A Systems Approach to Municipal Water Portfolio Security: A Case Study of the Phoenix Metropolitan Area
Abstract
1. Introduction
2. Materials and Methods
2.1. Water SRVC Model Data Requirements
2.2. Measuring Shock, Stress, Sustainability, Vulnerability, and Adaptation
2.3. The Components of Municipal Water Portfolio Adaptive Capacity
Measuring Municipal Water Portfolio Adaptive Resilience
2.4. DTC, an Index of Municipal Water Portfolio Vulnerability
2.5. Water Supply Portfolio Cost
3. Case Study: The Phoenix Metropolitan Area Water Portfolio
3.1. Surface Water Supply Options
3.2. Groundwater Supply and Storage Options
3.3. Effluent Water Supply Options
3.4. Conservation and Nature-Based Water Supply Options
3.5. Water SRVC Model Assumptions
3.6. Water SRVC Model Scenarios
4. Results
4.1. Structural Water Deficits
4.2. Sustainability
4.3. Resilience
4.4. Vulnerability
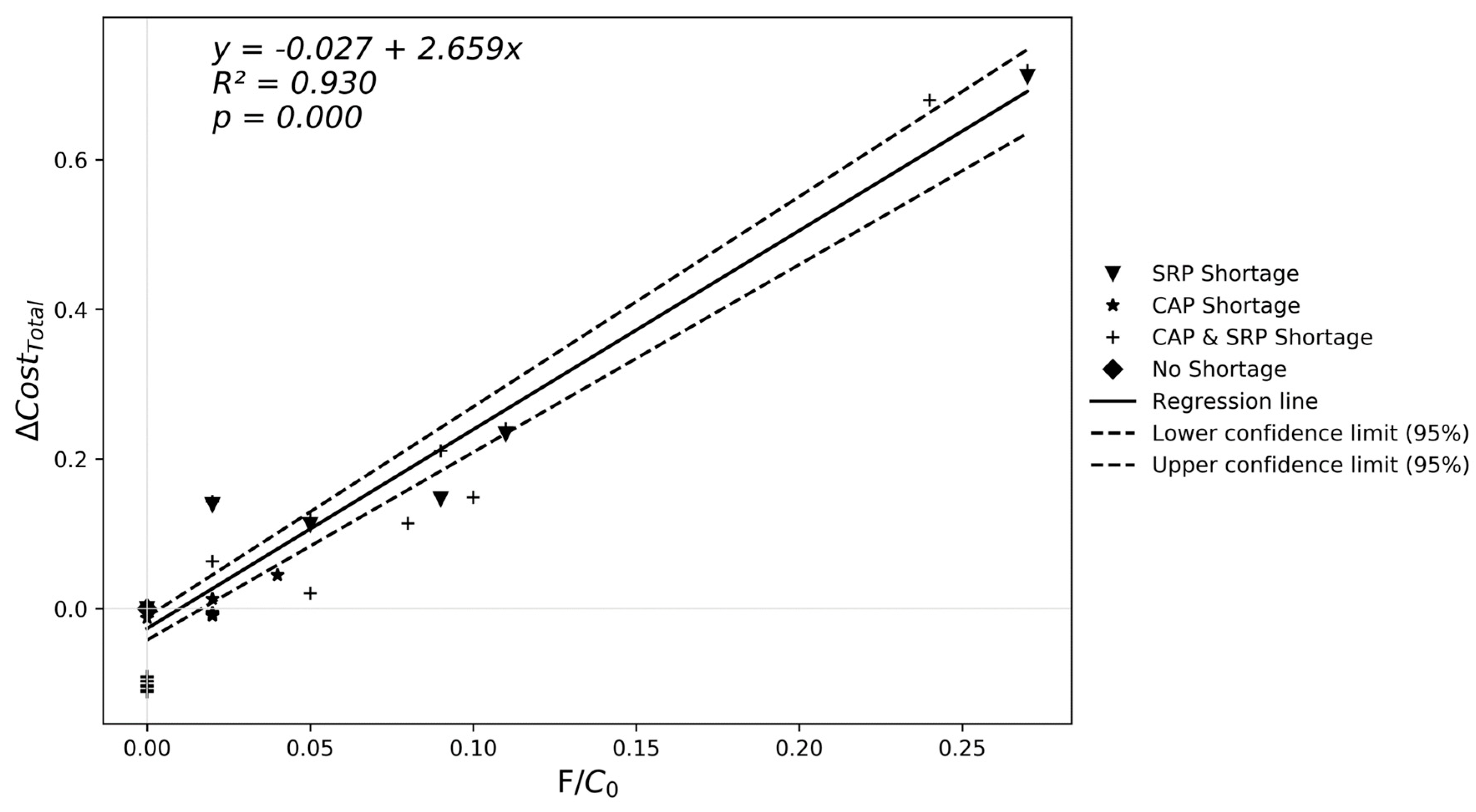
4.5. Water Supply Costs
4.6. Tradeoffs between S, R, V, and C
5. Discussion
6. Conclusions
Supplementary Materials
Author Contributions
Funding
Acknowledgments
Conflicts of Interest
References
- Hering, J.G.; Waite, T.D.; Luthy, R.G.; Drewes, J.E.; Sedlak, D.L. A Changing Framework for Urban Water Systems. Environ. Sci. Technol. 2013, 47, 10721–10726. [Google Scholar] [CrossRef]
- Pincetl, S.; Porse, E.; Cheng, D. Fragmented Flows: Water Supply in Los Angeles County. Environ. Manag. 2016, 58, 208–222. [Google Scholar] [CrossRef] [PubMed]
- Herman, J.D.; Reed, P.M.; Zeff, H.B.; Characklis, G.W. How Should Robustness Be Defined for Water Systems Planning under Change? J. Water Resour. Plan. Manag. 2015, 141, 04015012. [Google Scholar] [CrossRef]
- Zeff, H.; Kasprzyk, J.; Herman, J.D.; Reed, P.M.; Characklis, G.W. Navigating financial and supply reliability tradeoffs in regional drought management portfolios. Water Resour. Res. 2014, 50, 4906–4923. [Google Scholar] [CrossRef]
- Griscom, B.; Adams, J.; Ellis, P.W.; Houghton, R.A.; Lomax, G.; Miteva, D.A.; Schlesinger, W.H.; Shoch, D.; Siikamäki, J.V.; Smith, P.; et al. Natural climate solutions. Proc. Natl. Acad. Sci. USA 2017, 114, 11645–11650. [Google Scholar] [CrossRef]
- Kabisch, N.; Frantzeskaki, N.; Pauleit, S.; Naumann, S.; Davis, M.; Artmann, M.; Haase, D.; Knapp, S.; Korn, H.; Stadler, J.; et al. Nature-based solutions to climate change mitigation and adaptation in urban areas: Perspectives on indicators, knowledge gaps, barriers, and opportunities for action. Ecol. Soc. 2016, 21. [Google Scholar] [CrossRef]
- Taleb, N.N. The Black Swan: The Impact of the Highly Improbable; Random House Trade Paperbacks: New York, NY, USA, 2010; Available online: https://books.google.com/books?id=GSBcQVd3MqYC (accessed on 28 June 2017).
- Brede, M.; De Vries, B.J. Networks that optimize a trade-off between efficiency and dynamical resilience. Phys. Lett. A 2009, 373, 3910–3914. [Google Scholar] [CrossRef]
- Holling, C.S. Engineering Resilience versus Ecological Resilience. In Engineering within Ecological Constraints; Peter, S., Ed.; National Academies Press: Washington, DC, USA, 1996. [Google Scholar]
- Ulanowicz, R.E.; Goerner, S.J.; Lietaer, B.; Gomez, M.D.R. Quantifying sustainability: Resilience, efficiency and the return of information theory. Ecol. Complex. 2009, 6, 27–36. [Google Scholar] [CrossRef]
- Brown, C.M.; Lund, J.R.; Cai, X.; Reed, P.M.; Zagona, E.; Ostfeld, A.; Hall, J.; Characklis, G.W.; Yu, W.; Brekke, L. The future of water resources systems analysis: Toward a scientific framework for sustainable water management. Water Resour. Res. 2015, 51, 6110–6124. [Google Scholar] [CrossRef]
- Matrosov, E.S.; Huskova, I.; Kasprzyk, J.; Harou, J.; Lambert, C.; Reed, P.M. Many-objective optimization and visual analytics reveal key trade-offs for London’s water supply. J. Hydrol. 2015, 531, 1040–1053. [Google Scholar] [CrossRef]
- Reed, P.M.; Brooks, R.P.; Davis, K.J.; Dewalle, D.R.; Dressler, K.A.; Duffy, C.J.; Lin, H.; Miller, D.A.; Najjar, R.G.; Salvage, K.M.; et al. Bridging river basin scales and processes to assess human-climate impacts and the terrestrial hydrologic system. Water Resour. Res. 2006, 42. [Google Scholar] [CrossRef]
- Zeff, H.; Herman, J.D.; Reed, P.M.; Characklis, G.W. Cooperative drought adaptation: Integrating infrastructure development, conservation, and water transfers into adaptive policy pathways. Water Resour. Res. 2016, 52, 7327–7346. [Google Scholar] [CrossRef]
- Hashimoto, T.; Stedinger, J.R.; Loucks, D.P. Reliability, resiliency, and vulnerability criteria for water resource system performance evaluation. Water Resour. Res. 1982, 18, 14–20. [Google Scholar] [CrossRef]
- Rosenberg, D.E.; Tarawneh, T.; Lund, J.R.; Abdel-Khaleq, R. Modeling integrated water user decisions in intermittent supply systems. Water Resour. Res. 2007, 43. [Google Scholar] [CrossRef]
- Walker, B.; Kinzig, A.; Langridge, J. Original Articles: Plant Attribute Diversity, Resilience, and Ecosystem Function: The Nature and Significance of Dominant and Minor Species. Ecosystems 1999, 2, 95–113. [Google Scholar] [CrossRef]
- Allenby, B.; Fink, J. Social and ecological resilience: Toward inherently secure and resilient societies. Science 2000, 24, 347–364. [Google Scholar]
- Kirsch, B.; Characklis, G.W.; Dillard, K.E.M.; Kelley, C. More efficient optimization of long-term water supply portfolios. Water Resour. Res. 2009, 45. [Google Scholar] [CrossRef]
- Kasprzyk, J.; Reed, P.M.; Kirsch, B.R.; Characklis, G.W. Managing population and drought risks using many-objective water portfolio planning under uncertainty. Water Resour. Res. 2009, 45, 12401. [Google Scholar] [CrossRef]
- Boulay, A.-M.; Bare, J.; De Camillis, C.; Döll, P.; Gassert, F.; Gerten, D.; Humbert, S.; Inaba, A.; Itsubo, N.; Lemoine, Y.; et al. Consensus building on the development of a stress-based indicator for LCA-based impact assessment of water consumption: Outcome of the expert workshops. Int. J. Life Cycle Assess. 2015, 20, 577–583. [Google Scholar] [CrossRef]
- Nicklow, J.W.; Reed, P.M.; Savic, D.; Dessalegne, T.; Harrell, L.; Chan-Hilton, A.; Karamouz, M.; Minsker, B.; Ostfeld, A.; Singh, A.; et al. State of the Art for Genetic Algorithms and Beyond in Water Resources Planning and Management. J. Water Resour. Plan. Manag. 2010, 136, 412–432. [Google Scholar] [CrossRef]
- Meadows, D.; Randers, J.; Meadows, D. Limits to Growth: The 30-Year Update; Chelsea Green Publishing: Hartford, VT, USA, 2004. [Google Scholar]
- World Commission on Environment and Development. Our Common Future; Oxford University Press: Oxford, UK, 1987. [Google Scholar]
- Paté-Cornell, E. On “Black Swans” and “Perfect Storms”: Risk Analysis and Management When Statistics Are Not Enough. Risk Anal. 2012, 32, 1823–1833. [Google Scholar] [CrossRef] [PubMed]
- Ruddell, B.L.; Kumar, P. Ecohydrologic process networks: 1. Identification. Water Resour. Res. 2009, 45. [Google Scholar] [CrossRef]
- Ruddell, B.L.; Kumar, P. Ecohydrologic process networks: 2. Analysis and characterization. Water Resour. Res. 2009, 45. [Google Scholar] [CrossRef]
- Boulay, A.-M.; Bare, J.; Benini, L.; Berger, M.; Lathuillière, M.J.; Manzardo, A.; Margni, M.; Masaharu, M.; Núñez, M.; Pastor, A.V.; et al. The WULCA consensus characterization model for water scarcity footprints: Assessing impacts of water consumption based on available water remaining (AWARE). Int. J. Life Cycle Assess. 2017, 23, 368–378. [Google Scholar] [CrossRef]
- Messerschmidt, M.; The Nature Conservancy of Arizona, Tucson, AZ, USA. Personal Communication—Verde River Water Market Analysis. 2016. [Google Scholar]
- Smith, R.; Kasprzyk, J.; Basdekas, L. Experimenting with Water Supply Planning Objectives Using the Eldorado Utility Planning Model Multireservoir Testbed. J. Water Resour. Plan. Manag. 2018, 144, 04018046. [Google Scholar] [CrossRef]
- US Census Bureau. Annual Estimates of the Resident Population: April 1, 2010 to July 1, 2016. Available online: https://factfinder.census.gov/faces/tableservices/jsf/pages/productview.xhtml?pid=PEP_2016_PEPANNRES&src=pt (accessed on 3 May 2017).
- Brean, H. Lake Mead Likely to Skirt Shortage Line for Another Year. Las Vegas Review-Journal, August 16. Available online: https://www.reviewjournal.com/local/local-nevada/lake-mead-likely-to-skirt-shortage-line-for-another-year/ (accessed on 3 May 2017).
- McKinnon, S. SRP Will Extend Water Ration. The Arizona Republic, 9 September 2003. [Google Scholar]
- Ruddell, B.L.; Adams, E.A.; Rushforth, R.; Tidwell, V.C. Embedded resource accounting for coupled natural-human systems: An application to water resource impacts of the western U.S. electrical energy trade. Water Resour. Res. 2014, 50, 7957–7972. [Google Scholar] [CrossRef]
- Rushforth, R.; Adams, E.A.; Ruddell, B.L. Generalizing ecological, water and carbon footprint methods and their worldview assumptions using Embedded Resource Accounting. Water Resour. Ind. 2013, 1, 77–90. [Google Scholar] [CrossRef]
- Brochure from the Nature Conservancy. Subject: Summary of River Projects Proposed Verde Valley 2017. Personal Communication with M. Messerschmidt, 2018. 2016. [Google Scholar]
- Robles, M.D.; Marshall, R.M.; O’Donnell, F.C.; Smith, E.B.; Haney, J.A.; Gori, D.F. Effects of Climate Variability and Accelerated Forest Thinning on Watershed-Scale Runoff in Southwestern USA Ponderosa Pine Forests. PLoS ONE 2014, 9, e111092. [Google Scholar] [CrossRef]
- Baker, M.B. Effects of Ponderosa Pine Treatments on Water Yield in Arizona. Water Resour. Res. 1986, 22, 67–73. [Google Scholar] [CrossRef]
- Moreno, H.A.; Gupta, H.V.; White, D.; Sampson, D.A. Modeling the distributed effects of forest thinning on the long-term water balance and streamflow extremes for a semi-arid basin in the southwestern US. Hydrol. Earth Syst. Sci. 2016, 20, 1241–1267. [Google Scholar] [CrossRef]
- Seager, R.; Ting, M.; Held, I.; Kushnir, Y.; Lu, J.; Vecchi, G.A.; Huang, H.-P.; Harnik, N.; Leetmaa, A.; Lau, N.-C.; et al. Model Projections of an Imminent Transition to a More Arid Climate in Southwestern North America. Science 2007, 316, 1181–1184. [Google Scholar] [CrossRef] [PubMed]
- Seager, R.; Ting, M.; Li, C.; Naik, N.; Cook, B.; Nakamura, J.; Liu, H. Projections of declining surface-water availability for the southwestern United States. Nat. Clim. Chang. 2012, 3, 482–486. [Google Scholar] [CrossRef]
- Ellis, A.; Hawkins, T.; Bailing, R.; Gober, P. Estimating future runoff levels for a semi-arid fluvial system in central Arizona, USA. Clim. Res. 2008, 35, 227–239. [Google Scholar] [CrossRef]
- Westerling, A.L.; Hidalgo, H.G.; Cayan, D.R.; Swetnam, T.W. Warming and Earlier Spring Increase Western U.S. Forest Wildfire Activity. Science 2006, 313, 940–943. [Google Scholar] [CrossRef] [PubMed]
- Gober, P.; Kirkwood, C.W. Vulnerability assessment of climate-induced water shortage in Phoenix. Proc. Natl. Acad. Sci. USA 2010, 107, 21295–21299. [Google Scholar] [CrossRef] [PubMed]
- Janofsky, M. Arizona Awakens to Drought as Lakes Shrink and Harm Spreads. The New York Times. 27 January 2003. Available online: http://www.nytimes.com/2003/01/27/us/arizona-awakens-to-drought-as-lakes-shrink-and-harm-spreads.html (accessed on 28 June 2017).
- Salt River Project. 2016 Annual Report: Annual Water Withdrawal and Use Irrigation District; Arizona Department of Water Resources: Phoenix, AZ, USA, 2017. [Google Scholar]
- Gleick, P.H. The Effects of Future Climatic Changes on International Water Resources: The Colorado River, the United States, and Mexico. Policy Sci. 1988, 21, 23–39. [Google Scholar] [CrossRef]
- MacDonnell, L.J.; Getches, D.H.; Hugenberg, W.C. The Law of the Colorado River: Coping with Severe Sustained Drought. J. Am. Water Resour. Assoc. 1995, 31, 825–836. [Google Scholar] [CrossRef]
- Central Arizona Project. Water Deliveries—Calendar Year 2017. 2017. Available online: https://www.cap-az.com/departments/water-operations/deliveries (accessed on 3 May 2017).
- Webinar by Danial Bunk. Management of Colorado River Reservoirs and Current State of the System. 18 May 2016. Available online: http://www.cap-az.com/documents/shortage/Introduction-Colorado-River-Briefing.pdf (accessed on 3 May 2017).
- Webinar by Ted Cooke, General Manager, Central Arizona Project May 18 2016. Colorado River Shortage Briefing: Arizona’s Plans in Action. Available online: http://www.cap-az.com/documents/shortage/Introduction-Colorado-River-Briefing.pdf (accessed on 3 May 2017).
- Jacobs, K.L.; Holway, J.M. Managing for sustainability in an arid climate: Lessons learned from 20 years of groundwater management in Arizona, USA. Hydrogeol. J. 2004, 12, 52–65. [Google Scholar] [CrossRef]
- Megdal, S.B.; Dillon, P.J.; Seasholes, K. Water Banks: Using Managed Aquifer Recharge to Meet Water Policy Objectives. Water 2014, 6, 1500–1514. [Google Scholar] [CrossRef]
- Arizona Department of Water Resources. Decision and Order No. 86-002003.0001 (City of Avondale Designation as Having and Assured Water Supply): Attachment A. 2010. Available online: https://infoshare.azwater.gov/docushare/dsweb/HomePage (accessed on 3 May 2017).
- Arizona Department of Water Resources. Decision and Order No. 86-002009.0001 (City of Chandler Designation as Having and Assured Water Supply): Attachment A. 2010. Available online: https://infoshare.azwater.gov/docushare/dsweb/HomePage (accessed on 3 May 2017).
- Arizona Department of Water Resources. Decision and Order No. 86-002019.0001 (City of Goodyear Designation as Having and Assured Water Supply): Attachment A. 2010. Available online: https://infoshare.azwater.gov/docushare/dsweb/HomePage (accessed on 3 May 2017).
- Arizona Department of Water Resources. Decision and Order No. 86-002023.0001 (City of Mesa Designation as Having and Assured Water Supply): Attachment A. 2010. Available online: https://infoshare.azwater.gov/docushare/dsweb/HomePage (accessed on 3 May 2017).
- Arizona Department of Water Resources. Decision and Order No. 86-002030.0001 (City of Phoenix Designation as Having and Assured Water Supply): Attachment A. 2010. Available online: https://infoshare.azwater.gov/docushare/dsweb/HomePage (accessed on 3 May 2017).
- Arizona Department of Water Resources. Decision and Order No. 86-002043.0001 (City of Tempe Designation as Having and Assured Water Supply): Attachment A. 2010. Available online: https://infoshare.azwater.gov/docushare/dsweb/HomePage (accessed on 3 May 2017).
- Arizona Department of Water Resources. Decision and Order No. 86-400619.0001 (City of Scottsdale Designation as Having and Assured Water Supply): Attachment A. 2010. Available online: https://infoshare.azwater.gov/docushare/dsweb/HomePage (accessed on 3 May 2017).
- Arizona Department of Water Resources. Decision and Order No. 86-400679.0001 (City of Peoria Designation as Having and Assured Water Supply): Attachment A. 2010. Available online: https://infoshare.azwater.gov/docushare/dsweb/HomePage (accessed on 3 May 2017).
- Arizona Department of Water Resources. Decision and Order No. 86-402208.0001 (Town of Gilbert Designation as Having and Assured Water Supply): Attachment A. 2010. Available online: https://infoshare.azwater.gov/docushare/dsweb/HomePage (accessed on 3 May 2017).
- Arizona Department of Water Resources. Decision and Order No. 860002018.001 (City of Glendale Designation as Having an Assured Water Supply): Attachment A. 2010. Available online: https://infoshare.azwater.gov/docushare/dsweb/HomePage (accessed on 3 May 2017).
- Lauver, L.; A Baker, L. Mass balance for wastewater nitrogen in the Central Arizona–Phoenix ecosystem. Water Res. 2000, 34, 2754–2760. [Google Scholar] [CrossRef]
- Messerschmidt, M.; The Nature Conservancy of Arizona, Tucson, AZ, USA. Personal Communication—Preliminary Flow Data. 2016. [Google Scholar]
- Gardner, R.; Ostrom, E.; Walker, J.M. The Nature of Common-Pool Resource Problems. Ration. Soc. 1990, 2, 335–358. [Google Scholar] [CrossRef]
- Salt River Project. 2016 Runoff Season Falls Short of Promise. 2016. Available online: http://www.srpnet.com/newsroom/releases/080316.aspx (accessed on 3 May 2017).
- Webinar by Clint Chandler, Assistant Director of Water Planning and Permitting, Central Arizona Project. Colorado River Shortage Briefing—Introduction. 18 May 2016. Available online: http://www.cap-az.com/documents/shortage/Introduction-Colorado-River-Briefing.pdf (accessed on 3 May 2017).
- Arizona Department of Water Resources. Data Center. 2017. Available online: https://infoshare.azwater.gov/docushare/dsweb/HomePage (accessed on 3 May 2017).
- Arizona Department of Water Resources. Long-Term Storage Account Summary. 2017. Available online: http://www.azwater.gov/azdwr/WaterManagement/Recharge/documents/2016LTSASummary05-31-17mro.pdf (accessed on 3 May 2017).
- Arizona Department of Water Resources. Preliminary DRAFT 4MP Total GPCD Program. 2012. Available online: http://www.azwater.gov/AzDWR/WaterManagement/AMAs/documents/GUAC_4MP_GPCD_PROGRAM_PHXAMA.pdf (accessed on 3 May 2017).
- Simonit, S.; Connors, J.P.; Yoo, J.; Kinzig, A.; Perrings, C. The Impact of Forest Thinning on the Reliability of Water Supply in Central Arizona. PLoS ONE 2015, 10, e0121596. [Google Scholar] [CrossRef] [PubMed]
- Li, Y.P.; Huang, G.H.; Cui, L.; Liu, J. Mathematical Modeling for Identifying Cost-Effective Policy of Municipal Solid Waste Management under Uncertainty. J. Environ. Inform. 2019, 34, 55–67. [Google Scholar] [CrossRef]
- Malagó, A.; Vigiak, O.; Bouraoui, F.; Pagliero, L.; Franchini, M. The hillslope length impact on SWAT streamflow prediction in large basins. J. Environ. Inform. 2018, 32, 82–97. [Google Scholar] [CrossRef]
- Zhou, P.; Li, Z.; Snowling, S.; Goel, R.; Zhang, Q.; Solutions, I.H.E.S. Short-Term Wastewater Influent Prediction Based on Random Forests and Multi-Layer Perceptron. J. Environ. Inform. Lett. 2019, 1, 87–93. [Google Scholar] [CrossRef]
- Wu, Q.; Xia, X. Response of Surface Water Quality in Urban and Non-urban Areas to Heavy Rainfall: Implications for the Impacts of Climate Change. J. Environ. Inform. Lett. 2019, 1, 27–36. [Google Scholar] [CrossRef]
- Hogue, T.S.; Pincetl, S. Are you watering your lawn? Science 2015, 348, 1319–1320. [Google Scholar] [CrossRef]
- Campbell, H.E.; Johnson, R.M.; Larson, E.H. Prices, Devices, People, or Rules: The Relative Effectiveness of Policy Instruments in Water Conservation1. Rev. Policy Res. 2004, 21, 637–662. [Google Scholar] [CrossRef]
- McManamay, R.A.; Nair, S.S.; DeRolph, C.R.; Ruddell, B.L.; Morton, A.M.; Stewart, R.N.; Troia, M.J.; Tran, L.; Kim, H.; Bhaduri, B.L. US cities can manage national hydrology and biodiversity using local infrastructure policy. Proc. Natl. Acad. Sci. USA 2017, 114, 9581–9586. [Google Scholar] [CrossRef]
- Scanlon, B.R.; Ruddell, B.L.; Reed, P.M.; Hook, R.I.; Zheng, C.; Tidwell, V.C.; Siebert, S. The food-energy-water nexus: Transforming science for society. Water Resour. Res. 2017, 53, 3550–3556. [Google Scholar] [CrossRef]
- Brookshire, D.S.; Colby, B.; Ewers, M.; Ganderton, P.T. Market prices for water in the semiarid West of the United States. Water Resour. Res. 2004, 40. [Google Scholar] [CrossRef]
- Kenney, D.S. Understanding Utility Disincentives to Water Conservation as a Means of Adapting to Climate Change Pressures. J. Am. Water Works Assoc. 2014, 106, 36–46. [Google Scholar] [CrossRef]









| Requirement | Description |
|---|---|
| 1. | The identity of each online and potential water source and its capacity limitations. |
| 2. | The operating and capital costs of each online or potential water supply option, where cost includes monetized estimates of risk and insurance against risk. |
| 3. | The time delay required to develop each potential water source. |
| 4. | Sustainability of each water source measured as storage depletion at a given consumption rate. |
| 5. | Current and future Demand-to-Availability on online and potential water sources |
| 6. | Curtailment and conservation options available. |
| 7. | Quantities of water supply and consumption defining each planning scenario, e.g., climate change and growth in population. |
| 8. | The legal, hydrological, and infrastructural capacity and utilization of that capacity to use each online and potential water source. |
| 9. | Water supply deficit contingency plans and pathways. |
| Current Online Water Sources | Contractual Water Categories | Description |
| Salt River Project | Normal Flow | The “Normal Flow” a city would receive from the Salt River had there been no surface water storage system built along the Salt River. |
| Stored and Developed Water | Water delivered to On-Project Lands as defined by the 1910 Kent Decree. | |
| Central Arizona Project | Municipal and Industrial (M&I) Subcontracts | Water leased directly to municipalities by the Central Arizona Water Conservation District |
| Indian Contracts | Water originally decreed for agricultural purposes on Native American reservations in Central and Southern Arizona but later obtained by municipalities by lease or exchange | |
| Non-Indian Agricultural Subcontracts | Water originally decreed for agricultural purposes Central and Southern Arizona but later obtained by municipalities by lease or exchange | |
| Central Arizona Project (CAP) Priority Water | Water obtained by municipalities via an exchange with the Wellton-Mohawk Irrigation District located in Yuma County for main stem Colorado River water | |
| Groundwater | — | |
| Potential Online Water Sources | Contractual Water Categories | Description |
| Type 2 Groundwater Rights | — | Grandfathered groundwater right established before Arizona’s 1980 Groundwater Management Act |
| Arizona Water Banking Authority (AWBA) | — | Purchased Long-Term Storage Credit of surface water banked by AWBA |
| Flow Augmentation | — | Thinning overgrown forests in the Salt-Verde Watershed. |
| Investing in irrigation efficiency in the Verde Valley and pledging water savings to in-stream flow. |
| Adaptive Water Option | Phoenix Active Management Area (AMA) AWBA Balance | CAP Lease (Short-Term) | CAP Lease (Long-Term) | Type 2 Lease | Colorado River |
|---|---|---|---|---|---|
| Water Source | AWBA | CAP | CAP | Groundwater | Colorado River |
| Total Annualized Cost a ($ ML−1 year−1) | 100–500 | 100–500 | 100–500 | 100–500 | 100–500 |
| Potential Capacity b, P0 (ML) | 1,373,503 b | ~729,643 c | ~729,643 c | 38,376 d | 972,857 e |
| Scenario | Description |
|---|---|
| Baseline Scenario (Base) | Current normal operations of the SRP and CAP water systems for PMA municipalities [46,54,55,56,57,58,59,60,61,62,63]. |
| Colorado River Current Drought Contingency Plan (CRB-D) | The U.S. Bureau of Reclamation declares a shortage on the Colorado River due to the summer elevation of Lake Mead dropping below 1075 ft. above mean sea level. CAP curtails water deliveries to municipalities according to the current drought contingency plan where Arizona takes deepest water cuts [48,50,51]. |
| Colorado River Draft Drought Contingency Plan (CRB-C) | The U.S. Bureau of Reclamation declares a shortage on the Colorado River due to the summer elevation of Lake Mead dropping below 1075 ft. above mean sea level. CAP curtails water deliveries to municipalities according to the draft contingency plan currently discussed by Arizona, California, and Nevada. Arizona takes deeper water cuts, but California and Nevada also take water cuts when the elevation of Lake Mead drops below 1075 ft. above mean sea level [48,50,51]. |
| Drought in the Salt River Watershed (SRD) | The SRP governing board reduces the Stored and Delivered Water multiplier to from 3 acre-feet per acre (9.144 ML ha−1) of on-project lands to 2 acre-feet per acre (6.096 ML ha−1) due ongoing drought in the Salt River Watershed. The scenario is based on the 2003 decision by the Salt River Project to reduce surface water deliveries to customers [33,45]. |
| Increased Verde River Watershed flows from Nature-Based Conservation (VR-NBF) | Augmentation of Verde River flow from various water conservation programs in the Verde River watershed, such as farm retirement and voluntary fallowing [65]. |
| Increased Verde River flows due to Upstream Forest Thinning (VR-FT) | Mechanically thinning ponderosa pine forests increases runoff by 20%, up to 18.1 to 42.9 million m3 per year on average over a 15-year thinning period [37,38]. However, increased runoff declines after a six-year period [37]. |
| Residential Conservation (PMA-RC) | Municipalities reduce water consumption by 10%, meeting or exceeding Phoenix Active Management Area 4th Management Plan Gallons Per Capita Day (GPCD) Targets. We chose a 10% threshold because Tolleson, due to its small size, is not part of the Phoenix AMA GPCD targets [71]. |
| Prolonged Drought in Salt-Verde Watershed (SRD-P) | The local impacts of climate change may permanently reduce Salt-Verde River watershed runoff. SRP estimates the 30-year median runoff is 659,093 ML year−1. Downscaled GCM models estimate a 23% runoff reduction [42]; streamflow data between 1996–2015 show a 64% reduction versus the long-term average [42,44,46]. |
| Combination of CRB-D and SRD (SRD-CRB-D) | A combination of scenarios CRB-C and SRD. |
| Combination of CRB-C, SRD, and PMA-RC (SRD-CRB-RC) | A combination of scenarios CRB-C, SRD, and PMA-RC. |
| Scenario | Δ Salt River Flow (ML year−1) | Curtailment Year (S, ΔS) |
|---|---|---|
| BASE | 0 | 2020 (4 year, -) |
| VR-NBF | 3556 | 2021 (5 year, +1) |
| VR-FT | 6413 | 2021 (5 year, +1) |
| PMA-RC | 69,435 | 2022 (6 year, +2) |
| VR-NBF, VR-FT, PMA-RC | 111,409 | 2022 (6 year, +3) |
| SRD-P | −162,143 | 2020 (4 year, 0) |
| VR-NBF, PMA-RC, SRD-P | −69,689 | 2020 (4 year, 0) |
| Municipality | V vs. C | |||||
|---|---|---|---|---|---|---|
| Slope | R2 | Slope | R2 | Slope | R2 | |
| Avondale | −0.02 | 0.06 | −0.02 | 0.12 | −0.15 | 0.02 |
| Chandler | 0.01 | 0.01 | −0.01 | 0.02 | 0.28 | 0.25 |
| Gilbert | 0.00 | 0.08 | 0.01 | 0.12 | −0.09 | 0.36 |
| Glendale | 0.00 | 0.03 | −0.01 | 0.19 | 0.18 | 0.04 |
| Goodyear | −4.25 | 0.07 | 1.46 | 0.02 | 0.00 | 0.00 |
| Mesa | 0.00 | 0.01 | 0.00 | 0.01 | 0.16 | 0.23 |
| Peoria | 0.00 | 0.02 | −0.01 | 0.33 | −0.18 | 0.02 |
| Phoenix | 0.00 | 0.23 | 0.01 | 0.43 | −0.08 | 0.53 |
| Phoenix Metro | 0.00 | 0.00 | 0.01 | 0.60 | −0.03 | 0.07 |
| Scottsdale | 0.00 | 0.01 | −0.01 | 0.01 | 0.18 | 0.26 |
| Tempe | 0.01 | 0.31 | 0.01 | 0.66 | −0.35 | 0.74 |
| Tolleson | 0.00 | 0.46 | 0.00 | 0.29 | −0.01 | 0.09 |
© 2020 by the authors. Licensee MDPI, Basel, Switzerland. This article is an open access article distributed under the terms and conditions of the Creative Commons Attribution (CC BY) license (http://creativecommons.org/licenses/by/4.0/).
Share and Cite
Rushforth, R.R.; Messerschmidt, M.; Ruddell, B.L. A Systems Approach to Municipal Water Portfolio Security: A Case Study of the Phoenix Metropolitan Area. Water 2020, 12, 1663. https://doi.org/10.3390/w12061663
Rushforth RR, Messerschmidt M, Ruddell BL. A Systems Approach to Municipal Water Portfolio Security: A Case Study of the Phoenix Metropolitan Area. Water. 2020; 12(6):1663. https://doi.org/10.3390/w12061663
Chicago/Turabian StyleRushforth, Richard R., Maggie Messerschmidt, and Benjamin L. Ruddell. 2020. "A Systems Approach to Municipal Water Portfolio Security: A Case Study of the Phoenix Metropolitan Area" Water 12, no. 6: 1663. https://doi.org/10.3390/w12061663
APA StyleRushforth, R. R., Messerschmidt, M., & Ruddell, B. L. (2020). A Systems Approach to Municipal Water Portfolio Security: A Case Study of the Phoenix Metropolitan Area. Water, 12(6), 1663. https://doi.org/10.3390/w12061663
