Effects of Water Stress on Fluorescence Parameters and Photosynthetic Characteristics of Drip Irrigation in Rice
Abstract
1. Introduction
2. Materials and Methods
2.1. Experimental Site
2.2. Experimental Materials and Experimental Design
2.3. Data Collection and Analysis
2.3.1. Meteorological Data
2.3.2. Soil Moisture Content
2.3.3. Chlorophyll Content
2.3.4. Photosynthetic Indicators
2.3.5. Fluorescence Index
2.3.6. Leaf Area Index
2.3.7. Plant Height Change
2.3.8. Dynamic Change of Tillering
2.3.9. Test of Species and Yield
2.3.10. Evapotranspiration
2.4. Data Processing
3. Results and Analysis
3.1. Chlorophyll Content of Rice under Water Stress
3.2. Photosynthetic Characteristics of Rice under Different Water Conditions
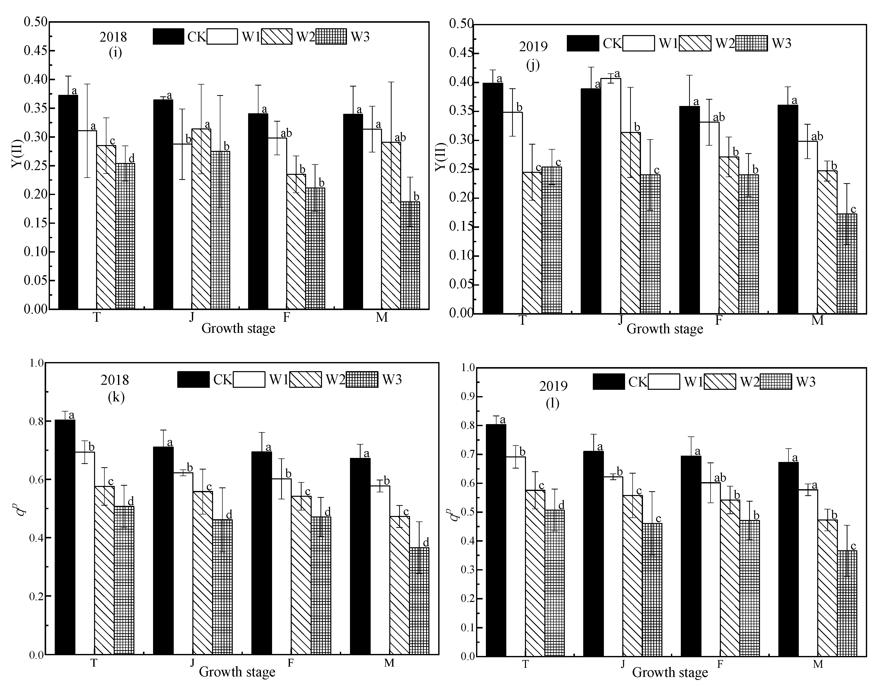
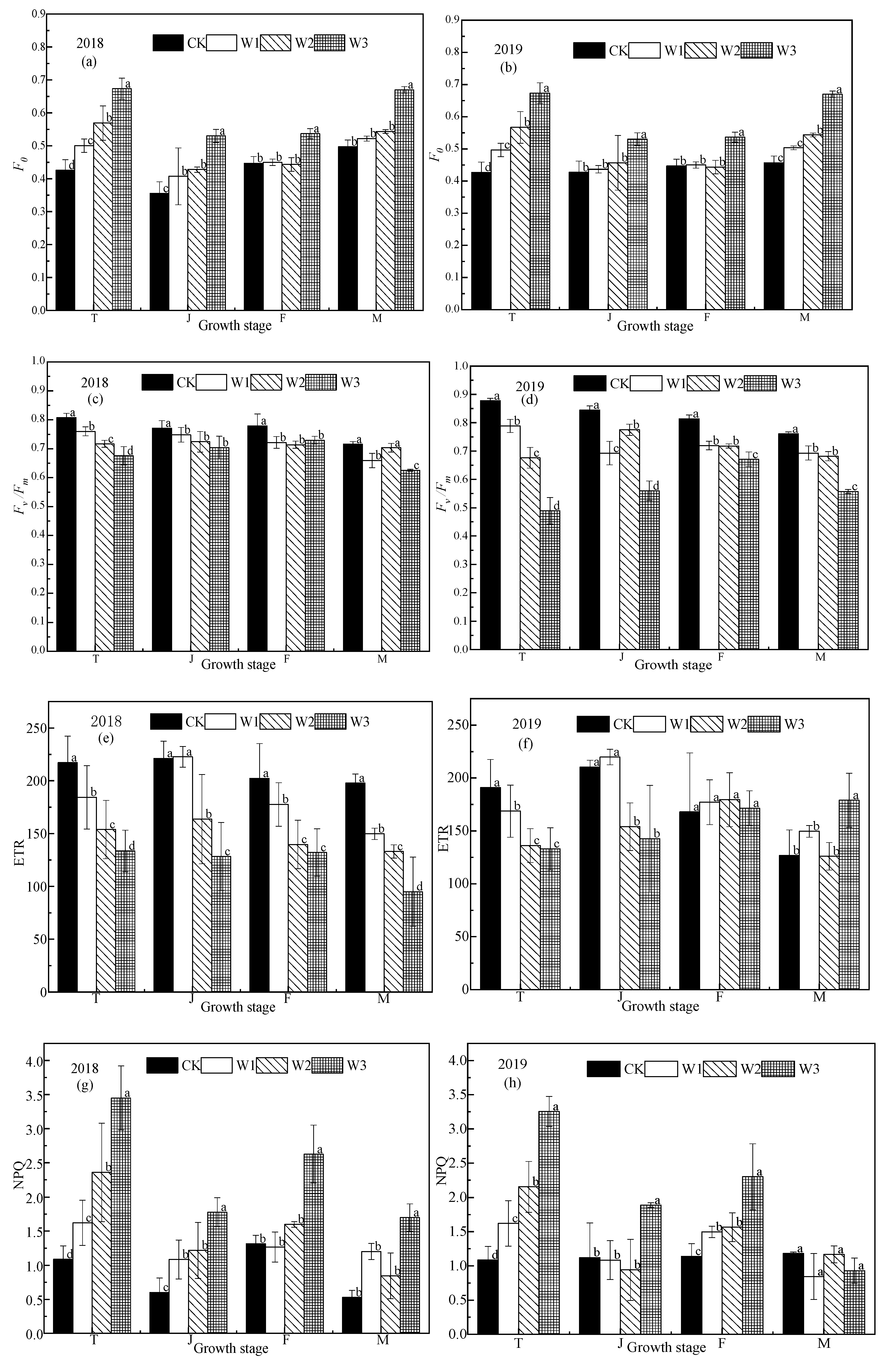
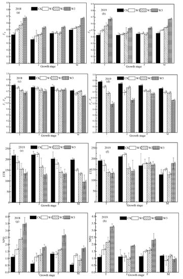
3.3. Fluorescence Parameters of Rice under Different Water Conditions
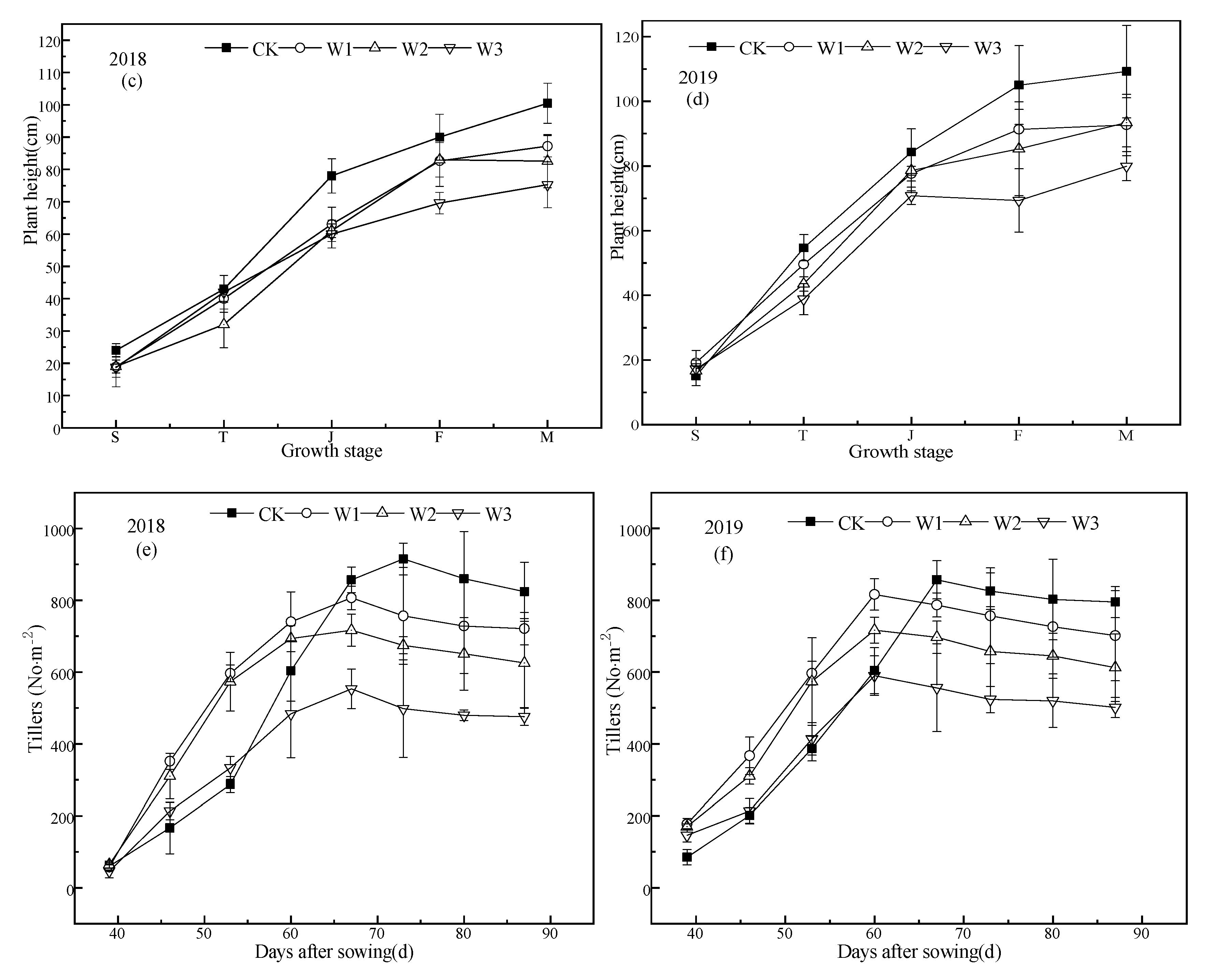
3.4. Effect of Different Water Conditions on Rice Growth
3.5. Comparison of Rice Yield under Different Water Conditions
4. Discussion
5. Conclusions
Supplementary Materials
Author Contributions
Funding
Acknowledgments
Conflicts of Interest
References
- Zubaer, M.A.; Chowdhury, A.K.M.M.; Islam, M.Z.; Ahmed, T.; Hasan, M.A. Effects of water stress on growth and yield attributes of aman rice genotypes. Int. J. Sustain. Crop Prod. 2007, 2, 25–30. [Google Scholar]
- Shao, X.W.; Chang-Chun, R.; Zhao, L.P. Effects of water stress on growth and yield of rice in tillering stage. J. Jilin Agric. Univ. 2005, 26, 237–241. [Google Scholar]
- Belder, P.; Spiertz, J.H.J.; Bouman, B.A.M.; Tuong, T.P. Nitrogen economy and water productivity of lowland rice under water-saving irrigation. Field Crops Res. 2005, 93, 169–185. [Google Scholar] [CrossRef]
- Xu, J.; Bai, W.; Li, Y.; Wang, H.; Yang, S.; Wei, Z. Modeling rice development and field water balance using aquacrop model under drying-wetting cycle condition in eastern China. Agric. Water Manag. 2019, 213, 289–297. [Google Scholar] [CrossRef]
- Flowers, T.J. Breeding for salinity resistance in crop plants: Where next? Aust. J. Plant Physiol. 1995, 22, 875–884. [Google Scholar] [CrossRef]
- Haibing, H.; Fuyu, M.; Ru, Y.; Lin, C.; Biao, J.; Jing, C.; Hua, F.; Xin, W.; Li, L. Rice Performance and Water Use Efficiency under Plastic Mulching with Drip Irrigation. PLoS ONE 2013, 8, e83103. [Google Scholar]
- Tabbal, D.F.; Bouman, B.A.M.; Bhuiyan, S.I.; Sibayan, E.B.; Sattarc, M.A. On-farm strategies for reducing water input in irrigated rice; case studies in the philippines. Agric. Water Manag. 2002, 56, 93–112. [Google Scholar] [CrossRef]
- He, H.B.; Yang, R.; Wu, L.Q.; Jia, B.; Ma, F.Y. The growth characteristics and yield potential of rice (Oryza sativa) under non-flooded irrigation in arid region. Ann. Appl. Biol. 2016, 168, 337–356. [Google Scholar] [CrossRef]
- Zhao, H.W.; Wang, X.P.; Yu, M.F.; Sha, H.J.; Jia, Y.; Yu, T.C.; Zou, D.T. Effect of drought stress and rewatering on antioxidant system and proline in rice during tillering stage. J. Northeast Agric. Univ. 2016, 47, 1–7. (In Chinese) [Google Scholar]
- Shimono, H.; Okada, M. Plasticity of rice tiller production is related to genotypic variation in the biomass response to elevated atmospheric CO2 concentration and low temperatures during vegetative growth. Environ. Exp. Bot. 2013, 87, 227–234. [Google Scholar] [CrossRef]
- Xu, J.Z.; Peng, S.Z.; Wei, Z. Effect of soil moisture regulation during tillering period on shoot dynamics of rice cultivated in plastic film mulched dryland and its simulation. J. Hohai Univ. 2010, 38, 511–515. (In Chinese) [Google Scholar]
- Tabassum, M.A. The Mechanism of Declined Photosynthesis and Hydraulic Conductivity under PEG Induced Water Deficit Stress in Rice. Doctoral Dissertation, Huazhong Agricultural University, Wuhan, China, 2016. (In Chinese). [Google Scholar]
- Pang, J.; Kobayashi, K.; Zhu, J. Yield and photosynthetic characteristics of flag leaves in Chinese rice (Oryza sativa L.) varieties subjected to free-air release of ozone. Agric. Ecosyst. Environ. 2009, 132, 203–211. [Google Scholar] [CrossRef]
- Wang, W.; Liu, X.; Tian, Y.; Yao, X.; Cao, W.; Zhu, Y. Effects of different soil water treatments on photosynthetic characteristics and grain yield in rice. Acta Ecol. Sin. 2012, 32, 7053–7060. [Google Scholar] [CrossRef]
- Li, H.S. Principles and Techniques of Plant Physiological and Biochemical Experiments; Higher Education Press: Beijing, China, 2000. [Google Scholar]
- Rohacek, K. Chlorophyll fluorescence parameters: The definitions, photosynthetic meaning, and mutual relationships. Photosynthetica 2002, 40, 13–29. [Google Scholar] [CrossRef]
- Wang, F.; Wang, Z.; Zhang, J.; Li, W. Combined Effect of Different Amounts of Irrigation and Mulch Films on Physiological Indexes and Yield of Drip-Irrigated Maize (Zea mays L.). Water 2019, 11, 472. [Google Scholar] [CrossRef]
- Qian, X.Q.; Shen, Q.R.; Xu, Y.; Wang, J.; Shen, H. Water use efficiency and rice yield under different water managements. Chin. J. Appl. Ecol. 2003, 14, 399. [Google Scholar]
- Zhang, B.B.; Xu, J.L.; Zhou, M.; Yan, D.H.; Ma, R.J. Effect of light quality on leaf photosynthetic characteristics and fruit quality of peach (Prunus persica L. Batch). Photosynthetica 2018, 56, 1–10. [Google Scholar] [CrossRef]
- Xu, D.Q.; Zhang, Y.Z.; Zhang, R.X. Photoinhibition of photosynthesis in planst. Plant Physiol. Commun. 1992, 28, 237–243. [Google Scholar]
- Sun, J.W.; Yang, Y.; Huang, Z.; Jin, S.; Jiang, D. Reason for photosynthetic declination in rice form water stress induced by polyethylene glycol(PEG). Chin. J. Rice Sci. 2004, 18, 539–543. [Google Scholar]
- Hu, S.P.; Wang, Z.G.; Zhang, L.; Liu, G.; Luo, L.; Liao, H. Correlation analysis and gene identification for chlorophyll content and photosynthetic rate in rice leaves under drought stress. Chin. J. Biochem. Mol. Biol. 2007, 23, 926–932. [Google Scholar]
- Jie, Y.; Yang, H. Relationship between soil water content and water use efficiency of apple leaves. Chin. J. Appl. Ecol. 2001, 12, 387. [Google Scholar]
- Zhang, F.J.; Zhang, K.K.; Du, C.Z.; Li, J.; Xing, Y.X.; Yang, L.T.; Li, Y.R. Effect of drought stress on anatomical structure and chloroplast ultrastructure in leaves of sugarcane. Sugar Tech. 2015, 17, 41–48. [Google Scholar] [CrossRef]
- Sun, L.F. Rice Roots of Drought Stress on the Photosynthetic Fluorescence Characteristic Influence. Master’s Thesis, Henan Agricultural University, Zhengzhou, China, 2013. [Google Scholar]
- Zhang, Y.P.; Zhu, D.F.; Lin, X.Q.; Chen, H.Z. Effects of water stress on rice growth and yield at different growth stages. Agric. Res. Arid Areas 2005, 2, 48–53. [Google Scholar]
- Hao, S.R.; Guo, X.P.; Wang, W.M.; Zhang, L.J.; Wang, Q.; Wang, Q.M.; Liu, Z.P. Effects of water stress in tillering stage and re-watering on rice root growth. Agric. Res. Arid Areas 2007, 1, 149–152. [Google Scholar]
- Liu, Z.P.; Zhu, L.L. Advances in research on compensation effects of crops under drought stress. J. Drain. Irrig. Mach. Eng. 2016, 34, 804–808. [Google Scholar]
- Jones, H.G. Partitioning Stomatal and non-stomatal limitations to photosynthesis. Plant Cell Environ. 2010, 8, 95–104. [Google Scholar] [CrossRef]
- Wen, G.; Tian, H.; Zhang, M.; Jiang, W. Application of chlorophyll fluorescence analysis in forest tree cultivation. Chin. J. Appl. Ecol. 2006, 17, 1973–1977. [Google Scholar]
- Xiao, M.; Li, Y.; Wang, J.; Hu, X.; Wang, L.; Miao, Z. Study on the Law of Nitrogen Transfer and Conversion and Use of Fertilizer Nitrogen in Paddy Fields under Water-Saving Irrigation Mode. Water 2019, 11, 218. [Google Scholar] [CrossRef]
- He, H.; Yang, R.; Jia, B.; Chen, L.; Fan, H.; Cui, J.; Ynag, D.; Li, M.G.; Ma, F.Y. Rice Photosynthetic Productivity and PSII Photochemistry under Nonflooded Irrigation. Sci. World J. 2014, 2014, 1–14. [Google Scholar] [CrossRef]
- Photosynthetic Physiology, Chlorophyll Fluorescence Parameters and Yield Components of Rice under Drip Irrigation with Plastic Film Mulching and Continuous Flooding. Available online: https://www.researchgate.net/publication/316559053_ (accessed on 16 January 2020).
- Effect of Different Irrigation Regimes on Rice Yield and Water Use Efficiency under Straw Returning to Field. Available online: http://www.cnki.com.cn/Article/CJFDTotal-HNXB201805016.htm (accessed on 16 January 2020).
- Effect of Water Treatments at Tillering Stage on Super Rice Yield and Physiological Characteristics. Available online: http://en.cnki.com.cn/Article_en/CJFDTotal-HBNB201505029.htm (accessed on 16 January 2020).
- Effect of Control Irrigation on Soil Temperature and Dry Matter Accumulation of Rice during Tillering Stage. Available online: http://www.en.cnki.com.cn/Article_en/CJFDTotal-HBNB201602029.htm (accessed on 16 January 2020).
- Van Camp, W.; Willekens, H.; Bowler, C.; Van Montagu, M.; Inzé, D.; Reupold-Popp, P.; Sandermann, H., Jr.; Langebartels, C. Elevated levels of superoxide dismutase protect transgenic plants against ozone damage. Nat. Biotechnol. 1994, 12, 165–168. [Google Scholar] [CrossRef]
- Yuan-Yuan, S.; Yong-Jian, S.; Ming-Tian, W.; Xu-Yi, L.; Xiang, G.; Rong, H.; Jun, M. Effects of seed priming on germination and seedling growth of rice under water stress. Acta Agronomica Sin. 2010, 36, 1931–1940. [Google Scholar]
- Xu, K.; Tang, L.; Zhang, H.C.; Guo, B.W.; Huo, Z.Y.; Dai, Q.G.; Wei, H.Y.; Wei, H.H. Effect of different mechanical direct seeding methods on tiller characteristics and yield of rice. Trans. Chin. Soc. Agric. Eng. 2014, 30, 43–52. [Google Scholar]
- Jiang, P.Y.; Hong, X.; Xu, Z.; Ni, Z. Comparison of carbon nutrition between effective tillers and ineffective tillers in rice. Chin. J. Riceence 1999, 11, 211–216. [Google Scholar]
- Chen, H.Z.; Zhu, D.F.; Lin, X.Q.; Zhang, Y.P. Studies on the tillering dynamics, panicle formation and composition of panicles of hybrid rice under sparse transplanting density. Hybrid Rice 2004, 19, 54–57. [Google Scholar]
- Huang, M.; Zou, Y.B.; Jiang, P.; Xia, B.; Md, I.; Ao, H.J. Relationship between grain yield and yield components in super hybrid rice. Agric. Sci. Chin. 2011, 10, 51–58. [Google Scholar] [CrossRef]








| Year | Total Nitrogen (g kg−1) | Total Phosphorus (g kg−1) | Total Potassium (g kg−1) | Organic Matter (g kg−1) | Available Nitrogen (mg kg−1) | Available Phosphorus (mg kg−1) | Available Potassium (mg kg−1) |
|---|---|---|---|---|---|---|---|
| 2018 | 1.46 | 1.23 | 14.24 | 11.89 | 67.71 | 22.36 | 521.00 |
| 2019 | 1.05 | 0.93 | 24.17 | 15.69 | 57.70 | 21.80 | 424.00 |
| Treatment | Irrigation Limit | Seedling Stage | Tilling Stage | Jointing Stage | Filling Stage | Maturity Stage |
|---|---|---|---|---|---|---|
| W1 | Irrigation lower limit(θs) | 0.90 | 0.85 | 0.90 | 0.90 | 0.90 |
| Irrigation upper limit(θs) | 1.00 | 1.00 | 1.00 | 1.00 | 1.00 | |
| W2 | Irrigation lower limit(θs) | 0.90 | 0.75 | 0.90 | 0.90 | 0.90 |
| Irrigation upper limit(θs) | 1.00 | 1.00 | 1.00 | 1.00 | 1.00 | |
| W3 | Irrigation lower limit(θs) | 0.90 | 0.65 | 0.9 | 0.90 | 0.90 |
| Irrigation upper limit(θs) | 1.00 | 1.00 | 1.00 | 1.00 | 1.00 | |
| CK | Irrigation lower limit(cm) | 0 | 5 | 5 | 5 | 0 |
| Irrigation upper limit(cm) | 5 | 10 | 10 | 10 | 5 |
| Parameter | Pn | gs | Ci | Tr | Chl (a + b) |
|---|---|---|---|---|---|
| Pn | 1.00 | 0.89 * | –0.46 | 0.93 ** | 0.94 ** |
| gs | 1.00 | –0.67 | 0.98 ** | 0.75 | |
| Ci | 1.00 | –0.65 | 0.24 | ||
| Tr | 1.00 | 0.84 * | |||
| Chl (a + b) | 1.00 |
| Parameter | Pn | F0 | Fm | Fv/Fm | Fv/F0 | F’v/F’m | qp | NPQ | Y(II) |
|---|---|---|---|---|---|---|---|---|---|
| Pn | 1.00 | −0.79 | 0.90 * | 0.88 * | 0.84 * | 0.79 | 0.94 ** | 0.95 ** | 0.89 * |
| F0 | 1.00 | −0.79 | −0.67 | −0.83 * | −0.96 * | −0.76 | −0.75 | −0.78 | |
| Fm | 1.00 | 0.87 * | 0.83 * | 0.87 * | 0.82 * | 0.97 ** | 0.99 ** | ||
| Fv/Fm | 1.00 | 0.87 * | 0.72 | 0.68 | 0.92 ** | −0.85 * | |||
| Fv/F0 | 1.00 | 0.81 | 0.77 | 0.79 | −0.82 * | ||||
| F’v/F’m | 1.00 | 0.89 * | 0.84 * | −0.87 * | |||||
| qp | 1.00 | 0.77 | −0.82 * | ||||||
| NPQ | 1.00 | −0.96 ** | |||||||
| Y(II) | 1.00 |
| Years | Treatment | Effective Panicles (No m−2) | Spikelets Per Panicle | Earing Rate (%) | Seed Setting Rate (%) | Grain Weight(g) | Grain Yield (kg ha−1) | Water Consumption (m3 ha−1) | Water-Use Efficiency (kg m−3) |
|---|---|---|---|---|---|---|---|---|---|
| 2018 | CK | 629.84 a | 148.65 a | 68.83 c | 87.43 b | 27.01 a | 8563.35 a | 34,415.22 a | 0.25 c |
| W1 | 590.56 b | 145.36 ab | 73.21 b | 85.31 a | 25.26 b | 6426.23 b | 16,223.93 b | 0.40 a | |
| W2 | 565.30 c | 157.52 a | 78.95 b | 80.26 b | 25.47 b | 6498.69 b | 15,241.19 c | 0.43 a | |
| W3 | 362.22 d | 134.22 b | 65.55 a | 78.67 b | 23.56 c | 4932.12 c | 14,185.78 d | 0.35 b | |
| 2019 | CK | 649.90 a | 156.35 a | 75.82 a | 79.55 a | 25.97 a | 8393.36 a | 33,126.79 a | 0.25 c |
| W1 | 579.25 b | 166.23 a | 73.66 a | 80.54 a | 24.75 b | 6536.55 b | 16,003.23 b | 0.41 a | |
| W2 | 545.60 c | 140.41 b | 76.12 a | 83.25 a | 24.10 b | 6388.19 b | 14,987.46 c | 0.43 a | |
| W3 | 404.41 d | 142.43 b | 68.47 b | 81.45 a | 23.82 b | 5339.55 c | 13,887.90 d | 0.38 b |
| Parameter | Grain Yield | Effective Panicles | Spikelets per Panicle | Earing Rate | Seed Setting Rate | 1000-Grain Weight | Water Consumption |
|---|---|---|---|---|---|---|---|
| Grain yield | 1 | 0.90 ** | 0.42 | 0.34 | 0.71 * | 0.92 ** | 0.92 ** |
| Effective panicles | 1 | 0.61 | 0.63 | 0.57 | 0.84 ** | 0.85 ** | |
| Spikelets per panicle | 1 | 0.62 | −0.04 | 0.42 | 0.19 | ||
| Earing rate | 1 | 0.02 | 0.28 | −0.01 | |||
| Seed setting rate | 1 | 0.63 | 0.72 * | ||||
| 1000-grain weight | 1 | 0.84 ** | |||||
| Water consumption | 1 |
© 2020 by the authors. Licensee MDPI, Basel, Switzerland. This article is an open access article distributed under the terms and conditions of the Creative Commons Attribution (CC BY) license (http://creativecommons.org/licenses/by/4.0/).
Share and Cite
Xu, Q.; Ma, X.; Lv, T.; Bai, M.; Wang, Z.; Niu, J. Effects of Water Stress on Fluorescence Parameters and Photosynthetic Characteristics of Drip Irrigation in Rice. Water 2020, 12, 289. https://doi.org/10.3390/w12010289
Xu Q, Ma X, Lv T, Bai M, Wang Z, Niu J. Effects of Water Stress on Fluorescence Parameters and Photosynthetic Characteristics of Drip Irrigation in Rice. Water. 2020; 12(1):289. https://doi.org/10.3390/w12010289
Chicago/Turabian StyleXu, Qiang, Xiaopeng Ma, Tingbo Lv, Meng Bai, Zelin Wang, and Jingran Niu. 2020. "Effects of Water Stress on Fluorescence Parameters and Photosynthetic Characteristics of Drip Irrigation in Rice" Water 12, no. 1: 289. https://doi.org/10.3390/w12010289
APA StyleXu, Q., Ma, X., Lv, T., Bai, M., Wang, Z., & Niu, J. (2020). Effects of Water Stress on Fluorescence Parameters and Photosynthetic Characteristics of Drip Irrigation in Rice. Water, 12(1), 289. https://doi.org/10.3390/w12010289
