Oblique Wave Attack on Rubble Mound Breakwater Crest Walls of Finite Length
Abstract
1. Introduction
2. Oblique Wave Attack on Forces on Rubble Mound Breakwaters Crest Walls
3. Experimental Methodology
3.1. Test Set-Up
3.2. Test Results
4. Results
4.1. Temporal Shape of Force Events
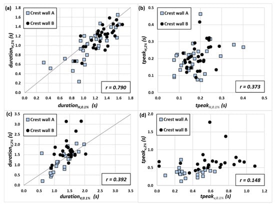
4.2. Duration of Force Events
4.3. Travel Time and Velocity of Force Events
4.4. Integration of the Actual Force
4.5. Length Coefficient
5. Conclusions
Author Contributions
Funding
Acknowledgments
Conflicts of Interest
References
- Pedersen, J. Wave Forces and Overtopping on Crown Walls of Rubble Mound Breakwaters—An Experimental Study. Ph.D. Thesis, Aalborg University, Aalborg, Denmark, 1996. [Google Scholar]
- Molines, J.; Herrera, M.P.; Medina, J.R. Estimations of wave forces on crown walls based on wave overtopping rates. Coast. Eng. 2018, 132, 50–62. [Google Scholar] [CrossRef]
- Van Gent, M.R.A.; Van der Werf, I.M. Prediction method for wave overtopping and wave forces on rubble mound breakwater crest walls. In Proceedings of the Coastal Structures, Hannover, Germany, 30 September–2 October 2019. [Google Scholar]
- Jacobsen, N.G.; Van Gent, M.R.A.; Capel, A.; Borsboom, M. Numerical prediction of integrated wave loads on crest walls on top of rubble mound breakwaters. Coast. Eng. 2018, 142, 110–124. [Google Scholar] [CrossRef]
- Van Gent, M.R.; Van Der Werf, I.M. Influence of oblique wave attack on wave overtopping and forces on rubble mound breakwater crest walls. Coast. Eng. 2019, 151, 78–96. [Google Scholar] [CrossRef]
- Jensen, O.J. A Monograph of Rubble Mound Breakwaters. Available online: https://repository.tudelft.nl/islandora/object/uuid%3A133be463-5f43-45cd-9115-3ef9ebe245b3 (accessed on 26 January 2020).
- Günbak, A.R.; Gökce, T. Wave screen stability of rubble mound Breakwaters. In Proceedings of the International Symposium of Maritime Structure in the Mediterranean Sea, Athens, Greece, 1984. [Google Scholar]
- Günbak, A.R. Damage of Tripoli harbor north west breakwater. In Design and Construction of Mounds for Breakwaters and Coastal Protection; Brunn, P., Ed.; Elsevier: Amsterdam, The Netherlands, 1985; pp. 676–695. [Google Scholar]
- Martin, F.L. Experimental Study of Wave Force on Rubble Mound Breakwater Crown Walls; PIANC Bulletin: Brussels, Belgium, 1999. [Google Scholar]
- Martin, F.L.; Losada, M.Á.; Medina, R. Wave loads on rubble mound breakwater crown walls. Coast. Eng. 1999, 37, 149–174. [Google Scholar] [CrossRef]
- Molines, J. Wave overtopping on Crown Wall Stability of Cube and Cubipod armored Mound Breakwaters. Ph.D. Thesis, Universitat Politècncia de València, Valencia, Spain, 2016. [Google Scholar]
- Nørgaard, J.Q.H.; Andersen, T.L.; Burcharth, H.F. Wave loads on rubble mound breakwater crown walls in deep and shallow water wave conditions. Coast. Eng. 2013, 80, 137–147. [Google Scholar] [CrossRef]
- Van Gent, M.R.A. Report H3608. Physical Model Investigations on Coastal Structures with Shallow Foreshores; 2D Model Test with Single and Double-Peaked Wave Energy Spectra. Available online: https://repository.tudelft.nl/islandora/object/uuid:1b4729de-2e86-4b8a-98d5-48d8e07d5902?collection=research (accessed on 26 January 2020).
- Van Gent, M.R.A. Wave Run-Up on Dikes with Shallow Foreshores. Int. Conf. Coast. Eng. 2001, 127, 2030–2043. [Google Scholar]
- Mares-Nasarre, P.; Argente, G.; Gómez-Martín, M.E.; Medina, J.R. Overtopping layer thickness and overtopping flow velocity on mound breakwaters. Coast. Eng. 2019, 154, 103561. [Google Scholar] [CrossRef]
- Herrera, M.P.; Medina, J.R. Toe berm design for very shallow waters on steep sea bottoms. Coast. Eng. 2015, 103, 67–77. [Google Scholar] [CrossRef]






















| Parameter | Symbol | Value/Range |
|---|---|---|
| Seaward side slope angle (-) | cot α | 2 |
| Dimensionless crest freeboard (-) | Rc/Hs | 0.84–1.60 |
| Ratio crest level of crest wall and armor (-) | Rc/Ac | 1.27–1.55 |
| Dimensionless level of base plate (-) | Fb/Hs | 0–0.56 |
| Wave height over water depth ratio (-) | Hs/hs | 0.13–0.27 |
| Surf similarity parameter (-) | ξm−1,0 | 2.3 and 3.7 |
| Number of waves (-) | N | 1000 |
| Wave angles at the toe (°) | β | 0–75 |
| Incident wave height (m) | Hs | 0.10–0.19 |
| Water depth at the toe (m) | hs | 0.70–0.80 |
| Crest wall freeboard (m) | RC | 0.15–0.25 |
| Crest level of the armor layer crest (m) | AC | 0.097–0.197 |
| Crest width of the armor layer (m) | GC | 0.114 |
| Level base plate relative to the wave level (m) | Fb | 0–0.10 |
| Height of the crest wall (m) | Hwall | 0.15 and 0.2 |
| Width of the crest wall (m) | Bwall | 0.20 |
© 2020 by the authors. Licensee MDPI, Basel, Switzerland. This article is an open access article distributed under the terms and conditions of the Creative Commons Attribution (CC BY) license (http://creativecommons.org/licenses/by/4.0/).
Share and Cite
Mares-Nasarre, P.; van Gent, M.R.A. Oblique Wave Attack on Rubble Mound Breakwater Crest Walls of Finite Length. Water 2020, 12, 353. https://doi.org/10.3390/w12020353
Mares-Nasarre P, van Gent MRA. Oblique Wave Attack on Rubble Mound Breakwater Crest Walls of Finite Length. Water. 2020; 12(2):353. https://doi.org/10.3390/w12020353
Chicago/Turabian StyleMares-Nasarre, Patricia, and Marcel R. A. van Gent. 2020. "Oblique Wave Attack on Rubble Mound Breakwater Crest Walls of Finite Length" Water 12, no. 2: 353. https://doi.org/10.3390/w12020353
APA StyleMares-Nasarre, P., & van Gent, M. R. A. (2020). Oblique Wave Attack on Rubble Mound Breakwater Crest Walls of Finite Length. Water, 12(2), 353. https://doi.org/10.3390/w12020353

