Short-Term Effects of Fertilization on Dissolved Organic Matter in Soil Leachate
Abstract
1. Introduction
- (A)
- Both, mineral and organic fertilization will increase the concentrations of leached dissolved organic carbon (DOC) in the soil pore water and will shift DOM composition towards more labile compounds.
- (B)
- Pore water of coarser textured sandy loam will exhibit higher DOC concentrations than finer textured silt loam soil.
2. Materials and Methods
2.1. Study Sites and Soil Sampling
2.2. Lysimeter Experiment
2.3. Chemical Analysis
2.3.1. Soil Sample
2.3.2. Soil Leachate
2.4. Soil Physical Analysis
2.5. DOM Characteristics
2.6. Quality Assurance and Statistical Analysis
3. Results
3.1. Leachate Chemistry
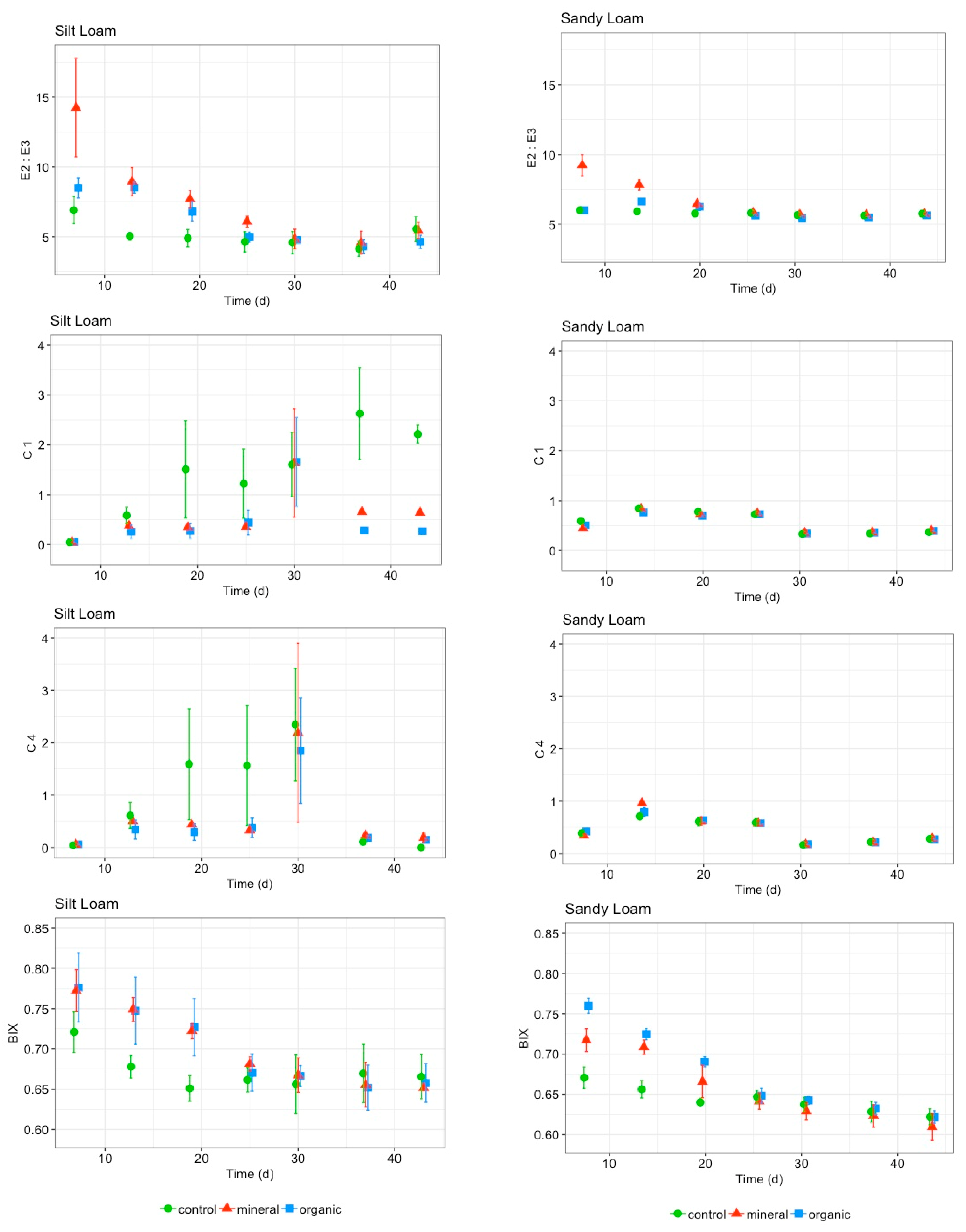
3.2. Composition of Leached Organic Matter
4. Discussion
4.1. Amounts of Leached DOC
4.2. Composition of Leached Organic Matter
5. Conclusions
Supplementary Materials
Author Contributions
Funding
Conflicts of Interest
References
- Davidson, E.A.; Janssens, I.A. Temperature sensitivity of soil carbon decomposition and feedbacks to climate change. Nature 2006, 440, 165–173. [Google Scholar] [CrossRef] [PubMed]
- Batjes, N.H. Total carbon and nitrogen in the soils of the world. Eur. J. Soil Sci. 2014, 65, 10–21. [Google Scholar] [CrossRef]
- FAO. Available online: http://www.fao.org/faostat/en/#data/RL (accessed on 10 September 2017).
- Bread Wheat: Improvement and Production; Curtis, B.C., Rajaram, S., Gómez Macpherson, H., Food and Agriculture Organization of the United Nations, Eds.; Plant Production and Protection Series; Food and Agriculture Organization of the United Nations: Rome, Italy, 2002; ISBN 978-92-5-104809-2. [Google Scholar]
- FAO. World Fertilizer Trends and Outlook to 2018. Available online: http://www.fao.org/3/a-i4324e.pdf (accessed on 10 September 2017).
- Jones, A.; Panagos, P.; Erhard, M.; Tóth, G.; Barcelo, S.; Bouraoui, F.; Bosco, C.; Dewitte, O.; Gardi, C.; Hervás, J.; et al. The State of Soil in Europe: A Contribution of the JRC to the European Environment Agency’s Environment State and Outlook Report—SOER 2010; Publications Office: Luxembourg, 2012; ISBN 978-92-79-22805-6. [Google Scholar]
- Regnier, P.; Friedlingstein, P.; Ciais, P.; Mackenzie, F.T.; Gruber, N.; Janssens, I.A.; Laruelle, G.G.; Lauerwald, R.; Luyssaert, S.; Andersson, A.J.; et al. Anthropogenic perturbation of the carbon fluxes from land to ocean. Nat. Geosci. 2013, 6, 597–607. [Google Scholar] [CrossRef]
- Battin, T.J.; Luyssaert, S.; Kaplan, L.A.; Aufdenkampe, A.K.; Richter, A.; Tranvik, L.J. The boundless carbon cycle. Nat. Geosci. 2009, 2, 598–600. [Google Scholar] [CrossRef]
- Alvarez-Cobelas, M.; Angeler, D.G.; Sánchez-Carrillo, S.; Almendros, G. A worldwide view of organic carbon export from catchments. Biogeochemistry 2012, 107, 275–293. [Google Scholar] [CrossRef]
- Graeber, D.; Gelbrecht, J.; Pusch, M.T.; Anlanger, C.; von Schiller, D. Agriculture has changed the amount and composition of dissolved organic matter in Central European headwater streams. Sci. Total Environ. 2012, 438, 435–446. [Google Scholar] [CrossRef]
- Wilson, H.F.; Xenopoulos, M.A. Effects of agricultural land use on the composition of fluvial dissolved organic matter. Nat. Geosci. 2009, 2, 37–41. [Google Scholar] [CrossRef]
- Bernhardt, E.S.; Likens, G.E. Dissolved Organic Carbon Enrichment Alters Nitrogen Dynamics in a Forest Stream. Ecology 2002, 83, 1689. [Google Scholar] [CrossRef]
- Fischer, H.; Sachse, A.; Steinberg, C.E.W.; Pusch, M. Differential retention and utilization of dissolved organic carbon by bacteria in river sediments. Limnol. Oceanogr. 2002, 47, 1702–1711. [Google Scholar] [CrossRef]
- Yamashita, Y.; Jaffé, R. Characterizing the Interactions between Trace Metals and Dissolved Organic Matter Using Excitation−Emission Matrix and Parallel Factor Analysis. Environ. Sci. Technol. 2008, 42, 7374–7379. [Google Scholar] [CrossRef]
- Tank, J.L.; Rosi-Marshall, E.J.; Griffiths, N.A.; Entrekin, S.A.; Stephen, M.L. A review of allochthonous organic matter dynamics and metabolism in streams. J. N. Am. Benthol. Soc. 2010, 29, 118–146. [Google Scholar] [CrossRef]
- Derenne, S.; Nguyen Tu, T.T. Characterizing the molecular structure of organic matter from natural environments: An analytical challenge. Comptes Rendus Geosci. 2014, 346, 53–63. [Google Scholar] [CrossRef]
- Lipson, D.A. The complex relationship between microbial growth rate and yield and its implications for ecosystem processes. Front. Microbiol. 2015, 6. [Google Scholar] [CrossRef] [PubMed]
- Wu, M.; Zhang, J.; Bao, Y.; Liu, M.; Jiang, C.; Feng, Y.; Li, Z. Long-term fertilization decreases chemical composition variation of soil humic substance across geographic distances in subtropical China. Soil Tillage Res. 2019, 186, 105–111. [Google Scholar] [CrossRef]
- Hosen, J.D.; McDonough, O.T.; Febria, C.M.; Palmer, M.A. Dissolved Organic Matter Quality and Bioavailability Changes Across an Urbanization Gradient in Headwater Streams. Environ. Sci. Technol. 2014, 48, 7817–7824. [Google Scholar] [CrossRef] [PubMed]
- Heinz, M.; Graeber, D.; Zak, D.; Zwirnmann, E.; Gelbrecht, J.; Pusch, M.T. Comparison of Organic Matter Composition in Agricultural versus Forest Affected Headwaters with Special Emphasis on Organic Nitrogen. Environ. Sci. Technol. 2015, 49, 2081–2090. [Google Scholar] [CrossRef]
- Stanley, E.H.; Powers, S.M.; Lottig, N.R.; Buffam, I.; Crawford, J.T. Contemporary changes in dissolved organic carbon (DOC) in human-dominated rivers: Is there a role for DOC management? Freshw. Biol. 2012, 57, 26–42. [Google Scholar] [CrossRef]
- Baldock, J.A.; Skjemstad, J.O. Role of the soil matrix and minerals in protecting natural organic materials against biological attack. Org. Geochem. 2000, 31, 697–710. [Google Scholar] [CrossRef]
- Silveira, M.L.A. Dissolved organic carbon and bioavailability of N and P as indicators of soil quality. Sci. Agric. 2005, 62, 502–508. [Google Scholar] [CrossRef]
- Vázquez-Ortega, A.; Hernandez-Ruiz, S.; Amistadi, M.K.; Rasmussen, C.; Chorover, J. Fractionation of Dissolved Organic Matter by (Oxy)Hydroxide-Coated Sands: Competitive Sorbate Displacement during Reactive Transport. Vadose Zone J. 2014, 13. [Google Scholar] [CrossRef]
- Qualls, R.G.; Richardson, C.J. Factors controlling concentration, export, and decomposition of dissolved organic nutrients in the Everglades of Florida. Biogeochemistry 2003, 62, 197–229. [Google Scholar] [CrossRef]
- Kravchenko, A.N.; Negassa, W.C.; Guber, A.K.; Rivers, M.L. Protection of soil carbon within macro-aggregates depends on intra-aggregate pore characteristics. Sci. Rep. 2015, 5. [Google Scholar] [CrossRef] [PubMed]
- Cleveland, C.C.; Neff, J.C.; Townsend, A.R.; Hood, E. Composition, Dynamics, and Fate of Leached Dissolved Organic Matter in Terrestrial Ecosystems: Results from a Decomposition Experiment. Ecosystems 2004, 7. [Google Scholar] [CrossRef]
- Neff, J.C.; Asner, G.P. Dissolved Organic Carbon in Terrestrial Ecosystems: Synthesis and a Model. Ecosystems 2001, 4, 29–48. [Google Scholar] [CrossRef]
- Fei, K.; Deng, L.; Zhang, L.; Sun, T.; Wu, Y.; Fan, X.; Dong, Y. Lateral transport of soil total carbon with slope runoff and interflow: Effects of rainstorm characteristics under simulated rainfall. CATENA 2019, 179, 39–48. [Google Scholar] [CrossRef]
- Tiemeyer, B.; Pfaffner, N.; Frank, S.; Kaiser, K.; Fiedler, S. Pore water velocity and ionic strength effects on DOC release from peat-sand mixtures: Results from laboratory and field experiments. Geoderma 2017, 296, 86–97. [Google Scholar] [CrossRef]
- Seifert, A.-G.; Roth, V.-N.; Dittmar, T.; Gleixner, G.; Breuer, L.; Houska, T.; Marxsen, J. Comparing molecular composition of dissolved organic matter in soil and stream water: Influence of land use and chemical characteristics. Sci. Total Environ. 2016, 571, 142–152. [Google Scholar] [CrossRef]
- Fang, H.; Cheng, S.; Yu, G.; Xu, M.; Wang, Y.; Li, L.; Dang, X.; Wang, L.; Li, Y. Experimental nitrogen deposition alters the quantity and quality of soil dissolved organic carbon in an alpine meadow on the Qinghai-Tibetan Plateau. Appl. Soil Ecol. 2014, 81, 1–11. [Google Scholar] [CrossRef]
- Xu, P.; Zhu, J.; Fu, Q.; Chen, J.; Hu, H.; Huang, Q. Structure and biodegradability of dissolved organic matter from Ultisol treated with long-term fertilizations. J. Soils Sediments 2018, 18, 1865–1872. [Google Scholar] [CrossRef]
- Ohno, T.; Bro, R. Dissolved Organic Matter Characterization Using Multiway Spectral Decomposition of Fluorescence Landscapes. Soil Sci. Soc. Am. J. 2006, 70, 2028. [Google Scholar] [CrossRef]
- De Feudis, M.; Cardelli, V.; Massaccesi, L.; Hofmann, D.; Berns, A.E.; Bol, R.; Cocco, S.; Corti, G.; Agnelli, A. Altitude affects the quality of the water-extractable organic matter (WEOM) from rhizosphere and bulk soil in European beech forests. Geoderma 2017, 302, 6–13. [Google Scholar] [CrossRef]
- Autio, I.; Soinne, H.; Helin, J.; Asmala, E.; Hoikkala, L. Effect of catchment land use and soil type on the concentration, quality, and bacterial degradation of riverine dissolved organic matter. Ambio 2016, 45, 331–349. [Google Scholar] [CrossRef] [PubMed]
- Ballabio, C.; Panagos, P.; Monatanarella, L. Mapping topsoil physical properties at European scale using the LUCAS database. Geoderma 2016, 261, 110–123. [Google Scholar] [CrossRef]
- BMBWF ZAMG- Zentralanstalt für Meterologie und Geodynamik. Available online: https://www.zamg.ac.at/cms/de/aktuell (accessed on 10 September 2017).
- BMLRT eHYD. Available online: www.ehyd.gv.at (accessed on 10 September 2017).
- ISO 10390:2005. Soil Quality—Determination of pH; International Organization for Standardization: Geneva, Switzerland, 2005. [Google Scholar]
- ISO 10694:1995. Soil Quality—Determination of Organic and Total Carbon After Dry Combustion (Elementary Analysis); International Organization for Standardization: Geneva, Switzerland, 1995. [Google Scholar]
- DIN EN ISO 10693:2014. SOIL QUALITY-DETERMINATION OF CARBONATE CONTENT—VOLUMETRIC METHOD (ISO 10693:1995); German Institute for Standardisation (Deutsches Institut für Normung): Geneva, Switzerland, 2014. [Google Scholar]
- ÖNORM EN 1484:2019 04 15. Wasseranalytik-Anleitung zur Bestimmung des gesamten organischen Kohlenstoffs (TOC) und des gelösten organischen Kohlenstoffs (DOC); Österreichisches Normungsinstitut: Wien, Austria, 1997. [Google Scholar]
- Carter, H.T.; Tipping, E.; Koprivnjak, J.-F.; Miller, M.P.; Cookson, B.; Hamilton-Taylor, J. Freshwater DOM quantity and quality from a two-component model of UV absorbance. Water Res. 2012, 46, 4532–4542. [Google Scholar] [CrossRef]
- ÖNORM EN ISO 10304-1. Wasserbeschaffenheit-Bestimmung von Gelösten Anionen Mittels Flüssigkeits-Ionenchromatographie-Teil 1: Bestimmung von Bromid, Chlorid, Fluorid, Nitrat, Nitrit, Phosphat und Sulfat (ISO 10304-1:2007); Österreichisches Normungsinstitut: Geneva, Switzerland, 2016. [Google Scholar]
- ÖNORM L. 1091. Chemische Bodenuntersuchungen-Bestimmung von Mineralischem Stickstoff-Nmin-Methode; Österreichisches Normungsinstitut: Wien, Austria, 1999. [Google Scholar]
- Schindler, U.; Durner, W.; von Unold, G.; Mueller, L.; Wieland, R. The evaporation method: Extending the measurement range of soil hydraulic properties using the air-entry pressure of the ceramic cup. J. Plant Nutr. Soil Sci. 2010, 173, 563–572. [Google Scholar] [CrossRef]
- ÖNORM EN ISO 11272. Bodenbeschaffenheit-Bestimmung der Trockenrohdichte (ISO 11272:2017); Österreichisches Normungsinstitut: Geneva, Switzerland, 2017. [Google Scholar]
- ISO 11277. Soil Quality-Determination of Particle Size Distribution in Mineral Soil Material-Method by Sieving and Sedimentation; International Organization for Standardization: Geneva, Switzerland, 1998. [Google Scholar]
- Working Group WRB, IUSS. World Reference Base for Soil Resources 2014, update 2015 Internation Soil Classifcation System for Naming Soils and Creating Legends for Soil Maps; World Soil Resources Reports No. 106; FAO: Rome, Italy, 2015; ISBN E-ISBN 978-92-5-108370-3. [Google Scholar]
- McKnight, D.M.; Boyer, E.W.; Westerhoff, P.K.; Doran, P.T.; Kulbe, T.; Andersen, D.T. Spectrofluorometric characterization of dissolved organic matter for indication of precursor organic material and aromaticity. Limnol. Oceanogr. 2001, 46, 38–48. [Google Scholar] [CrossRef]
- Chin, Y.P.; Aiken, G.; O’Loughlin, E. Molecular Weight, Polydispersity, and Spectroscopic Properties of Aquatic Humic Substances. Environ. Sci. Technol. 1994, 28, 1853–1858. [Google Scholar] [CrossRef]
- Murphy, K.R.; Stedmon, C.A.; Graeber, D.; Bro, R. Fluorescence spectroscopy and multi-way techniques. PARAFAC. Anal. Methods 2013, 5, 6557. [Google Scholar] [CrossRef]
- Pucher, M.; Wünsch, U.; Weigelhofer, G.; Murphy, K.; Hein, T.; Graeber, D. staRdom: Versatile Software for Analyzing Spectroscopic Data of Dissolved Organic Matter in R. Water 2019, 11, 2366. [Google Scholar] [CrossRef]
- R: A Language and Environment for Statistical Computing; Version 2.6.2; R Core Team: Vienna, Austria, 2019.
- Huguet, A.; Vacher, L.; Relexans, S.; Saubusse, S.; Froidefond, J.M.; Parlanti, E. Properties of fluorescent dissolved organic matter in the Gironde Estuary. Org. Geochem. 2009, 40, 706–719. [Google Scholar] [CrossRef]
- Coble, P.G. Characterization of marine and terrestrial DOM in seawater using excitation-emission matrix spectroscopy. Mar. Chem. 1996, 51, 325–346. [Google Scholar] [CrossRef]
- Ohno, T. Fluorescence Inner-Filtering Correction for Determining the Humification Index of Dissolved Organic Matter. Environ. Sci. Technol. 2002, 36, 742–746. [Google Scholar] [CrossRef] [PubMed]
- Helms, J.R.; Stubbins, A.; Ritchie, J.D.; Minor, E.C.; Kieber, D.J.; Mopper, K. Absorption spectral slopes and slope ratios as indicators of molecular weight, source, and photobleaching of chromophoric dissolved organic matter. Limnol. Oceanogr. 2008, 53, 955–969. [Google Scholar] [CrossRef]
- Twardowski, M.S.; Boss, E.; Sullivan, J.M.; Donaghay, P.L. Modeling the spectral shape of absorption by chromophoric dissolved organic matter. Mar. Chem. 2004, 89, 69–88. [Google Scholar] [CrossRef]
- Oksanen, J.; Blanchet, F.G.; Kindt, R.; Legendre, P.; O’Hara, R.G.; Simpson, G.; Solymos, P.; Stevens, H.; Wagner, H. Multivariate Analysis of Ecological Communities in R: Vegan Tutorial. R Package Version 1.7; University of Oulu: Oulu, Finland, 2013. [Google Scholar]
- Van den Brink, P.J.; Braak, C.J.F.T. Principal response curves: Analysis of time-dependent multivariate responses of biological community to stress. Environ. Toxicol. Chem. 1999, 18, 138–148. [Google Scholar] [CrossRef]
- Romero, C.M.; Engel, R.E.; D’Andrilli, J.; Chen, C.; Zabinski, C.; Miller, P.R.; Wallander, R. Bulk optical characterization of dissolved organic matter from semiarid wheat-based cropping systems. Geoderma 2017, 306, 40–49. [Google Scholar] [CrossRef]
- Tfaily, M.M.; Corbett, J.E.; Wilson, R.; Chanton, J.P.; Glaser, P.H.; Cawley, K.M.; Jaffé, R.; Cooper, W.T. Utilization of PARAFAC-Modeled Excitation-Emission Matrix (EEM) Fluorescence Spectroscopy to Identify Biogeochemical Processing of Dissolved Organic Matter in a Northern Peatland. Photochem. Photobiol. 2015, 91, 684–695. [Google Scholar] [CrossRef]
- Williams, C.J.; Yamashita, Y.; Wilson, H.F.; Jaffé, R.; Xenopoulos, M.A. Unraveling the role of land use and microbial activity in shaping dissolved organic matter characteristics in stream ecosystems. Limnol. Oceanogr. 2010, 55, 1159–1171. [Google Scholar] [CrossRef]
- Chai, L.; Huang, M.; Fan, H.; Wang, J.; Jiang, D.; Zhang, M.; Huang, Y. Urbanization altered regional soil organic matter quantity and quality: Insight from excitation emission matrix (EEM) and parallel factor analysis (PARAFAC). Chemosphere 2019, 220, 249–258. [Google Scholar] [CrossRef]
- Ziegelgruber, K.L.; Zeng, T.; Arnold, W.A.; Chin, Y.-P. Sources and composition of sediment pore-water dissolved organic matter in prairie pothole lakes. Limnol. Oceanogr. 2013, 58, 1136–1146. [Google Scholar] [CrossRef]
- Stedmon, C.A.; Markager, S. Resolving the variability in dissolved organic matter fluorescence in a temperate estuary and its catchment using PARAFAC analysis. Limnol. Oceanogr. 2005, 50, 686–697. [Google Scholar] [CrossRef]
- Olefeldt, D.; Devito, K.J.; Turetsky, M.R. Sources and fate of terrestrial dissolved organic carbon in lakes of a Boreal Plains region recently affected by wildfire. Biogeosciences 2013, 10, 6247–6265. [Google Scholar] [CrossRef]
- Cory, R.M.; McKnight, D.M. Fluorescence Spectroscopy Reveals Ubiquitous Presence of Oxidized and Reduced Quinones in Dissolved Organic Matter. Environ. Sci. Technol. 2005, 39, 8142–8149. [Google Scholar] [CrossRef] [PubMed]
- Gao, S.-J.; Zhao, C.; Shi, Z.-H.; Zhong, J.; Liu, J.-G.; Li, J.-Q. Spectroscopic Characteristics of Dissolved Organic Matter in Afforestation Forest Soil of Miyun District, Beijing. J. Anal. Methods Chem. 2016, 2016, 1480857. [Google Scholar] [CrossRef]
- Fellman, J.B.; Hood, E.; Spencer, R.G.M. Fluorescence spectroscopy opens new windows into dissolved organic matter dynamics in freshwater ecosystems: A review. Limnol. Oceanogr. 2010, 55, 2452–2462. [Google Scholar] [CrossRef]
- Sjöberg, G.; Bergkvist, B.; Berggren, D.; Nilsson, S.I. Long-term N addition effects on the C mineralization and DOC production in mor humus under spruce. Soil Biol. Biochem. 2003, 35, 1305–1315. [Google Scholar] [CrossRef]
- Lu, X.; Gilliam, F.S.; Yu, G.; Li, L.; Mao, Q.; Chen, H.; Mo, J. Long-term nitrogen addition decreases carbon leaching in a nitrogen-rich forest ecosystem. Biogeosciences 2013, 10, 3931–3941. [Google Scholar] [CrossRef]
- Long, G.-Q.; Jiang, Y.-J.; Sun, B. Seasonal and inter-annual variation of leaching of dissolved organic carbon and nitrogen under long-term manure application in an acidic clay soil in subtropical China. Soil Tillage Res. 2015, 146, 270–278. [Google Scholar] [CrossRef]
- Lloyd, C.E.M.; Michaelides, K.; Chadwick, D.R.; Dungait, J.A.J.; Evershed, R.P. Tracing the flow-driven vertical transport of livestock-derived organic matter through soil using biomarkers. Org. Geochem. 2012, 43, 56–66. [Google Scholar] [CrossRef]
- Adams, A.B.; Harrison, R.B.; Sletten, R.S.; Strahm, B.D.; Turnblom, E.C.; Jensen, C.M. Nitrogen-fertilization impacts on carbon sequestration and flux in managed coastal Douglas-fir stands of the Pacific Northwest. For. Ecol. Manag. 2005, 220, 313–325. [Google Scholar] [CrossRef]
- Don, A.; Schulze, E.-D. Controls on fluxes and export of dissolved organic carbon in grasslands with contrasting soil types. Biogeochemistry 2008, 91, 117–131. [Google Scholar] [CrossRef]
- De Troyer, I.; Merckx, R.; Amery, F.; Smolders, E. Factors Controlling the Dissolved Organic Matter Concentration in Pore Waters of Agricultural Soils. Vadose Zone J. 2014, 13, 1–9. [Google Scholar] [CrossRef]
- Huang, Z.; Lv, J.; Cao, D.; Zhang, S. Iron plays an important role in molecular fractionation of dissolved organic matter at soil-water interface. Sci. Total Environ. 2019, 670, 300–307. [Google Scholar] [CrossRef] [PubMed]
- Nguyen, T.-T.; Marschner, P. Retention and loss of water extractable carbon in soils: Effect of clay properties. Sci. Total Environ. 2014, 470–471, 400–406. [Google Scholar] [CrossRef]
- Singh, M.; Sarkar, B.; Sarkar, S.; Churchman, J.; Bolan, N.; Mandal, S.; Menon, M.; Purakayastha, T.J.; Beerling, D.J. Stabilization of Soil Organic Carbon as Influenced by Clay Mineralogy. In Advances in Agronomy; Elsevier: Amsterdam, The Netherlands, 2018; Volume 148, pp. 33–84. ISBN 978-0-12-815179-2. [Google Scholar]
- Avneri-Katz, S.; Young, R.B.; McKenna, A.M.; Chen, H.; Corilo, Y.E.; Polubesova, T.; Borch, T.; Chefetz, B. Adsorptive fractionation of dissolved organic matter (DOM) by mineral soil: Macroscale approach and molecular insight. Org. Geochem. 2017, 103, 113–124. [Google Scholar] [CrossRef]
- Bolan, N.S.; Adriano, D.C.; Kunhikrishnan, A.; James, T.; McDowell, R.; Senesi, N. Dissolved Organic Matter. In Advances in Agronomy; Elsevier: Amsterdam, The Netherlands, 2011; Volume 110, pp. 1–75. ISBN 978-0-12-385531-2. [Google Scholar]
- Lei, Z.; Sun, H.; Li, Q.; Zhang, J.; Song, X. Effects of Nitrogen Deposition on Soil Dissolved Organic Carbon and Nitrogen in Moso Bamboo Plantations Strongly Depend on Management Practices. Forests 2017, 8, 452. [Google Scholar] [CrossRef]
- Wang, Q.K.; Wang, S.L.; Liu, Y.X. Responses to N and P fertilization in a young Eucalyptus dunnii plantation: Microbial properties, enzyme activities and dissolved organic matter. Appl. Soil Ecol. 2008, 40, 484–490. [Google Scholar] [CrossRef]
- Kaiser, K.; Kalbitz, K. Cycling downwards—Dissolved organic matter in soils. Soil Biol. Biochem. 2012, 52, 29–32. [Google Scholar] [CrossRef]
- Zhang, X.; Li, Z.; Nie, X.; Huang, M.; Wang, D.; Xiao, H.; Liu, C.; Peng, H.; Jiang, J.; Zeng, G. The role of dissolved organic matter in soil organic carbon stability under water erosion. Ecol. Indic. 2019, 102, 724–733. [Google Scholar] [CrossRef]
- Ferrari, E.; Francioso, O.; Nardi, S.; Saladini, M.; Ferro, N.D.; Morari, F. DRIFT and HR MAS NMR characterization of humic substances from a soil treated with different organic and mineral fertilizers. J. Mol. Struct. 2011, 998, 216–224. [Google Scholar] [CrossRef]
- McDowell, W.H.; Magill, A.H.; Aitkenhead-Peterson, J.A.; Aber, J.D.; Merriam, J.L.; Kaushal, S.S. Effects of chronic nitrogen amendment on dissolved organic matter and inorganic nitrogen in soil solution. For. Ecol. Manag. 2004, 196, 29–41. [Google Scholar] [CrossRef]
- Li, X.-M.; Chen, Q.-L.; He, C.; Shi, Q.; Chen, S.-C.; Reid, B.J.; Zhu, Y.-G.; Sun, G.-X. Organic Carbon Amendments Affect the Chemodiversity of Soil Dissolved Organic Matter and Its Associations with Soil Microbial Communities. Environ. Sci. Technol. 2019, 53, 50–59. [Google Scholar] [CrossRef] [PubMed]
- Zang, H.; Blagodatskaya, E.; Wang, J.; Xu, X.; Kuzyakov, Y. Nitrogen fertilization increases rhizodeposit incorporation into microbial biomass and reduces soil organic matter losses. Biol. Fertil. Soils 2017, 53, 419–429. [Google Scholar] [CrossRef]




| Factor | Repeated Measures MANOVA | PERMANOVA | ||||||
|---|---|---|---|---|---|---|---|---|
| TOC | DOC | NO3− | Cl− | EC | pH | DOM Composition | ||
| p-Value | p-Value | p-Value | p-Value | p-Value | p-Value | p-Value | R2 | |
| Soil texture | <0.001 | 0.009 | 0.001 | <0.001 | <0.001 | <0.001 | <0.001 | 0.132 |
| Fertilizer type | <0.001 | <0.001 | <0.001 | <0.001 | <0.001 | 0.093 | <0.001 | 0.085 |
| days | <0.001 | <0.001 | <0.001 | 0.673 | <0.001 | <0.001 | <0.001 | 0.213 |
| Soil * fertilizer type | 0.011 | <0.001 | 0.636 | 0.673 | 0.457 | 0.912 | <0.001 | 0.067 |
| Soil * days | <0.001 | <0.001 | <0.001 | <0.001 | <0.001 | <0.001 | <0.001 | 0.275 |
| Fertilizer * days | <0.001 | <0.001 | <0.001 | <0.001 | <0.001 | 0.256 | <0.001 | 0.066 |
| Soil * Fertilizer type * Days | <0.001 | <0.001 | 0.028 | 0.232 | 0.146 | 0.777 | <0.001 | 0.042 |
| Residuals | 0.119 | |||||||
| Component | Emission (nm) | Excitation (nm) | Beforehand Identified as: |
|---|---|---|---|
| 1 | 420–500 475 | 245–430 245 (360) | Humic-like [10,57,65]; oxidized quinone-like [66]; Terrestrial or ubiquitous [57,65] derived from organic matter (OM) from plant and soil [67] |
| 2 | 350–450 390 | 245–380 <245 (320) | Humic-like [10,63,65]; terrestrial [68] fulvic/humic [69] microbially altered DOM [64] |
| 3 | 360–510 425 | 245–320 <245 | Humic-like [10,65] terrestrial OM products, mainly forest and wetlands [68] oxidized quinones-like [70] |
| 4 | 320–400 350 | 245–330 280 (245) | Tryptophan-like [10,71], microbial processing; Protein-tannin-like [63], amino acids, free or bound in proteins; indicate intact proteins or less degraded peptide material [72] |
© 2020 by the authors. Licensee MDPI, Basel, Switzerland. This article is an open access article distributed under the terms and conditions of the Creative Commons Attribution (CC BY) license (http://creativecommons.org/licenses/by/4.0/).
Share and Cite
Tiefenbacher, A.; Weigelhofer, G.; Klik, A.; Pucher, M.; Santner, J.; Wenzel, W.; Eder, A.; Strauss, P. Short-Term Effects of Fertilization on Dissolved Organic Matter in Soil Leachate. Water 2020, 12, 1617. https://doi.org/10.3390/w12061617
Tiefenbacher A, Weigelhofer G, Klik A, Pucher M, Santner J, Wenzel W, Eder A, Strauss P. Short-Term Effects of Fertilization on Dissolved Organic Matter in Soil Leachate. Water. 2020; 12(6):1617. https://doi.org/10.3390/w12061617
Chicago/Turabian StyleTiefenbacher, Alexandra, Gabriele Weigelhofer, Andreas Klik, Matthias Pucher, Jakob Santner, Walter Wenzel, Alexander Eder, and Peter Strauss. 2020. "Short-Term Effects of Fertilization on Dissolved Organic Matter in Soil Leachate" Water 12, no. 6: 1617. https://doi.org/10.3390/w12061617
APA StyleTiefenbacher, A., Weigelhofer, G., Klik, A., Pucher, M., Santner, J., Wenzel, W., Eder, A., & Strauss, P. (2020). Short-Term Effects of Fertilization on Dissolved Organic Matter in Soil Leachate. Water, 12(6), 1617. https://doi.org/10.3390/w12061617

