Investigation of Role of Retention Storage in Tanks (Small Water Bodies) on Future Urban Flooding: A Case Study of Chennai City, India
Abstract
1. Introduction
2. Methodology
2.1. Study Area
2.2. Scenarios Definition
2.3. Frequency Analysis of NEX-GDDP Data
2.4. Urban Sprawl Prediction
2.5. Hydrological Modelling
Validation of Hydrological Model
2.6. Hydraulic Modelling
Validation of Hydraulic Model
3. Results and Discussion
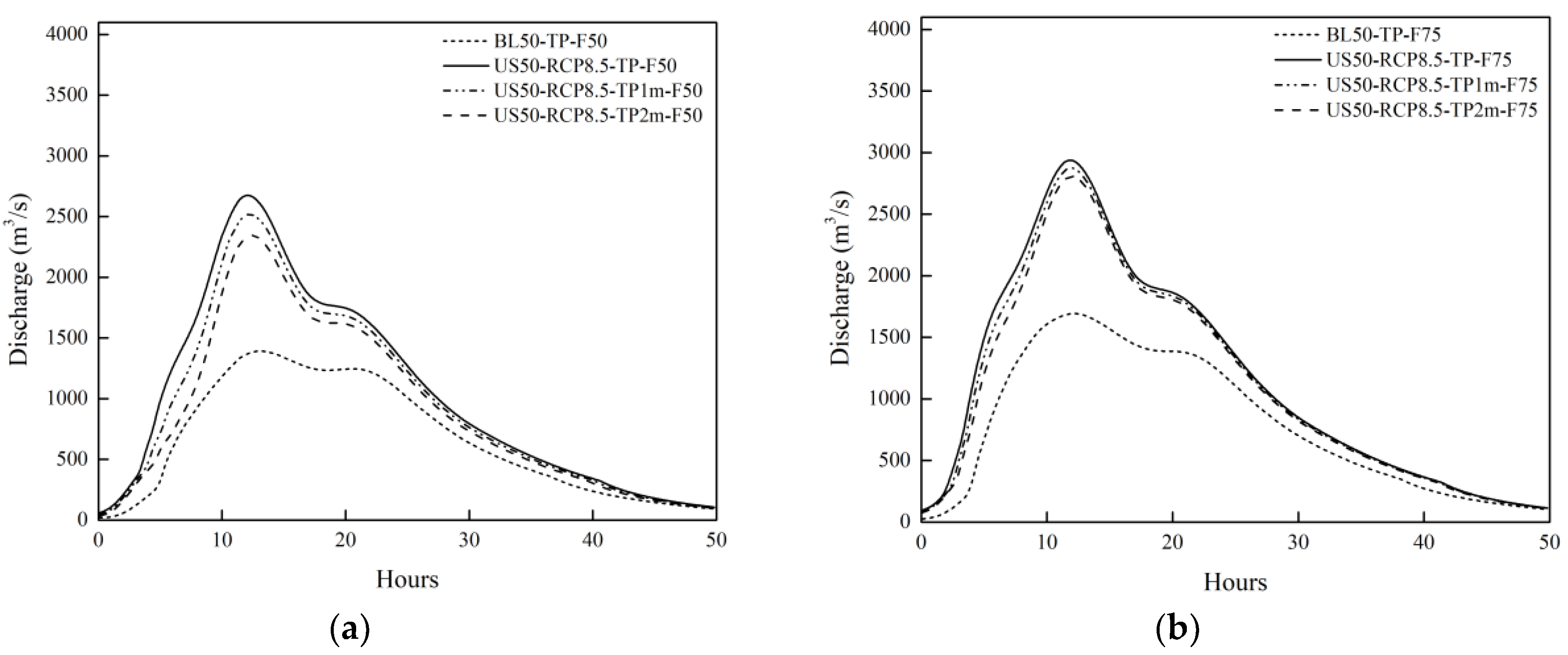
3.1. Hydrological Results
3.1.1. Impact of Initial Storage in Tanks
3.1.2. Impact of Dredging the Tanks
3.1.3. Impact of the Disappearance of Tanks
3.2. Hydraulic Results
3.2.1. Analysis of Inundation Depth
3.2.2. Analysis of Inundation Extent
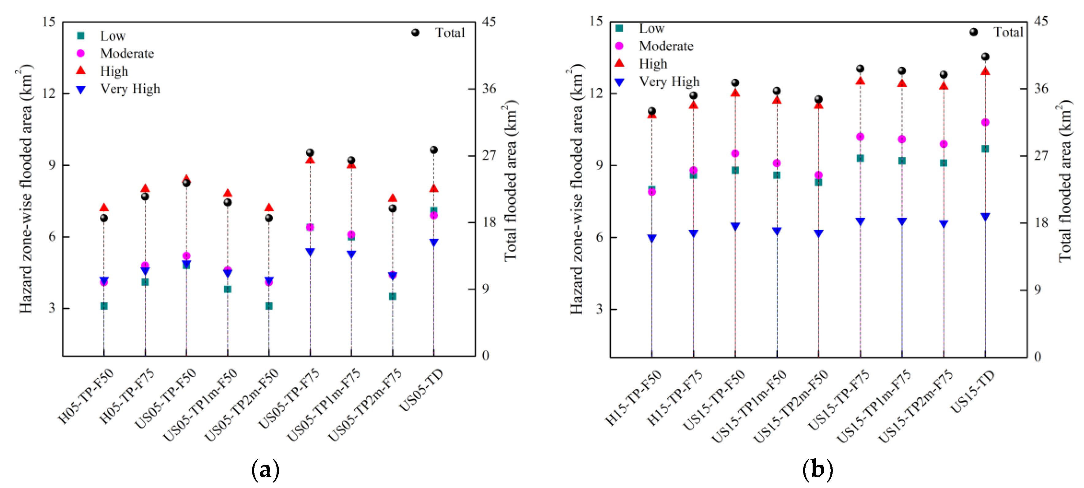
3.2.3. Flood Hazard Zonation: Impact Analysis
4. Limitations of the Present Study
5. Summary and Conclusions
- (i)
- It can be concluded that the tanks in the upstream catchments provide effective flood mitigation for a downstream city, when the initial storage in the tanks is minimum or when there is an insignificant wet spell prior to occurrence of the extreme rainfall. Hence, an accurate short-range rainfall forecast system for the Adyar basin can help the authorities in charge of the tanks release excess water in the tanks to downstream areas or store it in secondary reservoirs on time.
- (ii)
- The dredging of tanks results in considerable differences in inundation depths and extents, irrespective of the 50% and 75% initial storage for moderate 2005-flood-like events, i.e., one in 50-year return period floods.
- (iii)
- Dredging of tanks uniformly by 2 m within the tanks’ water spread area does not reduce inundation significantly for 1 in 100-year flood-like scenarios. However, a similar dredging of the tanks can neutralize the adverse effect of urbanization in 2050 in the case of 1 in 50-year flood-like scenarios.
- (iv)
- In the future, if the tanks disappear due to urbanization, then even for a moderate 1 in 50-year rainfall, there will be excessive inundation due to fluvial flooding closer to that caused by a 1 in 100-year rainfall, i.e., similar to the 2015 flood event.
- (v)
- As the Adyar basin is prone to occurrence of frequent extreme events, it is important that the uncontrolled tanks are equipped with flood gates to regulate storage prior to a forecasted flooding event to minimize flood peaks.
- (vi)
- The flood hazard analysis performed in this study indicates that higher differences in the inundation area due to dredging and disappearance of tanks get reflected under the low hazard zone category for 1 in 50-year flood-like events. On the other hand, the differences are greater in moderate zones for 1 in 100-year flood-like events. Such a trend is due to the fact that the 1 in 100-year floods are greater in magnitude than the 1 in 50-year floods. Hence, even though the reduction/increase in inundation area due to dredging/disappearance of tanks is less for 1 in 100-year floods, the implications of dredging of tanks in flood management cannot be discounted.
- (vii)
- This study provides insights into dredging of tanks by 1 m and 2 m as possible flood mitigation scenarios. The observations of this study can be useful to the government for the proposed plan of dredging of tanks in the Adyar basin.
Author Contributions
Funding
Acknowledgments
Conflicts of Interest
References
- Halgamuge, M.N.; Nirmalathas, A. Analysis of large flood events: Based on flood data during 1985–2016 in Australia and India. Int. J. Disaster Risk Reduct. 2017, 24, 1–11. [Google Scholar] [CrossRef]
- Wasko, C.; Sharma, A. Global assessment of flood and storm extremes with increased temperatures. Sci. Rep. 2017, 7, 7945. [Google Scholar] [CrossRef]
- Small, C.; Nicholls, R.J. A Global Analysis of Human Settlement in Coastal Zones. J. Coast. Res. 2003, 19, 584–599. [Google Scholar]
- Hirabayashi, Y.; Kanae, S.; Emori, S.; Oki, T.; Kimoto, M. Global projections of changing risks of floods and droughts in a changing climate. Hydrol. Sci. J. 2008, 53, 754–772. [Google Scholar] [CrossRef]
- Dutta, D. An integrated tool for assessment of flood vulnerability of coastal cities to sea-level rise and potential socio-economic impacts: A case study in Bangkok, Thailand. Hydrol. Sci. J. 2011, 56, 805–823. [Google Scholar] [CrossRef]
- World Water Assessment Programme. The United Nations World Water Development Report 3: Water in a Changing World; Earthscan, UNESCO: London, UK; Paris, French, 2009; Volume 1. [Google Scholar]
- Kundzewicz, Z.W.; Kanae, S.; Seneviratne, S.I.; Handmer, J.; Nicholls, N.; Peduzzi, P.; Mechler, R.; Bouwer, L.M.; Arnell, N.; Mach, K.; et al. Flood risk and climate change: Global and regional perspectives. Hydrol. Sci. J. 2014, 59, 1–28. [Google Scholar] [CrossRef]
- Mendelsohn, R.; Emanuel, K.; Chonabayashi, S.; Bakkensen, L. The impact of climate change on global tropical cyclone damage. Nat. Clim. Chang. 2012, 2, 205–209. [Google Scholar] [CrossRef]
- Rahmstorf, S. Rising hazard of storm-surge flooding. Proc. Natl. Acad. Sci. USA 2017, 114, 11806–11808. [Google Scholar] [CrossRef]
- Vitousek, S.; Barnard, P.L.; Fletcher, C.H.; Frazer, N.; Erikson, L.; Storlazzi, C.D. Doubling of coastal flooding frequency within decades due to sea-level rise. Sci. Rep. 2017, 7, 1399. [Google Scholar] [CrossRef]
- Gupta, A.D.A.S. Challenges and opportunities for water resources management in southeast Asia. Hydrol. Sci. J. 2001, 46, 923–935. [Google Scholar] [CrossRef]
- Mohapatra, P.K.; Singh, R.D. Flood Management in India. In Flood Problem and Management in South Asia; Mirza, M.M.Q., Dixit, A., Nishat, A., Eds.; Springer: Dordrecht, The Netherlands, 2003; pp. 131–143. ISBN 978-94-017-0137-2. [Google Scholar]
- CMDA. Seminar on Waterways in Chennai. Available online: http://www.cmdachennai.gov.in/pdfs/SeminarOnWaterways/5.pdf (accessed on 18 September 2020).
- Sekar, S.P.; Kanchanamala, S. An Analysis of Growth Dynamics in Chennai Metropolitan Area. Inst. Town Plan. India J. 2011, 8, 31–57. [Google Scholar]
- Palanisami, K.; Easter, K. The Tanks of South India (A Potential for Future Expansion in Irrigation), Economic Reports. Available online: http://ageconsearch.umn.edu/record/13041/files/er830004.pdf (accessed on 18 September 2020).
- Palanisami, K.; Easter, K.W. Tank Irrigation in the 21st Century: What Next? Discovery Publishing House: New Delhi, India, 2000; ISBN 817141558x. [Google Scholar]
- Dayal, P.; Iyengar, K. Rehabilitation and Management of Tanks in India: A Study of Select States; Asian Development Bank: Mandaluyong, Philippines, 2006. [Google Scholar]
- Massuel, S.; Perrin, J.; Mascre, C.; Mohamed, W.; Boisson, A.; Ahmed, S. Managed aquifer recharge in South India: What to expect from small percolation tanks in hard rock? J. Hydrol. 2014, 512, 157–167. [Google Scholar] [CrossRef]
- FAO. Reservoir Fisheries of India. Available online: http://www.fao.org/3/v5930e/v5930e01.htm (accessed on 18 September 2020).
- Biggs, J.; von Fumetti, S.; Kelly-Quinn, M. The importance of small waterbodies for biodiversity and ecosystem services: Implications for policy makers. Hydrobiologia 2017, 793, 3–39. [Google Scholar] [CrossRef]
- Gleason, R.A.; Tangen, B.A.; Laubhan, M.K.; Kermes, K.E.; Euliss, N.H., Jr. Estimating Water Storage Capacity of Existing and Potentially Restorable Wetland Depressions in a Subbasin of the Red River of the North; USGS: Reston, VA, USA, 2007.
- Leibowitz, S.G.; Wigington, P.J.; Rains, M.C.; Downing, D.M. Non-Navigable Streams and Adjacent Wetlands: Addressing Science Needs following the Supreme Court’s Rapanos Decision. Front. Ecol. Environ. 2008, 6, 364–371. [Google Scholar] [CrossRef]
- Shook, K.R.; Pomeroy, J.W. Memory effects of depressional storage in Northern Prairie hydrology. Hydrol. Process. 2011, 25, 3890–3898. [Google Scholar] [CrossRef]
- Wilcox, B.P.; Dean, D.D.; Jacob, J.S.; Sipocz, A. Evidence of Surface Connectivity for Texas Gulf Coast Depressional Wetlands. Wetlands 2011, 31, 451–458. [Google Scholar] [CrossRef]
- Brooks, J.R.; Mushet, D.M.; Vanderhoof, M.K.; Leibowitz, S.G.; Christensen, J.R.; Neff, B.P.; Rosenberry, D.O.; Rugh, W.D.; Alexander, L.C. Estimating Wetland Connectivity to Streams in the Prairie Pothole Region: An Isotopic and Remote Sensing Approach. Water Resour. Res. 2018, 54, 955–977. [Google Scholar] [CrossRef]
- Lane, C.R.; Leibowitz, S.G.; Autrey, B.C.; LeDuc, S.D.; Alexander, L.C. Hydrological, Physical, and Chemical Functions and Connectivity of Non-Floodplain Wetlands to Downstream Waters: A Review. JAWRA J. Am. Water Resour. Assoc. 2018, 54, 346–371. [Google Scholar] [CrossRef]
- Rains, M.C. Water Sources and Hydrodynamics of Closed-Basin Depressions, Cook Inlet Region, Alaska. Wetlands 2011, 31, 377–387. [Google Scholar] [CrossRef]
- McLaughlin, D.L.; Kaplan, D.A.; Cohen, M.J. A significant nexus: Geographically isolated wetlands influence landscape hydrology. Water Resour. Res. 2014, 50, 7153–7166. [Google Scholar] [CrossRef]
- Rains, M.C.; Leibowitz, S.G.; Cohen, M.J.; Creed, I.F.; Golden, H.E.; Jawitz, J.W.; Kalla, P.; Lane, C.R.; Lang, M.W.; McLaughlin, D.L. Geographically isolated wetlands are part of the hydrological landscape. Hydrol. Process. 2016, 30, 153–160. [Google Scholar] [CrossRef]
- Suriya, S.; Mudgal, B.V. Impact of urbanization on flooding: The Thirusoolam sub watershed—A case study. J. Hydrol. 2012, 412–413, 210–219. [Google Scholar] [CrossRef]
- Huang, S.; Young, C.; Feng, M.; Heidemann, H.K.; Cushing, M.; Mushet, D.M.; Liu, S. Demonstration of a conceptual model for using LiDAR to improve the estimation of floodwater mitigation potential of Prairie Pothole Region wetlands. J. Hydrol. 2011, 405, 417–426. [Google Scholar] [CrossRef]
- Vanderhoof, M.K.; Alexander, L.C.; Todd, J. Temporal and spatial patterns of wetland extent influence variability of surface water connectivity in the Prairie Pothole Region, United States. Landsc. Ecol. 2016, 31, 805–824. [Google Scholar] [CrossRef]
- Xuefeng, C. Delineation of Pothole-Dominated Wetlands and Modeling of Their Threshold Behaviors. J. Hydrol. Eng. 2017, 22, D5015003. [Google Scholar] [CrossRef]
- Jones, C.N.; Ameli, A.; Neff, B.P.; Evenson, G.R.; McLaughlin, D.L.; Golden, H.E.; Lane, C.R. Modeling Connectivity of Non-floodplain Wetlands: Insights, Approaches, and Recommendations. JAWRA J. Am. Water Resour. Assoc. 2019, 55, 559–577. [Google Scholar] [CrossRef]
- Singh, R.; Arrighi, J. Rapidly growing Chennai Submerged by Rare Extreme Rainfall Event. Available online: https://cdkn.org/wp-content/uploads/2017/08/Rapidly-growing-Chennai-submerged-by-rare-extreme-rainfall-event.pdf (accessed on 18 September 2020).
- Narasimhan, B.; Bhallamud, S.; Mondal, A.; Ghosh, S.; Mujumdar, P. Chennai Floods 2015: A Rapid Assessment. Available online: http://www.icwar.iisc.ernet.in/wp-content/uploads/2016/06/Chennai-Floods-Rapid-Assessment-Report.pdf (accessed on 18 September 2020).
- Nithila Devi, N.; Sridharan, B.; Kuiry, S.N. Impact of urban sprawl on future flooding in Chennai city, India. J. Hydrol. 2019, 574, 486–496. [Google Scholar] [CrossRef]
- Deivalatha, A.; Senthilkumaran, P.; Ambujam, N.K. Impact of desilting of irrigation tanks on productivity of crop yield and profitability of farm income. Afr. J. Agric. Res. 2014, 9, 1833–1840. [Google Scholar]
- Adhinarayanan, R. Enhancing Soil Organic Carbon through Tank Silt Application. Available online: http://www.fao.org/3/a-bs082e.pdf (accessed on 18 September 2020).
- NDTV. Tamil Nadu Revives Ancient Community De-Silting of Lakes, Tanks. Available online: https://www.ndtv.com/tamil-nadu-news/tamil-nadu-revives-ancient-community-de-silting-of-lakes-tanks-1669178 (accessed on 18 September 2020).
- The Hindu BusinessLine TN Approves Rs 130-cr Proposal to Strengthen Chennai Water Sources. Available online: https://www.thehindubusinessline.com/economy/policy/TN-approves-Rs-130-cr-proposal-to-strengthen-Chennai-water-sources/article20372573.ece (accessed on 18 September 2020).
- Government of Tamil Nadu. Report of the Comptroller and Auditor General of India on Performance Audit of Flood Management and Response in Chennai and its Suburban Areas; Government of Tamil Nadu: Chennai, India, 2017.
- DTNEXT. Creation of Additional Space in 4 Tanks Delayed as PWD Awaits GO. Available online: https://www.dtnext.in/News/City/2019/01/05075907/1101728/Creation-of-additional-space-in-4-tanks-delayed-as-.vpf (accessed on 18 September 2020).
- Rajib, A.; Golden, H.E.; Lane, C.R.; Wu, Q. Surface Depression and Wetland Water Storage Improves Major River Basin Hydrologic Predictions. Water Resour. Res. 2020, 56, e2019WR026561. [Google Scholar] [CrossRef]
- Mohanty, M.P.; Mudgil, S.; Karmakar, S. Flood management in India: A focussed review on the current status and future challenges. Int. J. Disaster Risk Reduct. 2020, 49, 101660. [Google Scholar] [CrossRef]
- Ghosh, S.; Karmakar, S.; Saha, A.; Mohanty, M.P.; Ali, S.; Raju, S.K.; Krishnakumar, V.; Sebastian, M.; Behera, M.R.; Ashrit, R.; et al. Development of India’s first integrated expert urban flood forecasting system for Chennai. Curr. Sci. 2019, 117, 741–745. [Google Scholar]
- Kulkarni, A.T.; Bodke, S.S.; Rao, E.P.; Eldho, T.I. Hydrologic impact on change in land use/land cover in an urbanizing catchment of Mumbai: A case study. ISH J. Hydraul. Eng. 2014, 20, 314–323. [Google Scholar] [CrossRef]
- Zope, P.E.; Eldho, T.I.; Jothiprakash, V. Impacts of urbanization on flooding of a coastal urban catchment: A case study of Mumbai City, India. Nat. Hazards 2015, 75, 887–908. [Google Scholar] [CrossRef]
- Zope, P.E.; Eldho, T.I.; Jothiprakash, V. Impacts of land use–land cover change and urbanization on flooding: A case study of Oshiwara River Basin in Mumbai, India. CATENA 2016, 145, 142–154. [Google Scholar] [CrossRef]
- Pathak, S.; Liu, M.; Jato-Espino, D.; Zevenbergen, C. Social, economic and environmental assessment of urban sub-catchment flood risks using a multi-criteria approach: A case study in Mumbai City, India. J. Hydrol. 2020, 591, 125216. [Google Scholar] [CrossRef]
- Wagner, P.D.; Bhallamudi, S.M.; Narasimhan, B.; Kantakumar, L.N.; Sudheer, K.P.; Kumar, S.; Schneider, K.; Fiener, P. Dynamic integration of land use changes in a hydrologic assessment of a rapidly developing Indian catchment. Sci. Total Environ. 2016, 539, 153–164. [Google Scholar] [CrossRef]
- Kim, Y.; Han, M. Rainwater storage tank as a remedy for a local urban flood control. Water Sci. Technol. Water Supply 2008, 8, 31–36. [Google Scholar] [CrossRef]
- Todeschini, S.; Papiri, S.; Ciaponi, C. Performance of stormwater detention tanks for urban drainage systems in northern Italy. J. Environ. Manag. 2012, 101, 33–45. [Google Scholar] [CrossRef]
- Cimorelli, L.; Morlando, F.; Cozzolino, L.; Covelli, C.; Della Morte, R.; Pianese, D. Optimal positioning and sizing of detention tanks within urban drainage networks. J. Irrig. Drain. Eng. 2016, 142, 1–12. [Google Scholar] [CrossRef]
- Duan, H.F.; Li, F.; Tao, T. Multi-objective Optimal Design of Detention Tanks in the Urban Stormwater Drainage System: Uncertainty and Sensitivity Analysis. Water Resour. Manag. 2016, 30, 2213–2226. [Google Scholar] [CrossRef]
- Li, F.; Duan, H.F.; Yan, H.; Tao, T. Multi-Objective Optimal Design of Detention Tanks in the Urban Stormwater Drainage System: Framework Development and Case Study. Water Resour. Manag. 2015, 29, 2125–2137. [Google Scholar] [CrossRef]
- Li, F.; Yan, X.; Duan, H. Sustainable Design of Urban Stormwater Drainage Systems by Implementing Detention Tank and LID Measures for Flooding Risk Control and Water Quality Management. Water Resour. Manag. 2019, 33, 3271–3288. [Google Scholar] [CrossRef]
- Freni, G.; Liuzzo, L. Effectiveness of Rainwater Harvesting Systems for Flood Reduction in Residential Urban Areas. Water 2019, 11, 1389. [Google Scholar] [CrossRef]
- Janakiraman, A.; Naveed, M.S.; Asrar Sheriff, M.; Altaff, K. Ecological restoration assessment of Adyar creek and estuary using meiofaunal communities as ecological indicators for aquatic pollution. Reg. Stud. Mar. Sci. 2017, 9, 135–144. [Google Scholar] [CrossRef]
- Ramasamy, S.M.; Vijay, A.; Dhinesh, S. Geo-anthropogenic aberrations and Chennai floods: 2015, India. Nat. Hazards 2018, 92, 443–477. [Google Scholar] [CrossRef]
- Disaster Management and Mitigation Department. Annual Report on Natural Calamities 2005–06; Disaster Management and Mitigation Department: Chennai, India, 2006.
- FloodList Floods Strike Again in Tamil Nadu—Chennai Airport Closed. Available online: http://floodlist.com/asia/floods-tamil-nadu-chennai-airport-closed (accessed on 18 September 2020).
- Benfield, A. Global Catastrophe Recap: November. 2015. Available online: http://thoughtleadership.aonbenfield.com/Documents/20151208-if-november-global-recap.pdf (accessed on 18 September 2020).
- NRSC/ISRO Chennai Floods. A Satellite and Field Based Assessment Study. 2015. Available online: http://www.icwar.iisc.ernet.in/wp-content/uploads/2016/06/ChennaiFloods_Report.pdf (accessed on 18 September 2020).
- Gupta, A.K.; Nair, S.S. Flood risk and context of land-uses: Chennai city case. J. Geogr. Reg. Plan. 2010, 3, 365–372. [Google Scholar]
- Rajeevan, M.; Unnikrishnan, C.K.; Bhate, J.; Niranjan Kumar, K.; Sreekala, P.P. Northeast monsoon over India: Variability and prediction. Meteorol. Appl. 2012, 19, 226–236. [Google Scholar] [CrossRef]
- Sperber, K.R.; Annamalai, H.; Kang, I.-S.; Kitoh, A.; Moise, A.; Turner, A.; Wang, B.; Zhou, T. The Asian summer monsoon: An intercomparison of CMIP5 vs. CMIP3 simulations of the late 20th century. Clim. Dyn. 2013, 41, 2711–2744. [Google Scholar] [CrossRef]
- Sengupta, A.; Rajeevan, M. Uncertainty quantification and reliability analysis of CMIP5 projections for the Indian summer monsoon. Curr. Sci. 2013, 105, 1692–1703. [Google Scholar]
- Clarke, K.; Gaydos, L. Loose-coupling a cellular automaton model and GIS: Long-term urban growth prediction for San Francisco and Washington/Baltimore. Int. J. Geogr. Inf. Sci. 1998, 12, 699–714. [Google Scholar] [CrossRef] [PubMed]
- Dietzel, C.; Clarke, K.C. Spatial Differences in Multi-Resolution Urban Automata Modeling. Trans. GIS 2004, 8, 479–492. [Google Scholar] [CrossRef]
- Chaudhuri, G.; Clarke, K.C. The SLEUTH Land Use Change Model: A Review. Int. J. Environ. Resour. Res. 2013, 1, 88–104. [Google Scholar]
- Clarke, K.C.; Hoppen, S.; Gaydos, L. A Self-Modifying Cellular Automaton Model of Historical Urbanization in the San Francisco Bay Area. Environ. Plan. B Plan. Des. 1997, 24, 247–261. [Google Scholar] [CrossRef]
- Silva, E.A.; Clarke, K.C. Calibration of the SLEUTH urban growth model for Lisbon and Porto, Portugal. Comput. Environ. Urban Syst. 2002, 26, 525–552. [Google Scholar] [CrossRef]
- Jantz, C.A.; Goetz, S.J.; Shelley, M.K. Using the Sleuth Urban Growth Model to Simulate the Impacts of Future Policy Scenarios on Urban Land Use in the Baltimore-Washington Metropolitan Area. Environ. Plan. B Plan. Des. 2004, 31, 251–271. [Google Scholar] [CrossRef]
- Jantz, C.A.; Goetz, S. Analysis of scale dependencies in an urban land-use-change model. Int. J. Geogr. Inf. Sci. 2005, 19, 217–241. [Google Scholar] [CrossRef]
- Lee, D.R.; Sallee, G.T. A Method of Measuring Shape. Geogr. Rev. 1970, 60, 555–563. [Google Scholar] [CrossRef]
- Hua, L.; Tang, L.; Cui, S.; Yin, K. Simulating urban growth using the SLEUTH model in a coastal peri-urban district in China. Sustainability 2014, 6, 3899–3914. [Google Scholar] [CrossRef]
- Ayazli, I.E.; Kilic, F.; Lauf, S.; Demir, H.; Kleinschmit, B. Simulating urban growth driven by transportation networks: A case study of the Istanbul third bridge. Land Use Policy 2015, 49, 332–340. [Google Scholar] [CrossRef]
- Sakieh, Y.; Amiri, B.J.; Danekar, A.; Feghhi, J.; Dezhkam, S. Scenario-based evaluation of urban development sustainability: An integrative modeling approach to compromise between urbanization suitability index and landscape pattern. Environ. Dev. Sustain. 2015, 17, 1343–1365. [Google Scholar] [CrossRef]
- Guan, C.H.; Rowe, P.G. Should big cities grow? Scenario-based cellular automata urban growth modeling and policy applications. J. Urban Manag. 2016, 5, 65–78. [Google Scholar] [CrossRef]
- Serasinghe Pathiranage, I.S.; Kantakumar, L.N.; Sundaramoorthy, S. Remote Sensing Data and SLEUTH Urban Growth Model: As Decision Support Tools for Urban Planning. Chin. Geogr. Sci. 2018, 28, 274–286. [Google Scholar] [CrossRef]
- USACE. Hydrologic Modeling System System HEC-HMS, User’s Manual; version 4.2; USACE: Washington, DC, USA, 2016.
- Kumar, P.; Tiwart, K.N.; Pal, D.K. Establishing SCS Runoff Curve Number from IRS Digital Data Base. J. Indian Soc. Remote Sens. 1991, 19, 245–252. [Google Scholar] [CrossRef]
- Panagos, P.; Jones, A.; Bosco, C.; Kumar, P.S.S. European digital archive on soil maps (EuDASM): Preserving important soil data for public free access. Int. J. Digit. Earth 2011, 4, 434–443. [Google Scholar] [CrossRef]
- USACE. HEC-RAS River Analysis System, 2D Modeling User’s Manual; version 5.0; USACE: Washington, DC, USA, 2016.
- Shustikova, I.; Domeneghetti, A.; Neal, J.C.; Bates, P.; Castellarin, A. Comparing 2D capabilities of HEC-RAS and LISFLOOD-FP on complex topography. Hydrol. Sci. J. 2019, 64, 1769–1782. [Google Scholar] [CrossRef]
- Arun Kumar, A.; Kunte, P.D. Coastal vulnerability assessment for Chennai, east coast of India using geospatial techniques. Nat. Hazards 2012, 64, 853–872. [Google Scholar] [CrossRef]
- Antony, C.; Unnikrishnan, A.S.; Woodworth, P.L. Evolution of extreme high waters along the east coast of India and at the head of the Bay of Bengal. Glob. Planet. Chang. 2016, 140, 59–67. [Google Scholar] [CrossRef]
- Murty, P.L.N.; Padmanabham, J.; Srinivasa Kumar, T.; Kiran Kumar, N.; Ravi Chandra, V.; Shenoi, S.S.C.; Mohapatra, M. Real-time storm surge and inundation forecast for very severe cyclonic storm ‘Hudhud’. Ocean. Eng. 2017, 131, 25–35. [Google Scholar] [CrossRef]
























| Rainfall | Category of the Scenarios | Notation | |
|---|---|---|---|
| Rainfall/LULC | Tank Conditions | ||
| 2005 and 2015 floods | Historical—the land use land cover (LULC) and the rainfall pertaining to 2005 and 2015 floods are considered. | H05/H15 | TP-F50 TP-F75 |
| Future urban sprawl—the LULC corresponding to 2050 and the rainfall pertaining to 2005 and 2015 floods are considered. | US05/US15 | TD TP-F50 TP-F75 TP1m-F50 TP1m-F75 TP2m-F50 TP2m-F75 | |
| 24 h–50- and 100-year return period floods | Baseline—IMD rainfall in the period 1970–2005 corresponding to the same frequency of occurrence as that of the heaviest one-day rainfall of the 2005 and 2015 events are considered | BL50/ BL100 | TP-F50 TP-F75 |
| Midcentury projections—urban sprawl corresponding to 2050 and NEX-GDDP rainfall in the period 2041–2071 corresponding to the same frequency of occurrence as that of heaviest one day rainfall of the 2005 and 2015 events are considered. | US50-RCP4.5/ US100-RCP4.5/ US50-RCP8.5/ US100-RCP8.5 | TP-F50 TP-F75 TP1m-F50 TP1m-F75 TP2m-F50 TP2m-F75 TD | |
| Notation | Description |
|---|---|
| H05 | Represents historical land use and heavy rainfall event of the year 2005. |
| H15 | Indicates historical land use and heavy rainfall event of the year 2015. |
| US05 | Represents urban sprawl scenario for the year 2050 and heavy rainfall event of the year 2005. |
| US15 | Denotes urban sprawl scenario for the year 2050 and heavy rainfall event of the year 2015. |
| BL50 | Used to represent base line one-day IMD rainfall of a 50-year recurrence interval that is derived for the period 1970–2005. LULC of the year 2015 is used. |
| BL100 | Used to represent base line one-day IMD rainfall of a 100-year recurrence interval that is derived for the period 1970–2005. LULC of the year 2015 is used. |
| US50-RCP4.5 | Points to the scenario that uses the urban sprawl scenario for the year 2050 and CNRM-RCP 4.5 rainfall of the 50-year recurrence interval that is derived for the period 2041–2071. |
| US100-RCP4.5 | Denotes the scenario that uses urban sprawl for the year 2050 and CNRM-RCP 4.5 rainfall of 100-year recurrence interval that is derived for the period 2041–2071. |
| US50-RCP8.5 | Represents the scenario that uses urban sprawl for the year 2050 and CNRM-RCP 8.5 rainfall of the 50-year recurrence interval that is derived for the period 2041–2071. |
| US100-RCP8.5 | Points to the scenario that uses urban sprawl for the year 2050 and CNRM-RCP 8.5 rainfall of the 100-year recurrence interval that is derived for the period 2041–2071. |
| TP | Existing volumes of the 163 tanks that are considered for the study are included in the hydrologic model. These scenarios represent the baseline conditions or the tanks’ present conditions. |
| TP1m | The 163 tanks are deepened by 1 m uniformly throughout the water spread area, and the increased volumes are included in the hydrologic model. |
| TP2m | The 163 tanks are deepened by 2 m uniformly throughout the water spread area, and the increased volumes are included in the hydrologic model. |
| F50 | Prestorage of 50% of the total storage capacity of the tanks. |
| F75 | Prestorage of 75% of the total storage capacity of the tanks. |
| TD | This scenario considers the absence of tanks or tank disappearance in the study area. In other words, the depression storage is considered 0 in the study area. |
| LULC | 2005 | 2015 | 2050 |
|---|---|---|---|
| Water | 3.2 | 6.9 | 5.3 |
| Trees/Forest | 17.2 | 19.5 | 12.0 |
| Urban | 9.6 | 20.3 | 45.9 |
| Agriculture | 8.8 | 6.6 | 4.1 |
| Barren | 0.1 | 2.6 | 1.6 |
| Shrub | 61.0 | 44.2 | 31.1 |
| Rainfall | Scenarios | TP1m | TP2m | TD | |||
|---|---|---|---|---|---|---|---|
| F50 | F75 | F50 | F75 | F50 | F75 | ||
| 2005 | US05 | −12.1 | −4.1 | −28.6 | −8.5 | 35.9 | 13.8 |
| 2015 | US15 | −2.8 | −1.1 | −5.9 | −2.2 | 8.7 | 3.7 |
| 50 year | US50-RCP4.5 | −13.8 | −3.7 | −34.8 | −8 | 36.3 | 13.0 |
| 100 year | US100-RCP4.5 | −6.4 | −2.1 | −15.2 | −4.3 | 17.3 | 6.5 |
| 50 year | US50-RCP8.5 | −5.8 | −2.1 | −13.1 | −4.4 | 17.3 | 6.8 |
| 100 year | US100-RCP8.5 | −2.7 | −1.0 | −5.9 | −2.1 | 7.6 | 3.0 |
| Rainfall | Scenarios | TP1m | TP2m | TD | |||
|---|---|---|---|---|---|---|---|
| F50 | F75 | F50 | F75 | F50 | F75 | ||
| 2005 | US05 | −11.2 | −3.6 | −20.2 | −27.4 | 19.3 | 1.5 |
| 2015 | US15 | −3.0 | −0.8 | −6.0 | −2.1 | 9.5 | 4.1 |
| 50 year | US50-RCP4.5 | −7.9 | −3.2 | −15.2 | −5.9 | 24.4 | 10.3 |
| 100 year | US100-RCP4.5 | −4.4 | −1.5 | −9.2 | −3.5 | 13.6 | 5.6 |
| 50 year | US50-RCP8.5 | −6.4 | −2.1 | −12.8 | −4.6 | 18.0 | 7.5 |
| 100 year | US100-RCP8.5 | −3.0 | −0.9 | −5.9 | −1.9 | 7.9 | 3.1 |
| Hazard Zone | Depth of Inundation (m) | Description |
|---|---|---|
| Low | 0.1 to 0.6 | Flood waters enter into the building. |
| Moderate | 0.6 to 1.4 | Half of the ground floor gets inundated up to the height of furniture; the cars get nearly submerged. |
| High | 1.4 to 3.5 | Ground floor of the building gets submerged, and flood waters may enter in to the first floor. |
| Very High | >3.5 | First floor of the building also gets affected. |
Publisher’s Note: MDPI stays neutral with regard to jurisdictional claims in published maps and institutional affiliations. |
© 2020 by the authors. Licensee MDPI, Basel, Switzerland. This article is an open access article distributed under the terms and conditions of the Creative Commons Attribution (CC BY) license (http://creativecommons.org/licenses/by/4.0/).
Share and Cite
Nithila Devi, N.; Sridharan, B.; Bindhu, V.M.; Narasimhan, B.; Bhallamudi, S.M.; Bhatt, C.M.; Usha, T.; Vasan, D.T.; Kuiry, S.N. Investigation of Role of Retention Storage in Tanks (Small Water Bodies) on Future Urban Flooding: A Case Study of Chennai City, India. Water 2020, 12, 2875. https://doi.org/10.3390/w12102875
Nithila Devi N, Sridharan B, Bindhu VM, Narasimhan B, Bhallamudi SM, Bhatt CM, Usha T, Vasan DT, Kuiry SN. Investigation of Role of Retention Storage in Tanks (Small Water Bodies) on Future Urban Flooding: A Case Study of Chennai City, India. Water. 2020; 12(10):2875. https://doi.org/10.3390/w12102875
Chicago/Turabian StyleNithila Devi, N., B. Sridharan, V. M. Bindhu, B. Narasimhan, S. Murty Bhallamudi, C. M. Bhatt, Tune Usha, D. Thirumalai Vasan, and Soumendra Nath Kuiry. 2020. "Investigation of Role of Retention Storage in Tanks (Small Water Bodies) on Future Urban Flooding: A Case Study of Chennai City, India" Water 12, no. 10: 2875. https://doi.org/10.3390/w12102875
APA StyleNithila Devi, N., Sridharan, B., Bindhu, V. M., Narasimhan, B., Bhallamudi, S. M., Bhatt, C. M., Usha, T., Vasan, D. T., & Kuiry, S. N. (2020). Investigation of Role of Retention Storage in Tanks (Small Water Bodies) on Future Urban Flooding: A Case Study of Chennai City, India. Water, 12(10), 2875. https://doi.org/10.3390/w12102875

