Ecological River Health Assessments Using Chemical Parameter Model and the Index of Biological Integrity Model
Abstract
:1. Introduction
2. Materials and Methods
2.1. Study Period and Sampling Sites
2.2. Water Quality Parameters
2.3. Fish Sampling Methods
2.4. Chemical Pollution Index (CPI) Model
2.5. Index of Biotic Integrity (IBI) Model
2.6. Artificial Neural Network, Principal Component Analysis, and Cluster Analysis
2.7. Statistical Analysis
3. Results and Discussion
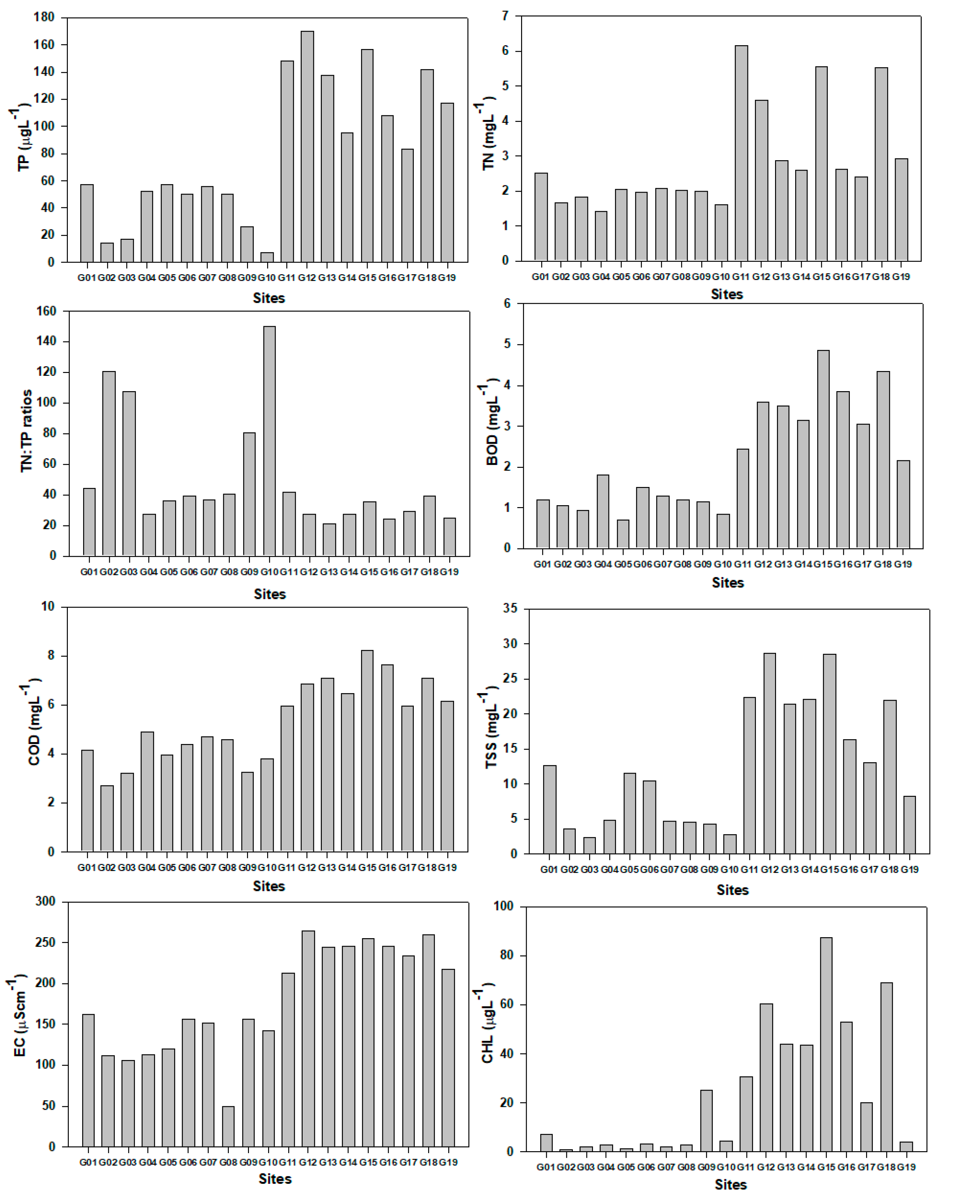
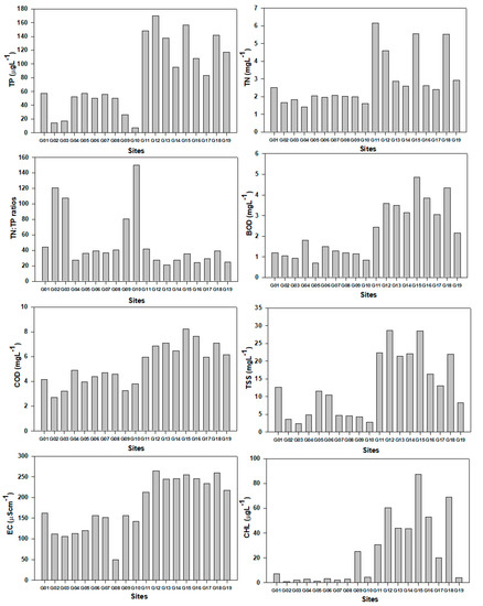
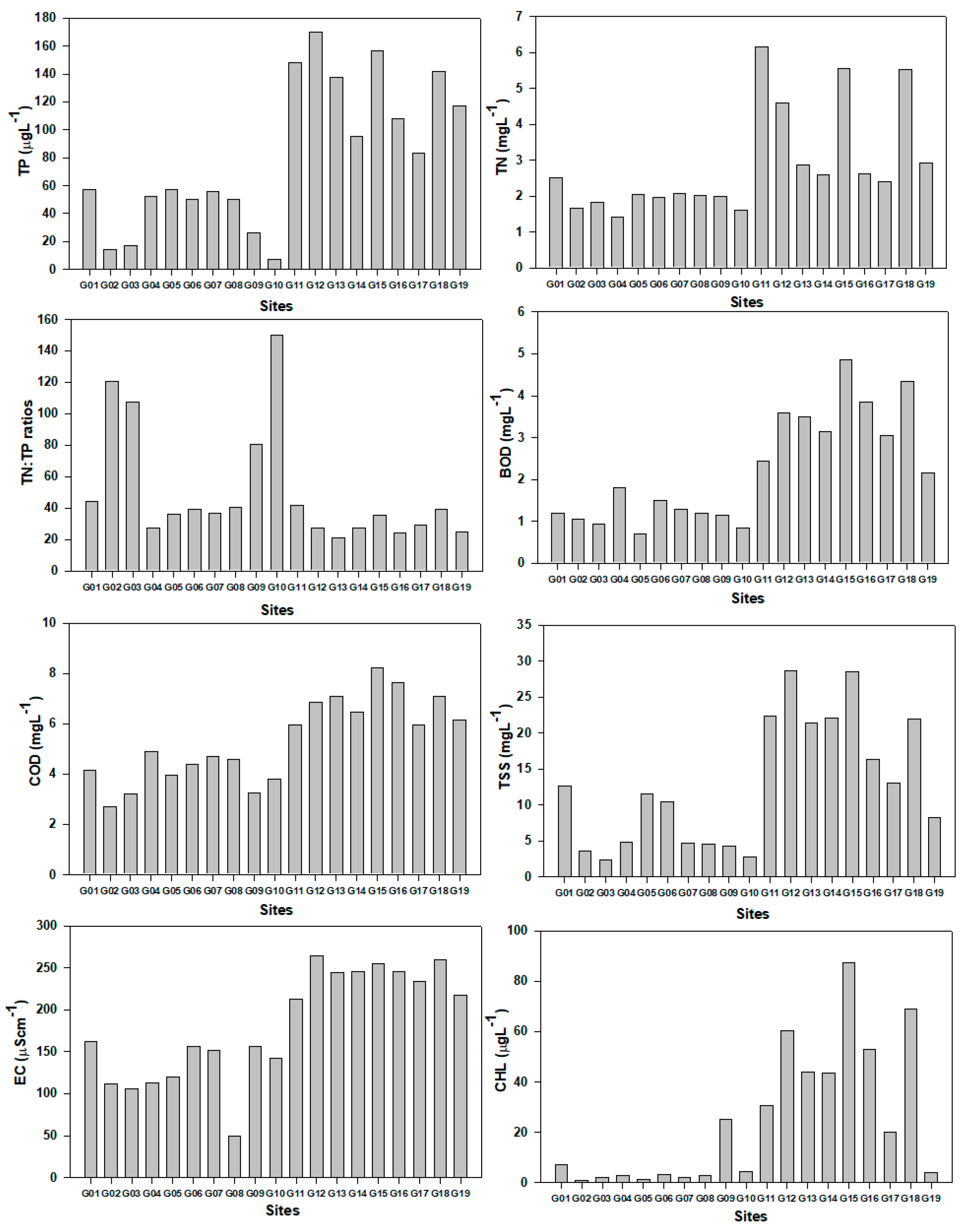
3.1. Dynamics of Water Quality Parameters
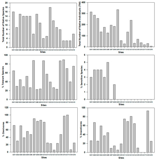
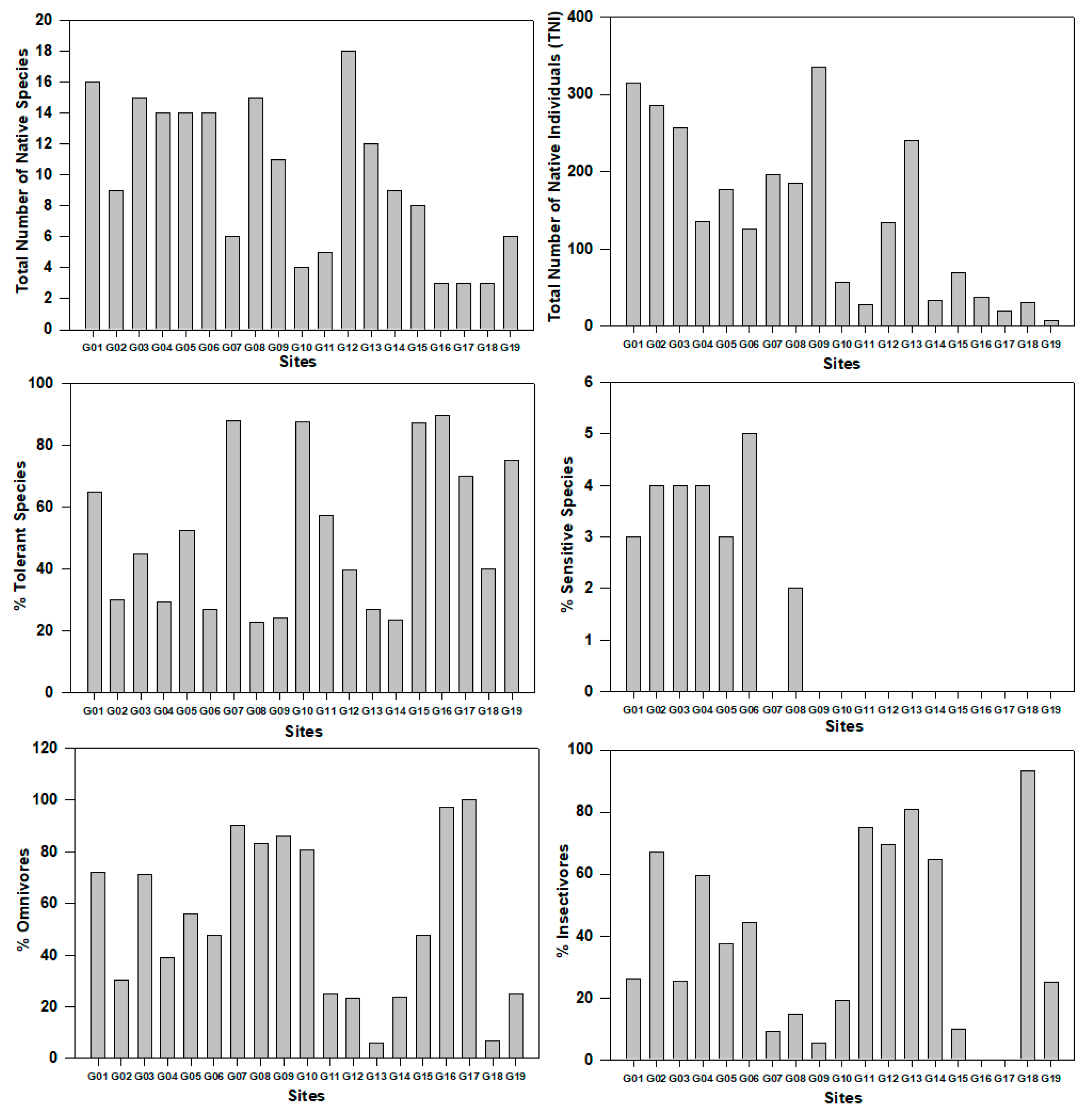
3.2. Spatial Distribution of Fish Assemblages
3.3. Empirical Model of Chlorophyll and Nutrients
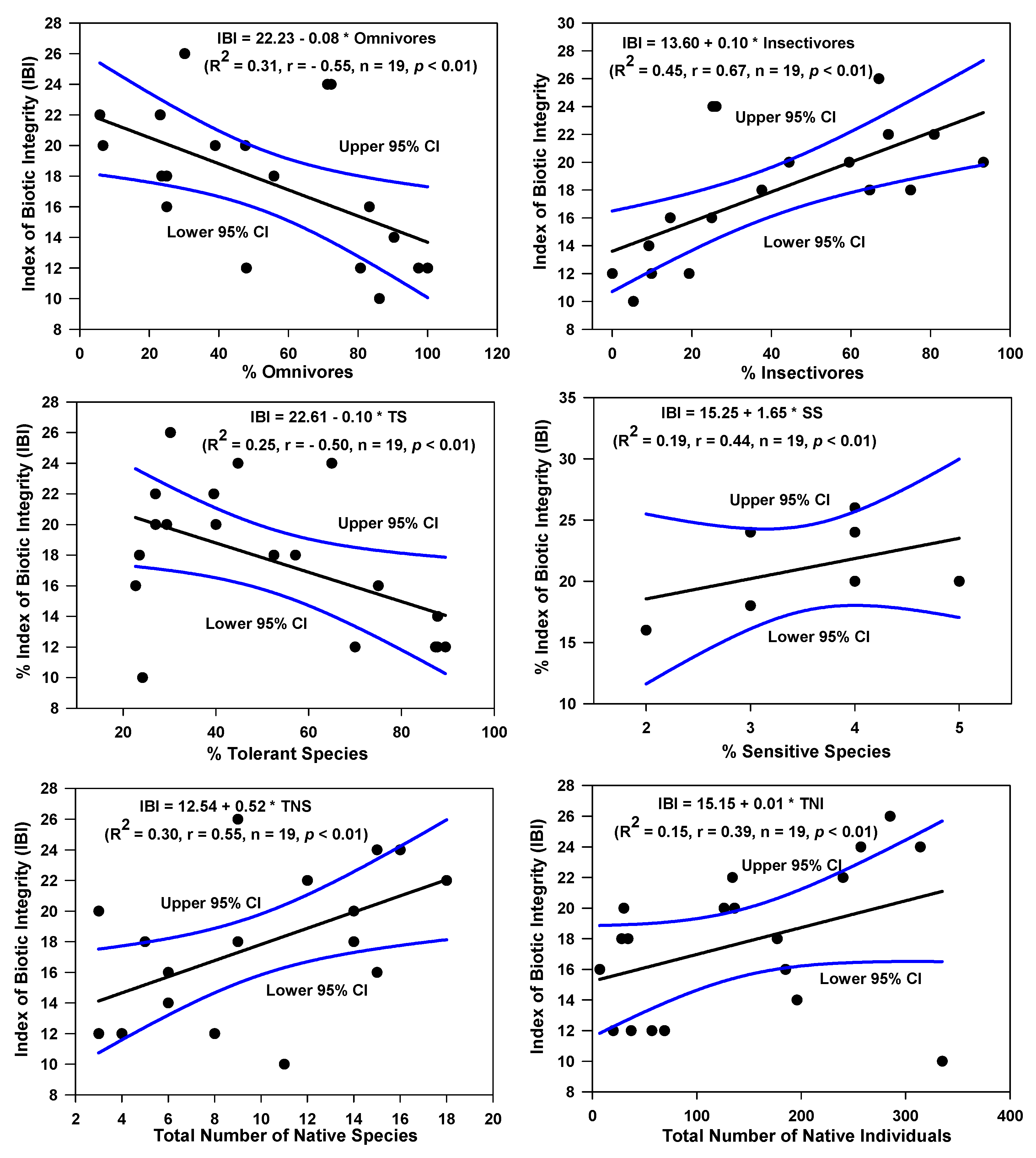
3.4. Fish Trophic and Tolerance Guilds in Relation to Water Quality Parameters
3.5. Chemical Health Assessment Using Chemical Pollution Index (CPI) Model
3.6. Fish Community Analysis
3.7. Biological Health Assessment Using the Index of Biotic Integrity (IBI) Model
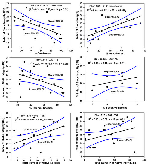
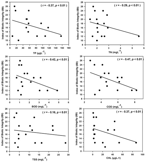
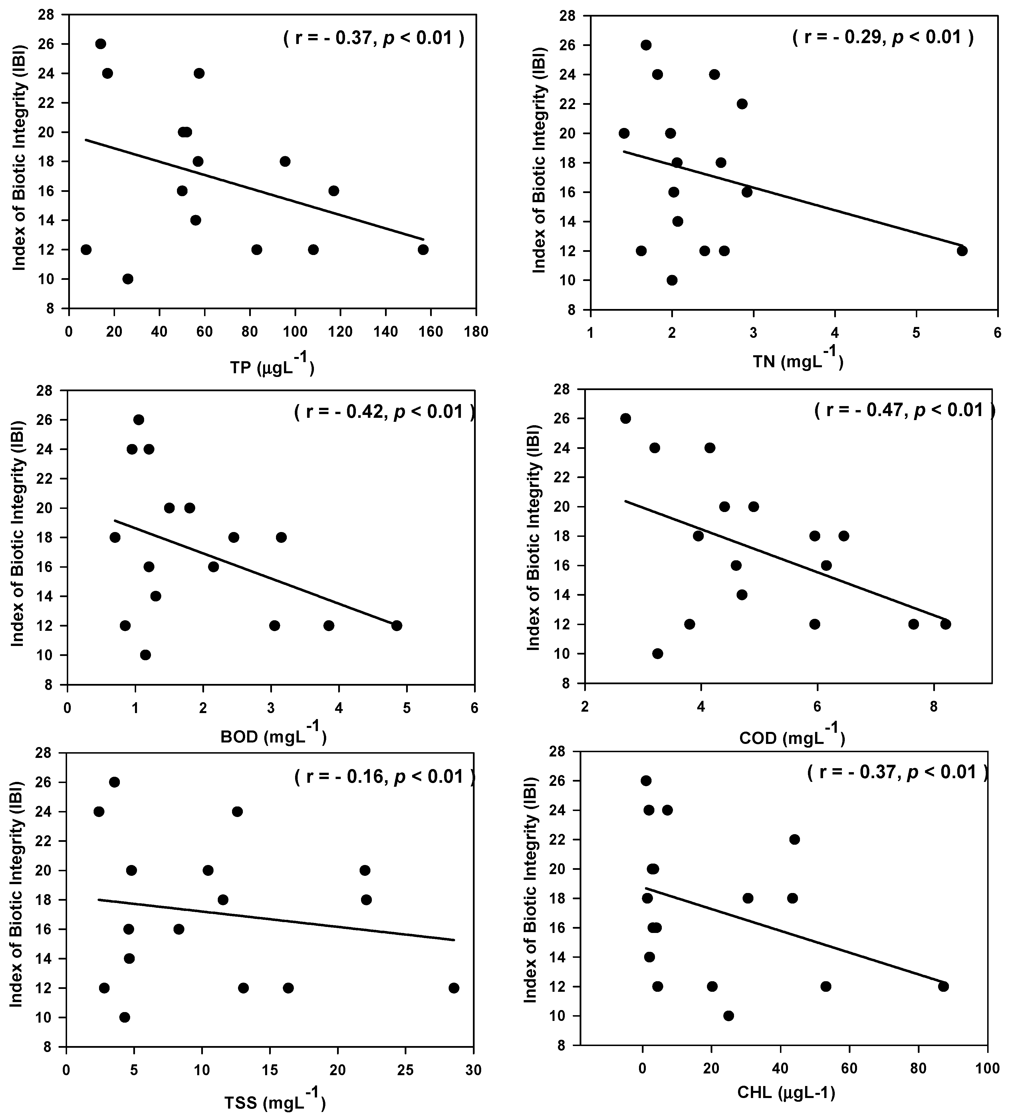
3.8. Ecological Health in Relation to Chemical Parameters and Fish Model Metrics
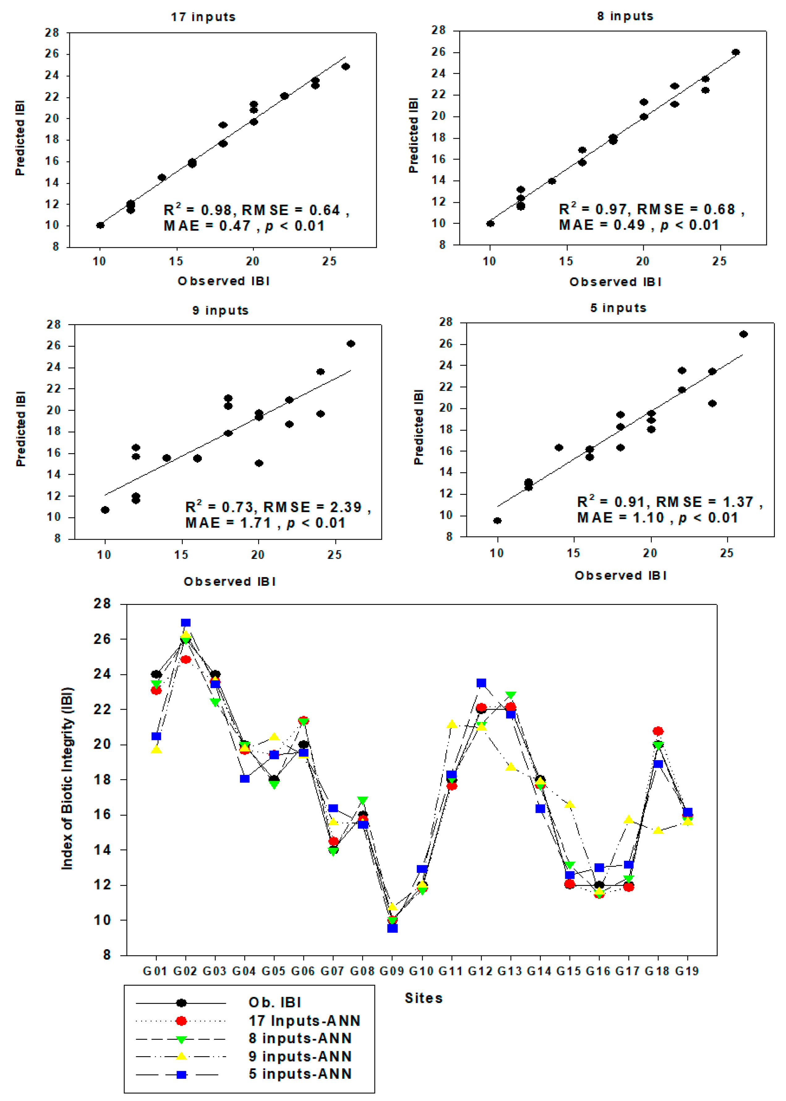
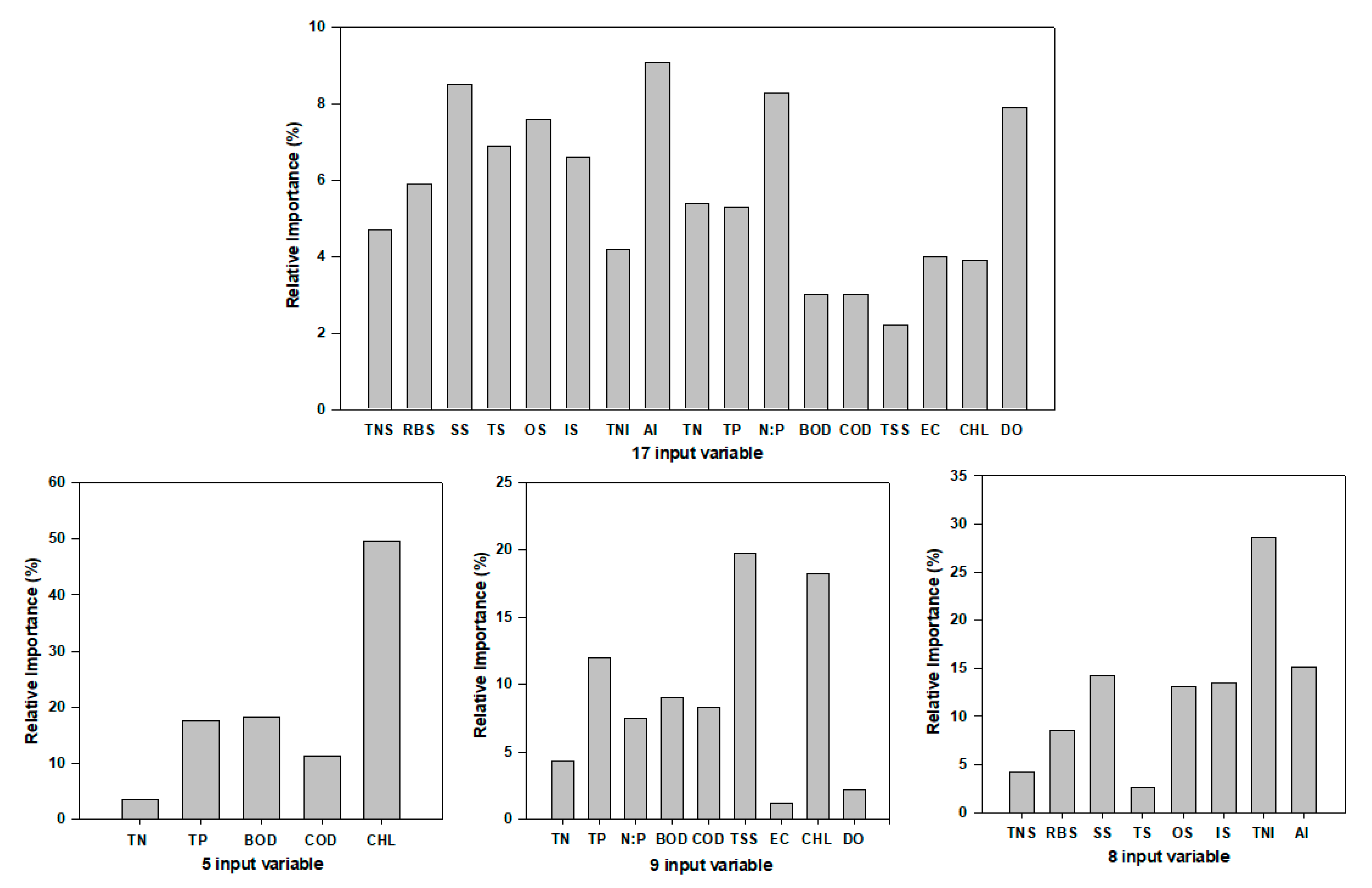
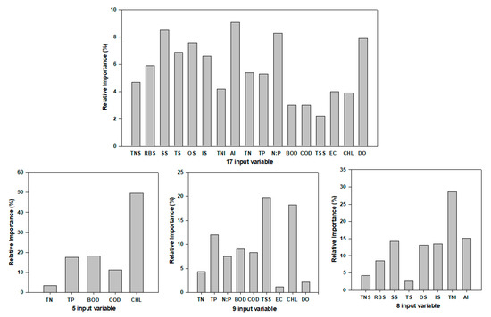
3.9. Prediction of Chemical Pollution Index and Index of Biotic Integrity Using Artificial Neural Network (ANN) Model
3.10. Principal Component Analysis (PCA) in Relation to Chemicals and Fish Metrics
3.11. Site Grouping by Cluster Analysis (CA)
4. Conclusions
Author Contributions
Funding
Acknowledgments
Conflicts of Interest
References
- Costanza, R.; Alperovitz, G.; Daly, H.E.; Farley, J.; Franco, C.; Jackson, T.; Kubiszewski, J.; Schor, J.; Victor, P. Building a Sustainable and Desirable Economy-in-Society-in-Nature; United Nations Division for Sustainable Development: New York, NY, USA, 2012. [Google Scholar]
- Limburg, K.E. Aquatic Ecosystem Services. In Encyclopedia of Inland Waters; Likens, G.E., Ed.; Academic Press: Oxford, UK, 2009; pp. 25–30. [Google Scholar]
- Dudgeon, D.; Arthington, A.H.; Gessner, M.O.; Kawabata, Z.; Knowler, D.J.; Leveque, C.; Naiman, R.J.; Prieur Richard, A.H.; Soto, D.; Stiassny, M.L. Freshwater biodiversity: Importance, threats, status and conservation challenges. Biol. Rev. 2005, 81, 163–182. [Google Scholar] [CrossRef] [PubMed]
- Davies, P.; Harris, J.; Hillman, T.J.; Walker, K.F. The sustainable rivers audit: Assessing river ecosystem health in the Murray–darling basin, Australia. Mar. Freshw. Res. 2010, 61, 764–777. [Google Scholar] [CrossRef]
- Barbour, M.T.; Gerritsen, J.; Snyder, B.; Stribling, J. Rapid Bioassessment Protocols for Use in Streams and Wadeable Rivers: Periphyton, Benthic Macroinvertebrates, and Fish, 2th ed.; USEPA: Washington, DC, USA, 1999.
- Hering, D.; Borja, A.; Carstensen, J.; Carvalho, L.; Elliott, M.; Feld, C.K. The European water framework directive at the age of 10: A critical review of the achievements with recommendations for the future. Sci. Total Environ. 2010, 408, 4007–4019. [Google Scholar] [CrossRef] [PubMed]
- Atique, U.; Lim, B.; Yoon, J.; An, K.G. Biological Health Assessments of Lotic Waters by Biotic Integrity Indices and their Relations to Water Chemistry. Water 2019, 11, 436. [Google Scholar] [CrossRef]
- Yu, X.; He, D.; Phousavanh, P. Balancing River Health and Hydropower Requirements in the Lancang River Basin; Springer: Singapore, 2019; ISBN 978-981-13-1564-0. Available online: https://www.springer.com/gp/book/9789811315640 (accessed on 20 August 2019).
- Wu, W.; Xu, Z.; Zhan, C.; Yin, X.; Yu, S. A new framework to evaluate ecosystem health: A case study in the Wei River basin, China. Environ. Monit. Assess. 2015, 187, 460. [Google Scholar] [CrossRef]
- Yoder, C.O. The Integrated Biosurvey as a Tool for 852 Evaluation of Aquatic Life Use Attainment and Impairment 853 in Ohio Surface Waters; EPA 440-5-91-005; USEPA: Washington, DC, USA, 1991; pp. 110–122.
- Heatherly, T., II; Whiles, M.R.; Royer, T.V.; David, M.B. Relationships between water quality, habitat quality, and macroinvertebrate assemblages in Illinois streams. J. Environ. Qual. 2007, 36, 1653–1660. [Google Scholar] [CrossRef]
- Bach, E. A chemical index for surveillance of river water quality. Dtsch. Gewasserkd. Mitt. 1980, 24, 102–106. [Google Scholar]
- Trivedi, R.C.; De-Kruijf, H.A.M.; de-Zwart, D. The development and application of a yardstick for water quality evaluation. Sci. Total Environ. 1993, 134, 1191–1202. [Google Scholar] [CrossRef]
- Dodds, W.K.; Jones, J.R.; Welch, E.B. Suggested classification of stream trophic state: Distributions of temperate stream types by chlorophyll, total nitrogen and phosphorus. Water Res. 1998, 32, 1455–1462. [Google Scholar] [CrossRef]
- Yu, X.; Xia, J.; Yang, J.; Ma, W. Preliminary study on the index system and assessment method of green hydropower. J. Hydroelectr. Eng. 2011, 30, 71–77. (In Chinese) [Google Scholar]
- Atique, U.; An, K.G. Stream Health Evaluation Using a Combined Approach of Multi-Metric Chemical Pollution and Biological Integrity Models. Water 2018, 10, 661. [Google Scholar] [CrossRef]
- Karr, J.R. Assessment of biotic integrity using fish communities. Fisheries 1981, 6, 21–27. [Google Scholar] [CrossRef]
- Simon, T.P.; Morris, C.C. Relationships among varying sampling distance and the IBI in warmwater, headwater streams of the Eastern Corn Belt Plain. J. Monit. Assess. 2014, 186, 6537–6551. [Google Scholar] [CrossRef] [PubMed]
- Hallett, C.S.; Valesini, F.J.; Clarke, K.R.; Hesp, S.A.; Hoeksema, S.D. Development and validation of fish-based, multimetric indices for assessing the ecological health of Western Australian estuaries. Estuar. Coast. Shelf Sci. 2012, 104–105, 102–113. [Google Scholar] [CrossRef]
- Republic of South Africa Department of Water and Sanitation (RSADWA). River Eco-Status Monitoring Programme; RSADWA: Pretoria, South Africa, 2016. [Google Scholar]
- Hughes, R.M. Use of watershed characteristics to select control streams for estimating effects of metal mining wastes on extensively disturbed streams. Environ. Manag. 1985, 9, 253–262. [Google Scholar] [CrossRef]
- Leonard, P.M.; Orth, D.J. Application and testing of an index ofbiotic integrity in small, coolwater streams. Trans. Am. Fish. Soc. 1986, 115, 401–414. [Google Scholar] [CrossRef]
- Berkman, H.E.; Rabeni, C.F. Effect of siltation on fish communities. Environ. Biol. Fishes 1987, 18, 285–294. [Google Scholar] [CrossRef]
- Ormerod, S.J. Current issues with fish and fisheries: Editor’s overview and introduction. J. Appl. Ecol. 2003, 40, 204–213. [Google Scholar] [CrossRef]
- An, K.G.; Lee, J.Y.; Bae, D.Y.; Kim, J.H.; Hwang, S.J.; Won, D.H. Ecological assessments of aquatic environments using a multi-metric model in major nationwide stream watersheds. J. Korean Water Qual. 2006, 22, 796–804. [Google Scholar]
- MOE/NIER. Study on Development of Methods for Synthetic Assessment of Water Environment 2006; The Ministry of Environment/National Institute of Environmental Research: Sejong, Korea, 2006.
- MOE/NIER. Survey and Evaluation of Aquatic Ecosystem Health in Korea 2013; The Ministry of Environment/National Institute of Environmental Research: Sejong, Korea, 2013.
- Lee, S.J.; Lee, E.H.; An, K.G. Lotic Ecosystem Health Assessments Using an Integrated Analytical Approach of Physical Habitat, Chemical Water Quality, and Fish Multi-Metric Health Metrics. Pol. J. Environ. Stud. 2018, 27, 2113–2131. [Google Scholar] [CrossRef]
- Marker, A.F.H.; Crowther, C.A.; Gunn, R.J.M. Methanol and acetone as solvents for estimating chlorophyll a and phaeopigments by spectrophotometry. Arch. Hydrobiol. Beih. Ergeb. Limnol. 1980, 14, 52–59. [Google Scholar]
- Ohio Environmental Protection Agency. Biological Criteria for the Protection of Aquatic Life: Volume III. Standardized Biological Field Sampling and Laboratory Method for Assessing Fish and Macroinvertebrate Communities; Division of Surface Water, Ecological Assessment Section: Columbus, OH, USA, 1989; p. 66.
- An, K.G.; Jung, S.J.; Choi, S.S. An Evaluation on Health Conditions of Pyong-Chang River using the Index of Biological Integrity (IBI) and Qualitative Habitat Evaluation Index (QHEI). Korean J. Limnol. 2001, 34, 153–165. [Google Scholar]
- An, K.G.; Kim, D.S.; Kong, D.S.; Kim, S.D. Integrative assessments of a temperate stream based on a multimetric determination of biological integrity, physical habitat evaluations, and toxicity tests. Bull. Environ. Contam. Toxicol. 2004, 73, 471–478. [Google Scholar] [CrossRef] [PubMed]
- Huang, J.; Gao, J. An ensemble simulation approach for artificial neural network: An example from chlorophyll a simulation in Lake Poyang, China. Ecol. Inform. 2017, 37, 52–58. [Google Scholar] [CrossRef]
- Sigma Plot, Version 10; Systat Software, Inc.: San Jose, CA, USA, 2018; Available online: www.systatsoftware.com (accessed on 22 October 2018).
- Hammer, Ø. The Past of the Future; PAST, Version 3.18 (Software); Natural History Museum, University of Oslo: Oslo, Norway, 2017. [Google Scholar]
- Kim, J.H.; Yeom, D.H.; An, K.G. Diagnosis of Sapgyo stream watershed using the approach of integrative star-plot area. Korean J. Ecol. Environ. 2010, 43, 356–368. [Google Scholar]
- Mamun, M.; An, K.G. Ecological Health Assessments of 72 Streams and Rivers in Relation to Water Chemistry and Land-Use Patterns in South Korea. Turk. J. Fish. Aquat. Sci. 2018, 18, 871–880. [Google Scholar] [CrossRef]
- Xiaomei, S.; Alan, D.S.; Oudsema, M.; Hassett, M.; Xi, L. The influence of nutrients limitation on phytoplankton growth and microcystins production in Spring Lake, USA. Chemosphere 2019, 234, 34–42. [Google Scholar]
- Choi, J.W.; Han, J.H.; Park, C.S.; Ko, D.G.; Kang, H.I.; Kim, J.Y.; Yun, Y.J.; Kwon, H.H.; An, K.G. Nutrients and sestonic chlorophyll dynamics in Asian lotic ecosystems and ecological stream health in relation to land-use patterns and water chemistry. Ecol. Eng. 2015, 79, 15–31. [Google Scholar] [CrossRef]
- U.S. Geological Survey. Biomonitoring of Environmental Status and Trends (Best) Program: Selected Methods for Monitoring Chemical Contaminants and Their Effects in Aquatic Ecosystems; UITR-2000–0005 Information and Technology Report; U.S. Geological Survey: Columbia, OR, USA, 2000; p. 81.
- Bhat, S.A.; Meraj, G.; Yaseen, S.; Pandit, A.K. Statistical Assessment of Water Quality Parameters for Pollution Source Identification in Sukhnag Stream: An Inflow Stream of Lake Wular (Ramsar Site), Kashmir Himalaya. J. Ecosyst. 2014, 2014, 898054. [Google Scholar] [CrossRef]
- Brogueira, M.J.; Cabec, A.G. Identification of similar environmental areas in Tagus estuary by using multivariate analysis. Ecol. Indic. 2006, 6, 508–515. [Google Scholar] [CrossRef]













| Model Metric | G01 | G02 | G03 | G04 | G05 | G06 | G07 | G08 | G09 | G10 | G11 | G12 | G13 | G14 | G15 | G16 | G17 | G18 | G19 |
|---|---|---|---|---|---|---|---|---|---|---|---|---|---|---|---|---|---|---|---|
| M1-TN (mgL−1) | 2.52 | 1.68 | 1.82 | 1.41 | 2.06 | 1.98 | 2.07 | 2.02 | 2.09 | 1.62 | 6.17 | 4.6 | 2.86 | 2.60 | 5.562 | 2.6425 | 2.406 | 5.53 | 2.92 |
| M2-TP (µgL−1) | 57.5 | 14 | 17 | 52 | 57 | 50.5 | 56 | 50 | 26 | 7.5 | 148 | 170 | 137.5 | 95.5 | 156.5 | 108 | 83 | 142 | 117 |
| M3-TN:TP | 43.95 | 120.3 | 107.32 | 27.1 | 36.25 | 39.31 | 37.00 | 40.4 | 80.61 | 150 | 41.69 | 27.05 | 20.84 | 27.30 | 35.53 | 24.46 | 28.98 | 39 | 24.97 |
| M4-BOD (mgL−1) | 1.2 | 1.05 | 0.95 | 1.8 | 0.7 | 1.5 | 1.3 | 1.2 | 1.15 | 0.85 | 2.45 | 3.6 | 3.5 | 3.15 | 4.85 | 3.85 | 3.05 | 4.35 | 2.15 |
| M5-TSS (mgL−1) | 12.6 | 3.55 | 2.4 | 4.8 | 11.55 | 10.45 | 4.65 | 4.6 | 4.3 | 2.8 | 22.3 | 28.6 | 21.45 | 22.1 | 28.55 | 16.35 | 13.05 | 22 | 8.3 |
| M6-EC (µScm−1) | 162.5 | 111.5 | 105.5 | 113 | 120.5 | 156 | 152 | 50 | 156 | 142 | 213 | 264.5 | 244 | 245 | 254.5 | 245 | 233.5 | 259.5 | 217 |
| M7-CHL (µgL−1) | 7.2 | 1 | 1.85 | 2.8 | 1.4 | 3.2 | 2 | 3 | 24.95 | 4.35 | 30.55 | 60.45 | 44.05 | 43.45 | 87.2 | 53.1 | 20.2 | 68.8 | 4 |
| M8-DO (mgL−1) | 10.95 | 9.15 | 10 | 8.4 | 11 | 10.25 | 9.5 | 9.3 | 10.5 | 11.1 | 10.65 | 10.15 | 9.9 | 6.25 | 10.8 | 8.9 | 8.1 | 8.85 | 8.2 |
| CPI Value | 1.32 | 0.69 | 0.65 | 0.82 | 0.89 | 1.046 | 0.82 | 0.76 | 1.72 | 0.98 | 3.46 | 5.02 | 3.79 | 3.63 | 6.32 | 3.94 | 2.26 | 5.27 | 1.49 |
| Chemical Criteria | Fair | Good | Good | Good | Good | Good | Good | Good | Fair | Good | Very Poor | Very Poor | Very Poor | Very Poor | Very Poor | Very Poor | Poor | Very Poor | Fair |
| Species | To | Tr | Ha | G01 | G02 | G03 | G04 | G05 | G06 | G07 | G08 | G09 | G10 | G11 | G12 | G13 | G14 | G15 | G16 | G17 | G18 | G19 | TNI | RA |
|---|---|---|---|---|---|---|---|---|---|---|---|---|---|---|---|---|---|---|---|---|---|---|---|---|
| Zacco platypus | TS | O | 201 | 86 | 113 | 38 | 90 | 34 | 171 | 35 | 30 | 46 | 7 | 4 | 3 | 19 | 7 | 884 | 32.99 | |||||
| Zacco koreanus | SS | I | 32 | 161 | 46 | 32 | 37 | 22 | 3 | 333 | 12.43 | |||||||||||||
| Squalidus chankaensis tsuchigae | IS | O | 1 | 1 | 61 | 237 | 300 | 11.19 | ||||||||||||||||
| Microphysogobio jeoni | IS | I | 1 | 159 | 17 | 177 | 6.60 | |||||||||||||||||
| Opsarichthys uncirostris amurensis | TS | C | 1 | 1 | 1 | 4 | 25 | 9 | 31 | 4 | 30 | 1 | 107 | 3.99 | ||||||||||
| Hamibarbus labeo | TS | I | 2 | 1 | 1 | 4 | 9 | 23 | 31 | 12 | 1 | 84 | 3.13 | |||||||||||
| Squalidus japonicus coreanus | TS | O | 14 | 11 | 1 | 10 | 26 | 12 | 1 | 75 | 2.80 | |||||||||||||
| Squalidus gracilis majimae | IS | I | 5 | 11 | 49 | 4 | 69 | 2.57 | ||||||||||||||||
| Pungtungia herzi | IS | I | 3 | 11 | 11 | 5 | 1 | 25 | 3 | 8 | 1 | 68 | 2.54 | |||||||||||
| Acheilognathus koreensis | IS | O | 3 | 60 | 4 | 1 | 68 | 2.54 | ||||||||||||||||
| Acheilognathus lanceolatus | IS | O | 8 | 6 | 37 | 4 | 5 | 2 | 1 | 63 | 2.35 | |||||||||||||
| Pseudogobio esocinus | IS | I | 6 | 2 | 3 | 11 | 12 | 4 | 4 | 1 | 3 | 12 | 3 | 2 | 63 | 2.35 | ||||||||
| Microphysogobio yaluensis | IS | O | RB | 22 | 14 | 5 | 12 | 1 | 54 | 2.01 | ||||||||||||||
| Rhinogobius brunneus | IS | I | RB | 23 | 6 | 1 | 6 | 2 | 2 | 3 | 1 | 44 | 1.64 | |||||||||||
| Tridentiger brevispinis | IS | I | RB | 1 | 12 | 6 | 1 | 16 | 36 | 1.34 | ||||||||||||||
| Sarcocheilichthys variegatus wakiyae | IS | I | 9 | 18 | 1 | 28 | 1.04 | |||||||||||||||||
| Acheilognathus yamatsuatea | IS | O | 4 | 9 | 2 | 6 | 6 | 27 | 1.01 | |||||||||||||||
| Odontobutis platycephala | SS | C | 4 | 8 | 7 | 1 | 5 | 25 | 0.93 | |||||||||||||||
| Squaliobarbus curriculus | IS | O | 3 | 3 | 2 | 4 | 6 | 2 | 1 | 21 | 0.78 | |||||||||||||
| Coreoleuciscus splendidus | SS | I | RB | 3 | 17 | 1 | 21 | 0.78 | ||||||||||||||||
| Pseudopungtungia nigra | SS | I | 3 | 2 | 11 | 2 | 2 | 20 | 0.75 | |||||||||||||||
| Hamibarbus longirostris | IS | I | 2 | 4 | 1 | 1 | 1 | 3 | 2 | 1 | 2 | 17 | 0.63 | |||||||||||
| Hemiculter eigenmanni | TS | O | 2 | 7 | 5 | 14 | 0.52 | |||||||||||||||||
| Pseudobagrus koreanus | IS | I | RB | 1 | 5 | 1 | 4 | 11 | 0.41 | |||||||||||||||
| Iksookimia koreensis | IS | I | RB | 6 | 2 | 1 | 9 | 0.34 | ||||||||||||||||
| Micropterus salmoides¥ | TS | C | 4 | 4 | 1 | 9 | 0.34 | |||||||||||||||||
| Acanthorhodeus gracilis | IS | O | 2 | 4 | 1 | 7 | 0.26 | |||||||||||||||||
| Odontobutis interrupta | IS | C | 3 | 4 | 7 | 0.26 | ||||||||||||||||||
| Coreoperca herzi | SS | C | 2 | 1 | 3 | 1 | 7 | 0.26 | ||||||||||||||||
| Rhodeus uyekii | IS | O | 5 | 5 | 0.19 | |||||||||||||||||||
| Erythroculter erythropterus | TS | C | 1 | 1 | 2 | 4 | 0.15 | |||||||||||||||||
| Acanthorhodeus macropterus | IS | O | 1 | 2 | 3 | 0.11 | ||||||||||||||||||
| Carassius auratus | TS | O | 1 | 1 | 1 | 3 | 0.11 | |||||||||||||||||
| Cyprinus carpio¥ | TS | O | 1 | 2 | 3 | 0.11 | ||||||||||||||||||
| Pseudorasbora parva | TS | O | 1 | 2 | 3 | 0.11 | ||||||||||||||||||
| Acheilognathus rhombeus | IS | O | 2 | 2 | 0.07 | |||||||||||||||||||
| Rhynchocypris oxycephalus | SS | I | 2 | 2 | 0.07 | |||||||||||||||||||
| Siniperca scherzeri | IS | C | 1 | 1 | 0.04 | |||||||||||||||||||
| Cobitis lutheri | IS | I | 1 | 1 | 0.04 | |||||||||||||||||||
| Sarcocheilichthys nigripinnis morii | IS | I | 1 | 1 | 0.04 | |||||||||||||||||||
| Pseudobagrus fulvidraco | TS | I | 1 | 1 | 0.04 | |||||||||||||||||||
| Misgurnus mizolepis | TS | O | 1 | 1 | 0.04 | |||||||||||||||||||
| Misgurnus anguillicaudatus | TS | O | 1 | 1 | 0.04 | |||||||||||||||||||
| Lepomis macrochirus¥ | TS | I | 1 | 1 | 0.04 | |||||||||||||||||||
| TNS | 16 | 9 | 15 | 14 | 14 | 14 | 6 | 15 | 12 | 4 | 5 | 18 | 13 | 9 | 9 | 4 | 3 | 3 | 7 | |||||
| TNI | 314 | 285 | 257 | 136 | 181 | 126 | 196 | 185 | 339 | 57 | 28 | 134 | 241 | 34 | 71 | 38 | 20 | 30 | 8 | 2680 |
| Sampling Sites | Model Metrics | |||||||||
|---|---|---|---|---|---|---|---|---|---|---|
| TNS | RBS | SS | % TS | % OS | % IS | TNI | % AI | IBI | Health Status | |
| G01 | 16(3) | 4(3) | 3(3) | 64.97(1) | 72.29(1) | 26.11(3) | 314(5) | 0(5) | 24 | Fair |
| G02 | 9(1) | 4(3) | 4(3) | 30.18(1) | 30.18(3) | 67.02(5) | 285(5) | 0(5) | 26 | Fair |
| G03 | 15(3) | 4(3) | 4(3) | 44.75(1) | 71.21(1) | 25.29(3) | 257(5) | 0(5) | 24 | Fair |
| G04 | 14(1) | 1(1) | 4(3) | 29.41(1) | 38.97(3) | 59.56(5) | 136(1) | 0(5) | 20 | Fair |
| G05 | 14(1) | 0(1) | 3(3) | 52.49(1) | 55.80(1) | 37.57(3) | 177(3) | 0(5) | 18 | Poor |
| G06 | 14(1) | 4(3) | 5(5) | 26.98(1) | 47.62(1) | 44.44(3) | 126(1) | 0(5) | 20 | Fair |
| G07 | 6(1) | 2(3) | 0(1) | 87.76(1) | 90.31(1) | 9.18(1) | 196(1) | 0(5) | 14 | Poor |
| G08 | 15(3) | 3(3) | 2(1) | 22.70(1) | 83.24(1) | 14.59(1) | 185(1) | 0(5) | 16 | Poor |
| G09 | 11(1) | 0(1) | 0(1) | 24.19(1) | 86.14(1) | 5.31(1) | 335(3) | 2.7(1) | 10 | Very Poor |
| G10 | 4(1) | 1(1) | 0(1) | 87.72(1) | 80.70(1) | 19.30(1) | 57(1) | 0(5) | 12 | Very Poor |
| G11 | 5(1) | 0(1) | 0(1) | 57.14(1) | 25.00(3) | 75.00(5) | 28(1) | 0(5) | 18 | Poor |
| G12 | 18(3) | 3(3) | 0(1) | 39.55(1) | 23.13(3) | 69.40(5) | 134(1) | 0(5) | 22 | Fair |
| G13 | 12(1) | 0(1) | 0(1) | 26.97(1) | 5.81(5) | 80.91(5) | 240(3) | 0(5) | 22 | Fair |
| G14 | 9(1) | 0(1) | 0(1) | 23.53(1) | 23.53(3) | 64.71(5) | 34(1) | 0(5) | 18 | Poor |
| G15 | 8(1) | 1(1) | 0(1) | 87.32(1) | 47.89(1) | 9.86(1) | 69(1) | 0(5) | 12 | Very Poor |
| G16 | 3(1) | 0(1) | 0(1) | 89.47(1) | 97.37(1) | 0.0(1) | 37(1) | 0(5) | 12 | Very Poor |
| G17 | 3(1) | 0(1) | 0(1) | 70.00(1) | 100.00(1) | 0.0(1) | 20(1) | 0(5) | 12 | Very Poor |
| G18 | 3(1) | 1(1) | 0(1) | 40.00(1) | 6.67(5) | 93.3(5) | 30(1) | 0(5) | 20 | Fair |
| G19 | 6(1) | 1(1) | 0(1) | 75.00(1) | 25.00(3) | 25.00(3) | 7(1) | 0(5) | 16 | Poor |
© 2019 by the authors. Licensee MDPI, Basel, Switzerland. This article is an open access article distributed under the terms and conditions of the Creative Commons Attribution (CC BY) license (http://creativecommons.org/licenses/by/4.0/).
Share and Cite
HaRa, J.; Mamun, M.; An, K.-G. Ecological River Health Assessments Using Chemical Parameter Model and the Index of Biological Integrity Model. Water 2019, 11, 1729. https://doi.org/10.3390/w11081729
HaRa J, Mamun M, An K-G. Ecological River Health Assessments Using Chemical Parameter Model and the Index of Biological Integrity Model. Water. 2019; 11(8):1729. https://doi.org/10.3390/w11081729
Chicago/Turabian StyleHaRa, Jang, Md. Mamun, and Kwang-Guk An. 2019. "Ecological River Health Assessments Using Chemical Parameter Model and the Index of Biological Integrity Model" Water 11, no. 8: 1729. https://doi.org/10.3390/w11081729
APA StyleHaRa, J., Mamun, M., & An, K.-G. (2019). Ecological River Health Assessments Using Chemical Parameter Model and the Index of Biological Integrity Model. Water, 11(8), 1729. https://doi.org/10.3390/w11081729
