Seasonal Differences in Taxonomic Diversity of Rotifer Communities in a Hungarian Lowland Oxbow Lake Exposed to Aquaculture Effluent
Abstract
1. Introduction
2. Materials and Methods
2.1. Study Site
2.2. Chemical Water Characteristics
2.3. Zooplankton Sampling
2.4. Diversity Evaluation
3. Results
3.1. Nutrient Input
3.2. Composition of the Rotifer Assemblage
3.3. Diversity and Diversity Ordering
3.3.1. Species Distributions
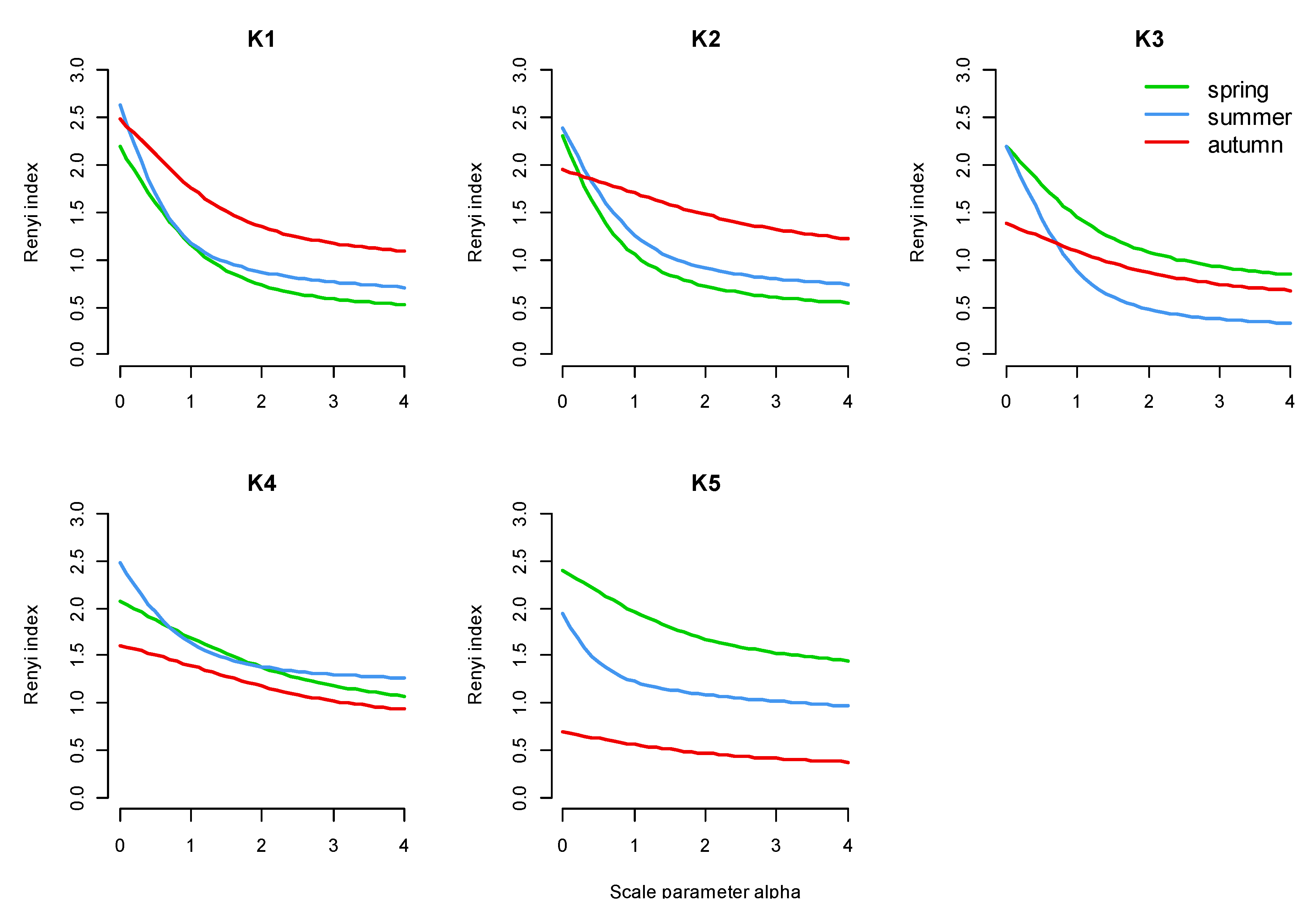
3.3.2. Rényi Diversity Profiles
4. Discussion
Supplementary Materials
Author Contributions
Funding
Acknowledgments
Conflicts of Interest
References
- FAO. The State of World Fisheries and Aquaculture 2018—Meeting the Sustainable Development Goals; Food and Agriculture Organisation: Rome, Italy, 2018; Available online: http://www.fao.org/3/i9540en/I9540EN.pdf (accessed on 3 May 2020).
- Edwards, P. Aquaculture environment interactions: Past, present and likely future trends. Aquaculture 2015, 447, 2–14. [Google Scholar] [CrossRef]
- Kerepeczki, É; Gál, D.; Szabó, P.; Pekár, F. Preliminary investigations on the nutrient removal efficiency of a wetland-type ecosystem. Hydrobiologia 2003, 506–509, 665–670. [Google Scholar]
- Čížková, H.; Květ, J.; Comín, F.A.; Laiho, R.; Pokorný, J.; Pithart, D. Actual state of European wetlands and their possible future in the context of global climate change. Aquati. Sci. 2013, 75, 3–26. [Google Scholar] [CrossRef]
- Carp, E. International Conference on the Conservation of Wetlands and Waterfowl. In Proceedings of the International Conference on the Conservation of Wetlands and Waterfowl, Ramsar, Iran, 20 January–3 February 1971; IWRB: Slimbridge, UK, 1972; p. 303. [Google Scholar]
- Pinke, Z. Modernization and decline: An eco-historical perspective on regulation of the Tisza Valley, Hungary. J. Historical Geogr. 2014, 45, 92–105. [Google Scholar] [CrossRef]
- Somogyi, S. Geographical and Ecological Effects of 19th Century River Regulations and Flood Control in Hungary; Geographical Research Institute, Hungarian Academy of Sciences: Budapest, Hungary, 2000. (In Hungarian) [Google Scholar]
- Pálfai, I. Oxbows of Hungary; Hungarian Ministry of Transport and Water: Budapest, Hungary, 2001. (In Hungarian) [Google Scholar]
- Duggan, I.C.; Green, J.D.; Shiel, R.J. Distribution of rotifers in North Island, New Zealand, and their potential use as bioindicators of lake trophic state. Rotifera 2001, IX, 155–164. [Google Scholar]
- Caroni, R.; Irvine, K. The potential of zooplankton communities for ecological assessment of lakes: Redundant concept or political oversight? Biol. Environ. Proc. R. Irish Acad. 2010, 110B, 35–53. [Google Scholar] [CrossRef]
- Berzins, B. Contribution to the limnology of South-eastern Latvia. Schweiz. Z. Hydrol. 1949, 11, 583–607. (In German) [Google Scholar]
- Lillieroth, S. On the consequences of artificial water level decrease for macrophytic and planktonic communities in the shallow lakes of the southern Swedish oligotrophic region: A study with particular attention to applied limnology. Acta Limnol. 1950, 3, 1–288. (In Germain) [Google Scholar]
- Jarnefelt, H. Plankton as indicator of the trophic status of lakes. Ann. Acad. Sci. Fenn. (Ser. A) 1952, 18, 1–29. (In German) [Google Scholar]
- Thunmark, S. Contribution to the sociology of freshwater plankton. An ecological-methodological study. Folia Limnol. Scand. 1945, 3, 1–66. (In German) [Google Scholar]
- Pejler, B. Taxonomical and ecological studies on plankton Rotatoria from central Sweden. K. Svenska Vetensk Akad. Handl. 1957, 6, 1–52. [Google Scholar]
- Pejler, B. Regional ecological studies of Swedish freshwater zooplankton. Zool. Bidrag. Fran. Upp. 1965, 36, 407–515. [Google Scholar]
- Gulyás, P. COMECON Biological methods. Vízügyi Hidrobiol. 1983, 12, 163–216. (In Hungarian) [Google Scholar]
- Sládeček, V. Rotifers as indicators of water quality. Hydrobiologia 1983, 100, 169–201. [Google Scholar] [CrossRef]
- Ejsmont-Karabin, J. The usefulness of zooplankton as lake ecosystem indicators: Rotifer trophic state index. Pol. J. Ecol. 2012, 60, 339–350. [Google Scholar]
- Ochocka, A.; Pasztaleniec, A. Sensitivity of plankton indices to lake trophic conditions. Environ. Monit. Assess. 2016, 188, 622. [Google Scholar] [CrossRef]
- Finlay, B.J. Global dispersal of free-living microbial eukaryote species. Science 2002, 296, 1061–1063. [Google Scholar] [CrossRef]
- Fenchel, T.; Finlay, B.J. The ubiquity of small species: Patterns of local and global diversity. Bioscience 2004, 54, 777–784. [Google Scholar] [CrossRef]
- Segers, H.; de Smet, W.H. Diversity and endemism in Rotifera: A review, and Keratella Bory de St Vincent. Biodivers. Conserv. 2008, 17, 303–316. [Google Scholar] [CrossRef]
- Dumont, H.J. Biogeography of rotifers. Dev. Hydrobiol. 1983, 14, 19–30. [Google Scholar] [CrossRef]
- Segers, H. Global biodiversity of rotifers (Rotifera) in freshwater. Hydrobiology 2008, 595, 49–59. [Google Scholar] [CrossRef]
- Wallace, R.L.; Snell, T.W.; Ricci, C.; Nogrady, N. Rotifera Biology, Ecology and Systematics; Backhuys Publishers: Leiden, The Netherlands, 2006. [Google Scholar]
- Allan, J.D. Life history patterns in zooplankton. Am. Nat. 1976, 110, 165–180. [Google Scholar] [CrossRef]
- Gannon, J.E.; Steinberger, R.S. Zooplankton (especially crustaceans and rotifers) as indicators of water quality. Trans. Am. Micros. Soc. 1978, 97, 16–35. [Google Scholar] [CrossRef]
- Marbá, N.; Krause-Jensen, D.; Alcoverro, T.; Birk, S.; Pederson, A.; Neto, J.M.; Orfanidis, S.; Garmendia, J.M.; Muxika, I.; Borja, A.; et al. Diversity of European seagrass indicators: Patterns within and across regions. Hydrobiologia 2013, 546, 397–404. [Google Scholar]
- Megyeri, J. Plankton studies on the River Tisza at Szeged. Hidrol. Köziemenyek 1955, 35, 280–292. (In Hungarian) [Google Scholar]
- Zsuga, K. The ecological conditions of the Cris/Körös catchment area on the basis of planktonic fauna. In The Criş/Körös River Valley: A Study of the Geography, Hydrobiology and Ecology of the River System and Its Environment; TISCIA Monograph Series; Sárkány-Kiss, A., Hamar, J., Eds.; Tisza Club & Liga Pro Europa: Szolnok-Szeged, Hungary; Tirgu-Mures, Romania, 1997; Volume 2, pp. 135–152. [Google Scholar]
- Zsuga, K. Long-term zooplankton investigations in the Hungarian section of the Körös catchment area. In The Criş/Körös River Valley: A Study of the Geography, Hydrobiology and Ecology of the River System and Its Environment; TISCIA Monograph Series; Sárkány-Kiss, A., Hamar, J., Eds.; Tisza Club & Liga Pro Europa: Szolnok-Szeged, Hungary; Tirgu-Mures, Romania, 1997; Volume 2, pp. 153–164. [Google Scholar]
- Gulyás, P. Rotatoria and crustacea studies in the surface waters of the Körös-Maros National Park. Crisicum 2000, 3, 111–139. (In Hungarian) [Google Scholar]
- Rényi, A. On measures of entropy and information. In Proceedings of the 4th Berkeley Symposium on Mathematical Statistics and Probability, Berkeley, CA, USA, 30 June–30 July 1960; Neyman, J., Ed.; University of California Press: Berkeley, CA, USA, 1961; pp. 547–561. [Google Scholar]
- Gliwicz, Z.M. Studies on the feeding of pelagic zooplankton in lakes with varying trophy. Ekol. Pol. 1969, 17A, 663–708. [Google Scholar]
- Odum, E.P. The Strategy of ecosystem development. Science 1969, 164, 262–270. [Google Scholar] [CrossRef]
- Józsa, V.; Kozłowski, J.; Zróbek-Sokolnik, A.; Kozłowski, K.; Dynowski, P. Classification of the Oxbow Lakes of the Hármas-Körös River and Determination of Ways for Further Exploiting the Various Water Regions in the Light of the Water Framework Directive. In Proceedings of the “Environmental Engineering” 10th International Conference, Vilnius, Lithuania, 27–28 April 2017. [Google Scholar]
- Tóth, F.; Berzi-Nagy, L.; Kerepeczki, É. Preliminary assessment of the most important water quality parameters of the Bikazugi Holt-Körös. In Proceedings of the 41st Meeting of Fisheries Science, Szarvas, Hungary, 14–15 June 2017; p. 52. (In Hungarian). [Google Scholar]
- Tóth, F.; Kerepeczki, É.; Berzi-Nagy, L. Efficiency of an established wetland water treatment system based on renewable energy and its zooplankton production potential. In Proceedings of the 2nd Meeting of the Training Young Scientist Program, Szeged, Hungary, 14–15 December 2017; National Agricultural and Innovation Centre: Gödöllő, Hungary, 2018; pp. 35–44. (In Hungarian). [Google Scholar]
- ISO. Water Quality—Determination of Nitrogen. Part 1: Method Using Oxidative Digestion with Peroxodisulfate; International Organization for Standardization: Geneva, Switzerland, 1997. [Google Scholar]
- ISO. Water Quality—Determination of Phosphorus—Ammonium Molybdate Spectrometric Method; International Organization for Standardization: Geneva, Switzerland, 2004. [Google Scholar]
- ISO. Water Quality—Determination of Suspended Solids by Filtration through Glass-Fibre Filters; International Organization for Standardization: Geneva, Switzerland, 1997. [Google Scholar]
- Bancsi, I. Identification keys for Rotifera I. In Vízügyi Hidrobiológia, 15; Országos Vízügyi Hivatal: Budapest, Hungary, 1986. (In Hungarian) [Google Scholar]
- Bancsi, I. Identification keys for Rotifera II. In Vízügyi Hidrobiológia, 17; Országos Vízügyi Hivatal: Budapest. Hungary, 1988. (In Hungarian) [Google Scholar]
- R-Forge, Welcome to Vegan—Community Ecology Package Project! Available online: http://vegan.r-forge.r-project.org/ (accessed on 18 March 2020).
- The R Project for Statistical Computing. Available online: http://www.r-project.org/ (accessed on 18 March 2020).
- Whittaker, R.H. Dominance and Diversity in Land Plant Communities: Numerical relations of species express the importance of competition in community function and evolution. Science 1965, 147, 250–260. [Google Scholar] [CrossRef]
- Southwood, T.R.E.; Henderson, P.A. Ecological Methods, 3rd ed.; Blackwell Science Ltd.: Oxford, UK, 2009. [Google Scholar]
- Lövei, G.L.; Liu, W.; Guo, J.; Wan, F. The use of the Rényi scalable diversity index to assess diversity trend sin comparative and monitoring studies of effects of transgenic crops. J. Biosaf. 2013, 22, 43–50. [Google Scholar]
- Gulyás, P.; Bancsi, I.; Zsuga, K.V. Rotatoria and Crustacean fauna of the Hungarian watercourses. Miscellinea Zool. Hung. Tomus 1995, 10, 21–47. [Google Scholar]
- Schöll, K. Diversity of planktonic rotifer assemblages in the water bodies of the Gemenc floodplain (Duna-Dráva National Park, Hungary). Biologia 2009, 64, 951–958. [Google Scholar] [CrossRef]
- Kolkwitz, R. Plant Physiology, 3rd ed.; VEB Gesellschaft: Jena, Germany, 1935. (In Germain) [Google Scholar]
- Sládeček, V. Relation of saprobic to trophic levels. Int. Ver. Theor. Angew. Limnol.: Verh. 1978, 20, 1885–1889. (In Germain) [Google Scholar]
- Lövei, G.L. Generalised entropy indices have a long history in ecology-a comment. Community Ecol. 2005, 6, 245–247. [Google Scholar] [CrossRef]
- Tóthmérész, B. Comparison of different methods for diversity ordering. J. Veg. Sci. 1995, 6, 283–290. [Google Scholar] [CrossRef]




| Scale Parameter (α) | Rényi Diversity (HR) | |
|---|---|---|
| 0 | logarithm of number of species | logS |
| * | Shannon diversity | |
| 2 | logarithm of inverse Simpson diversity | |
| logarithm of Berger-Parker index | ||
| Season | Total Nitrogen (kg) | Total Phosphorus (kg) | Total Suspended Solids (kg) |
|---|---|---|---|
| Spring | 1600 | 168 | 1135 |
| Summer | 830 | 120 | 1275 |
| Autumn | 1770 | 188 | 2810 |
| Total | 4200 | 475 | 5220 |
© 2020 by the authors. Licensee MDPI, Basel, Switzerland. This article is an open access article distributed under the terms and conditions of the Creative Commons Attribution (CC BY) license (http://creativecommons.org/licenses/by/4.0/).
Share and Cite
Tóth, F.; Zsuga, K.; Kerepeczki, É.; Berzi-Nagy, L.; Körmöczi, L.; Lövei, G.L. Seasonal Differences in Taxonomic Diversity of Rotifer Communities in a Hungarian Lowland Oxbow Lake Exposed to Aquaculture Effluent. Water 2020, 12, 1300. https://doi.org/10.3390/w12051300
Tóth F, Zsuga K, Kerepeczki É, Berzi-Nagy L, Körmöczi L, Lövei GL. Seasonal Differences in Taxonomic Diversity of Rotifer Communities in a Hungarian Lowland Oxbow Lake Exposed to Aquaculture Effluent. Water. 2020; 12(5):1300. https://doi.org/10.3390/w12051300
Chicago/Turabian StyleTóth, Flórián, Katalin Zsuga, Éva Kerepeczki, László Berzi-Nagy, László Körmöczi, and Gábor L. Lövei. 2020. "Seasonal Differences in Taxonomic Diversity of Rotifer Communities in a Hungarian Lowland Oxbow Lake Exposed to Aquaculture Effluent" Water 12, no. 5: 1300. https://doi.org/10.3390/w12051300
APA StyleTóth, F., Zsuga, K., Kerepeczki, É., Berzi-Nagy, L., Körmöczi, L., & Lövei, G. L. (2020). Seasonal Differences in Taxonomic Diversity of Rotifer Communities in a Hungarian Lowland Oxbow Lake Exposed to Aquaculture Effluent. Water, 12(5), 1300. https://doi.org/10.3390/w12051300

