Abstract
Soft water lakes with isoetids (SLI) are ecosystems prone to degradation due to the low buffer capacity of their waters. One of the main threats resulting from human impact is eutrophication due to agriculture, catchment urbanization and recreational use. In this paper, changes in the water chemistry and transformation of biocoenoses of one of the largest Polish SLI, Lake Jeleń, over the past 30 years are presented. The lake is located within the borders of a city, and a significant part of its catchment is under agriculture and recreation use. The physicochemical (concentration of nutrients, organic matter, electrical conductivity, oxygen saturation and water pH) and biological parameters (macrophytes and phytoplankton) were measured in summer 1991, 2004, 2013 and 2018. Since the beginning of the 1990s, a gradual increase in the trophy of the lake has been observed as indicated by increased nutrient availability, deterioration of oxygen conditions and a decrease in water transparency. The alterations of water chemistry induce biological transformations, in particular, an increase in phytoplankton abundance (4-fold increase of biomass in epilimnion) as well as a gradual reduction in the range of the phytolittoral (from 10 to 6 m), a decrease in the frequency of isoetids, Lobelia dortmanna and Isoetes lacustris, and expansion of plant species characteristic for eutrophy.
1. Introduction
Soft water lakes with isoetids (SLI) are unique ecosystems that occur mainly in the temperate and boreal zones of the northern hemisphere. In Europe, such lakes are associated with low calcareous, sandy soils or develop near high or transitional peatlands [1,2,3]. The SLI are considered as valuable natural habitats and are included in the Natura 2000 protected area network as habitat 3110—“Oligotrophic waters containing very few minerals of sandy plains (Littorelletalia uniflorae)” [4,5]. In Poland, this habitat is usually known by the term “lobelia lakes”, which is derived from one of the representative isoetids (plants that are associated with such a habitat) [6]. The SLI are usually small in surface, closed water bodies, fed exclusively by precipitation or surface runoff from catchment areas poor in nutrients and calcium [7]. Low availability of carbon dioxide in the water column and sediments and low concentration of nitrogen and phosphorus shape the specific vegetation structure of SLI. The isoetids Lobelia dortmanna L., Isoetes lacustris L., and Littorella uniflora (L.) Ascherson constitute an essential feature of SLI vegetation [3,8]. These small perennial plants are usually accompanied by several other plant species like Myriophyllum alterniflorum DC., Luronium natans (L.) Raf. or charophyte Chara delicatula Ag. [9]. Due to the low concentration of calcium, manganese and hence low buffer capacity, the SLI are sensitive to external impact [1]. Natural aging processes—eutrophication of the SLI—occurs very slowly only when the catchment areas are natural, or human impact is scarce. However, not only changes in the direct catchment but also global pollution may affect the functioning of SLI. Increased atmospheric deposition of nitrogen and sulfur oxides leads to a decrease in water pH (acidification) of SLI ecosystems causing subsequent disappearance of characteristic plant species [2]. Acidification may also be caused by an increased inflow of humic acids from the adjacent land ecosystem. Extremely high loads of humic compounds reach lakes during clear-cutting of nearby forests and the drainage of high bogs [9]. Moreover, changes in the character of rainfall (an increase of heavy rains) driven by climate changes may result in increased surface runoff and transport of humic substances to the lakes [10,11]. Humic substances not only acidify SLI but also affect underwater light conditions since they increase the color of water, decrease light penetration and thus affect the survival of macrophytes [12]. The accelerated eutrophication of SLI is usually the result of a complex of processes. However, it is always triggered by intense human activity and pressure exerted directly on the lakes or their catchment. Increasing the share of agricultural areas and human settlements leads to changes in the water and chemical balance [1]. Increased loads of nutrients and other chemical elements reach the SLI and promote phytoplankton development which gradually reduces light penetration. Changes in the light regime and competition from plant species adapted to high turbidity and calcium content lead to the progressive loss of isoetids. Due to their natural values, many SLIs are also under intense recreational pressure. Clearwater, sandy bottom and forested shores attract people for bathing, resting and water sports. The main consequences of high recreational pressure are: (i) changes in transport of water and chemical elements from the catchment area to the lake—trampled ducts increase the surface runoff and accelerate the transfer of chemical substances, (ii) destruction of land–water ecotonal zones that play a significant role in maintaining the homeostasis of adjacent ecosystems [13,14], (iii) mechanical devastation of plants within the bathing areas. Eventually, intense recreational impact may trigger the eutrophication process and degradation of the ecosystem [15]. The effects are particularly visible in the case of ecosystems in the vicinity of which human settlements are located.
Lake Jeleń is one of the largest and, until recently, one of the best-preserved lobelia lakes in Poland, with a very abundant population of isoetids. However, this lake is subjected to intense human pressure. A significant part of the lake catchment area is used for agriculture and recreational purposes. In the vicinity of the shoreline, there is a campsite, summer houses, a restaurant, a playground and various types of infrastructure (roads and parking). On every sunny day, hundreds of tourists can be found resting on the shores of the lake. The disturbances and changes in the structure of the catchment and the functioning of the entire ecosystem can be linked to recreational activities, which can, in turn, pose a threat to the population of isoetids [16,17]. For these reasons, this lake is subject to periodic monitoring, during which it has been possible to repeat the research several times over for almost 30 years and observe the changes occurring during this time. Based on biological (phytoplankton and macrophytes) and physico-chemical parameters (nutrient concentration) of water over the years, it was possible to determine the direction of lake changes. We hypothesized that intense human pressure has caused an increase in nutrient concentration and phytoplankton abundance, a decrease in water transparency and rebuilding in the phytolittoral (disappearance of isoetids and domination of eutrophic elodeids).
2. Materials and Methods
2.1. Study Site
Lake Jeleń is located in northern Poland (54°12′04,4″ N, 17°31′31,5″ E) near the southeastern borders of the city of Bytów (population 17 k). It is a closed lake with a surface area of 81.6 ha. Its shape is irregular, elongated in the E-W direction (Figure 1). The central part of the reservoir is deep, with several depressions: 33 m (max. depth), 26 m, 24 m and 23 m, separated by shallowings. The mean depth is 9.2 m and volume about 7.54 hm3. At the northern shore, there are three shallow bays with a depth lower than 5 m. The bay located at the southeastern end of the lake is separated from the main lake basin by a narrow and shallow channel (Figure 1). In periods of lower water level, contact between the lake and bay is severely limited. The lake catchment covers an area of 281.2 ha. The largest (53%) part of the catchment (over 150 ha) is used for agriculture. Only 35% of the catchment is covered by forest (100 ha (mainly beech and oaks)). There are no compact built-up areas in the direct catchment. However, a recreational resort is located on the southern bank. The resort consists of a restaurant, several summer houses, a BBQ area, campsite, swimming platforms and a parking lot [16]. A fishing club belonging to the Polish Angling Society is located close to the resort.
Figure 1.
Location of Lake Jeleń and sampling points.
2.2. Methods
The studies were carried out between 1991 and 2018, in the years 1991, 1995, 1998, 2000, 2004, 2007, 2013, 2015 and 2018 during the middle of the stagnation period (August). At the deepest point of the lake field, measurements of oxygen saturation, temperature, pH, and electrical conductivity (EC) were conducted using Elmetron S410 and YSI R3650 probes. Water transparency was measured with a Secchi disc. In the years 1991, 2014, 2013, and 2018, also during the stagnation period (August), a wide range of physico-chemical and biological analyses ware made. According to field measurements, three specific layers were determined (epi-, meta-, and hypolimnion) and subsamples from each meter were mixed to obtain one sample of water representative for the layer. The water samples were transported in PVC containers to the laboratory and filtered through GF/C filters. The following parameters were analyzed: ammonium (N-NH4+, using the Nessler method), nitrites (N-NO2−, using the sulphonic acid method), nitrates (N-NO3−, using the sodium salicylate method), Norg (using the Kjeldahl method), total phosphorus (P tot., using the molybdate method after mineralization) and orthophosphates (TRP, using the molybdate method) [18]. Biological oxygen demand (BOD) was analyzed using the dark bottle method, as a difference in the concentration of oxygen after five days. A set of equations developed by Carlson [19] was used to determine the trophic state. Trophic indices were determined for three individual components separately (chlorophyll “a”, total phosphorus, Secchi depth), and then summarized to express the overall trophic state of the lake (TSI). The simplified Carlsons’ trophic state equations used in this study are as follows:
where SD is Secchi disc depth (in meters), CHL and TP are concentrations of chlorophyll “a” pigments and total phosphorus, respectively (both in µg L–1). The TSI was given as a sum of above-mentioned calculations. According to obtained value, the trophy state of the lake was determined, where: <110—oligotrophy, 110–140—mesotrophy, 140–160—meso-eutrophy, 160–210 eutrophy [19].
TSI(SD) = 60 − 14.41 ln(SD)
TSI(CHL) = 9.81 ln(CHL) + 30.6
TSI(TP) = 14.42 ln(TP) + 4.15
Empirical equations linking the euphotic zone depth (zEU) with water transparency (Secchi disc depth) were derived from field measurements [20,21]. Downwelling irradiance profiles were obtained using the profiling radiometers: PER-700 (Biospherical Instruments Inc.) and HyperPro (Satlantic Inc.), respectively. Using values of diffuse attenuation coefficients for photosynthetically active radiation (Kd,PAR) calculated from the light profiles and relation Kd,PAR = 4.6/zEU, as well as Secchi disc depths (SD), the following formula was obtained:
zEU = 2.88 SD0.79
The samples for phytoplankton studies were taken in the same period as samples for the physico-chemical analyses. Within the thermal layers, the subsamples from each meter were mixed to obtain one sample of water representative for the layer. The samples were preserved at the site with Lugol’s solution. Organisms, if possible, were identified to the species level or assigned to a genus only. Phytoplankton larger than 2 µm were analyzed under an inverted microscope after sedimentation in 14-mL or 24-mL chambers, according to the method by Wetzel and Likens [22]. Abundance was expressed as numbers of cells per 1 mL. The biovolume of each species was calculated on the basis of cell shape, size, and number, while their biomass was expressed as wet weight. Biomass was estimated assuming that the volume of 109 µm3 is equivalent to 1 mg. The trophic state was assessed based on indicator taxa [23] and expressed on a scale 1–3, where 1 denotes oligotrophic, 2—mesotrophic, and 3—eutrophic. The trophic index of the community was calculated on the basis of the biomass of trophic state indicators according to the Hörnström formula [24]:
where Ist = trophic index, Is = trophic index of individual species, fs = frequency of the given species (biomass of specimens).
The composition, depth and frequency of macrophyte occurrence were analyzed using the transects method at the peak of the growing season in the same periods as phytoplankton. The investigations were conducted by applying the phytosociological approach [25]. The research was conducted from a boat. The number of transects was calculated using Jensen’s formula (which takes into account the area of the lake and shoreline length) [26]. Every year the study was carried out at the same 13 transects, which were evenly distributed. During the first study in 1991, 13 transects perpendicular to the shoreline were determined, with a width of about 30 m and length depending on the maximum depth of occurrence of plants (Figure 1). The location of the beginning of each transect was noted on a detailed bathymetric plan of the lake on a scale of 1:500. The macrophyte species were determined in each transect with their bottom coverage in percentage. The depth of occurrence, changes in the density and presence of individual taxa were also noted, starting from the shoreline up to the maximum depth of plant occurrence. At greater depths, sea scope for underwater observations or an anchor were used to identify plants. In 2004, the location of these transects was verified and refined by GPS. Therefore, it was possible to repeat the studies with the same methods in the following years, prepare the distribution maps of individual plant taxon and analyze the observed alterations in the structure of the phytolittoral. Particular attention was focused on changes in the occurrence of the isoetids L. dortmanna, L. uniflora and I. lacustris. Changes in the presence of elodeids, typical for eutrophic reservoirs (Ceratophyllum demersum L. and Elodea canadensis Michx.), as species that could potentially displace isoetids under an increase of water trophy conditions were also analyzed. Maps of the occurrence of vegetation in 1991 and 2018 were prepared based on the data from neighboring transects supported by additional field observations made during the field survey and extrapolated on the bathymetric plan. The maps were drawn with ArcGIS for Desktop 10.5.1 program. The transects consisted of phytosociological relevés, in which each uniform patch of vegetation constituted one relevé. The frequency of species was calculated as a percentage share of relevés with species occurrence to all relevés in the lake. Statistical analyses were performed using Statistica 8.0 (StatSoft, Tulsa, OK, USA). The differences in the concentration of elements and values of parameters between years were analyzed with ANOVA and post-hoc Tukey’s HSD test. In all analyses, p < 0.05 was considered as statistically significant.
3. Results
3.1. Physical and Chemical Parameters of the Lake Water
Changes in the values of most of the analyzed physical and chemical parameters of Lake Jeleń water in the period 1991–2018 indicate a deterioration of its quality. At the beginning of the studies, almost all the water column was well oxygenated, and even in the sub-bottom layer, the saturation of oxygen was over 50% (Figure 2). Over time, gradual deterioration of oxygen conditions, especially in the deeper parts of the lake, was observed. In 1998 a total oxygen deficit appeared in the sub-bottom zone of the lake. The anoxic layer became more and more extensive. In August 2018, the volume of deoxygenated water was almost 500 000 m3 and the total O2 deficit extended from a depth of 22 m to the bottom of the lake (Figure 2). Between 1991 and 2018, a gradual increase in the concentration of nutrients in Lake Jeleń could be observed.
Figure 2.
Long-term changes of the oxygen saturation (%O2) and the euphotic zone depth in Lake Jeleń during summer stagnation. Isopleths of the oxygen saturation were interpolated and smoothed by means of the kriging method using Surfer software (ver. 8).
The average concentration of P tot. increased almost 5-fold while the concentration of orthophosphates increased more than 30 times (Table 1).
Table 1.
Physical and chemical features of Lake Jeleń (average value for water column, n = 9) and significance of the statistical difference.
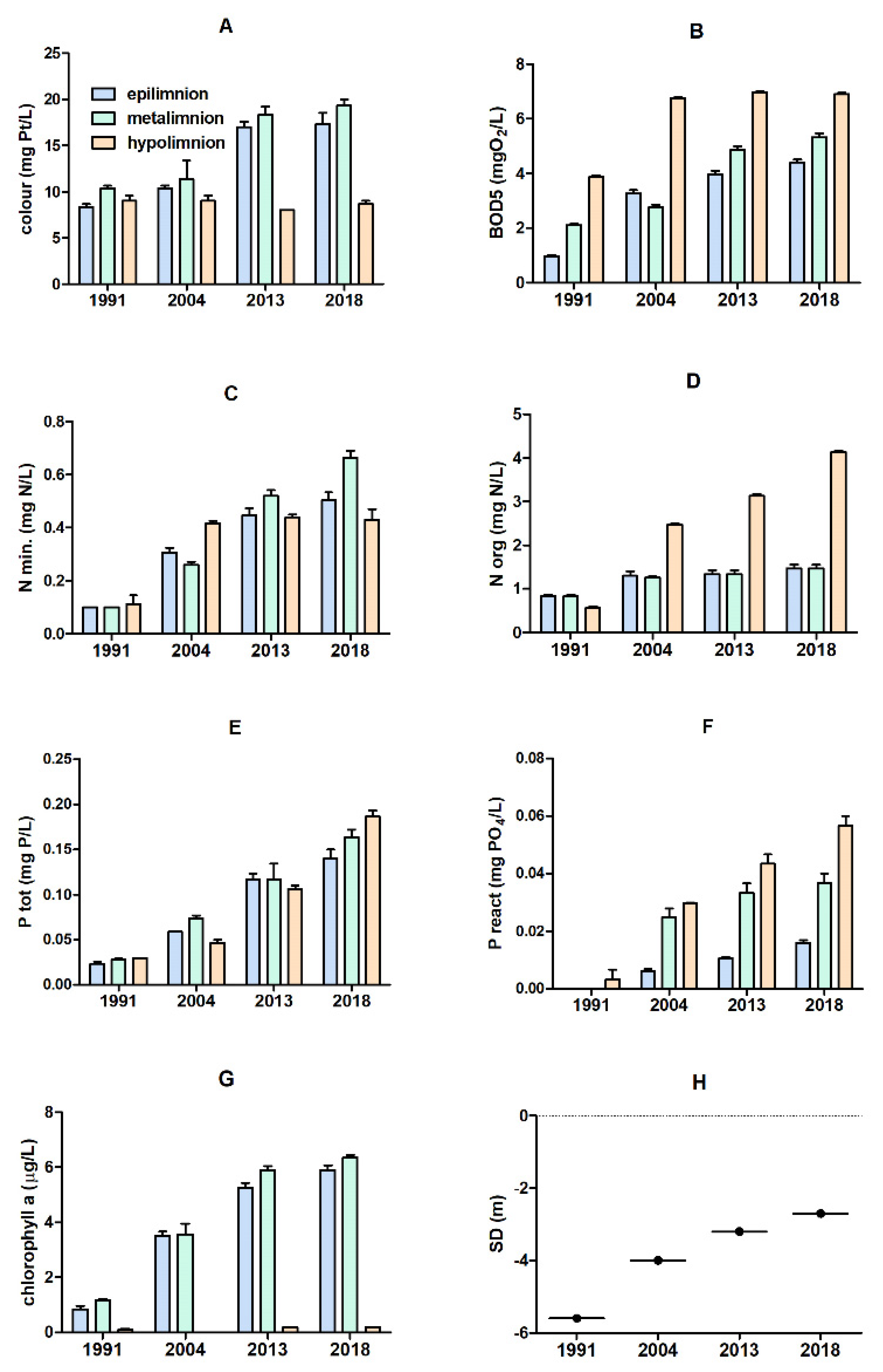
In 1991 orthophosphates were found only in the hypolimnion (with a concentration of about 0.005 mg PO4/L). By 2004 this form of phosphorus was found in the entire water column, and gradually over time, the concentration increased (Figure 3). For the period 1991–2018, for all thermal layers, the difference in PO43− concentration was statistically significant (ANOVA, p < 0.001). Moreover, the concentration of almost all forms of nitrogen significantly increased over the 27 years of surveys. Between 1991 and 2018, the average concentration of mineral nitrogen rose over 5-fold and organic nitrogen over 3-fold (Table 1). The most significant increase was observed for organic N in the hypolimnetic zone of the lake (ANOVA, p < 0.005). In the studied period, an increase of easily degradable organic matter (expressed as BOD) was also found (Table 1, Figure 3).
Figure 3.
Changes in selected physical and chemical parameters of Lake Jeleń water. A—color, B—biochemical oxygen demand, C—mineral nitrogen, D—organic nitrogen, E—total phosphorus, F—orthophosphates, G—chlorophyll “a” and H—Secchi disc depth (box—mean, whisker—standard error, n = 3).
BOD increased gradually in all layers of the lake. However, the highest values were noted in the hypolimnion. Furthermore, the content of chlorophyll “a” increased in the studied period. The most profound and statistically significant changes in chlorophyll were found in the epilimnion and metalimnion (Figure 3) (ANOVA, p < 0.005). With the increase in the content of chlorophyll and watercolor the water transparency decreased significantly (Table 1, Figure 3). In 1991, in the middle of summer, SD visibility exceeded 5.5 m, while in 2004 it was about 4 m, and in 2018 only 2.6 m. The depth of the euphotic zone (1% of incident light) decreased gradually from 11.1–11.3 in 1991 to 5.6–6.3 m in 2018 (Figure 2). Thus, the euphotic zone reduced by half. There was no statistically significant difference between years in the electrical conductivity of lake water. Despite this, comparing 1991 and 2018, an approximately 20% increase in the average EC of lake water was found (Table 1). Carlson’s trophic state index (TSI) shows the deterioration of water quality and the increase of trophy in the lake. The TSI value of 111 calculated for 1991 is characteristic of oligo-mesotrophy, approximately 150 for 2004 and 2013 indicate mesotrophy, while almost 170 found in 2018 points to a meso-eutrophic state. Over the last 30 years, a deterioration in the water quality of Lake Jeleń was found. It should be noted, however, that the most significant changes took place in the years 1991–2004. The fastest increase in the concentration of nutrients, organic matter and the simultaneous deterioration of water transparency occurred during this period.
3.2. Phytoplankton
In 1991, 42 taxa were found in the phytoplankton of Lake Jeleń. Green algae had the largest share in the species structure (33.3%), followed by cyanobacteria and cryptophytes (each of these groups with a 14.3% share). The highest phytoplankton biomass was in the metalimnion, due to the presence of the microplankton species Gymnodinium uberrimum. This dinophyte had as much as a 72% share in the total biomass, which in this layer amounted to 1.24 mg/L. In the hypolimnion, biomass was almost seven times less than in the metalimnion. In turn, the epilimnion with biomass of 0.8 mg/L was also co-dominated by the dinophytes G. uberrimum and G. oligoplacatum, and algae headed by Coenococcus planktonicus (Table 2 and Table 3, Figure 4).
Table 2.
Phytoplankton taxa with the highest share in biomass.
Table 3.
The number of species of phytoplankton of Lake Jeleń in studied periods.
Figure 4.
The changes in the phytoplankton biomass in water layers of Lake Jeleń in subsequent years of surveys.
In the following years, i.e. 2004, 2013 and 2018, the number of phytoplankton taxa was quite similar, changing in the range from 48 to 52 (Table 4). Green algae (40.4–50.0% share in the species composition) and cyanobacteria (18.8–25.5% share) had the greatest species richness. The increase in the number of cyanobacteria and green algae taxa, as compared to 1991, was accompanied by a decrease in the number of taxa of other algae groups, e.g. chrysophytes, euglenophytes and dinophytes.
Table 4.
Trophic state index of Lake Jeleń based on phytoplankton indicator species biomass.
Total phytoplankton biomass in 2004, 2013 and 2018, unlike 1991, was the highest in the epilimnion (Figure 4).
It gradually decreased with depth in all studied years. In 2004 and 2013, total biomass was low, and it slightly exceeded the value of 1 mg/L only in the epilimnion of 2004, but the course of its changes with depth in both years was similar. In 2018, the total biomass of phytoplankton in the epi- and metalimnion was 2-fold higher than in the hypolimnion (Figure 4).
In 2004, the filamentous cyanobacteria Planktothrix agardhii had the highest share in all biomass. The next species in terms of biomass was G. uberimmum in the epilimnion, while it was the green alga Eudorina elegans in the metalimnion (Table 2). In 2013, in all layers, dinophytes had the greatest biomass, with a fairly large share in the biomass of cyanobacteria only in the metalimnion. Gymnodinium sp., Ceratium hirundinella and Peridinium inconspicuum belonged to the species achieving the highest biomass in this year (Table 2). The last analyzed year of research differed the most from the others because cyanobacteria predominated in the whole water column and the share of other groups in the total biomass of phytoplankton did not exceed 10% at any depth. Among cyanobacteria, Dolichospermum spiroides, D. affine and P. agardhii had successively the largest biomass (Table 2).
Trophic state index values calculated based on the biomass of indicator species did not show the same trends in the water column. However, higher values were generally observed in the hypo- or metalimnion. The exception was 2018 when the index value for the epilimnion was the highest (2.62). The average index values for the water column during the studied years ranged from 1.41 in 1991 to 2.58 in 2018 (Table 4). This indicates that in 2018, Lake Jeleń was eutrophic (calculated trophic index values were within limits indicating eutrophy: 2.25–2.74), in 1991 the lake was mesotrophic (1.25–1.74), while in all other years Lake Jeleń was characterized by an intermediate state between mesotrophy and eutrophy (1.75–2.24).
3.3. Macrophytes
During the research, 46 taxa of plants representing various ecological groups of macrophytes were found—from emerged plants (helophytes) to charophytes and bryophytes building “underwater meadows” in the deeper parts of the phytolittoral (Figure 5, Table 5). The number of plant taxa noted in each year of research has changed slightly, from 32 to 39 taxa.
Figure 5.
The changes in the range of the patches with a dominance of characteristic macrophytes in the studied period.
Table 5.
The occurrence of plant species in the Lake Jeleń in the studied years.
The typical belt system of littoral vegetation for lobelia lakes was observed. There was a very narrow strip of emerged plants at the bank. However, in some transects, they were not even noted. In addition, the belt with floating-leaf plants was very poorly developed. In contrast, the isoetid belt was well developed. In shallower places, it was dominated by L. dortmanna and L. uniflora, and in deeper areas by I. lacustris. Isoetids were accompanied by other submerged plants, mainly M. alterniflorum (a species considered as an indicator of moderately eutrophic soft-water lakes) and C. demersum and E. canadensis (species typical of eutrophic reservoirs). In 1991, at greater depths (up to 10 m) there were abundant macroscopic algae (Charophyta) and bryophytes (Figure 5).
Comparing the occurrence of submerged plants in 4 periods, a gradual 2-fold decrease of mean depth (± stand. dev.), from 3.31 ± 2.43 m in 1991 to 1.49 ± 1.57 m in 2018, was observed. A limitation of the zone of deeper phytolittoral built mainly by bryophytes and charophytes was noticed at the turn of the 20th and 21st centuries. The maximum depth of occurrence decreased from 10.0 m in 1991 to 6.0 m in 2013 and about 8.0 m in 2018 (Figure 6). Recently, in 2018, the deep phytolittoral was poorly developed. The charophyte zone was visible, although at a shallower depth (up to 6.5 m compared to about 10 m in 1991). In addition, it was entirely covered by one species, Nitella translucens (Persoon) C.Agardh, which had replaced the species found earlier in this lake of the genera Nitella and Chara.
Figure 6.
The occurrence depth of characteristic macrophytes in subsequent years of surveys.
In the last year of the study, isoetids occurring in the shallower littoral, i.e., L. dortmanna and L. uniflora, were recorded only to a depth of 2.0 m, while previously they were found at 4.0 m, and L. uniflora sporadically even deeper (Figure 5 and Figure 6).
The frequency of the most important taxa—isoetids and eutrophic elodeids—was analyzed. Comparing 1991 and 2018, each isoetid species showed different trends. The frequency of L. dortmanna decreased 2-fold, and the frequency of L. uniflora increased, whereas the frequency of I. lacustris at first increased and between 2013 and 2018 decreased. The 3-fold increase in the frequency of C. demersum (from 6 to ca. 20%) and a slight increase of E. canadensis indicated changes in the lake (Figure 7).
Figure 7.
Frequency of the occurrence of characteristic plant species in subsequent years of surveys.
These species had been noted in Lake Jeleń in 1991. However, their share in the structure of vegetation clearly increased.
4. Discussion
SLI are valuable and relatively rare water ecosystems. Low concentrations and bioavailability of carbon (bicarbonates), nitrogen, and phosphorus limit the growth of plants and result in low productivity and stable functioning [1,7,9,27,28]. On the other hand, a low ion content (mainly calcium and manganese), and thus a low water buffer capacity makes these lakes sensitive to human-driven impacts and highly prone to degradation [1,2]. Deterioration of SLI leading to the disappearance of isoetids, in a different pace in various geographical locations, has been continuously observed [1]. According to Arts [1], since the early 20th century, the percentage reduction of isoetids sites in the Netherlands and Germany has amounted to approx. 90% and 95%, respectively. The main threats to the soft water lakes are related to acidification, humification, alkalinisation and eutrophication [15,29]. In Poland, the eutrophication has been identified as a primary process responsible for the degradation of SLI [9,30]. At the beginning of the 20th century, there were over 190 soft water lakes with isoetids [7], while surveys conducted at the turn of the 20th and 21st centuries have shown that 14% of these ecosystems have undergone substantial deterioration resulting in the loss of all characteristic plant species [6]. An estimated 35% of the remaining Polish SLI lost at least one characteristic plant species and approx. 10% lost two plant species. In most of the lakes the coverage of isoetids has significantly decreased [31].
Our study also showed that one of the largest SLI in Poland, Lake Jeleń, underwent fast man driven eutrophication. The first mention on isoetids (L. dortmanna, I. lacustris) in Lake Jeleń dates from the mid-nineteenth century [32]. According to surveys conducted by Szmal [33] at the end of the 1930s, Lake Jeleń was an oligo-mesotrophic ecosystem with high water transparency, good oxygenation of hypolimnetic water and had dense populations of isoetids. A similar trophic state (oligo-meso), high water transparency, good oxygenation in all water zones and low nutrient concentration was found almost 50 years later in 1991. This indicated a slow evolution of the lake until the beginning of the 1990s. Over the years 1991–2018, there was a gradual increase in the concentration of biogenic elements in the lake water. In the first period, this increase was caused only by an allochthonous supply, but since the formation of the anaerobic zone in the hypolimnion, the nutrients previously deposited in the bottom sediments were easily resuspended into the water column. The steadily increasing concentration of soluble reactive phosphorus in the hypolimnion has confirmed the significant share of internal enrichment in the lake’s nutrient balance in recent years. Kraska et al. [9] also pointed out that internal supply plays a significant role in the acceleration of SLI eutrophication.
Increasing loads of nutrients in the water column trigger primary production [34,35]. A gradual increase in phytoplankton biomass and the chlorophyll “a” concentration in Lake Jeleń are clear indicators of the growing fertility of the lake. According to the surveys of Polish SLI made in the early1990s, Lake Jeleń with a range of 33–42 taxa was classified as medium-rich [23,36]. The results of phytoplankton surveys from 2004 to 2018 show that species richness increased to over 50 taxa—a high value for SLI in Poland. The dominance of green algae with the codominance of cyanobacteria observed in Lake Jeleń is characteristic of the array of summer phytoplankton of many other Polish SLI [37,38,39,40,41,42,43]. Considering phytoplankton biomass, in the light of the criteria of Heinonen [44], an increase of trophy of the epilimnetic zone from olig-meso to mesoptrophic was found. According to biomass, the cyanobacteria were the group with the highest increase in the studied period and in 2018 prevailed over other phytoplankton groups. The codominance of P. agardhii, a species that produces toxic, bioactive metabolites [45,46], may be alarming in the context of its intensive recreational lake use.
Deterioration of the underwater light regime caused by increasing phytoplankton biomass together with changes in chemistry alters the abundance and composition of an aquatic plant community [9,11,47,48]; this was also observed in Lake Jeleń. Undoubtedly, the deterioration of isoetids during the SLI eutrophication arose from several overlapping processes. Changes in water chemistry (availability of nutrients, carbon, water acidity) may lead to the competitive exclusion of isoetids by other plants adapted to more fertile habitats [1,49]; other deleterious effects may arise from an increase in the rate of sedimentation and decomposition of organic matter [50,51] and oxygen depletion in the root zone [52]. A characteristic feature in the 1990s was the occurrence of dense mats of macrophytes to considerable depths, charophytes to 8 m and mosses to over 10 m, and the covering of significant areas of the lake bottom. These stabilized the lake functioning due to the ability to capture and immobilize nutrients from the water column and counteract the resuspension of N and P from the sediments [53,54]. Changes in the physical and chemical parameters of water, especially light reduction [1,3,55], triggered substantial alterations in Lake Jeleń vegetation: reduction of the maximum depth of plant occurrence, and thus of the phytolittoral area, decrease in the frequency and density of isoetids, with a simultaneous expansion of C. demersum and E. canadensis characteristic of eutrophy and progressing alkalinization [1,56]. Such a reaction of SLI ecosystems on progressing eutrophication have already been described many times [2,9,11,30]. Our findings confirmed the highest tolerance of L. uniflora to deterioration of water quality during eutrophication [1,57,58]. The appearance in 2013 [17] of the extremely rare and critically endangered in Poland stonewort N. translucens confirms the unstable character of Lake Jeleń. The colonization of SLI by this stonewort during the change of the chemical properties of water were also noted by Brouwer and Roloefs [56] in lake Banen.
Due to the unique character of the lake and its natural value, as well as the continuous ongoing deterioration of its ecological condition, it is necessary to introduce protective measures. The restoration of the SLI is a very complex issue and the measures to be taken depend on many factors such as the character of the catchment area, the primary cause and the degree of the ecosystem degradation, the morphology of the lake and many others [5,9,29,59]. Undoubtedly the restoration of characteristic plant species in SLI depends on the restoration of the physical and chemical conditions of the water and sediments that were present before ecosystem deterioration [9,56,60]. The biotope restoration should have been preceded by the identification and elimination of the main causes of degradation. In the case of surveyed Lake Jeleń, the main threats come from nonpoint sources of pollution: agriculture, urban areas and recreation [16,49], so primarily these sources should be excluded or significantly reduced. There are many examples of natural recovery of water ecosystems, including soft water lakes, after the reduction of local nutrient inputs [9,61,62]. Although isoetids regenerate well thanks to their ability to germinate seeds even 20 years after the species has disappeared [56], the natural recovery of the soft water lakes occurs either in the case of minor degeneration or in the case of a drastic reduction of the pollution [61]. There are many measures supporting natural lakes recovery and reducing the inflow of allochthonous nutrients. Ensuring the proper sewage system, introducing sustainable agriculture, establishing wide buffer zones with wetland and forest vegetation around the lakes are most often used [16,63]. There are also a number of methods of SLI restoration consisting of measures within the water ecosystems. One of the non-invasive methods that could be applied is top-down biomanipulation leading to the eventual reduction of phytoplankton biomass and increase in water transparency. However, biomanipulation may be successfully implemented in lakes in the early stages of degradation [64,65]. Other methods of SLI restoration depend on the main degradation factor. The liming is the main strategy to counteract acidification of boreal SLI. However, this measure is implemented to benefit fish populations, rather than to recover soft water vegetation [66,67]. Experimental data shows that liming affects the shoot:root ratio of isoetids. Shoot biomass and length of L. dortmanna, L. uniflora and I. lacustris significantly increase after liming [67]. It may be a factor causing the isoetids to uproot during heavy storms and water waving [29,67]. Boreal SLI also lost their characteristic vegetation after liming due to overshadowing by rapidly-developing caulescent plants (e.g. Juncus bulbosus) and alkalinization and fertilization of sediments [67,68,69]. A similar reaction of characteristic plant species was found in limed Polish SLI [9]. Several cases of the restoration of acidified Atlantic SLI also indicate the lack of effectiveness of this method [29]. One-time liming is usually followed by rapid reacidification while regular liming leads do the alkalinization of sediments and nutrient mobilization [29,70]. In acidified Atlantic SLI, better results of restoration were observed after the removal of recently accumulated organic matter from both the riparian and aquatic zone. However, the ecosystem restoration and soft water macrophyte recolonization was usually short term. Reacidification or eutrophication leads to the decline of isoetids in a few years [56]. Organic matter removal has had a much better effect in Atlantic eutrophicated SLI. Mud removal in several such lakes resulted in a decrease of the concentration of soluble reactive phosphorus, a decrease of algal blooms, an increase of transparency and the reestablishment of isoetids and other plant species characteristic for SLI. Such effects persisted for over a decade after the restoration [29,56]. However, the case of Lake Banen in the Netherlands shows that such measures must cover all of the lake areas. Otherwise, the unrestored parts are the source of re-eutrophication and degradation [29,56]. The implementation of such measures in Lake Jeleń, due to the significant area and development of shoreline inaccessibility of a part of the shore, would be very expensive. Improvement of underwater light regimes and oxygenation conditions during the restoration of lakes is achieved by the flocculation of algae blooms with aluminum or iron-based coagulants. However, in the case of SLI, these coagulants should not be used, due to reports of adverse effects of these measures on aquatic macrophytes [71,72]. Due to the significant volume of hypolimnion and an anoxic zone in Lake Jeleń, such measures as the removal of hypolimnetic water, or supplementation of sub-bottom water with oxygen is inefficient in relation to costs [16].
5. Conclusions
Until the last decade of the 20th century, Lake Jeleń was a stable soft water ecosystem with dense populations of isoetids. Human impact exerted on the catchment and directly on the lake has led to ongoing deterioration of water quality and an increase in lake fertility. Altogether these changes have caused a biological reaction: increase in the biomass of phytoplankton assemblages, the dominance of cyanobacteria, reduction of the range of the phytolittoral and decreased bottom coverage by L. dortmanna and I. lacustris. In view of the progressive eutrophication and degradation of the valuable ecosystem, protective measures should be implemented. Reduction of allochthonous nutrient loads and a change in the structure of ichthyofauna (an increase of predatory species) are suggested to achieve a significant reduction in algae biomass, an increase in water transparency and rehabilitation of soft water macrophytes.
Author Contributions
Conceptualization, P.K., R.P. and D.B.; methodology, P.K.; software, P.K., J.R., D.B., R.P.; validation, P.K., D.B., J.R. formal analysis, P.K.; investigation, P.K., M.K., D.B., R.P., J.R., E.S.-W.; resources, P.K.; writing—original draft preparation, P.K., D.B., R.P., J.R. and E.S.-W.; writing—review and editing, P.K., D.B., J.R. and E.S.-W.; visualization, P.K., D.B. and J.R.; supervision, P.K. and M.K.; finding acquisition, P.K., D.B. All authors read and approved the final manuscript.
Funding
This research received no external funding.
Conflicts of Interest
The authors declare no conflict of interest.
References
- Arts, G.H.P. Deterioration of atlantic soft water macrophyte communities by acidification, eutrophication and alkalinisation. Aquat. Bot. 2002, 73, 373–393. [Google Scholar] [CrossRef]
- Smolders, A.J.P.; Lucassen, E.C.H.E.T.; Roelofs, J.G.M. The isoetid environment: Biogeochemistry and threats. Aquat. Bot. 2002, 73, 325–350. [Google Scholar] [CrossRef]
- Spierenburg, P.; Lucassen, E.C.H.E.T.; Lotter, A.F.; Roelofs, J.G.M. Competition between isoetids and invading elodeids at different concentrations of aquatic carbon dioxide. Freshw. Biol. 2010, 55, 1274–1287. [Google Scholar] [CrossRef]
- European Commission, DG Environment, Nature ENV B.3, B. European Commission, Interpretation Manual of European Union Habitats–EUR28; European Commission: Brussels, Belgium, 2013. [Google Scholar]
- Kolada, A.; Piotrowicz, R.; Wilk-Woźniak, E.; Dynowski, P.; Klimaszyk, P. Conservation status of the Natura 2000 habitat 3110 in Poland: Monitoring, classification and trends. Limnol. Rev. 2017, 17, 215–222. [Google Scholar] [CrossRef]
- Kraska, M. Jeziora lobeliowe (Lobelia lakes). In Siedliska Przyrodnicze. Poradniki Ochrony Siedlisk i Gatunków Natura 2000–Podręcznik Metodyczny. Tom 2: Wody Słodkie i Torfowiska (Natural Habitats. Guides for the Protection of Habitats and Natura 2000 Species–A Methodological Handbook; Herbich, J., Ed.; Ministerstwo Środowiska: Warsaw, Poland, 2004; Volume 2, pp. 29–36. [Google Scholar]
- Borowiak, D.; Piotrowicz, R.; Nowiński, K.; Klimaszyk, P. Soft-water lobelia lakes in Poland. In Polish River Basins and Lakes–Part I. The Handbook of Environmental Chemistry; Krzeniewska, E., Harnisz, M., Eds.; Springer: Berlin/Heidelberg, Germany, 2020; pp. 89–118. [Google Scholar]
- Free, G.; Bowman, J.; McGarrigle, M.; Caroni, R.; Donnelly, K.; Tierney, D.; Trodd, W.; Little, R. The identification, characterization and conservation value of isoetid lakes in Ireland. Aquat. Conserv. Mar. Freshw. Ecosyst. 2009, 19, 264–273. [Google Scholar] [CrossRef]
- Kraska, M.; Klimaszyk, P.; Piotrowicz, R. Anthropogenic changes in properties of the water and spatial structure of the vegetation of the lobelia lake Lake Modre in the Bytów Lakeland. Oceanol. Hydrobiol. Stud. 2013, 42, 302–313. [Google Scholar] [CrossRef]
- Klimaszyk, P.; Rzymski, P. Catchment vegetation can trigger lake dystrophy through changes in runoff water quality. Ann. Limnol.-Int. J. Limnol. 2013, 49, 191–197. [Google Scholar] [CrossRef]
- Klimaszyk, P.; Piotrowicz, R.; Rzymski, P. Changes in physico-chemical conditions and macrophyte abundance in a shallow soft-water lake mediated by a Great Cormorant roosting colony. J. Limnol. 2015, 74, 114–122. [Google Scholar] [CrossRef]
- Joniak, T.; Klimaszyk, P.; Kraska, M. Diel dynamics of vertical changes of chlorophyll and bacteriochlorophyll in small humic lakes. Oceanol. Hydrobiol. Stud. 2010, 39, 103–111. [Google Scholar] [CrossRef]
- Naiman, R.J.; Decamps, H. The Ecology and Management of Aquatic-Terestrial Ecotones; UNESCO/MAB(05)/M2/v.4: Paris, French, 1990. [Google Scholar]
- Serafin, A.; Sender, J.; Bronowicka-Mielniczuk, U. Potential of shrubs, shore vegetation and macrophytes of a lake to function as a phytogeochemical barrier against biogenic substances of various origin. Water 2019, 11, 290. [Google Scholar] [CrossRef]
- Murphy, K.J. Plant communities and plant diversity in softwater lakes of northern Europe. Aquat. Bot. 2002, 73, 287–324. [Google Scholar] [CrossRef]
- Szyper, H.; Gołdyn, R.; Romanowicz, W.; Kraska, M. Możliwości ochrony oligotroficznego jeziora Jeleń przed czynnikami antropogennymi (Possibilities of protecting the oligotrophic Lake Jeleń against influence of man). In Jeziora Lobeliowe. Charakterystyka, Funkcjonowanie i Ochrona. Cz. I.; Kraska, M., Ed.; Sorus: Poznań, Poland, 1994; pp. 105–115. [Google Scholar]
- Rosińska, J.; Piotrowicz, R.; Celiński, K.; Dabert, M.; Rzymski, P.; Klimaszyk, P. The reappearance of an extremely rare and critically endangered Nitella translucens (Charophyceae) in Poland. J. Phycol. 2019, 55, 1412–1415. [Google Scholar] [CrossRef] [PubMed]
- American Public Health Association. Standard Methods for the Examination of Water and Wastewater, 17th ed.; American Public Health Association: Washington, DC, USA, 1991. [Google Scholar]
- Carlson, R.E. A trophic state index for lakes. Limnol. Ocean. 1977, 22, 361–369. [Google Scholar] [CrossRef]
- Borowiak, D. Właściwości Optyczne wód Jeziornych Pomorza (Optical properties of the Pomeranian Lake Waters); Wydawnictwo Uniwersytetu Gdańskiego: Gdańsk, Poland, 2011. [Google Scholar]
- Ficek, D. Właściwości Biooptyczne wód jezior Pomorza oraz ich poróWnanie z Właściwościami wód Innych Jezior i Morza Bałtyckiego (Bio-Optical Properties of Waters in Pomeranian Lakes and Their Comparison to Optical Properties of Other Lake Waters and the Baltic Sea); Rozpr. Mon.; PAN IO: Sopot, Poland, 2013. [Google Scholar]
- Wetzel, R.G.; Likens, G.E. Limnological Analyses, 2nd ed.; Springer: Berlin/Heidelberg, Germany, 1991. [Google Scholar]
- Szeląg-Wasielewska, E.; Gołdyn, R.; Bernaciak, A. Fitoplankton a stan trofii wód jeziora Jeleń na Pojezierzu Bytowskim (Phytoplankton versus the trophic state of lake Jeleń in the Pomeranian Lakeland). In Badania Fizjograficzne nad Polską Zachodnią, Seria B–Botanika; PTPN: Poznań, Poland, 1999; pp. 203–223. [Google Scholar]
- Hörnström, E. Trophic characterization of lakes by means of qualitative phytoplankton analysis. Limnologica 1981, 13, 249–261. [Google Scholar]
- Braun-Blanquet, J. Pflanzensoziologie; Springer: Berlin/Heidelberg, Germany, 1964. [Google Scholar]
- Jensén, S. An objective method for sampling the macrophyte vegetation in lakes. Vegetatio 1977, 33, 107–118. [Google Scholar] [CrossRef]
- Kraska, M.; Piotrowicz, R. Roślinność wybranych jezior lobeliowych na tle warunków fizyczno-chemicznych ich wód. In Jeziora Lobeliowe. Charakterystyka, Funkcjonowanie i Ochrona. Cz. I.; Kraska, M., Ed.; Sorus: Poznań, Poland, 1994; pp. 37–83. [Google Scholar]
- Madsen, T.V.; Olesen, B.; Bagger, J. Carbon acquisition and carbon dynamics by aquatic isoetids. Aquat. Bot. 2002, 73, 351–372. [Google Scholar] [CrossRef]
- Brouwer, E.; Bobbink, R.; Roelofs, J.G.M. Restoration of aquatic macrophyte vegetation in acidified and eutrophied softwater lakes: An overview. Aquat. Bot. 2002, 73, 405–431. [Google Scholar] [CrossRef]
- Szmeja, J. Evolution and conservation of lobelia lakes in Poland. Fragm. Flor. Geobot. 1997, 40, 89–94. [Google Scholar]
- Kraska, M.; Piotrowicz, R. Lobelia lakes: Specificity, trophy, vegetation and protection. In Protection of Lakes and Wetlands of Pomerania Region; Malinowski, B., Ed.; Towarzystwo Ekologiczno-Kulturalne: Bobolice, Poland, 2000; pp. 48–52. [Google Scholar]
- Doms, F.A. Ein neuer Standort von Isoetes lacustris (L.) Dur. (A new location for Isoetes lacustris (L.) Dur.). Werh. Bot. Ver. Pr. Brand. 1862, 3–4, 387–388. [Google Scholar]
- Szmal, Z. Badania hydrochemiczne jezior lobeliowych Pojezierza Zachodniego. PTPN 1959, XIX, 106. [Google Scholar]
- Roelofs, J.G.M. Soft-water macrophytes and ecosystems: Why are they so vulnerable to environmental changes? Introduction. Aquat. Bot. 2002, 73, 285–286. [Google Scholar] [CrossRef]
- Piotrowicz, R.; Kraska, M.; Klimaszyk, P.; Szyper, H.; Joniak, T. Vegetation richness and nutrient loads in 16 lakes of Drawieński National Park (northern Poland). Polish J. Environ. Stud. 2006, 15, 467–478. [Google Scholar]
- Szeląg-Wasielewska, E.; Gołdyn, R. Zbiorowiska glonów w pelagialu jezior lobeliowych (Algal communities in the pelagial zone of lobelian lakes. In Jeziora Lobeliowe. Charakterystyka, Funkcjonowanie i ochrona. Cz. I.; Kraska, M., Ed.; Sorus: Poznań, Poland, 1994; pp. 37–65. [Google Scholar]
- Szeląg-Wasielewska, E. Vertical distribution of phototrophs in the pelagic zone of three small Lobelia lakes. Oceanol. Hydrobiol. Stud. 2010, 39, 121–133. [Google Scholar] [CrossRef]
- Oleksowicz, A. Phytoplankton communities of Lobelia–type lakes in the Kashubian Lake District (Pomerania, northern Poland). Acta Hydrobiol. 1989, 31, 259–271. [Google Scholar]
- Luścińska, M.; Oleksowicz, A.S. The structure and production of algal communities in the lakes of the Bory Tucholskie region. In Some Ecological Processes of the Biological Systems in North Poland; Bohr, R., Nienartowicz, A., Witkoń-Michalska, J., Eds.; N. Copernicus University Press: Toruń, Poland, 1992; pp. 283–297. [Google Scholar]
- Szeląg-Wasielewska, E. Phytoplankton community structure in non-stratified lakes of Pomerania (NW Poland). Hydrobiologia 2003, 506–509, 229–236. [Google Scholar] [CrossRef]
- Szeląg-Wasielewska, E. Phytoplankton structure of two small lakes–changes after a decade. Oceanol. Hydrobiol. Stud. 2007, 36, 113–120. [Google Scholar]
- Pełechata, A. Zbiorowiska fitoplanktonu jezior lobeliowych Pojezierza Pomorskiego (Phytoplankton communities of lobelia lakes of the Pomeranian Lake District). In Jeziora Lobeliowe w Drugiej Dekadzie XXI Wieku; Bociąg, K., Borowiak, D., Eds.; Fundacja Rozwoju Uniwersytetu Gdańskiego: Gdańsk, Poland, 2016; pp. 80–96. [Google Scholar]
- Szeląg-Wasielewska, E. Phytoplankton structure in lakes with a low trophic level in north-west Poland. In Physicochemical Problems of Natural Waters Ecology; Gurgul, H., Ed.; Wydawnictwo Naukowe Uniwersytetu Szczecińskiego: Szczecin, Poland, 2005; pp. 281–296. [Google Scholar]
- Heinonen, P. Quantity and composition of phytoplankton in Finnish inland waters [eutrophication, water quality, diversity, indicator species, odour index]. Water Res. Inst. 1980, 37, 1–91. [Google Scholar]
- Komárek, J.; Komárkova, J. Taxonomic review of the cyanoprokaryotic genera Planktothrix and Planktothricoides. Czech. Phycol. 2004, 4, 1–18. [Google Scholar]
- Welker, M.; Christiansen, G.; von Döhren, H. Diversity of coexisting Planktothrix (Cyanobacteria) chemotypes deduced by mass spectral analysis of microystins and other oligopeptides. Arch. Microbiol. 2004, 182, 288–298. [Google Scholar] [CrossRef]
- Rosińska, J.; Gołdyn, R. Response of vegetation to growing recreational pressure in the shallow Raczyńskie Lake. Knowl. Manag. Aquat. Ecosyst 2018, 419, 1. [Google Scholar] [CrossRef]
- O’Hare, M.T.; Aguiar, F.C.; Asaeda, T.; Bakker, E.S.; Chambers, P.A.; Clayton, J.S.; Elger, A.; Ferreira, T.M.; Gross, E.M.; Gunn, I.D.M.; et al. Plants in aquatic ecosystems: Current trends and future directions. Hydrobiologia 2018, 812, 1–11. [Google Scholar] [CrossRef]
- Klimaszyk, P.; Kraska, M.; Piotrowicz, R. Human impact on the functioning lobelia lake: Lake Jeleń (Bytów Lakeland). In Diagnosing the State of the Environment, Methods and Prognoses; Garbacz, J.K., Ed.; Bydgoskie Towarzystwo Naukowe: Bydgoszcz, Poland, 2014; pp. 131–138. [Google Scholar]
- Chappuis, E.; Lumbreras, A.; Ballesteros, E.; Gacia, E. Deleterious interaction of light impairment and organic matter enrichment on Isoetes lacustris (Lycopodiophyta, Isoetales). Hydrobiologia 2015, 760, 145–158. [Google Scholar] [CrossRef][Green Version]
- Ribaudo, C.; Tison-Rosebery, J.; Buquet, D.; Gwilherm, J.; Jamoneau, A.; Abril, G.; Anschutz, P.; Bertrin, V. Invasive aquatic plants as ecosystem engineers in an oligo-mesotrophic shallow lake. Front. Plant. Sci. 2018, 9, 1781. [Google Scholar] [CrossRef] [PubMed]
- Sand-Jensen, K.; Claus, L.; Borum, J. High resistance of oligotrophic isoetid to oxic and anoxic dark exposure. Freshwat. Biol. 2015, 60, 1044–1051. [Google Scholar] [CrossRef]
- Srivastava, J.; Gupta, A.; Chandra, H. Managing water quality with aquatic macrophytes. Rev. Environ. Sci. Biotechnol. 2008, 7, 255. [Google Scholar] [CrossRef]
- Kuczyńska-Kippen, N.; Klimaszyk, P. Diel microdistribution of physical and chemical parameters within the dense Chara bed and their impact on zooplankton. Biologia 2007, 4, 432–437. [Google Scholar] [CrossRef]
- Borowiak, D.; Bociąg, K.; Nowiński, K.; Borowiak, M. Light requirements of water lobelia (Lobelia dortmanna L.). Limnol. Rev. 2017, 17, 171–182. [Google Scholar] [CrossRef]
- Brouwer, E.; Roelofs, J.G.M. Degraded softwater lakes: Possibilities for restoration. Restor. Ecol. 2001, 9, 155–166. [Google Scholar] [CrossRef]
- Kłosowski, S.; Szańkowski, M. Habitat differentiation of the Myriophyllum alterniflorum and Littorella uniflora phytocoenoses in Poland. Acta Soc. Bot. Pol. 2011, 73, 79–86. [Google Scholar] [CrossRef][Green Version]
- Dierssen, K. Littorelletea uniflorae. In Prodromus der Europäischen Pflanzengesellschaften; Tuxen, R., Ed.; Vaduz, Liechtenstein, 1975. [Google Scholar]
- Roelofs, J.G.M. Restoration of eutrophied shallow softwater lakes based upon carbon and phosphorus limitation. Neth. J. Aquat. Ecol. 1996, 30, 197–202. [Google Scholar] [CrossRef]
- Pulido, C.; Keijsers, D.J.H.; Lucassen, E.C.H.E.T.; Pedersen, O.; Roelofs, J.G.M. Elevated alkalinity and sulfate adversely affect the aquatic macrophyte Lobelia dortmanna. Aquat. Ecol. 2012, 46, 283–295. [Google Scholar] [CrossRef][Green Version]
- Kochanowski, J.; Tobolski, K. A new locality of lobelia in Lake Krzywce Wielkie: Bory Tucholskie National Park. Stud. Lim. Tel. 2010, 4, 61–64. [Google Scholar]
- Riera, J.L.; Ballesteros, E.; Pulido, C.; Chappuis, E.; Gacia, E. Recovery of submersed vegetation in a high mountain oligotrophic soft-water lake over two decades after impoundment. Hydrobiologia 2017, 794, 139–151. [Google Scholar] [CrossRef]
- Zalewski, M.; Robarts, R. Ecohydrology–a new paradigm for integrated water resources management. SILnews 2003, 40, 1–5. [Google Scholar]
- Romo, S.; Van Donk, E.; Gylstra, R.; Gulati, R. A multivariate analysis of phytoplankton and foodweb changes in a shallow biomanipulated lake. Freshw. Biol. 1996, 36, 683–696. [Google Scholar] [CrossRef][Green Version]
- Rosińska, J.; Romanowicz-Brzozowska, W.; Kozak, A.; Gołdyn, R. Zooplankton changes during bottom-up and top-down control due to sustainable restoration in a shallow urban lake. Environ. Sci. Pollut. Res. 2019, 26, 19575–19587. [Google Scholar] [CrossRef]
- Larssen, T.; Cosby, B.J.; Lund, E.; Wright, R.F. Modeling future acidification and fish populations in Norwegian surface waters. Environ. Sci. Technol. 2010, 44, 5345–5351. [Google Scholar] [CrossRef]
- Lucassen, C.H.E.T.; Smolders, A.J.P.; Roelofs, J.G.M. Liming induces changes in the macrophyte vegetation of Norwegian softwater lakes by mitigating carbon limitation: Results from a field experiment. App. Veget. Sci. 2012, 15, 166–174. [Google Scholar] [CrossRef]
- Lindmark, G.K. Acidified lakes sediment treatment with sodium carbonate, a remedy? Hydrobiologia 1987, 92, 537–547. [Google Scholar]
- Sand-Jensen, K.; Borum, J.; Binzer, T. Oxygen stress and reduced growth of Lobelia dortmanna in sandy lake sediments subject to organic enrichment. Freshw. Biol. 2005, 9, 1–11. [Google Scholar] [CrossRef]
- Bellemakers, M.J.S.; Maessen, M.; Verheggen, G.M.; Roelofs, J.G.M. Effect of liming on shallow acidified moorland pools: A culture and seed bank experiment. Aquat Bot. 1996, 54, 37–50. [Google Scholar] [CrossRef]
- Rybak, M.; Kołodziejczyk, A.; Joniak, T.; Ratajczak, I.; Gąbka, M. Bioaccumulation and toxicity studies of macroalgae (Charophyceae) treated with aluminium: Experimental studies in the context of lake restoration. Ecotoxicol. Environ. Saf. 2017, 145, 359–366. [Google Scholar] [CrossRef] [PubMed]
- Rybak, M.; Gąbka, M.; Ratajczak, I.; Woźniak, M.; Sobczyński, T.; Joniak, T. In-situ behavioural response and ecological stoichiometry adjustment of macroalgae (Characeae, Charophyceae) to iron overload: Implications for lake restoration. Water Res. 2020, 173, 115602. [Google Scholar] [CrossRef] [PubMed]
© 2020 by the authors. Licensee MDPI, Basel, Switzerland. This article is an open access article distributed under the terms and conditions of the Creative Commons Attribution (CC BY) license (http://creativecommons.org/licenses/by/4.0/).






