Possible Hydrochemical Processes Influencing Dissolved Solids in Surface Water and Groundwater of the Kaidu River Basin, Northwest China
Abstract
1. Introduction
2. Study Site
3. Data and Methods
3.1. Sampling
3.2. Saturation Indices (SIs)
3.3. Cation Exchange
4. Results
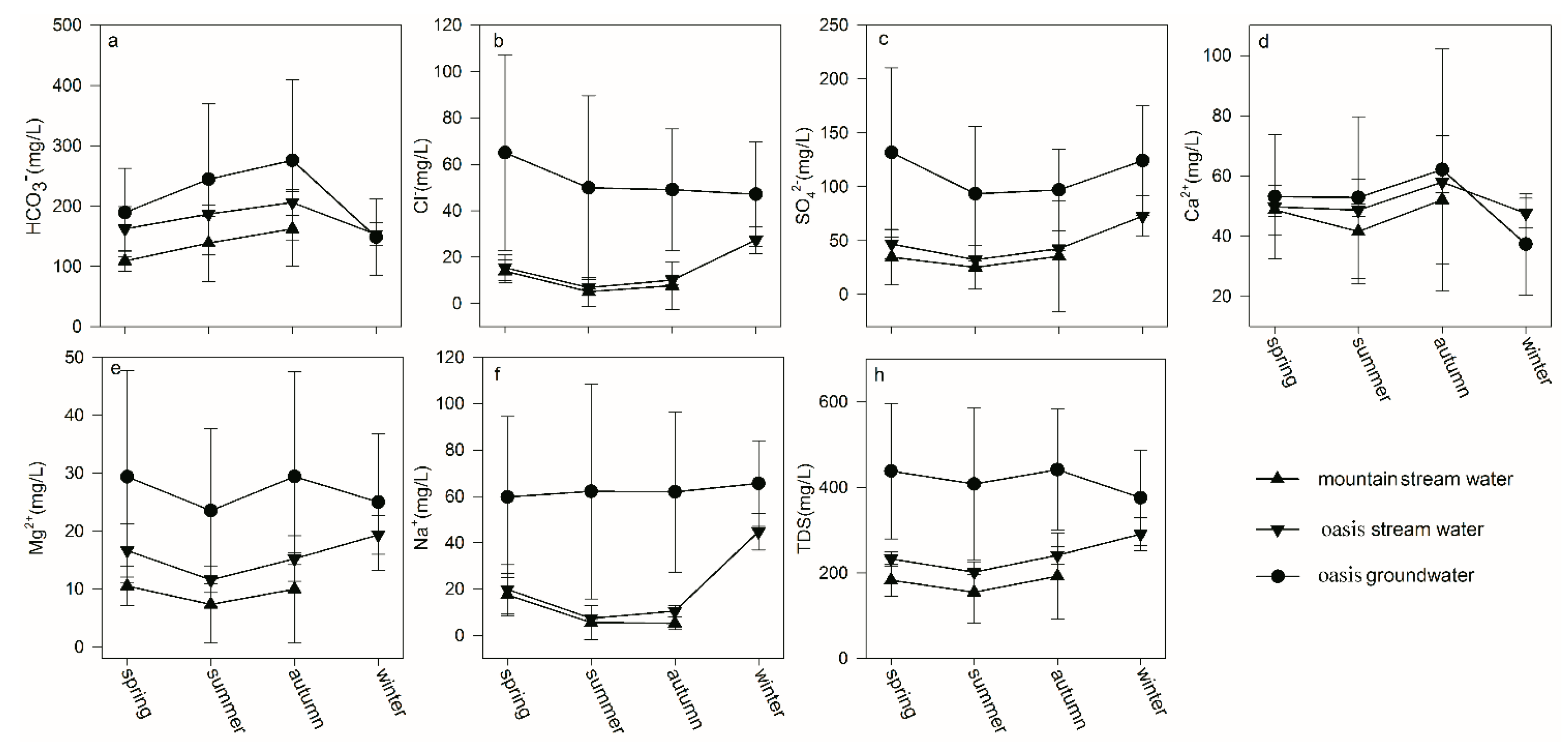
4.1. Water Hydrochemistry
4.2. Water-Rock Interaction
4.3. Effect of Human Activity
4.4. Estimation of the Contribution Sources
5. Discussion
6. Conclusions
Author Contributions
Funding
Conflicts of Interest
References
- Munia, H.; Guillaume, J.H.A.; Mirumachi, N.; Porkka, M.; Wada, Y.; Kummu, M. Water stress in global transboundary river basins: Significance of upstream water use on downstream stress. Environ. Res. Lett. 2016, 11, 014002. [Google Scholar] [CrossRef]
- Gil-Marquez, J.M.; Barbera, J.A.; Andreo, B.; Mudarra, M. Hydrological and geochemical processes constraining groundwater salinity in wetland areas related to evaporitic (karst) systems. A case study from Southern Spain. J. Hydrol. 2017, 544, 538–554. [Google Scholar] [CrossRef]
- Shi, X.; Wang, Y.; Jiao, J.J.; Zhong, J.; Wen, H.; Dong, R. Assessing major factors affecting shallow groundwater geochemical evolution in a highly urbanized coastal area of Shenzhen City, China. J. Geochem. Explor. 2018, 184, 17–27. [Google Scholar] [CrossRef]
- Solgi, E.; Sheikhzadeh, H.; Solgi, M. Role of irrigation water, inorganic and organic fertilizers in soil and crop contamination by potentially hazardous elements in intensive farming systems: Case study from Moghan agro-industry, Iran. J. Geochem. Explor. 2018, 185, 74–80. [Google Scholar] [CrossRef]
- Abou Zakhem, B.; Al-Charideh, A.; Kattaa, B. Using principal component analysis in the investigation of groundwater hydrochemistry of Upper Jezireh Basin, Syria. Hydrol. Sci. J.-J. Des Sci. Hydrol. 2017, 62, 2266–2279. [Google Scholar] [CrossRef]
- Kim, D.-M.; Yun, S.-T.; Cho, Y.; Hong, J.-H.; Batsaikhan, B.; Oh, J. Hydrochemical assessment of environmental status of surface and ground water in mine areas in South Korea: Emphasis on geochemical behaviors of metals and sulfate in ground water. J. Geochem. Explor. 2017, 183, 33–45. [Google Scholar] [CrossRef]
- Wang, W.H.; Wu, T.H.; Zhao, L.; Li, R.; Xie, C.W.; Qiao, Y.P.; Zhang, H.W.; Zhu, X.F.; Yang, S.H.; Qin, Y.H.; et al. Hydrochemical characteristics of ground ice in permafrost regions of the Qinghai-Tibet Plateau. Sci. Total Environ. 2018, 626, 366–376. [Google Scholar] [CrossRef]
- van Geldern, R.; Schulte, P.; Mader, M.; Baier, A.; Barth, J.A.C.; Juhlke, T.R.; Lee, K. Insights into agricultural influences and weathering processes from major ion patterns. Hydrol. Process. 2018, 32, 891–903. [Google Scholar] [CrossRef]
- Niu, B.B.; Wang, H.H.; Loaiciga, H.A.; Hong, S.; Shao, W. Temporal variations of groundwater quality in the Western Jianghan Plain, China. Sci. Total Environ. 2017, 578, 542–550. [Google Scholar] [CrossRef]
- Li, Z.; Wang, G.; Wang, X.; Li, W.; Shi, Z.; Heike, W.; Shoopala, U.; Collen-Issia, U. Groundwater quality and associated hydrogeochemical processes in Northwest Namibia. J. Geochem. Explor. 2018, 186, 202–214. [Google Scholar] [CrossRef]
- Chen, Y.N.; Li, W.H.; Deng, H.J.; Fang, G.H.; Li, Z. Changes in Central Asia’s Water Tower: Past, Present and Future. Sci. Rep. 2016, 6, 35458. [Google Scholar] [CrossRef] [PubMed]
- Bolch, T. HYDROLOGY Asian glaciers are a reliable water source. Nature 2017, 545, 161–162. [Google Scholar] [CrossRef] [PubMed]
- Pritchard, H.D. Asia’s glaciers are a regionally important buffer against drought. Nature 2017, 545, 169. [Google Scholar] [CrossRef] [PubMed]
- Huss, M.; Hock, R. Global-scale hydrological response to future glacier mass loss. Nat. Clim. Chang. 2018, 8, 135. [Google Scholar] [CrossRef]
- Deng, H.J.; Chen, Y.N.; Wang, H.J.; Zhang, S.H. Climate change with elevation and its potential impact on water resources in the Tianshan Mountains, Central Asia. Glob. Planet. Chang. 2015, 135, 28–37. [Google Scholar] [CrossRef]
- Wang, S.H. Hydrochemical and isotopic characteristics of groundwater in the Yanqi Basin of Xinjiang province, northwest China. Environ. Earth Sci. 2013, 3, 1–14. [Google Scholar] [CrossRef]
- Zhang, Z.Y.; Abuduwaili, J.; Yimit, H. The Occurrence, Sources and Spatial Characteristics of Soil Salt and Assessment of Soil Salinization Risk in Yanqi Basin, Northwest China. PLoS ONE 2014, 9, e106079. [Google Scholar] [CrossRef]
- Deutsch William, J.; Randy, S. Groundwater Geochemistry: Fundamentals and Applications to Contamination; CRC Press: Boca Raton, FL, USA, 1997; pp. 392–393. [Google Scholar]
- Lloyd, J.W.; Heathcote, J.A. Natural Inorganic Hydrochemistry in Relation to Groundwater: An Introduction; Clarendon Press: Oxford, UK, 1985. [Google Scholar]
- Parkhurst, D.L.; Appelo, C.A.J. User’s Guide to PHREEQC—A Computer Program for Speciation, Batch-Reaction, One-Dimensional Transport, and Inverse Geochemical Calculations; U U.S. Geological Survey: Denver, CO, USA, 1999. [Google Scholar]
- Marion, G.M. The geochemistry of natural waters: Surface and groundwater environments. J. Environ. Qual. 1998, 27, 245. [Google Scholar] [CrossRef]
- Appelo, C.A.J.; Postma, D. Geochemistry, Groundwater and Pollution; CRC Press: Boca Raton, FL, USA, 2004. [Google Scholar]
- Schoeller, H. Qualitative evaluation of groundwater resources, In Methods and Techniques of Groundwater Investigations and Devement; UNESCO: Paris, France, 1965; pp. 54–83. [Google Scholar]
- Liu, F.; Song, X.; Yang, L.; Zhang, Y.; Han, D.; Ma, Y.; Bu, H. Identifying the origin and geochemical evolution of groundwater using hydrochemistry and stable isotopes in the Subei Lake basin, Ordos energy base, Northwestern China. Hydrol. Earth Syst. Sci. 2015, 19, 551–565. [Google Scholar] [CrossRef]
- Weynell, M.; Wiechert, U.; Zhang, C.J. Chemical and isotopic (O, H, C) composition of surface waters in the catchment of Lake Donggi Cona (NW China) and implications for paleoenvironmental reconstructions. Chem. Geol. 2016, 435, 92–107. [Google Scholar] [CrossRef]
- World Health Organization. Guidelines for Drinking-Water Quality, 4th ed.; World Health Organization: Geneva, Switzerland, 2011; pp. 104–108. [Google Scholar]
- Ma, J.; He, J.; Qi, S.; Zhu, G.; Zhao, W.; Edmunds, W.M.; Zhao, Y. Groundwater recharge and evolution in the Dunhuang Basin, northwestern China. Appl. Geochem. 2013, 28, 19–31. [Google Scholar] [CrossRef]
- Taylor S, R. Abundance of chemical elements in the continental crust: A new table. Geochim. Cosmochim. Acta 1964, 28, 1273–1285. [Google Scholar] [CrossRef]
- Reimann, C.; de Caritat, P. Establishing geochemical background variation and threshold values for 59 elements in Australian surface soil. Sci. Total Environ. 2017, 578, 633–648. [Google Scholar] [CrossRef] [PubMed]
- Gibbs, R.J. Mechanisms controlling world water chemistry. Science 1970, 170, 1088–1090. [Google Scholar] [CrossRef]
- Wang, C.; Dong, Z.; Qin, X.; Zhang, J.; Du, W.; Wu, J. Glacier meltwater runoff process analysis using delta D and delta O-18 isotope and chemistry at the remote Laohugou glacier basin in western Qilian Mountains, China. J. Geogr. Sci. 2016, 26, 722–734. [Google Scholar] [CrossRef]
- Rao, N.S. Geochemistry of groundwater in parts of Guntur District, Andhra Pradesh, India. Environ. Geol. 2002, 41, 552–562. [Google Scholar]
- Yin, L.; Hou, G.; Dou, Y.; Tao, Z.; Li, Y. Hydrogeochemical and isotopic study of groundwater in the Habor Lake Basin of the Ordos Plateau, NW China. Environ. Earth Sci. 2011, 64, 1575–1584. [Google Scholar] [CrossRef]
- Xu, H.; Hou, Z.H.; An, Z.S.; Liu, X.Y.; Dong, J.B. Major ion chemistry of waters in Lake Qinghai catchments, NE Qinghai-Tibet plateau, China. Quat. Int. 2010, 212, 35–43. [Google Scholar] [CrossRef]
- Kumar, K.; Miral, M.S.; Joshi, S.; Pant, N.; Joshi, V.; Joshi, L.M. Solute dynamics of meltwater of Gangotri glacier, Garhwal Himalaya, India. Environ. Geol. 2009, 58, 1151–1159. [Google Scholar] [CrossRef]
- Chen, J. Original Appearances and its Evolution and Reformation in Mesozoie Yanqi Basin in Xinjiang; Northwest University: Xian, China, 2007. [Google Scholar]
- Jakobczyk-Karpierz, S.; Sitek, S.; Jakobsen, R.; Kowalczyk, A. Geochemical and isotopic study to determine sources and processes affecting nitrate and sulphate in groundwater influenced by intensive human activity—Carbonate aquifer Gliwice (southern Poland). Appl. Geochem. 2017, 76, 168–181. [Google Scholar] [CrossRef]
- Soana, E.; Balestrini, R.; Vincenzi, F.; Bartoli, M.; Castaldelli, G. Mitigation of nitrogen pollution in vegetated ditches fed by nitrate-rich spring waters. Agric. Ecosyst. Environ. 2017, 243, 74–82. [Google Scholar] [CrossRef]
- Kandler, M.; Blechinger, K.; Seidler, C.; Pavlu, V.; Sanda, M.; Dostal, T.; Krasa, J.; Vitvar, T.; Stich, M. Impact of land use on water quality in the upper Nisa catchment in the Czech Republic and in Germany. Sci. Total Environ. 2017, 586, 1316–1325. [Google Scholar] [CrossRef]
- Longyang, Q. Assessing the effects of climate change on water quality of plateau deep-water lake-A study case of Hongfeng Lake. Sci. Total Environ. 2019, 647, 1518–1530. [Google Scholar] [CrossRef] [PubMed]
- Chang, C.T.; Huang, J.C.; Wang, L.X.; Shih, Y.T.; Lin, T.C. Shifts in stream hydrochemistry in responses to typhoon and non-typhoon precipitation. Biogeosciences 2018, 15, 2379–2391. [Google Scholar] [CrossRef]
- Chiogna, G.; Skrobanek, P.; Narany, T.S.; Ludwig, R.; Stumpp, C. Effects of the 2017 drought on isotopic and geochemical gradients in the Adige catchment, Italy. Sci. Total Environ. 2018, 645, 924–936. [Google Scholar] [CrossRef] [PubMed]
- Cao, Y.; Tang, C.; Cao, G.; Wang, X. Hydrochemical zoning: Natural and anthropogenic origins of the major elements in the surface water of Taizi River Basin, Northeast China. Environ. Earth Sci. 2016, 75, 811. [Google Scholar] [CrossRef]
- Rose, S. The effects of urbanization on the hydrochemistry of base flow within the Chattahoochee River Basin (Georgia, USA). J. Hydrol. 2007, 341, 42–54. [Google Scholar] [CrossRef]
- Zhang, Q.; Wang, H.; Wang, Y.; Yang, M.; Zhu, L. Groundwater quality assessment and pollution source apportionment in an intensely exploited region of northern China. Environ. Sci. Pollut. Res. 2017, 24, 16639–16650. [Google Scholar] [CrossRef]
- Joimel, S.; Cortet, J.; Jolivet, C.C.; Saby, N.P.A.; Chenot, E.D.; Branchu, P.; Consales, J.N.; Lefort, C.; Morel, J.L.; Schwartz, C. Physico-chemical characteristics of topsoil for contrasted forest, agricultural, urban and industrial land uses in France. Sci. Total Environ. 2016, 545, 40–47. [Google Scholar] [CrossRef]
- Makris, K.C.; Andra, S.S.; Hardy, M.; Sarkar, D.; Datta, R.; Bach, S.B.H.; Mullens, C.P. Nitrous oxide supersaturation at the liquid/air interface of animal waste. Environ. Pollut. 2009, 157, 3508–3513. [Google Scholar] [CrossRef]
- Afazeli, H.; Jafari, A.; Rafiee, S.; Nosrati, M. An investigation of biogas production potential from livestock and slaughterhouse wastes. Renew. Sustain. Energy Rev. 2014, 34, 380–386. [Google Scholar] [CrossRef]








| Location | Water Type | HCO3− (mg/L) | Cl− (mg/L) | SO42− (mg/L) | NO3− (mg/L) | Ca2+ (mg/L) | Mg2+ (mg/L) | K+ (mg/L) | Na+ (mg/L) | TDS (mg/L) | pH | CAI-I | CAI-II | |
|---|---|---|---|---|---|---|---|---|---|---|---|---|---|---|
| mountain | stream water | mean | 136.29 | 7.33 | 28.68 | 0.70 | 44.72 | 8.44 | 1.37 | 8.01 | 166.69 | 8.04 | −1.22 | −0.06 |
| min | 42.29 | 0.73 | 0.00 | 0.03 | 13.79 | 0.94 | 0.21 | 0.74 | 44.99 | 7.56 | −4.96 | −0.39 | ||
| max | 315.78 | 36.27 | 174.69 | 1.60 | 92.17 | 41.67 | 4.59 | 36.10 | 431.53 | 8.29 | 0.53 | 0.11 | ||
| groundwater | mean | 116.33 | 7.96 | 11.92 | 0.43 | 36.09 | 7.14 | 1.37 | 8.27 | 130.91 | 8.05 | −1.22 | −0.10 | |
| min | 65.10 | 2.56 | 0.00 | 0.17 | 24.06 | 4.98 | 0.10 | 4.12 | 84.09 | 7.93 | −2.29 | −0.37 | ||
| max | 160.17 | 16.63 | 23.09 | 0.64 | 48.11 | 8.80 | 4.07 | 21.29 | 158.39 | 8.25 | 0.40 | 0.08 | ||
| plain | stream water | mean | 176.87 | 14.43 | 47.26 | 0.80 | 51.18 | 15.70 | 2.33 | 19.36 | 238.69 | 8.07 | −1.07 | −0.13 |
| min | 117.19 | 6.26 | 31.44 | 0.16 | 43.30 | 10.79 | 0.15 | 6.90 | 193.37 | 7.77 | −2.29 | −0.37 | ||
| max | 249.34 | 35.34 | 92.38 | 1.80 | 65.44 | 23.48 | 4.31 | 53.06 | 335.35 | 8.30 | −0.59 | −0.04 | ||
| groundwater | mean | 203.85 | 57.52 | 118.93 | 2.25 | 51.56 | 27.46 | 3.81 | 61.39 | 422.58 | 7.91 | −1.15 | −0.26 | |
| min | 67.71 | 7.65 | 19.74 | 0.00 | 12.52 | 4.56 | 0.59 | 7.27 | 194.89 | 7.27 | −3.04 | -0.75 | ||
| max | 656.37 | 185.97 | 346.41 | 10.13 | 153.01 | 117.39 | 25.03 | 201.24 | 948.19 | 8.28 | 0.24 | 0.04 |
| HCO3− | Cl− | SO42− | Ca2+ | Mg2+ | K+ | Na+ | TDS | |
|---|---|---|---|---|---|---|---|---|
| Stream water | ||||||||
| HCO3− | 1 | 0.403 ** | 0.217 * | 0.735 ** | 0.578 ** | 0.168 | 0.261 * | 0.720 ** |
| Cl− | 1 | 0.523 ** | 0.425 ** | 0.699 ** | 0.717 ** | 0.871 ** | 0.775 ** | |
| SO42− | 1 | 0.469 ** | 0.731 ** | 0.410 ** | 0.581 ** | 0.775 ** | ||
| Ca2+ | 1 | 0.500 ** | 0.359 ** | 0.275 ** | 0.770 ** | |||
| Mg2+ | 1 | 0.582 ** | 0.716 ** | 0.883 ** | ||||
| K+ | 1 | 0.662 ** | 0.558 ** | |||||
| Na+ | 1 | 0.725 ** | ||||||
| TDS | 1 | |||||||
| Plain groundwater | ||||||||
| HCO3− | 1 | −0.051 | −0.012 | 0.470 ** | 0.447 ** | 0.348 ** | 0.012 | 0.307 ** |
| Cl− | 1 | 0.913 ** | 0.310 ** | 0.695 ** | 0.327 ** | 0.773 ** | 0.903 ** | |
| SO42− | 1 | 0.399 ** | 0.681 ** | 0.373 ** | 0.724 ** | 0.931 ** | ||
| Ca2+ | 1 | 0.382 ** | 0.311 ** | −0.027 | 0.516 ** | |||
| Mg2+ | 1 | 0.521 ** | 0.459 ** | 0.811 ** | ||||
| K+ | 1 | 0.184 * | 0.461 ** | |||||
| Na+ | 1 | 0.754 ** | ||||||
| TDS | 1 | |||||||
| Mountain groundwater | ||||||||
| HCO3− | 1 | −0.442 | 0.143 | 0.780 * | −0.029 | 0.197 | −0.701 | 0.754 * |
| Cl− | 1 | −0.064 | 0.194 | 0.712 * | 0.690 | 0.239 | 0.097 | |
| SO42− | 1 | 0.192 | 0.447 | −0.084 | 0.456 | 0.544 | ||
| Ca2+ | 1 | 0.477 | 0.713 * | −0.592 | 0.912 ** | |||
| Mg2+ | 1 | 0.539 | 0.341 | 0.589 | ||||
| K+ | 1 | −0.451 | 0.493 | |||||
| Na+ | 1 | −0.291 | ||||||
| TDS | 1 | |||||||
| Year | Population | Sown Area (ha) | Irrigated Area (ha) | Orchard (ha) | Net Content(t) | Pesticide(kg) | Livestock (Sheep Unit) | |||
|---|---|---|---|---|---|---|---|---|---|---|
| Nitrogen | p Fertilizer | Potassic Fertilizer | Compound Fertilizer | |||||||
| 2005 | 432,369 | 93,520 | 69,260 | 11,420 | 15,507 | 5929 | 450 | 2186 | 39,088 | 3,256,460 |
| 2010 | 475,178 | 116,213.3 | 92,600 | 18,161.2 | 20,772 | 12,556 | 2680 | 5194 | 293,729 | 2,282,150 |
| 2015 | 443,998 | 121,246.7 | 104,760 | 23,364 | 26,109 | 15,860 | 3998 | 6084 | 405,604 | 4,048,430 |
| Factor 1 | Factor 2 | Factor 3 | ||||
|---|---|---|---|---|---|---|
| SW | GW | SW | GW | SW | GW | |
| Ca2+ | 0.29 | 0.32 | 0.87 | 0.79 | −0.06 | 0.08 |
| Mg2+ | 0.82 | 0.85 | 0.45 | 0.46 | 0.02 | 0.01 |
| Na+ | 0.9 | 0.84 | 0.25 | −0.3 | 0.17 | 0.05 |
| K+ | 0.8 | 0.27 | 0.19 | 0.3 | 0.05 | 0.81 |
| HCO3− | 0.23 | −0.03 | 0.93 | 0.95 | 0.02 | 0.22 |
| SO42− | 0.8 | 0.96 | 0.12 | −0.03 | −0.08 | 0.12 |
| Cl− | 0.91 | 0.99 | 0.26 | −0.03 | 0.11 | 0.01 |
| NO3− | 0.08 | −0.09 | −0.03 | 0.03 | 0.99 | 0.93 |
| % Variance | 46.66 | 55.29 | 24.98 | 19.85 | 12.87 | 14.16 |
| % Cumulative | 46.66 | 55.29 | 71.64 | 75.14 | 84.51 | 89.3 |
| Source | Sulfate and chloride | Carbonate | Human activity | |||
© 2020 by the authors. Licensee MDPI, Basel, Switzerland. This article is an open access article distributed under the terms and conditions of the Creative Commons Attribution (CC BY) license (http://creativecommons.org/licenses/by/4.0/).
Share and Cite
Li, D.; Chen, H.; Jia, S.; Lv, A. Possible Hydrochemical Processes Influencing Dissolved Solids in Surface Water and Groundwater of the Kaidu River Basin, Northwest China. Water 2020, 12, 467. https://doi.org/10.3390/w12020467
Li D, Chen H, Jia S, Lv A. Possible Hydrochemical Processes Influencing Dissolved Solids in Surface Water and Groundwater of the Kaidu River Basin, Northwest China. Water. 2020; 12(2):467. https://doi.org/10.3390/w12020467
Chicago/Turabian StyleLi, Dalong, Haiyan Chen, Shaofeng Jia, and Aifeng Lv. 2020. "Possible Hydrochemical Processes Influencing Dissolved Solids in Surface Water and Groundwater of the Kaidu River Basin, Northwest China" Water 12, no. 2: 467. https://doi.org/10.3390/w12020467
APA StyleLi, D., Chen, H., Jia, S., & Lv, A. (2020). Possible Hydrochemical Processes Influencing Dissolved Solids in Surface Water and Groundwater of the Kaidu River Basin, Northwest China. Water, 12(2), 467. https://doi.org/10.3390/w12020467

