Implementation of Modified Acacia Tannin by Mannich Reaction for Removal of Heavy Metals (Cu, Cr and Hg)
Abstract
1. Introduction
2. Materials and Methods
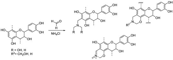
2.1. Modification of Acacia Tannin (MAT)
2.2. Characterization
2.2.1. IR Analysis
2.2.2. NMR Analysis
2.3. Application
2.3.1. The Jar Test
2.3.2. Determination of Physicochemical Parameters
2.3.3. Quantification of Metals Cu, Cr and Hg
3. Results and Discussion
3.1. IR Analysis
3.2. NMR Analysis
3.3. Removal of Heavy Metals
3.4. Physicochemical Parameters
4. Conclusions
Author Contributions
Funding
Conflicts of Interest
References
- Joseph, L.; Jun, B.M.; Flora, J.R.V.; Park, C.M.; Yoon, Y. Removal of heavy metals from water sources in the developing world using low-cost materials: A review. Chemosphere 2019, 229, 142–159. [Google Scholar] [CrossRef] [PubMed]
- Amuda, O.S.; Amoo, I.A. Coagulation/flocculation process and sludge conditioning in beverage industrial wastewater treatment. J. Hazard. Mater. 2007, 141, 778–783. [Google Scholar] [CrossRef]
- Hameed, Y.T.; Idris, A.; Hussain, S.A.; Abdullah, N. A tannin-based agent for coagulation and flocculation of municipal wastewater: Chemical composition, performance assessment compared to Polyaluminum chloride, and application in a pilot plant. J. Environ. Manag. 2016, 184, 494–503. [Google Scholar] [CrossRef] [PubMed]
- Li, J.; Jiao, S.; Zhong, L.; Pan, J.; Ma, Q. Optimizing coagulation and flocculation process for kaolinite suspension with chitosan. Colloids Surf. A Physicochem. Eng. Asp. 2013, 428, 100–110. [Google Scholar] [CrossRef]
- Beltrán Heredia, J.; Sánchez Martín, J. Removing heavy metals from polluted surface water with a tannin-based flocculant agent. J. Hazard. Mater. 2009, 165, 1215–1218. [Google Scholar] [CrossRef] [PubMed]
- Arismendi, W.A.; Ortiz-Ardila, A.E.; Delgado, C.V.; Lugo, L.; Sequeda-Castañeda, L.G.; Celis-Zambrano, C.A. Modified tannins and their application in wastewater treatment. Water Sci. Technol. 2018, 78, 1115–1128. [Google Scholar] [CrossRef] [PubMed]
- Lopes, E.C.; Santos, S.C.R.; Pintor, A.M.A.; Boaventura, R.A.R.; Botelho, C.M.S. Evaluation of a tannin-based coagulant on the decolorization of synthetic effluents. J. Environ. Chem. Eng. 2019, 7, 103125. [Google Scholar] [CrossRef]
- Beltrán-Heredia, J.; Sánchez-Martín, J.; Dávila-Acedo, M.A. Optimization of the synthesis of a new coagulant from a tannin extract. J. Hazard. Mater. 2011, 186, 1704–1712. [Google Scholar] [CrossRef]
- Arismendi, W. Evaluación y Comparación de la Capacidad Floculante de Taninos Modificados (Quebracho, Acacia, Castaño) y su Aplicación en el Tratamiento de Aguas Residuales. Master’s Thesis, Pontificia Universidad Javeriana, Bogotá, Colombia, 29 November 2016. [Google Scholar]
- Cheng, L.; Wang, L.; Geng, Y.; Wang, N.; Mao, Y.; Cai, Y. Occurrence, speciation and fate of mercury in the sewage sludge of China. Ecotoxicol. Environ. Saf. 2019, 186, 109787. [Google Scholar] [CrossRef] [PubMed]
- Bełdowska, M.; Saniewska, D.; Gębka, K.; Kwasigroch, U.; Korejwo, E.; Kobos, J. Simple screening technique for determination of adsorbed and absorbed mercury in particulate matter in atmospheric and aquatic environment. Talanta 2018, 182, 340–347. [Google Scholar] [CrossRef] [PubMed]
- Jiang, L.; Liu, P.; Zhao, S. Magnetic ATP/FA/Poly(AA-co-AM) ternary nanocomposite microgel as selective adsorbent for removal of heavy metals from wastewater. Colloids Surf. A Physicochem. Eng. Asp. 2015, 470, 31–38. [Google Scholar] [CrossRef]
- Ramires, E.C.; Frollini, E. Composites: Part B Tannin—Phenolic resins: Synthesis, characterization, and application as matrix in biobased composites reinforced with sisal fibers. Compos. Part B 2012, 43, 2851–2860. [Google Scholar] [CrossRef]
- Pasto, D.J.; Johnson, C.R. Organic Structure Determination, 1st ed.; Prentice-Hall International series in chemistry; Prentice-Hall: Englewood Cliff, NJ, USA, 1969; ISBN 9780136408543. [Google Scholar]
- Song, P.; Jiang, S.; Ren, Y.; Zhang, X.; Qiao, T.; Song, X.; Liu, Q.; Chen, X. Synthesis and characterization of tannin grafted polycaprolactone. J. Colloid Interface Sci. 2016, 479, 160–164. [Google Scholar] [CrossRef] [PubMed]
- Grenda, K.; Arnold, J.; Hunkeler, D.; Gamelas, J.A.F.; Rasteiro, M.G. Tannin-based coagulants from laboratory to pilot plant scales for coloured wastewater treatment. BioResources 2018, 13, 2727–2747. [Google Scholar] [CrossRef]
- Faris, A.H.; Ibrahim, M.N.M.; Rahim, A.A. Preparation and characterization of green adhesives using modified tannin and hyperbranched poly (amine-ester). Int. J. Adhes. Adhes. 2016, 71, 39–47. [Google Scholar] [CrossRef]
- Lee, W.J.; Lan, W.C. Properties of resorcinol-tannin-formaldehyde copolymer resins prepared from the bark extracts of Taiwan acacia and China fir. Bioresour. Technol. 2006, 97, 257–264. [Google Scholar] [CrossRef]
- Saad, H.; Khoukh, A.; Ayed, N.; Charrier, B.; Bouhtoury, F.C.-E. Characterization of Tunisian Aleppo pine tannins for a potential use in wood adhesive formulation. Ind. Crops Prod. 2014, 61, 517–525. [Google Scholar] [CrossRef]
- Grenda, K.; Arnold, J.; Gamelas, J.A.F.; Rasteiro, M.G. Up-scaling of tannin-based coagulants for wastewater treatment: Performance in a water treatment plant. Environ. Sci. Pollut. Res. 2018, 1–12. [Google Scholar] [CrossRef]
- Tondi, G.; Petutschnigg, A. Middle infrared (ATR FT-MIR) characterization of industrial tannin extracts. Ind. Crops Prod. 2015, 65, 422–428. [Google Scholar] [CrossRef]
- Wang, L.; Liang, W.; Yu, J.; Liang, Z.; Ruan, L.; Zhang, Y. Flocculation of Microcystis aeruginosa using modified larch tannin. Environ. Sci. Technol. 2013, 47, 5771–5777. [Google Scholar] [CrossRef]
- Li, J.; Zhu, W.; Zhang, S.; Gao, Q.; Xia, C.; Zhang, W. Depolymerization and characterization of Acacia mangium tannin for the preparation of mussel-inspired fast-curing tannin-based phenolic resins. Chem. Eng. J. 2019, 370, 420–431. [Google Scholar] [CrossRef]
- Liang, L.Z.; Yi, M.L. HPLC, NMR and MALDI-TOF MS analysis of condensed tannins from Lithocarpus glaber leaves with potent free radical scavenging activity. Molecules 2008, 13, 2986–2997. [Google Scholar]
- Xu, Q.; Wang, Y.; Jin, L.; Wang, Y.; Qin, M. Adsorption of Cu (II), Pb (II) and Cr (VI) from aqueous solutions using black wattle tannin-immobilized nanocellulose. J. Hazard. Mater. 2017, 339, 91–99. [Google Scholar] [CrossRef] [PubMed]
- Huang, X.; Liao, X.; Shi, B. Hg(II) removal from aqueous solution by bayberry tannin-immobilized collagen fiber. J. Hazard. Mater. 2009, 170, 1141–1148. [Google Scholar] [CrossRef] [PubMed]
- Song, X.; Li, L.; Zhou, L.; Chen, P. Magnetic thiolated/quaternized-chitosan composites design and application for various heavy metal ions removal, including cation and anion. Chem. Eng. Res. Des. 2018, 136, 581–592. [Google Scholar] [CrossRef]
- Huang, Z.; Lu, L.; Cai, Z.; Ren, Z.J. Individual and competitive removal of heavy metals using capacitive deionization. J. Hazard. Mater. 2016, 302, 323–331. [Google Scholar] [CrossRef]
- Chen, Y.; Xu, W.; Zhu, H.; Wei, D.; Wang, N.; Li, M. Comparison of organic matter removals in single-component and bi-component systems using enhanced coagulation and magnetic ion exchange (MIEX) adsorption. Chemosphere 2018, 210, 672–682. [Google Scholar] [CrossRef]
- Agbovi, H.K.; Wilson, L.D. Design of amphoteric chitosan flocculants for phosphate and turbidity removal in wastewater. Carbohydr. Polym. 2018, 189, 360–370. [Google Scholar] [CrossRef]
- Singh, R.P.; Pal, S.; Rana, V.K.; Ghorai, S. Amphoteric amylopectin: A novel polymeric flocculant. Carbohydr. Polym. 2013, 91, 294–299. [Google Scholar] [CrossRef]
- Sun, Y.; Zhu, C.; Zheng, H.; Sun, W.; Xu, Y.; Xiao, X.; You, Z.; Liu, C. Characterization and coagulation behavior of polymeric aluminum ferric silicate for high-concentration oily wastewater treatment. Chem. Eng. Res. Des. 2017, 119, 23–32. [Google Scholar] [CrossRef]
- Das, R.; Ghorai, S.; Pal, S. Flocculation characteristics of polyacrylamide grafted hydroxypropyl methyl cellulose: An efficient biodegradable flocculant. Chem. Eng. J. 2013, 229, 144–152. [Google Scholar] [CrossRef]







| Metal | Initial Concentration (ppm) | Final Concentration (ppm) | Removal Percentage (%) |
|---|---|---|---|
| Copper | 80 | 32.5 | 60 |
| Chromium | 30 | 4 | 87 |
| Mercury | 0.07 | 0.049 | 50 |
| pH/Metal | A Metal | Cu + Cr | ||
|---|---|---|---|---|
| % Cr | % Cu | % Cr | % Cu | |
| 4 | 28.47 | 33.66 | 69.86 | 38.54 |
| 7 | 6.76 | 50.59 | 69.55 | 38.59 |
| 10 | 87.11 | 57.57 | 52.25 | 29.28 |
| Physicochemical Parameters | Results |
|---|---|
| Dissolved oxygen (ppm) | 0.15 |
| pH | 9.4 |
| Temperature °C | 19 |
| Conductivity µS | 0.53 |
| Chemical oxygen demand (COD) (mg/L) | 22,957 |
| Turbidity (NTU) | 435.33 |
| Real color (PCU) | 1094 |
| Apparent color (PCU) | 2160 |
| Total suspended solids (mg/L) | 867.851 |
© 2020 by the authors. Licensee MDPI, Basel, Switzerland. This article is an open access article distributed under the terms and conditions of the Creative Commons Attribution (CC BY) license (http://creativecommons.org/licenses/by/4.0/).
Share and Cite
Lugo, L.; Martín, A.; Diaz, J.; Pérez-Flórez, A.; Celis, C. Implementation of Modified Acacia Tannin by Mannich Reaction for Removal of Heavy Metals (Cu, Cr and Hg). Water 2020, 12, 352. https://doi.org/10.3390/w12020352
Lugo L, Martín A, Diaz J, Pérez-Flórez A, Celis C. Implementation of Modified Acacia Tannin by Mannich Reaction for Removal of Heavy Metals (Cu, Cr and Hg). Water. 2020; 12(2):352. https://doi.org/10.3390/w12020352
Chicago/Turabian StyleLugo, Lorena, Alison Martín, John Diaz, Alejandro Pérez-Flórez, and Crispin Celis. 2020. "Implementation of Modified Acacia Tannin by Mannich Reaction for Removal of Heavy Metals (Cu, Cr and Hg)" Water 12, no. 2: 352. https://doi.org/10.3390/w12020352
APA StyleLugo, L., Martín, A., Diaz, J., Pérez-Flórez, A., & Celis, C. (2020). Implementation of Modified Acacia Tannin by Mannich Reaction for Removal of Heavy Metals (Cu, Cr and Hg). Water, 12(2), 352. https://doi.org/10.3390/w12020352

