Preliminary Characterization of Underground Hydrological Processes under Multiple Rainfall Conditions and Rocky Desertification Degrees in Karst Regions of Southwest China
Abstract
1. Introduction
2. Materials and Methods
2.1. Experimental Setup
- An aluminum box was used to sample near the 4 vertexes and the center point of the soil layer where the probe was placed, and the sampling time was recorded in parallel.
- The samples were taken every 10 min for a total of 5 times. The VWC was obtained by multiplying the soil bulk density by the soil mass moisture content (Mw) of the layer. The soil mass water content Mw was obtained using the following equation:where Ma is the total weight of the aluminum box and the wet soil; Mb is the total weight of the dried aluminum box and the soil; and Mc is the weight of the aluminum box.
- A correlation analysis was then performed between the average value of VWC and the value measured by the sensor at each time. The results obtained showed that there was a linear relationship between these two parameters, and the correlation coefficient was above 0.90.
2.2. Experimental Testing Conditions
3. Results
3.1. Effects of Rainfall Intensity and Rocky Desertification on the Dynamics of Underground Runoff
3.2. Volume and Percentage of Underground Runoff Based on Different Degrees of Rocky Desertification
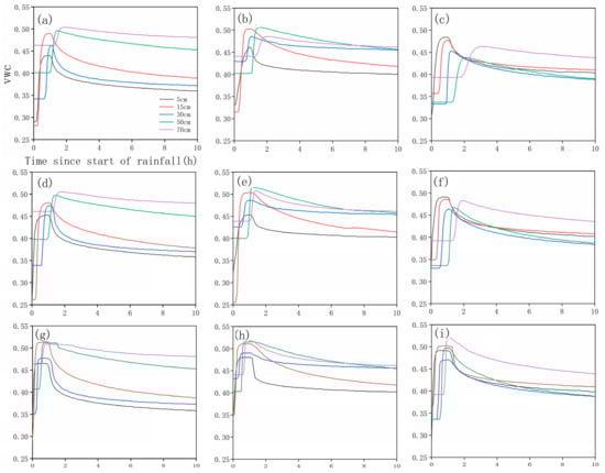
3.3. Characteristics of VWC and Runoff Sources for Different Degrees of Karst Rocky Desertification
4. Discussion
5. Conclusions
- The higher the rainfall intensity is, the shorter is the time needed for the formation of underground runoff. The time observed for the formation of underground runoff for MRD and SRD was 18.18% and 45.45% later than the one recorded for LRD.
- The maximum rate of underground runoff and cumulative underground runoff were characterized by the following trend: SRD > MRD > LRD.
Author Contributions
Funding
Acknowledgments
Conflicts of Interest
References
- Dai, Q.; Peng, X.; Yang, Z.; Zhao, L. Runoff and erosion processes on bare slopes in the Karts Rocky Desertification Area. CATENA 2017, 152, 218–226. [Google Scholar] [CrossRef]
- Liu, C.Q.; Lang, Y.C.; Li, S.L.; Piao, H.C.; Tu, C.L.; Liu, T.Z.; Zhang, W.; Zhu, S.F. Researches on biogeochemical processes and nutrient cycling in karstic ecological systems, Southwest China: A review. Front. Earth. Sci. 2009, 16, 1–12. [Google Scholar]
- Parise, M.; de Waele, J.; Gutierrez, F. Current perspectives on the environmental impacts and hazards in karst. Environ. Geol. 2009, 58, 235–237. [Google Scholar] [CrossRef]
- Zhang, X.B.; Wang, S.J.; Cao, J.H.; Wang, K.L.; Meng, T.Y.; Bai, X.Y. Characteristics of water loss and soil erosion and some scientific problems on karst rocky desertification in Southwest China karst area. Carsologica. Sin. 2010, 29, 274–279. [Google Scholar]
- Wang, S.J.; Li, Y.B.; Li, R.L. Karst rocky desertification: Formation background, evolution and comprehensive taming. Quat. Sci. 2003, 23, 657–666. [Google Scholar]
- Drew, D.P. Accelerated soil erosion in a karst area: The Burren, Western Irelan. J. Hydrol. 1983, 61, 113–124. [Google Scholar] [CrossRef]
- Calvo-Cases, A.; Boix-Fayos, C.; Imeson, A.C. Runoff generation, sediment movement and soil water behaviour on calcareous (limestone) slopes of some Mediterranean environments in southeast Spain. Geomorphology 2003, 50, 269–291. [Google Scholar] [CrossRef]
- Imeson, A.C.; Lavee, H.; Calvo, A.; Cerdà, A. The erosional response of calcareous soils along a climatological gradient in Southeast Spain. Geomorphology 1998, 24, 3–16. [Google Scholar] [CrossRef]
- Kheir, R.B.; Abdallah, C.; Khawlie, A. Assessing soil erosion in Mediterranean karst landscapes of Lebanon using remote sensing and GIS. Eng. Geol. 2008, 99, 239–254. [Google Scholar] [CrossRef]
- Kosmas Danalatos, N.; Cammeraat, L.H.; Chabart, M.; Diamantopoulos, J.; Farand, R.; Gutierrez, L.; Jacob, A.; Marques, H.; Martinez Fernandez, J.; Mizara, A.; et al. The effect of land use on runoff and soil erosion rates under Mediterranean conditions. CATENA 1997, 29, 45–59. [Google Scholar] [CrossRef]
- Cerdà, A. Effect of climate on surface flow along climatological gradient in Israel: A field rainfall simulation approach. J. Arid Environ. 1998, 38, 145–159. [Google Scholar] [CrossRef]
- Miller, T.E. Geologic and Hydrologic Controls on Karst and Cave Development in Belize. J. Cave Karst Stud. 1996, 58, 100–120. [Google Scholar]
- Brook, G.A.; Ford, D.C. Hydrology of the Nahanni Kars, Northern Canada, and the importance of extreme summer storms. J. Hydrol. 1980, 46, 103–121. [Google Scholar] [CrossRef]
- Andreichuk, V. Gypsum karts of the pre-rural region, Russia. Int. J. Speleol. 1996, 25, 285–292. [Google Scholar] [CrossRef]
- Jurkovšek, B.; Biolchi, S.; Furlani, S.; Kolar-Jurkovšek, T.; Zini, L.; Jež, J.; Tunis, G.; Bavec, M.; Cucchi, F. Geology of the Classical Karst Region (SW Slovenia–NE Italy). J. Maps 2016, 12, 352–362. [Google Scholar] [CrossRef]
- Xanke, J.; Liesch, T.; Goeppert, N.; Klinger, J.; Gassen, N.; Goldscheider, N. Contamination risk and drinking water protection for a large-scale managed aquifer recharge site in a semi-arid karst region, Jordan. Hydrogeol. J. 2017, 25, 1795–1809. [Google Scholar] [CrossRef]
- Artugyan, L. Geomorphosites Assessment in Karst Terrains: Anina Karst Region (Banat Mountains, Romania). Geoheritage 2017, 9, 153–162. [Google Scholar] [CrossRef]
- Legrand, H.E. Hydrological and Ecological Problems of Karst Regions. Science 1973, 179, 859–864. [Google Scholar] [CrossRef]
- Bakalowicz, M. Karst groundwater: A challenge for new resources. Hydrol. J. 2005, 13, 148–160. [Google Scholar] [CrossRef]
- Fu, Z.Y.; Chen, H.S.; Zhang, W.; Xu, Q.X.; Wang, S.; Wang, K.L. Subsurface flow in a soil-mantled subtropical dolomite karst slope: A field rainfall simulation study. Geomorphology. 2015, 250, 1–14. [Google Scholar] [CrossRef]
- Wang, S.J.; Liu, Q.M.; Zhang, D.F. Karst rocky desertification in south western China: Geomorphology, land use, impact and rehabilitation. Land Degrad. Dev. 2004, 15, 115–121. [Google Scholar] [CrossRef]
- Williams, P.W. Geomorphic inheritance and the development of tower karst. Earth Surf. Process. Earth Surf. Process. Landf. 1987, 12, 453–465. [Google Scholar] [CrossRef]
- Dai, Q.H.; Liu, Z.T.; Shao, H.B. Karst bare slope soil erosion and soil quality: A simulation case study. Solid Earth 2015, 6, 985–995. [Google Scholar] [CrossRef]
- Bai, X.Y.; Wang, S.J.; Xiong, K.N. Assessing spatial–temporal evolution processes of karst rocky desertification land: Indications for restoration strategies. Land Degrad. Dev. 2013, 24, 47–56. [Google Scholar] [CrossRef]
- Xu, E.Q.; Zhang, H.Q. Characterization and interaction of driving factors in karst rocky desertification: A case study from Changshun, China. Solid Earth 2014, 5, 1329–1340. [Google Scholar] [CrossRef]
- Yan, X.; Cai, Y.L. Multi-scale anthropogenic driving forces of karst rocky desertification in Southwest China. Land Degrad. Dev. 2015, 26, 193–200. [Google Scholar] [CrossRef]
- Nie, Y.P.; Chen, H.S.; Wang, K.L.; Ding, Y.L. Rooting characteristics of two widely distributed woody plant species established in rocky karst habitats of Southwest China. Plant. Ecol. 2014, 215, 1099–1109. [Google Scholar] [CrossRef]
- Zhang, H.; Cai, Z.; Hao, F.H.; Qi, L.; Yun, L.; Jiang, L. Hydrogeomorphologic architecture of epikarst reservoirs in the Middle-Lower Ordovician, Tazhong Uplift, Tarim Basin, China. Mar. Pet. Geol. 2018, 98, 146–161. [Google Scholar] [CrossRef]
- Peng, X.; Dai, Q.; Li, C.; Zhao, L. Role of underground fissure flow in near-surface rainfall-runoff process on a rock mantled slope in the karst rocky desertification area. Eng. Geol. 2018, 243, 10–17. [Google Scholar] [CrossRef]
- Wang, S.; Fu, Z.; Chen, H.; Nie, Y.; Xu, Q. Mechanisms of surface and subsurface runoff generation in subtropical soil-epikarst systems: Implications of rainfall simulation experiments on karst slope. J. Hydrol. 2020, 580, 124370. [Google Scholar] [CrossRef]
- Shen, Z.Z.; Chen, F.; Zhao, J. Experimental study on seepage characteristics of the intersection of tubular karst passage and fissure. J. Hydraul. Eng. 2008, 39, 137–145. [Google Scholar]
- Peng, T.; Wang, S.J. Effects of land use, land cover and rainfall regimes on the surface runoff and soil loss on karst slopes in southwest China. CATENA 2012, 90, 53–62. [Google Scholar] [CrossRef]
- Zhang, Z.C.; Chen, X.; Cheng, Q.B.; Peng, T.; Zhang, Y.F.; Ji, Z.H. Hydrogeology of epikarst in karst mountains-A case study of the Chenqi catchment. Earth. Env. 2011, 39, 19–25. [Google Scholar]
- Zhou, W.; Beck, B.F. Engineering issues on karst. In Karst Management, 1st ed.; Van Beynen, P., Ed.; Springer: Berlin/Heidelberg, Germany, 2011. [Google Scholar]
- Graham, C.B.; Woods, R.A.; McDonnell, J.J. Hillslope threshold response to rainfall: A field based forensic approach. J. Hydrol. 2010, 393, 65–76. [Google Scholar] [CrossRef]
- Xiong, P.S.; Yuan, D.X.; Xie, S.Y. Progress of research on rocky desertification in south China karst mountain. Carsologica Sin. 2010, 29, 355–362. [Google Scholar]
- Cuomo, S.; Della, S.M. Rainfall-induced infiltration, runoff and failure in steep unsaturated shallow soil deposits. Eng. Geol. 2013, 162, 118–127. [Google Scholar] [CrossRef]
- De Lima, J.L.M.P.; Singh, V.P. The influence of the pattern of moving rainstorms on overland flow. Adv. Water. Resour. 2002, 25, 817–828. [Google Scholar] [CrossRef]
- Wei, H.; Nearing, M.A.; Stone, J.J.; Guertin, D.P.; Spaeth, K.E.; Pierson, F.B.; Nichols, M.H.; Moffett, C.A. A new splash and sheet erosion equation for rangelands. Soil. Sci. Soc. Am. J. 2009, 73, 1386–1392. [Google Scholar] [CrossRef]
- Klimchouk, A. Toward defining, delimiting and classifying epikarst: Its origin, processes and variants of geomorphic evolution Speleogenesis. Evol. Karst Aquifers 2003, 2, 1–13. [Google Scholar]
- Stewart, R.D.; Bhaskar, A.; Parolari, A.J.; Hermann, D.L.; Jian, J.; Schifman, L.A.; Shuster, W.D. An analytical approach to ascertain saturation-excess versus infiltration-excess overland flow in urban and reference landscapes. Hydrol. Process. 2019, 33, 3349–3363. [Google Scholar] [CrossRef]
- Suseno, D.P.Y.; Yamada, T.J. Simulating Flash Floods Using a Geostationary Satellite-Based Rainfall Estimation Coupled with a Land Surface Model. Preprints 2019, 7, 9. [Google Scholar] [CrossRef]
- Dasgupta, S.; Mohanty, B.P.; Kohne, J.M. Impacts of Juniper vegetation and karst geology on subsurface flow processes in the Edwards Plateau,Texas. Vadose. Zone. J. 2006, 5, 1076–1085. [Google Scholar] [CrossRef]
- Sohrt, J.; Ries, F.; Sauter, M.; Lange, J. Significance of preferential flow at the rock soil interface in a semi-arid karst environment. CATENA 2014, 123, 1–10. [Google Scholar] [CrossRef]
- Bögli, A. Karst Hydrology and Physical Speleology, 1st ed.; Springer: Berlin/Heidelberg, Germany, 1980. [Google Scholar]
- Yan, Y.J.; Dai, Q.H.; Yu, Y.F.; Peng, X.D.; Zhao, L.S.; Yang, J. Effects of rainfall intensity on runoff and sediment yields on bare slopes in a karst area, SW China. Geoderma 2018, 330, 30–40. [Google Scholar] [CrossRef]
- Feng, T.; Chen, H.; Polyakov, V.O.; Wang, K.L.; Zhang, X.B.; Zhang, W. Soil erosion rates in two karst peak-cluster depression basins of north west Guangxi, China: Comparison of the RUSLE model with 137Cs measurements. Geomorphology 2016, 253, 217–224. [Google Scholar] [CrossRef]
- Goldscheider, N.; Drew, D. Methods in Karst Hydrogeology, 1st ed.; Taylor and Fracis: London, UK, 2007. [Google Scholar]
- Matthai, S.K.; Belayneh, M. Fluid flow partitioning between fractures and a permeable rock matrix. Geophys. Res. Lett. 2004, 31, L07602. [Google Scholar] [CrossRef]
- Ghasemizadeh, R.; Hellweger, F.; Butscher, C.; Padilla, I.; Vesper, D.; Field, M. Review: Groundwater flow and transport modeling of karstaquifers, with particular reference to the North Coast Limestone aquifer system of Puerto Rico. Hydrol. J. 2012, 20, 1441–1461. [Google Scholar] [CrossRef]
- Demenois, J.; Carriconde, F.; Bonaventure, P.; Maeght, J.L.; Stokes, A.; Rey, F. Impact of plant root functional traits and associated mycorrhizas on the aggregate stability of a tropical Ferralsol. Geoderma 2018, 312, 6–16. [Google Scholar] [CrossRef]







| Configuration | Bedrock Exposure (%) | Average Soil Thickness (m) | Rock–Soil Contact Area (m2) | Vegetation Coverage (%) |
|---|---|---|---|---|
| 1 | 40 | 0.55 | 22.06 | 65 |
| 2 | 50 | 0.40 | 26.85 | 55 |
| 3 | 60 | 0.25 | 32.14 | 25 |
| Rainfall Intensity | Degree of Karst Rocky Desertification | Regression Equation | Correlation Coefficient |
|---|---|---|---|
| 30 mm/h | LRD | V = 4.27lnT + 1.91 | 0.967 |
| MRD | V = 4.37lnT + 0.70 | 0.953 | |
| SRD | V = 4.08lnT + 1.38 | 0.954 | |
| 60 mm/h | LRD | V = 5.85lnT + 3.90 | 0.957 |
| MRD | V = 5.20lnT + 4.32 | 0.965 | |
| SRD | V = 4.06lnT + 7.23 | 0.972 | |
| 90 mm/h | LRD | V = 9.72lnT + 28.20 | 0.861 |
| MRD | V = 8.72lnT + 30.77 | 0.876 | |
| SRD | V = 6.59lnT + 37.49 | 0.854 |
© 2020 by the authors. Licensee MDPI, Basel, Switzerland. This article is an open access article distributed under the terms and conditions of the Creative Commons Attribution (CC BY) license (http://creativecommons.org/licenses/by/4.0/).
Share and Cite
Li, G.; Rubinato, M.; Wan, L.; Wu, B.; Luo, J.; Fang, J.; Zhou, J. Preliminary Characterization of Underground Hydrological Processes under Multiple Rainfall Conditions and Rocky Desertification Degrees in Karst Regions of Southwest China. Water 2020, 12, 594. https://doi.org/10.3390/w12020594
Li G, Rubinato M, Wan L, Wu B, Luo J, Fang J, Zhou J. Preliminary Characterization of Underground Hydrological Processes under Multiple Rainfall Conditions and Rocky Desertification Degrees in Karst Regions of Southwest China. Water. 2020; 12(2):594. https://doi.org/10.3390/w12020594
Chicago/Turabian StyleLi, Guijing, Matteo Rubinato, Long Wan, Bin Wu, Jiufu Luo, Jianmei Fang, and Jinxing Zhou. 2020. "Preliminary Characterization of Underground Hydrological Processes under Multiple Rainfall Conditions and Rocky Desertification Degrees in Karst Regions of Southwest China" Water 12, no. 2: 594. https://doi.org/10.3390/w12020594
APA StyleLi, G., Rubinato, M., Wan, L., Wu, B., Luo, J., Fang, J., & Zhou, J. (2020). Preliminary Characterization of Underground Hydrological Processes under Multiple Rainfall Conditions and Rocky Desertification Degrees in Karst Regions of Southwest China. Water, 12(2), 594. https://doi.org/10.3390/w12020594

