 ± 0.05 | 0.013 ± 0.003 | 0.056 ± 0.03 |
| La | 0.036 ± 0.029 | 0.085 ± 0.035 | 0.012 ± 0.003 | 0.05 ± 0.026 |
| Ce | 0.059 ± 0.048 | 0.177 ± 0.082 | 0.02 ± 0.006 | 0.091 ± 0.051 |
| Pr | 0.003 ± 0.001 | 0.023 ± 0.01 | 0.003 ± 0.0008 | 0.012 ± 0.007 |
| Nd | 0.013 ± 0.006 | 0.096 ± 0.044 | 0.012 ± 0.003 | 0.049 ± 0.028 |
| Sm | 0.003 ± 0.001 | 0.022 ± 0.01 | 0.003 ± 0.0008 | 0.012 ± 0.006 |
| Eu | 0.0009 ± 0.0003 | 0.006 ± 0.002 | 0.001 ± 0.0002 | 0.003 ± 0.002 |
| Tb | 0.0006 ± 0.0005 | 0.012 ± 0.006 | 0.003 ± 0.0007 | 0.012 ± 0.007 |
| Gd | 0.003 ± 0.001 | 0.014 ± 0.006 | 0.0007 ± 0.0002 | 0.002 ± 0.0009 |
| Dy | 0.003 ± 0.001 | 0.02 ± 0.009 | 0.003 ± 0.0007 | 0.01 ± 0.006 |
| Ho | 0.0005 ± 0.0002 | 0.004 ± 0.002 | 0.0005 ± 0.0001 | 0.002 ± 0.001 |
| Er | 0.002 ± 0.0007 | 0.012 ± 0.005 | 0.001 ± 0.0004 | 0.006 ± 0.003 |
| Tm | 0.0002 ± 0.0001 | 0.002 ± 0.0007 | 0.0002 ± 0.00005 | 0.0009 ± 0.0005 |
| Yb | 0.001 ± 0.0006 | 0.011 ± 0.005 | 0.001 ± 0.0003 | 0.006 ± 0.003 |
| Lu | 0.0002 ± 0.0001 | 0.002 ± 0.0007 | 0.0002 ± 0.00005 | 0.0009 ± 0.0005 |
| Zr | 0.901 ± 0.33 | 1.47 ± 0.31 | 1.27 ± 0.46 | 1.57 ± 0.6 |
| Cs | 0.0003 ± 0.0001 | 0.0021 ± 0.0009 | 0.0003 ± 0.0001 | 0.001 ± 0.0005 |
| Nb | 0.0007 ± 0.0002 | 0.004 ± 0.002 | 0.0009 ± 0.0003 | 0.002 ± 0.001 |
| Hf | 0.0007 ± 0.0004 | 0.008 ± 0.003 | 0.001 ± 0.0004 | 0.005 ± 0.003 |
| Th | 0.002 ± 0.0009 | 0.009 ± 0.004 | 0.002 ± 0.0005 | 0.005 ± 0.003 |
| U | 0.021 ± 0.01 | 0.005 ± 0.002 | 0.03 ± 0.019 | 0.003 ± 0.001 |
© 2020 by the authors. Licensee MDPI, Basel, Switzerland. This article is an open access article distributed under the terms and conditions of the Creative Commons Attribution (CC BY) license (http://creativecommons.org/licenses/by/4.0/).
Share and Cite
Pokrovsky, O.S.; Manasypov, R.M.; Kopysov, S.G.; Krickov, I.V.; Shirokova, L.S.; Loiko, S.V.; Lim, A.G.; Kolesnichenko, L.G.; Vorobyev, S.N.; Kirpotin, S.N. Impact of Permafrost Thaw and Climate Warming on Riverine Export Fluxes of Carbon, Nutrients and Metals in Western Siberia. Water 2020, 12, 1817. https://doi.org/10.3390/w12061817
Pokrovsky OS, Manasypov RM, Kopysov SG, Krickov IV, Shirokova LS, Loiko SV, Lim AG, Kolesnichenko LG, Vorobyev SN, Kirpotin SN. Impact of Permafrost Thaw and Climate Warming on Riverine Export Fluxes of Carbon, Nutrients and Metals in Western Siberia. Water. 2020; 12(6):1817. https://doi.org/10.3390/w12061817
Chicago/Turabian StylePokrovsky, Oleg S., Rinat M. Manasypov, Sergey G. Kopysov, Ivan V. Krickov, Liudmila S. Shirokova, Sergey V. Loiko, Artem G. Lim, Larisa G. Kolesnichenko, Sergey N. Vorobyev, and Sergey N. Kirpotin. 2020. "Impact of Permafrost Thaw and Climate Warming on Riverine Export Fluxes of Carbon, Nutrients and Metals in Western Siberia" Water 12, no. 6: 1817. https://doi.org/10.3390/w12061817
APA StylePokrovsky, O. S., Manasypov, R. M., Kopysov, S. G., Krickov, I. V., Shirokova, L. S., Loiko, S. V., Lim, A. G., Kolesnichenko, L. G., Vorobyev, S. N., & Kirpotin, S. N. (2020). Impact of Permafrost Thaw and Climate Warming on Riverine Export Fluxes of Carbon, Nutrients and Metals in Western Siberia. Water, 12(6), 1817. https://doi.org/10.3390/w12061817

