Acquisition of Post-Depositional Effects on Stable Isotopes (δ18O and δD) of Snow and Firn at Dome A, East Antarctica
Abstract
1. Introduction
2. Method and Data
2.1. On-Site Sampling and Laboratory Analysis
2.2. Field Experiments for Isotopic Exchange at the Snow–Air Interface
2.3. Meteorological Data
2.4. Diffusion of Water Isotopes in Firn
2.5. Spectral Analysis and Minimal Forward Model
3. Results
3.1. Water Stable Isotopes and Their Link to Local Temperature
3.2. Isotopic Modification at Air–Snow Interface from Field Experiments
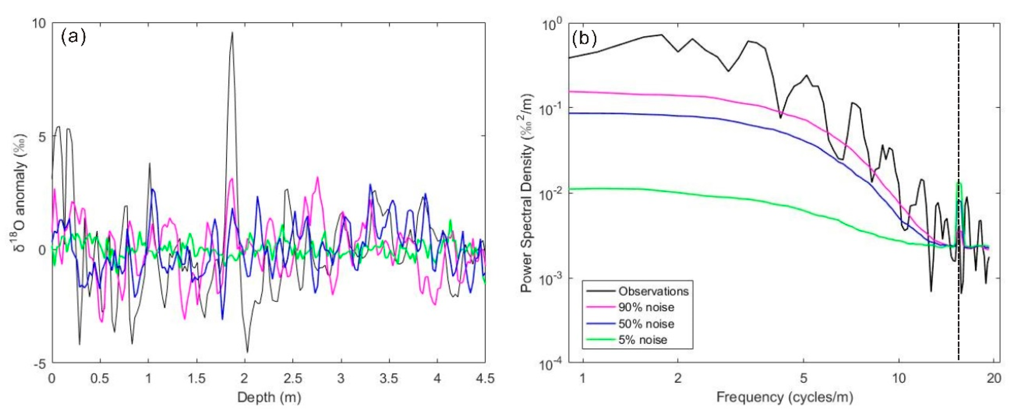
3.3. Spectra of Observed δ18O Profile
4. Discussion
4.1. Implications for Archival Processes of the Water Stable Isotope Signal in the East Antarctic Plateau
4.2. The Isotopic Variation from Sublimation-Condensation Cycle
4.3. Implications for Spectra of Artificial and the Observed δ18O Profile
5. Conclusions
Author Contributions
Funding
Acknowledgments
Conflicts of Interest
Appendix A
References
- EPICA Community Members Eight glacial cycles from an Antarctic ice core. Nature 2004, 429, 623–628. [CrossRef] [PubMed]
- Jouzel, J. A brief history of ice core science over the last 50 yr. Clim. Past Discuss. 2013, 9, 3711–3767. [Google Scholar] [CrossRef]
- WAIS Divide Project Members. Onset of deglacial warming in West Antarctica driven by local orbital forcing. Nature 2013, 500, 440–444. [Google Scholar] [CrossRef] [PubMed]
- Masson-Delmotte, V.; Hou, S.; Ekaykin, A.; Jouzel, J.; Aristarain, A.; Bernardo, R.T.; Bromwich, D.; Cattani, O.; Delmotte, M.; Falourd, S.; et al. A Review of Antarctic Surface Snow Isotopic Composition: Observations, Atmospheric Circulation, and Isotopic Modeling. J. Clim. 2008, 21, 3359–3387. [Google Scholar] [CrossRef]
- Touzeau, A.; Landais, A.; Stenni, B.; Uemura, R.; Fukui, K.; Fujita, S.; Guilbaud, S.; Ekaykin, A.A.; Casado, M.; Barkan, E.; et al. Acquisition of isotopic composition for surface snow in East Antarctica and the links to climatic parameters. Cryosphere 2016, 10, 837–852. [Google Scholar] [CrossRef]
- Goursaud, S.; Masson-Delmotte, V.; Favier, V.; Preunkert, S.; Legrand, M.; Minster, B.; Werner, M. Challenges associated with the climatic interpretation of water stable isotope records from a highly resolved firn core from Adélie Land, coastal Antarctica. Cryosphere 2019, 13, 1297–1324. [Google Scholar] [CrossRef]
- Klein, F.; Abram, N.J.; Curran, M.A.J.; Goosse, H.; Goursaud, S.; Delmotte, V.M.; Moy, A.; Neukom, R.; Orsi, A.J.; Sjolte, J.; et al. Assessing the robustness of Antarctic temperature reconstructions over the past 2 millennia using pseudoproxy and data assimilation experiments. Clim. Past 2019, 15, 661–684. [Google Scholar] [CrossRef]
- Hendricks, M.B.; DePaolo, D.J.; Cohen, R.C. Space and time variation of δ18O andδD in precipitation: Can paleotemperature be estimated from ice cores? Glob. Biogeochem. Cycles 2000, 14, 851–861. [Google Scholar] [CrossRef]
- Schlosser, E.; Reijmer, C.; Oerter, H.; Graf, W. The influence of precipitation origin on the δ18O–T relationship at Neumayer station, Ekstrmisen, Antarctica. Ann. Glaciol. 2004, 39, 41–48. [Google Scholar] [CrossRef]
- Yoshimura, K. Stable Water Isotopes in Climatology, Meteorology, and Hydrology: A Review. J. Meteorol. Soc. Jpn. 2015, 93, 513–533. [Google Scholar] [CrossRef]
- Hoshina, Y.; Fujita, K.; Nakazawa, F.; Iizuka, Y.; Miyake, T.; Hirabayashi, M.; Kuramoto, T.; Fujita, S.; Motoyama, H. Effect of accumulation rate on water stable isotopes of near-surface snow in inland Antarctica. J. Geophys. Res. Atmos. 2014, 119, 274–283. [Google Scholar] [CrossRef]
- Touzeau, A.; Landais, A.; Morin, S.; Arnaud, L.; Picard, G. Numerical experiments on vapor diffusion in polar snow and firn and its impact on isotopes using the multi-layer energy balance model Crocus in SURFEX v8.0. Geosci. Model Dev. 2018, 11, 2393–2418. [Google Scholar] [CrossRef]
- Casado, M.; Landais, A.; Picard, G.; Münch, T.; Laepple, T.; Stenni, B.; Dreossi, G.; Ekaykin, A.A.; Arnaud, L.; Genthon, C.; et al. Archival processes of the water stable isotope signal in East Antarctic ice cores. Cryosphere 2018, 12, 1745–1766. [Google Scholar] [CrossRef]
- Lenaerts, J.T.M.; Broeke, M.R.V.D. Modeling drifting snow in Antarctica with a regional climate model: 2. Results. J. Geophys. Res. Space Phys. 2012, 117, D05108. [Google Scholar] [CrossRef]
- Ekaykin, A.A.; Hondoh, T.; Lipenkov, V.Y.; Miyamoto, A. Post-depositional changes in snow isotope content: Preliminary results of laboratory experiments. Clim. Past Discuss. 2009, 5, 2239–2267. [Google Scholar] [CrossRef]
- Ritter, F.; Steen-Larsen, H.C.; Werner, M.; Masson-Delmotte, V.; Orsi, A.; Behrens, M.; Birnbaum, G.; Freitag, J.; Risi, C.; Kipfstuhl, S. Isotopic exchange on the diurnal scale between near-surface snow and lower atmospheric water vapor at Kohnen station, East Antarctica. Cryosphere 2016, 10, 1647–1663. [Google Scholar] [CrossRef]
- Johnsen, S.J.; Clausen, H.B.; Cuffey, K.M.; Hoffmann, G.; Schwander, J.; Creyts, T. Diffusion of stable isotopes in polar firn and ice: The isotope effect in firn diffusion. In Physics of Ice Core Records; Hokkaido University Press: Kita-ku, Japan, 2000; pp. 121–140. [Google Scholar]
- Town, M.S.; Warren, S.G.; Walden, V.P.; Waddington, E.D. Effect of atmospheric water vapor on modification of stable isotopes in near-surface snow on ice sheets. J. Geophys. Res. Space Phys. 2008, 113, 24303. [Google Scholar] [CrossRef]
- Laepple, T.; Münch, T.; Casado, M.; Hörhold, M.; Landais, A.; Kipfstuhl, S. On the similarity and apparent cycles of isotopic variations in East Antarctic snow pits. Cryosphere 2018, 12, 169–187. [Google Scholar] [CrossRef]
- Holme, C.; Gkinis, V.; Vinther, B. Molecular diffusion of stable water isotopes in polar firn as a proxy for past temperatures. Geochim. et Cosmochim. Acta 2018, 225, 128–145. [Google Scholar] [CrossRef]
- Xiao, C.; Li, Y.; Hou, S.; Allison, I.; Bian, L.; Ren, J. Preliminary evidence indicating Dome A (Antarctica) satisfying preconditions for drilling the oldest ice core. Chin. Sci. Bull. 2008, 53, 102–106. [Google Scholar] [CrossRef]
- Zhao, L.; Moore, J.C.; Sun, B.; Tang, X.; Guo, X. Where is the 1-million-year-old ice at Dome A? Cryosphere 2018, 12, 1651–1663. [Google Scholar] [CrossRef]
- Ding, M.; Xiao, C.; Jin, B.; Ren, J.; Qin, D.; Sun, W. Distribution of δ 18O in surface snow along a transect from Zhongshan Station to Dome A, East Antarctica. Chin. Sci. Bull. 2010, 55, 2709–2714. [Google Scholar] [CrossRef]
- Xiao, C.; Ding, M.; Delmotte, V.M.; Zhang, R.; Jin, B.; Ren, J.; Li, C.; Werner, M.; Wang, Y.; Cui, X.; et al. Stable isotopes in surface snow along a traverse route from Zhongshan station to Dome A, East Antarctica. Clim. Dyn. 2012, 41, 2427–2438. [Google Scholar] [CrossRef]
- Pang, H.; Hou, S.; Landais, A.; Masson-Delmotte, V.; Prie, F.; Steen-Larsen, H.C.; Risi, C.; Li, Y.; Jouzel, J.; Wang, Y.; et al. Spatial distribution of 17O-excess in surface snow along a traverse from Zhongshan station to Dome A, East Antarctica. Earth Planet. Sci. Lett. 2015, 414, 126–133. [Google Scholar] [CrossRef]
- Pang, H.; Hou, S.; Landais, A.; Masson-Delmotte, V.; Jouzel, J.; Steen-Larsen, H.C.; Risi, C.; Zhang, W.; Wu, S.-Y.; Li, Y.; et al. Influence of Summer Sublimation on δD, δ18O, and δ17O in Precipitation, East Antarctica, and Implications for Climate Reconstruction From Ice Cores. J. Geophys. Res. Atmos. 2019, 124, 7339. [Google Scholar] [CrossRef]
- Ma, T.; Li, L.; Li, Y.; An, C.; Yu, J.; Ma, H.; Jiang, S.; Shi, G. Stable isotopic composition in snowpack along the traverse from a coastal location to Dome A (East Antarctica): Results from observations and numerical modeling. Polar Sci. 2020, 100510. (In press) [CrossRef]
- Yan, M.; Li, Y.; Hammer, C.; Gundestrup, N.S.; Tan, D.; Wen, J.; Wang, D.; Sun, B.; Kang, J.; Liu, L. Oxygen isotope composition of surface snow collected along the traverse route from Zhongshan Station toward Dome A, Antarctica. Chin. J. Polar Res. 2002, 16, 133–139. [Google Scholar]
- Kang, J.; Jouzel, J.; Stievenard, M.; Qin, D.; Liu, L.; Wang, D.; Li, J. Variation of stable isotopes in surface snow along a traverse from coast to plateau’s interior in East Antarctica and its climatic significance. Sci. Cold Arid Reg. 2009, 1, 14–24. [Google Scholar]
- Shi, G.; Chai, J.; Zhu, Z.; Hu, Z.; Chen, Z.; Yu, J.; Ma, T.; Ma, H.; An, C.; Jiang, S.; et al. Isotope Fractionation of Nitrate During Volatilization in Snow: A Field Investigation in Antarctica. Geophys. Res. Lett. 2019, 46, 3287–3297. [Google Scholar] [CrossRef]
- Ma, Y.; Bian, L.; Xiao, C.; Allison, I.; Zhou, X. Near surface climate of the traverse route from Zhongshan Station to Dome A, East Antarctica. Antarct. Sci. 2010, 22, 443–459. [Google Scholar] [CrossRef]
- Hou, S.; Li, Y.; Xiao, C.; Ren, J. Recent accumulation rate at Dome A, Antarctica. Chin. Sci. Bull. 2007, 52, 428–431. [Google Scholar] [CrossRef]
- Ding, M.; Xiao, C.; Yang, Y.; Wang, Y.; Li, C.; Yuan, N.; Shi, G.; Sun, M.; Ming, J. Re-assessment of recent (2008–2013) surface mass balance over Dome Argus, Antarctica. Polar Res. 2016, 35, 26133. [Google Scholar] [CrossRef][Green Version]
- Van Der Wel, G.; Fischer, H.; Oerter, H.; Meyer, H.; Meijer, H.A.J. Estimation and calibration of the water isotope differential diffusion length in ice core records. Cryosphere 2015, 9, 1601–1616. [Google Scholar] [CrossRef]
- Dittmann, A.; Schlosser, E.; Delmotte, V.M.; Powers, J.G.; Manning, K.W.; Werner, M.; Fujita, K. Precipitation regime and stable isotopes at Dome Fuji, East Antarctica. Atmos. Chem. Phys. Discuss. 2016, 16, 6883–6900. [Google Scholar] [CrossRef]
- Landais, A.; Ekaykin, A.; Barkan, E.; Winkler, R.; Luz, B. Seasonal variations of 17 O-excess and d-excess in snow precipitation at Vostok station, East Antarctica. J. Glaciol. 2012, 58, 725–733. [Google Scholar] [CrossRef]
- Fujita, K.; Abe, O. Stable isotopes in daily precipitation at Dome Fuji, East Antarctica. Geophys. Res. Lett. 2006, 33, L18503. [Google Scholar] [CrossRef]
- Gustafson, J.R.; Brooks, P.D.; Molotch, N.P.; Veatch, W. Estimating snow sublimation using natural chemical and isotopic tracers across a gradient of solar radiation. Water Resour. Res. 2010, 46, 12511. [Google Scholar] [CrossRef]
- Delmas, R.J.; Kirchner, S.; Palais, J.M.; Petit, J.R. 1000 years of explosive volcanism recorded at the South Pole. Tellus 1992, 44, 335–350. [Google Scholar] [CrossRef]
- Cole-Dai, J.; Mosley-Thompson, E.; Wight, S.P.; Thompson, L.G. A 4100-year record of explosive volcanism from an East Antarctica ice core. J. Geophys. Res. Space Phys. 2000, 105, 24431–24441. [Google Scholar] [CrossRef]








| Locations | δ18O-T Slope (‰·°C−1) | Reference | |
|---|---|---|---|
| Summer Precipitation | Local Surface Snow | ||
| Dome A | not significantly different from zero | not significantly different from zero | This study; [26] |
| Dome C | 0.89 | 0.22–0.49 | [4,13] |
| Vostok | 0.59 | 0.35 (blowing snow) | [5,36] |
| Dome F | 0.77 | 0.76 (including precipitation) | [11,37] |
| Antarctica | / | 0.80 | [4] |
| The Fraction of Noise | R | RMSE (‰) | NSE |
|---|---|---|---|
| 0.05 | 0.39 | 2.17 | 0.05 |
| 0.5 | 0.44 | 2.01 | 0.26 |
| 0.9 | 0.48 | 1.95 | 0.47 |
© 2020 by the authors. Licensee MDPI, Basel, Switzerland. This article is an open access article distributed under the terms and conditions of the Creative Commons Attribution (CC BY) license (http://creativecommons.org/licenses/by/4.0/).
Share and Cite
Ma, T.; Li, L.; Shi, G.; Li, Y. Acquisition of Post-Depositional Effects on Stable Isotopes (δ18O and δD) of Snow and Firn at Dome A, East Antarctica. Water 2020, 12, 1707. https://doi.org/10.3390/w12061707
Ma T, Li L, Shi G, Li Y. Acquisition of Post-Depositional Effects on Stable Isotopes (δ18O and δD) of Snow and Firn at Dome A, East Antarctica. Water. 2020; 12(6):1707. https://doi.org/10.3390/w12061707
Chicago/Turabian StyleMa, Tianming, Li Li, Guitao Shi, and Yuansheng Li. 2020. "Acquisition of Post-Depositional Effects on Stable Isotopes (δ18O and δD) of Snow and Firn at Dome A, East Antarctica" Water 12, no. 6: 1707. https://doi.org/10.3390/w12061707
APA StyleMa, T., Li, L., Shi, G., & Li, Y. (2020). Acquisition of Post-Depositional Effects on Stable Isotopes (δ18O and δD) of Snow and Firn at Dome A, East Antarctica. Water, 12(6), 1707. https://doi.org/10.3390/w12061707

