Abstract
Variance in stream temperature from historical norms, which reflects the impacts from both hydrological and meteorological factors, is a significant indicator of the stream ecosystem health. Therefore, it is imperative to study the hydrological processes controlling stream temperature in the watershed. The impacts of hydrological processes on stream temperature in the cold region of Western Canada were investigated based on the previously developed Soil and Water Assessment Tool (SWAT) equilibrium temperature model. The model was calibrated and validated for streamflow and stream temperature based on the observations and a global parameter sensitivity analysis conducted to identify the most important hydrological process governing the stream temperature dynamics. The precipitation and air temperature lapse rates were found to be the most sensitive parameters controlling the stream temperature, followed by the parameters regulating the processes of soil water dynamics, surface runoff, and channel routing. Our analysis showed an inverse relationship between streamflow volume and stream temperature, and different runoff components have different impacts on temporal regimes of stream temperatures. This study elaborates on the response of the stream temperature to changes in hydrological processes at the watershed scale and indicates that hydrological processes should be taken into account for prediction of stream temperatures.
1. Introduction
Stream temperature is a very important indicator when determining water quality condition and ecosystem health because it directly and indirectly impacts numerous physical properties (e.g., pH) and biochemical processes of the stream [1]. It affects the water quality by determining the saturated dissolved oxygen [2], biochemical reaction rates [3], and the distribution and habitat of aquatic species, particularly for fishes [4]. Moreover, stream temperature is usually regulated by the industry such as power plant. Therefore, modelling stream temperature under various hydrological and meteorological conditions at a watershed scale is important to enhance understanding of the underlying processes for protecting stream ecosystems [5]. Stream temperature regimes are influenced by both meteorological forcing and hydrological conditions at different temporal and spatial scales [6]. The heat balance between atmosphere and water interface under different meteorological conditions (i.e., air temperature, solar radiation, relative humidity, and wind speed) are important for modelling stream temperatures. Though the impacts on stream temperature from these meteorological factors are well understood, there are limited studies using process-based models to incorporate the impacts of different hydrological processes including surface runoff, snowmelt, and evapotranspiration on stream temperature.
Previous studies have used observed stream temperature to investigate hydrological processes impact on stream temperature [7,8,9]. These studies have demonstrated that the streamflow volume and runoff composition reflecting variations in hydrological processes have important influences on stream temperature. For instance, Webb et al. [7] found that stream temperature is inversely related to streamflow and that the impact of streamflow on stream temperature was more obvious for shorter temporal scales and larger watersheds. Van Vliet et al. [8] also suggested that variations in streamflow are important for influencing stream temperatures and demonstrated that there is an inverse relationship between streamflow and stream temperatures, reflecting a reduced thermal capacity under decreasing streamflow. However, stream temperature is also substantially influenced by runoff composition of the water in the stream because different runoff components, including surface runoff, groundwater flow, lateral flow, glacier melt, and snowmelt runoff, enter the stream with different temperature signatures. For example, surface runoff temperature is close to the air temperature but snowmelt runoff is just around zero degree [6]. Bogan et al. [9] investigated a total of 596 stream temperature stations across the United States and found that local hydrology, such as snowmelt and groundwater, had significant influences on stream temperature in addition to atmospheric forcing. Fellman et al. [10] investigated the impacts of various glacier coverages on stream temperature in coastal watersheds of Southeast Alaska and found that stream temperatures decrease when air temperatures elevate in summer for those streams with glacier coverage greater than 30% due to the cooling effects of glacier melt runoff. Therefore, stream temperature regimes will be substantially altered if there are changes in runoff composition and/or flow discharge volume caused by the changes in these watershed hydrological processes. In addition, the extreme hydrological event, such as flood, influences stream temperature by changing the river morphology [11]. Prolonged flood duration may favor an increase of water temperature [12] and flood can also trigger reservoir management practices (e.g., water release) that impact the downstream water temperature. A process-based model which integrates both the hydrological processes and thermal energy balance in the stream will be a powerful tool for investigating the impacts of hydrological process on stream temperature.
Different kinds of models for stream temperature modeling have been developed and applied in the past, and these models can be divided into statistical based models, machine learning, and process-based models. Statistical models use regression relationships between stream temperature and meteorological variables to simulate stream temperature. Some examples of the most widely used statistical models are linear regression or non-linear regressions using air temperature as input. For instance, a linear regression model for simulating daily and weekly stream temperatures based on air temperature with time lags was developed and used in the Mississippi River basin [13]. Recently, Giles et al. [14] developed different linear regression models for four seasons and 408 different locations across United States. The model performances were improved by considering the spatial and seasonal variations in model parameters. A non-linear regression model between weekly stream temperature and air temperature was developed for the contiguous United States [15]. Recently, Shrestha and Wang. The authors of [16] used this non-linear regression model to predict daily stream temperature in Athabasca River Basin in Western Canada and used this to predict climate change impacts on stream temperatures based on their calibrated regression model. Other studies have used other regression techniques like Bayesian regression and logistic function models and have included streamflow as another model input besides air temperature [17,18]. Similarly, machine learning models are also applied for stream temperature modeling, with artificial neural network (ANN) models as one of the widely used methods [19,20]. One weakness, however, is that these models use only air temperature or both air temperature and flow discharge as predictors. While good performances for stream temperature modeling can be achieved by these statistical and machine learning models, the impacts of changes in hydrological processes are not explicitly represented and therefore present uncertainty for the future projections. We argue that the impacts of hydrological process need to be investigated by using stream temperature models that are fully coupled to hydrological models and explicitly include key hydrological processes. Process-based models use the energy balances of heat fluxes to simulate stream temperature change caused by heat transfer [21] and some of process-based models have been incorporated into watershed scale hydrological models. For instance, Ozaki et al. [22] incorporated heat balance processes in terrestrial and stream systems into hydrological model using multi-layer mesh for stream temperature simulation. Yearsley, J. [23] incorporated thermal energy balance simulations in river systems into variable infiltration capacity (VIC) model for modeling stream temperature. Morales-Marín et al. [24] developed a stream model for the cold region watershed by integrating a 1D stream temperature model with a semi-distributed process-based hydrological model. In our previous studies, we developed a stream temperature model by integrating the equilibrium temperature approach for simulating heat transfer between water and air, and incorporated it into the widely used Soil and Water Assessment Tool (SWAT) hydrological model [3]. In addition to the influences from meteorological factors, the equilibrium temperature model includes the impact from key hydrological processes including the composition of different runoff components and water depth dynamics. The stream temperature model has been successfully verified and applied in two different cold region watersheds in North America [3]. The SWAT model has been extensively developed for different watersheds in the cold region of Canada [25,26,27,28] and these have successfully modeled and represented the hydrological processes for snowmelt-dominated watersheds in western and eastern Canada [29]. Therefore, we used the newly developed SWAT equilibrium temperature model to investigate the impacts of hydrological processes on stream temperature in the Elbow River watershed in the cold region of Western Canada.
The SWAT equilibrium temperature model was first used to model daily streamflow and stream temperatures from 2005 to 2015 in the Elbow River watershed. Then, the impacts of hydrological processes on stream temperature were investigated based on the calibrated model. Firstly, key hydrological processes affecting the stream temperature were identified based on global parameter sensitivity analysis. Secondly, the impacts of streamflow and runoff composition on stream temperature were quantified. Finally, the response of stream temperature to precipitation and air temperature inputs both of which drive the hydrological processes was investigated.
2. Materials and Methods
2.1. Study Area
The Elbow River watershed (ERW) is located in southern Alberta in Western Canada (Figure 1) and it drains an area of 1238 km2. The Elbow River has different landscapes from upstream to downstream including mountainous alpine, subalpine high mountains, boreal foothills, and aspen parkland. The elbow river water enters the Glenmore reservoir, supplying 40% of the city of Calgary drinking water, which is a very important drinking water source for southern Alberta. The average air temperature for the entire watershed is approximately 2.1 °C and the annual average precipitation is about 600–700 mm. The mean discharge at the watershed outlet is about 12 m3/s [30]. Forest, including evergreen and deciduous, is the main landuse type of the ERW accounting for about 35% of the watershed area. Other major landuse types include agriculture land (16.7%), rangeland (6.2%), and urban areas (5.9%) concentrated in the northeast part of the ERW [28].
Figure 1.
Geographic location of Elbow River watershed in southern Alberta, Canada. The map illustrates spatial distribution of different land use types and the two hydrometric stations used for calibration analysis in this study.
2.2. SWAT Equilibrium Temperature Model
The SWAT equilibrium temperature model (SWAT-ETM) developed by Du et al. [3] is based on hydro-climatological stream temperature model [6] with the consideration of the combined influences from hydrological processes and meteorological factors. It has incorporated the equilibrium temperature module to simulate heat transfer flux between water and atmosphere, which reflects the impacts from meteorological variables including air temperature, wind speed, solar radiation, and stream water depth. Generally, there are three steps for simulating stream temperature in the model. First, the temperature of the local subbasin is calculated by mixing different components, which have different temperature signatures. The runoff components considered in the model include surface runoff, snowmelt runoff, lateral flow and baseflow. Secondly, the initial stream temperature is simulated before the calculation of heat transfer. The weighted average temperatures of streamflow within the local sub-basin and from the inflow from the upstream subbasins are calculated. Finally, the stream temperature is simulated by adding a change caused by heat transfer based on the equilibrium temperature approach. More details about the model processes can be found in Du et al. [3,5].
2.3. Model Setup in Elbow River Watershed
The Elbow River watershed was delineated into 154 subbasins based on a 30 m resolution of digital elevation model data. The land use map (GeoBase Land Cover Product, 2000) and soil map (Agri-Food Canada, Government of Canada) were used for model spatial discretization. In total, 373 Hydrologic Response Units (HRUs) were obtained based on unique combinations of land use type, soil type and slope class. The daily meteorological inputs, including air temperature and precipitation (Alberta Environment and Parks), solar radiation and relative humidity, wind speed (CFSR: National Centers for Environmental Predictions Climate Forecast System Reanalysis) were used to drive the model.
2.4. Model Calibration and Validation
Based on the availability of observed data for stream temperature in the ERW, a total of 11 years (2005–2015) was used to model streamflow and stream temperature. The years from 2005 to 2010 were used for the calibration period and the years from 2011 to 2015 were used as the validation period. In addition, a three year (2002–2004) warm-up period was used to minimize the impacts of initial conditions [31]. Streamflow calibration and validation were conducted based on daily observed streamflow data of two hydrological stations, i.e., Bragg Creek and Sarcee Bridge, obtained from Environmental Canada and Climate Change (Figure 1). Moreover, monthly observed streamflow was compared with the model simulations for evaluating the model performance at the monthly scale. Periodic daily stream temperature data of the two hydrometric stations, collected from the City of Calgary, was used to calibrate and validate the stream temperature simulation. The sampling frequency of stream temperature is about once a month. Specifically, there are 133 and 172 measurements of stream temperature from 2005 to 2015 for Bragg Creek and Sarcee Bridge station, respectively. A global sensitivity analysis [25,32] was used for parameter sensitivity analysis. The p-value from the student t-test of the sensitivity analysis was used to quantify the statistical significance for different parameters, and the parameters with p value less than 0.1 are considered as sensitive in this study. We used parallel processing scheme for calibrating and validating of our model using a similar approach as Du et al. [33]. The objective function used for model calibration is Nash–Sutcliffe Efficiency coefficient (NSE). In addition, we used two other model performance measures including coefficient of determination (R2) and percent of bias (PBIAS) to assess the model simulation performance in different aspects. The definitions of NSE, R2, and PBIAS can be found in Du et al. [34]. We performed qualitative assessment of our model simulations based on the recommended criteria summarized by Moriasi et al. [35], where model reliability is qualitatively assessed from ‘unsatisfactory’ to ‘very good’ according to the range of performance statistics values. Moreover, Moriasi et al. [35] summarized and defined thresholds of performance measure values as being ‘unacceptable’. Specifically, R2 < 0.18, NSE < 0.0, PBIAS ≥ ±30% for streamflow were considered as ‘unacceptable’ model performances. In this study, we strived to achieve ‘acceptable’ model performances based on aforementioned thresholds of NSE, R2, and PBIAS.
3. Results
3.1. Hydrological Calibration and Streamflow Simulation
For streamflow simulations, the model results at daily and monthly time scales were compared to the observed data of the two hydrometric stations in the ERW. Table 1 shows the model of performance statistics for daily and monthly streamflow simulation in the ERW. We also qualitatively evaluated the streamflow modelling performances based on the statistics values in Table 1 and compared to recommended criteria by Moriasi et al. [35]. Based on PBIAS, the model generally overestimated the streamflow with negative values but were within the ‘satisfactory’ range (< ±15%) except for the calibration period of the Bragg Creek station. However, the PBIAS of calibration period for Bragg Creek station is still within the ‘acceptable’ range (< ±30%). For daily streamflow simulation, the model performance during calibration period for two stations were assessed as ‘satisfactory’ according to NSE and R2. However, model performance of the validation period were assessed as ‘unsatisfactory’ for two stations based on R2 and NSE but were within the acceptable range (R2 > 0.18 and NSE > 0.0). Although Moriasi et al. [35] recommended the same model performance criteria for monthly and daily time scales, it is generally accepted that calibration of process-based mods at daily scale is more ambitious than the monthly scale, due to the uncertainty arising from input data as well as model process representation at a daily time scale. Therefore, the model performance for daily streamflow can be considered “satisfactory”. It also indicates that different model performance criteria should be used for different time scales. For monthly streamflow simulation, the model performance during calibration and validation period for two stations were assessed as at least ‘satisfactory’ and four of the statistics indicated as ‘very good’ performances. Overall, the calibrated SWAT hydrological model achieved ‘satisfactory’ for streamflow simulations at two timescales in the ERW and can be further used to calibrate the stream temperatures.
Table 1.
Daily and monthly streamflow simulation performance statistics in the Elbow River watershed (ERW).
The simulated monthly streamflow was compared with observed data (Figure 2). The comparison results indicated that the calibrated hydrological model could reproduce variations of observed streamflow at monthly and seasonal scales. However, there are underestimations for some peak flow months especially for the years of 2012 and 2013 during validation period. In addition, Figure 3 compared the simulated daily streamflow with observations for the two stations using scatter plots. It shows that the model has a good model performance for low and mediate flow (less than 200 m3/s). However, the high flows of around and greater than 200 m3/s were underestimated for both hydrometric stations as indicated in Figure 3. These underestimations are not uncommon [34,36,37], and as discussed in a previous study [34], the uncertainties of both input data and model structure play roles in the underestimations of peak flow. Firstly, the accuracy and resolution of the input data, such as rainfall and temperature data, substantially impact the simulations of peak flow, especially during snowmelt and runoff season. In addition, since SWAT is used as a continuous model running at daily time step in this study, the pulse of any intense peak flow events over shorter time period than daily is likely underestimated.
Figure 2.
Comparison of simulated and observed monthly streamflow for (a) Bragg Creek station and (b) Sarcee Bridge station.
Figure 3.
Comparison of simulated and observed daily streamflow for (a) Bragg Creek station, and (b) Sarcee Bridge station.
3.2. Stream Temperature Simulations
After streamflow calibration, stream temperature simulations were then calibrated and validated using the periodic daily stream temperature measurements of the two hydrometric stations in the ERW. Figure 4 compared simulated stream temperatures with the observations for the two stations. The results indicated that SWAT equilibrium temperature model performs well in simulation of stream temperature at different stations and is able to capture the temporal variation of the observed data within the reasonable ranges. The model performance statistics for the stream temperature simulations of the two stations are shown in Table 2. For the whole period, the PBIAS values are less than ±4% and the R2 and NSE values are all greater than 0.78. During calibration and validation period, R2 and NSE values are all greater than 0.77 and the PBIAS values are less than ±10% except the validation period of Sarcee Bridge station. The model overestimated stream temperatures of Sarcee Bridge station during the validation period with mean simulated as 5.80 °C compared to mean observed as 5.24 °C. There is no recommended criteria for qualitative assessment of stream temperature modeling performances and we used recommended criteria of streamflow simulations summarized by Moriasi et al. [35] as a reference for stream temperature simulations. The model statistics values of Table 2 were assessed as ‘good’ to ‘very good’ except PBIAS of Sarcee Bridge station during validation period as ‘satisfactory’. In addition, we compared our model performance statistics with other studies for stream temperature simulations using process-based models [23,38,39], which further verified the ‘good performance’ of the calibrated model. Overall, SWAT equilibrium temperature model achieved ‘good’ performances of the calibration, validation and the whole period for two different stations. The impacts of hydrological processes on stream temperature in the ERW were then investigated based on the calibrated stream temperature model.
Figure 4.
Comparison of periodic daily simulated and observed stream temperatures for the (a) Bragg Creek station and (b) Sarcee Bridge station.
Table 2.
Model performance statistics for periodic daily stream temperature in the ERW.
4. Discussion
4.1. Identification of Key Hydrological Processes Affecting Stream Temperature Based on Parameter Sensitivity Analysis
A total of 25 SWAT hydrological parameters were considered for stream temperature sensitivity analysis in the ERW using the observed stream temperature of Sarcee Bridge station because it is close to the watershed outlet and represents the response of the whole watershed. Table 3 shows the top 15 sensitive hydrological parameters for stream temperature with the sensitivity ranking. It shows that the air temperature and precipitation lapse rates (T_LAPS and P_LAPS) of the elevation band are the most sensitive hydrological parameters affecting stream temperature in the ERW. The elevation bands were incorporated into SWAT to represent spatiotemporal variations of climate factors because of elevation changes, thereby enable reliable representation of snowmelt runoff. This indicates that representation of topographic and orographic effects is important to control spatial varying snowmelt process in the model [40]. T_LAPS and P_LAPS are used to account for orographic effects on both precipitation and air temperature. The precipitation and air temperatures were updated for each elevation band using the lapse rates and the elevation differences between the meteorological gage elevation and the average elevation for the band. Therefore, these two parameters were found to be the most sensitive parameters for stream temperature simulations. Moreover, the large elevation ranges (1040–3200 m) in the ERW justify the sensitivity of the lapse rates. Compared to the lapse rates, the other snowmelt parameters demonstrate much less sensitivity for stream temperature with SFTMP and SMTMP only ranking 12th and 13th, respectively. This is because the snowmelt runoff mainly affects the streamflow composition for a certain period (spring season). In addition to the lapse rate, the third most sensitive hydrological parameters for stream temperature simulations is ESCO (soil evaporation compensation factor) for soil evaporation. ESCO impacts soil moisture and overall watershed water balance by controlling water loss in soil layers by evaporation, indirectly affecting water temperature. ESCO impacts the streamflow volume by controlling the evaporation loss and contribution of runoff to streamflow, which affects the thermal capacity of the stream. Furthermore, some key runoff parameters like CN2 (SCS runoff curve number for moisture condition II) are adjusted by soil moisture, and therefore, ESCO indirectly influences the partition of different runoff composition and the stream temperature. There are also three other soil parameters in the most sensitive list, which SOL_Z (depth from soil surface to bottom of layer) ranking fourth, SOL_AWC (available water capacity of the soil layer) ranking seventh, and SOL_K (saturated hydraulic conductivity) ranking ninth, respectively. These soil parameters impact the soil water dynamics and the distribution of different runoff components, which lead to impacts on the stream temperature in the watershed. Parameter CN2 is the fifth most sensitive hydrological parameter after two soil parameters. In SWAT model, the larger CN2 values result in a more surface runoff generation with higher temperature signature and less subsurface runoff. CN2 is amongst the most sensitive parameters, partially because it determines the composition of different runoff components. In our model, a mixing model of different runoff components with different temperature signatures was used to consider the influence of these hydrological processes on stream temperature. Another surface runoff parameter (SURLAG—surface runoff lag coefficient) for the routing within the subbasin, ranks 10th for stream temperature sensitivity. This indicates surface runoff is one of the important hydrological processes impacting the stream temperature. The channel Manning coefficient CH_N2 is also among one of the most sensitive hydrological parameters for stream temperature. This is because it determines the water residency time in the channel and thus heat transfer flux between atmosphere and water. The parameters affecting the lateral flow (HRU_SLP, SOL_K, and SLSUBBSN) and groundwater flow (RCHRG_DP) are less sensitive for stream temperature when compared to the aforementioned parameters.
Table 3.
SWAT hydrological parameters with the sensitivity ranking for stream temperature.
4.2. Sensitivity of Stream Temperature to Streamflow and Runoff Composition
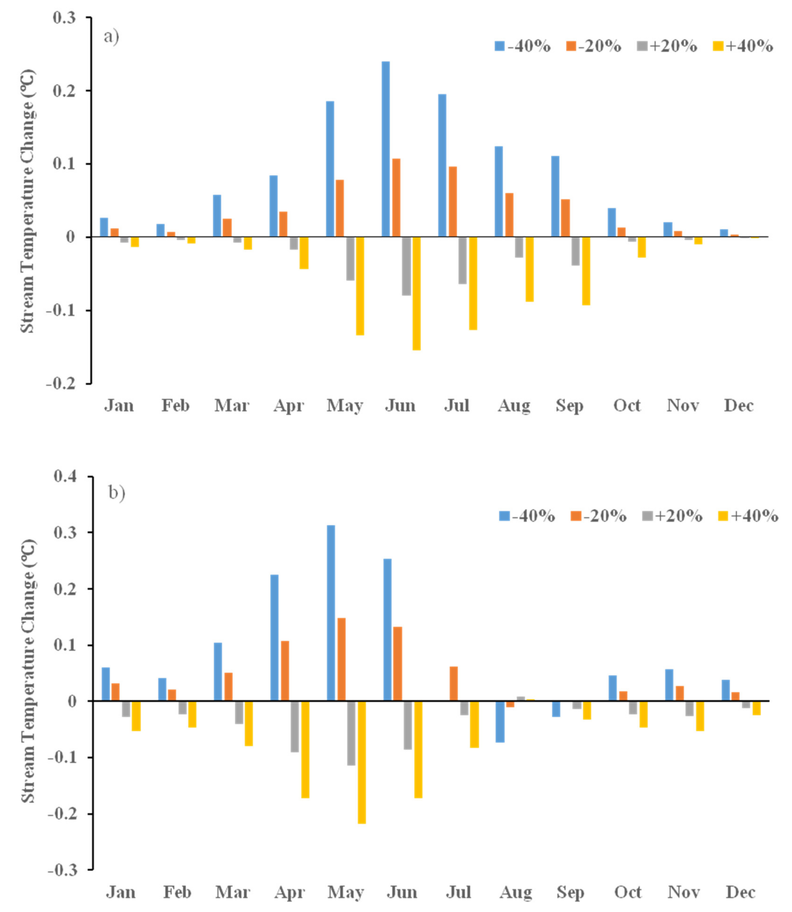
We conducted sensitivity analysis to understand how stream temperature corresponds to changes in streamflow, snow melt, and surface runoff in the watershed. We performed these analyses by manipulating the SWAT source code and changing these three variables in rtmusk.f, snom.f, and surfstor.f subroutines, respectively. The sensitivity of stream temperature to changes in streamflow was investigated by assuming that there are no changes in the runoff composition. Specifically, the streamflow volume simulated by SWAT was changed by −40%, −20%, 20%, and 40% to examine the impacts on stream temperatures. Our results (Figure 5) confirmed the inverse relationship between stream temperature and streamflow as also found by previous studies [7,8]. On average, decreases of streamflow by 20% and 40% would increase stream temperature by +0.37 °C and +0.42 °C, respectively. However, increases of streamflow by 20% and 40% would decrease stream temperature by −0.48 °C and −0.59 °C, respectively. There are also seasonal variations for stream temperature changes caused by changes in streamflow (Figure 5). Stream temperature change is larger when the streamflow magnitude is larger in high flow season, and the largest change is found to occur in the summer months. The inverse relationship between stream temperature and streamflow reflects the impact of streamflow volume on the thermal capacity of a stream [8]. The thermal capacity is lower when the streamflow decreases and is higher when the streamflow increases. In addition, streamflow changes affected the water travel time within the reach [6], which then affected the heat transfer amount between water and atmosphere.
Figure 5.
Stream temperature sensitivity to streamflow changes in the ERW.
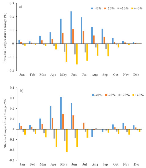
We also investigated the sensitivity of stream temperature to the changes in different runoff components. We chose two important runoff components including surface runoff and snowmelt runoff as identified by the parameter sensitivity analysis. In the SWAT source code, we manually changed these runoff components by −40%, −20%, 20%, and 40% in the calibrated model. The results (Figure 6) showed an overall inverse relationship between stream temperatures with surface runoff and snowmelt runoff similar to streamflow changes. On average, surface runoff and snowmelt runoff decreased of −40%, increased the stream temperature by 0.10 °C and 0.09 °C, while increaseing in these two runoff components by +40%, decreased the stream temperature by −0.06 °C and −0.08 °C. These results showed that snowmelt runoff has a similar impact on stream temperature as surface runoff. Snowmelt runoff has a significant role in shaping stream temperature regime in the ERW despite the fact that snowmelt runoff only dominates in the spring season and is smaller in volume compared to surface runoff. The quantitative impacts of surface runoff and snowmelt runoff on stream temperature are different during the different seasons. The biggest change in stream temperature caused by snowmelt runoff changes was found in May, when the snow melt is the major runoff component, while the largest change in stream temperature caused by surface runoff was found in June, when the summer season begins and the rainfall-runoff is the major hydrological process. In addition, groundwater flow affects stream temperature because it has different temperature signature from other runoff components. Groundwater temperature is lower than surface runoff but higher than snowmelt runoff, which is usually consisted to be 1–2 °C higher than annual average air temperature in a region [6]. Therefore, the anthropogenic activities that impact the streamflow volume and runoff composition would affect the stream temperature regime. For example, land use change which influences the streamflow volume and runoff composition as well as river morphology [41,42] has an impact on stream temperature.
Figure 6.
Stream temperature sensitivity to different runoff components in the ERW: (a) surface runoff change and (b) snow melt change.
4.3. Sensitivity of Stream Temperature to Precipitation and Air Temperature Inputs
Precipitation and air temperature are two most significant meteorological forcing to drive the watershed hydrological processes. The sensitivity of the lapse rates also demonstrated the importance of precipitation and air temperature inputs in determining the stream temperature regimes. Any changes for precipitation and air temperature will alter the hydrological processes and have impacts on stream temperature regimes. It indicated by previous study that the air temperature in the ERW will increase by 4 °C in 2050 under climate change [43]. Therefore, the sensitivity of stream temperature to the precipitation and air temperature changes were also investigated in the ERW. The historical air temperature series fed into the model were increased by +2 °C, +4 °C, and +6 °C at each daily time step. The results showed an annual average stream temperature increases of +1.13 °C, + 2.36 °C, and 3.67 °C, due to air temperature increases of +2 °C, +4 °C, and +6 °C, respectively. The reasons for stream temperature increase when air temperature arises are two-fold. First, the heat transfer from the atmosphere to the streams is enhanced by air temperature increase. Secondly, the evapotranspiration rate is also increased by air temperature increase, which then decreases the runoff and streamflow volume. As a result, the stream temperature increases because of the inverse relationship as previously demonstrated. In our analysis, stream temperatures increased for all months when air temperatures increased, and the largest increases were found during the summer months (Figure 7). The average stream temperature of summer (June to August) increased by 1.84 °C, 3.64 °C, and 5.43 °C, respectively when air temperature increased by +2 °C, +4 °C, and +6 °C. This indicates that summer season is likely the most critical season in future climate change scenarios, because increases in stream temperature would likely affect the life of aquatic species. The increases in temperature may trigger extreme high stream temperature and the crossing of critical temperatures, and consequently exceeding dissolved oxygen thresholds that may pose a threat to the fishes and specific cold water species that inhabit the streams [4,5,44].
Figure 7.
Stream temperature sensitivity to precipitation change in the ERW.
To investigate the sensitivity of stream temperature to precipitation changes, precipitation input was changed by −40%, −20%, 20%, and 40%. Figure 8 showed the inverse relationship between stream temperature and precipitation, which is similar to streamflow on an annual average scale. However, the changes caused by precipitation changes are much smaller when compared to those caused by streamflow changes. A decrease of precipitation by −40% increases the stream temperature by 0.08 on average, while an increase of precipitation by 40% decrease stream temperature by 0.07 on average. Figure 8 shows the stream temperature changes caused by precipitation also have seasonal variations. Most months have inverse relationship with precipitation but the months from July to September show a direct relationship indicating a cancelling out effect because precipitation changes not only result in streamflow volume change but also alter the sources of runoff components (e.g., surface runoff, snowmelt runoff, and groundwater flow). The largest stream temperature increase was found in May for a precipitation decrease while the largest stream temperature decrease was found in July for a precipitation increase.
Figure 8.
Stream temperature sensitivity to air temperature increase in the ERW.
5. Conclusions
The SWAT equilibrium temperature model was used to investigate the impact of hydrological processes on the stream temperature in the Elbow River watershed (ERW) in the cold region of Western Canada by considering the influences of both hydrological processes and meteorological forcing. The SWAT equilibrium temperature model was then calibrated and validated based on the periodic stream temperature observations, and model performance was evaluated as overall ‘good’ based on several performance measures. The important hydrological process governing the stream temperature was identified by using the global parameter sensitivity analysis. These results showed that the lapse rates for air temperature and precipitation are two the most sensitive hydrological parameters for stream temperature simulations, followed by the parameters controlling the processes of soil water dynamics, surface runoff and channel routing. Furthermore, sensitivity analysis showed an inverse relationship between streamflow volume and stream temperature reflecting the changes in travel time of the stream and the impacts of streamflow volume on thermal capacity. The sensitivity analysis showed that annual average stream temperature would increase by +1.13 °C, +2.36 °C, and 3.67 °C, when air temperature increases by +2 °C, +4 °C, and +6 °C, respectively. The largest temperature increases were found to occur in the summer months. Precipitation also showed an inverse relationship with stream temperature similar to streamflow but a cancelling out effect was found. Further analysis showed that different runoff components have different impacts on temporal regimes of stream temperatures. It showed snowmelt runoff has a similar impact on stream temperature as surface runoff, indicating that snowmelt runoff has a significant role in shaping stream temperature regime in the ERW. This study presents an improved understanding of the impacts of various hydrological processes on stream temperature at watershed scale and concludes that the impacts of hydrological processes should be taken into account for modeling and predicting stream temperatures.
Author Contributions
Conceptualization, X.D., G.G., and M.F.; methodology, X.D., G.G., and M.F.; formal analysis, X.D.; data curation, X.D.; writing—original draft preparation, X.D.; writing—review and editing, X.D., G.G., and M.F. visualization, X.D.; supervision, G.G. and M.F. All authors have read and agreed to the published version of the manuscript.
Funding
Funding for this study has been received from Campus Alberta Innovation Program Chair Grant (RES0034497) and Alberta Innovates Water Innovation Program (RES0030781), and Alberta Environment and Parks (RES0045995).
Acknowledgments
We would like to thank the City of Calgary for providing the observed data of stream temperatures.
Conflicts of Interest
The authors declare no conflict of interest.
References
- Zhu, S.; Nyarko, E.K.; Hadzima-Nyarko, M.; Heddam, S.; Wu, S. Assessing the performance of a suite of machine learning models for daily river water temperature prediction. PeerJ 2019, 7, e7065. [Google Scholar] [CrossRef] [PubMed]
- Ficklin, D.L.; Stewart, I.T.; Maurer, E.P. Effects of climate change on stream temperature, dissolved oxygen, and sediment concentration in the Sierra Nevada in California. Water Resour. Res. 2013, 49, 2765–2782. [Google Scholar] [CrossRef]
- Du, X.; Shrestha, N.K.; Ficklin, D.L.; Wang, J. Incorporation of the equilibrium temperature approach in a Soil and Water Assessment Tool hydroclimatological stream temperature model. Hydrol. Earth Syst. Sci. 2018, 22, 2343–2357. [Google Scholar] [CrossRef]
- Caissie, D.; Satish, M.G.; El-Jabi, N. Predicting water temperatures using a deterministic model: Application on Miramichi River catchments (New Brunswick, Canada). J. Hydrol. 2007, 336, 303–315. [Google Scholar] [CrossRef]
- Du, X.; Shrestha, N.K.; Wang, J. Assessing climate change impacts on stream temperature in the Athabasca River Basin using SWAT equilibrium temperature model and its potential impacts on stream ecosystem. Sci. Total Environ. 2019, 650, 1872–1881. [Google Scholar] [CrossRef]
- Ficklin, D.L.; Luo, Y.; Stewart, I.T.; Maurer, E.P. Development and application of a hydroclimatological stream temperature model within the Soil and Water Assessment Tool. Water Resour. Res. 2012, 48. [Google Scholar] [CrossRef]
- Webb, B.; Clack, P.; Walling, D. Water–air temperature relationships in a Devon river system and the role of flow. Hydrol. Process. 2003, 17, 3069–3084. [Google Scholar] [CrossRef]
- Van Vliet, M.; Ludwig, F.; Zwolsman, J.; Weedon, G.; Kabat, P. Global river temperatures and sensitivity to atmospheric warming and changes in river flow. Water Resour. Res. 2011, 47. [Google Scholar] [CrossRef]
- Bogan, T.; Mohseni, O.; Stefan, H.G. Stream temperature-equilibrium temperature relationship. Water Resour. Res. 2003, 39. [Google Scholar] [CrossRef]
- Fellman, J.B.; Nagorski, S.; Pyare, S.; Vermilyea, A.W.; Scott, D.; Hood, E. Stream temperature response to variable glacier coverage in coastal watersheds of Southeast Alaska. Hydrol. Process. 2014, 28, 2062–2073. [Google Scholar] [CrossRef]
- Yousefi, S.; Mirzaee, S.; Keesstra, S.; Surian, N.; Pourghasemi, H.R.; Zakizadeh, H.R.; Tabibian, S. Effects of an extreme flood on river morphology (case study: Karoon River, Iran). Geomorphology 2018, 304, 30–39. [Google Scholar] [CrossRef]
- Saniewska, D.; Bełdowsk, M.; Bełdowski, J.; Jędruch, A.; Saniewski, M.; Falkowska, L. Mercury loads into the sea associated with extreme flood. Environ. Pollut. 2014, 191, 93–100. [Google Scholar] [CrossRef]
- Stefan, H.G.; Preud’homme, E.B. Stream temperature estimation from air temperature 1. JAWRA J. Am. Water Resour. Assoc. 1993, 29, 27–45. [Google Scholar] [CrossRef]
- Giles, N.A.; Babbar-Sebens, M.; Srinivasan, R.; Ficklin, D.L.; Barnhart, B. Optimization of linear stream temperature model parameters in the soil and water assessment tool for the continental United States. Ecol. Eng. 2019, 127, 125–134. [Google Scholar] [CrossRef]
- Mohseni, O.; Stefan, H.G.; Erickson, T.R. A nonlinear regression model for weekly stream temperatures. Water Resour. Res. 1998, 34, 2685–2692. [Google Scholar] [CrossRef]
- Shrestha, N.K.; Wang, J. Water quality management of a cold climate region watershed in changing climate. J. Environ. Inform. 2019, 35, 56–80. [Google Scholar] [CrossRef]
- Sohrabi, M.M.; Benjankar, R.; Tonina, D.; Wenger, S.J.; Isaak, D.J. Estimation of daily stream water temperatures with a Bayesian regression approach. Hydrol. Process. 2017, 31, 1719–1733. [Google Scholar] [CrossRef]
- Toffolon, M.; Piccolroaz, S. A hybrid model for river water temperature as a function of air temperature and discharge. Environ. Res. Lett. 2015, 10, 114011. [Google Scholar] [CrossRef]
- DeWeber, J.T.; Wagner, T. A regional neural network ensemble for predicting mean daily river water temperature. J. Hydrol. 2014, 517, 187–200. [Google Scholar] [CrossRef]
- Zhu, S.; Nyarko, E.K.; Hadzima-Nyarko, M. Modelling daily water temperature from air temperature for the Missouri River. PeerJ 2018, 6, e4894. [Google Scholar] [CrossRef]
- Cole, T.M.; Wells, S.A. CE-QUAL-W2: A Two-Dimensional, Laterally Averaged, Hydrodynamic and Water Quality Model, Version 3.5; Civil and Environmental Engineering Faculty Publications and Presentations: Portland, OR, USA, 2003. [Google Scholar]
- Ozaki, N.; Fukushima, T.; Kojiri, T. Simulation of the effects of the alteration of the river basin land use on river water temperature using the multi-layer mesh-typed runoff model. Ecol. Model. 2008, 215, 159–169. [Google Scholar] [CrossRef]
- Yearsley, J.R.; Sun, N.; Baptiste, M.; Nijssen, B. Assessing the impacts of hydrologic and land use alterations on water temperature in the Farmington River basin in Connecticut. Hydrol. Earth Syst. Sci. 2019, 23, 4491–4508. [Google Scholar] [CrossRef]
- Morales-Marin, L.A.; Sanyal, P.R.; Kadowaki, H.; Li, Z.; Rokaya, P.; Lindenschmidt, K.E. A hydrological and water temperature modelling framework to simulate the timing of river freeze-up and ice-cover breakup in large-scale catchments. Environ. Model. Softw. 2019, 114, 49–63. [Google Scholar] [CrossRef]
- Mapfumo, E.; Chanasyk, D.S.; Willms, W.D. Simulating daily soil water under foothills fescue grazing with the soil and water assessment tool model (Alberta, Canada). Hydrol. Process. 2004, 18, 2787–2800. [Google Scholar] [CrossRef]
- Watson, B.M.; McKeown, R.A.; Putz, G.; MacDonald, J.D. Modification of SWAT for modelling streamflow from forested watersheds on the Canadian Boreal Plain. J. Environ. Eng. Sci. 2008, 7, 145–159. [Google Scholar] [CrossRef]
- Faramarzi, M.; Srinivasan, R.; Iravani, M.; Bladon, K.D.; Abbaspour, K.C.; Zehnder, A.J.B.; Goss, G.G. Setting up a hydrological model of Alberta: Data discrimination analyses prior to calibration. Environ. Model. Softw. 2015, 74, 48–65. [Google Scholar] [CrossRef]
- Shrestha, N.K.; Du, X.; Wang, J. Assessing climate change impacts on fresh water resources of the Athabasca River Basin, Canada. Sci. Total Environ. 2017, 601, 425–440. [Google Scholar] [CrossRef] [PubMed]
- Troin, M.; Caya, D.; Velázquez, J.A.; Brissette, F. Hydrological response to dynamical downscaling of climate model outputs: A case study for western and eastern snowmelt-dominated Canada catchments. J. Hydrol. Reg. Stud. 2015, 4, 595–610. [Google Scholar] [CrossRef]
- Wijesekara, G.; Gupta, A.; Valeo, C.; Hasbani, J.-G.; Qiao, Y.; Delaney, P.; Marceau, D.J. Assessing the impact of future land-use changes on hydrological processes in the Elbow River watershed in southern Alberta, Canada. J. Hydrol. 2012, 412, 220–232. [Google Scholar] [CrossRef]
- Du, X.Z.; Li, X.Y.; Zhang, W.S.; Wang, H.L. Variations in source apportionments of nutrient load among seasons and hy-drological years in a semi-arid watershed: GWLF model results. Environ. Sci. Pollut. R 2014, 21, 6506–6515. [Google Scholar] [CrossRef] [PubMed]
- Faramarzi, M.; Abbaspour, K.C.; Schulin, R.; Yang, H. Modelling blue and green water resources availability in Iran. Hydrol. Process. 2009, 23, 486–501. [Google Scholar] [CrossRef]
- Du, X.; Loiselle, D.; Alessi, D.S.; Faramarzi, M. Hydro-climate and biogeochemical processes control watershed organic carbon inflows: Development of an in-stream organic carbon module coupled with a process-based hydrologic model. Sci. Total Environ. 2020, 718, 137281. [Google Scholar] [CrossRef] [PubMed]
- Du, X.; Shrestha, N.K.; Wang, J. Integrating organic chemical simulation module into SWAT model with application for PAHs simulation in Athabasca oil sands region, Western Canada. Environ. Model. Softw. 2019, 111, 432–443. [Google Scholar] [CrossRef]
- Moriasi, D.N.; Gitau, M.W.; Pai, N.; Daggupati, P. Hydrologic and water quality models: Performance measures and evaluation criteria. Trans. ASABE 2015, 58, 1763–1785. [Google Scholar]
- Hoang, L.; Mukundan, R.; Moore, K.E.; Owens, E.M.; Steenhuis, T.S. Phosphorus reduction in the New York City water supply system: A water-quality success story confirmed with data and modeling. Ecol. Eng. 2019, 135, 75–88. [Google Scholar] [CrossRef]
- Shrestha, M.K.; Recknagel, F.; Frizenschaf, J.; Meyer, W. Assessing SWAT models based on single and multi-site calibration for the simulation of flow and nutrient loads in the semi-arid Onkaparinga catchment in South Australia. Agric. Water Manag. 2016, 175, 61–71. [Google Scholar] [CrossRef]
- Sun, N.; Yearsley, J.; Voisin, N.; Lettenmaier, D.P. A spatially distributed model for the assessment of land use impacts on stream temperature in small urban watersheds. Hydrol. Process. 2015, 29, 2331–2345. [Google Scholar] [CrossRef]
- Cao, Q.; Sun, N.; Yearsley, J.; Nijssen, B.; Lettenmaier, D.P. Climate and land cover effects on the temperature of Puget Sound streams. Hydrol. Process. 2016, 30, 2286–2304. [Google Scholar] [CrossRef]
- Fontaine, T.; Cruickshank, T.; Arnold, J.; Hotchkiss, R. Development of a snowfall–snowmelt routine for mountainous terrain for the soil water assessment tool (SWAT). J. Hydrol. 2002, 262, 209–223. [Google Scholar] [CrossRef]
- Keesstra, S.D.; Van Huissteden, J.; Vandenberghe, J.; Van Dam, O.; De Gier, J.; Pleizier, I.D. Evolution of the morphology of the river Dragonja (SW Slovenia) due to land-use changes. Geomorphology 2005, 69, 191–207. [Google Scholar] [CrossRef]
- Keesstra, S.D. Impact of natural reforestation on floodplain sedimentation in the Dragonja basin, SW Slovenia. Earth Surf. Process. Landf. J. Br. Geomorphol. Res. Group 2007, 32, 49–65. [Google Scholar] [CrossRef]
- Farjad, B.; Gupta, A.; Marceau, D.J. Hydrological regime responses to climate change for the 2020s and 2050s periods in the Elbow River watershed in southern Alberta, Canada. In Environmental Management of River Basin Ecosystems; Springer: New York, NY, USA, 2015; pp. 65–89. [Google Scholar]
- Eaton, J.; McCormick, J.; Goodno, B.; O’brien, D.; Stefany, H.; Hondzo, M.; Scheller, R.M. A field information-based system for estimating fish temperature tolerances. Fisheries 1995, 20, 10–18. [Google Scholar] [CrossRef]
© 2020 by the authors. Licensee MDPI, Basel, Switzerland. This article is an open access article distributed under the terms and conditions of the Creative Commons Attribution (CC BY) license (http://creativecommons.org/licenses/by/4.0/).







