The Influence of a Water Absorbing Geocomposite on Soil Water Retention and Soil Matric Potential
Abstract
1. Introduction
2. Materials and Methods
2.1. Used Soil Material
2.2. Used Soil Profiles and WAG Treatment
2.3. Test Stand and Measuring Equipment
2.4. The Procedure of Data Collection
2.5. Data Analysis
3. Results
3.1. Soil Moisture Content Loss
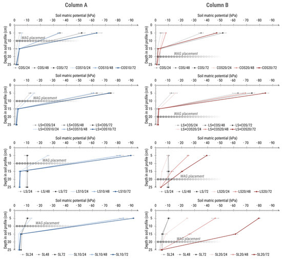
3.2. Soil Matric Potential
3.3. Summarized Water Loss in the Soil Profile
4. Discussion
5. Conclusions
- The results of the conducted research illustrate a phenomenon of the capillary barrier. It was proven that the use of a water absorbing geocomposite in the form of a mat, despite high water retention abilities, might lead to the formation of a capillary barrier in the soil profile. Furthermore, WAG in the form of a mat might cause soil dryness of the layer above the applied geosynthetic, especially when it is shallowly placed. However, it was found that, regardless of the induced dryness, significantly more water was available for plants in the soil profiles with the WAG treatment when the water retained in the WAG was included in the water budget;
- Water absorbing geocomposite should not be used in the form of a full mat in fine-textured soils, especially when, above and under the geosynthetic, there is a cohesive soil layer. However, a mat geocomposite might be used with spaces in the surface to allow the hydraulic conductivity to be maintained. The application of a full-mat WAG might lead to a capillary barrier phenomenon in the soil profile, even where evaporation is limited. However, it is not so crucial in soil profiles where a sandy textured soil layer is designed under the geosynthetic, as on the road slopes. In fine textured soils, a minimal application depth should be established at 20 cm.
6. Patents
Author Contributions
Funding
Acknowledgments
Conflicts of Interest
References
- Szewranski, S.; Chruscinski, J.; Kazak, J.; Swiader, M.; Tokarczyk-Dorociak, K.; Zmuda, R. Pluvial Flood Risk Assessment Tool (PFRA) for Rainwater Management and Adaptation to Climate Change in Newly Urbanised Areas. Water 2018, 10, 386. [Google Scholar] [CrossRef]
- Kaushal, S.S.; Gold, A.J.; Mayer, P.M. Land Use, Climate, and Water ResourcesGlobal Stages of Interaction. Water 2017, 9, 815. [Google Scholar] [CrossRef] [PubMed]
- Godfray, H.C.J.; Beddington, J.R.; Crute, I.R.; Haddad, L.; Lawrence, D.; Muir, J.F.; Pretty, J.; Robinson, S.; Thomas, S.M.; Toulmin, C. Food Security: The Challenge of Feeding 9 Billion People. Science 2010, 327, 812–818. [Google Scholar] [CrossRef] [PubMed]
- Hanjra, M.A.; Qureshi, M.E. Global water crisis and future food security in an era of climate change. Food Policy 2010, 35, 365–377. [Google Scholar] [CrossRef]
- Zhang, L.T.; Gao, Z.L.; Yang, S.W.; Li, Y.H.; Tian, H.W. Dynamic processes of soil erosion by runoff on engineered landforms derived from expressway construction: A case study of typical steep spoil heap. Catena 2015, 128, 108–121. [Google Scholar] [CrossRef]
- Koda, E.; Pachuta, K.; Osinski, P. Potential of Plant Applications in the Initial Stage of the Landfill Reclamation Process. Pol. J. Environ. Stud. 2013, 22, 1731–1739. [Google Scholar]
- Vannoppen, W.; Vanmaercke, M.; De Baets, S.; Poesen, J. A review of the mechanical effects of plant roots on concentrated flow erosion rates. Earth Sci. Rev. 2015, 150, 666–678. [Google Scholar] [CrossRef]
- Zhang, L.; Wang, J.M.; Bai, Z.K.; Lv, C.J. Effects of vegetation on runoff and soil erosion on reclaimed land in an opencast coal-mine dump in a loess area. Catena 2015, 128, 44–53. [Google Scholar] [CrossRef]
- Trenberth, K.E.; Dai, A.G.; van der Schrier, G.; Jones, P.D.; Barichivich, J.; Briffa, K.R.; Sheffield, J. Global warming and changes in drought. Nat. Clim. Chang. 2014, 4, 17–22. [Google Scholar] [CrossRef]
- Greco, R.; Guida, A.; Damiano, E.; Olivares, L. Soil water content and suction monitoring in model slopes for shallow flowslides early warning applications. Phys. Chem. Earth 2010, 35, 127–136. [Google Scholar] [CrossRef]
- Bochet, E.; Garcia-Fayos, P. Factors controlling vegetation establishment and water erosion on motorway slopes in Valencia, Spain. Restor. Ecol. 2004, 12, 166–174. [Google Scholar] [CrossRef]
- Osman, N.; Barakbah, S.S. The effect of plant succession on slope stability. Ecol. Eng. 2011, 37, 139–147. [Google Scholar] [CrossRef]
- Li, M.H.; Eddleman, K.E. Biotechnical engineering as an alternative to traditional engineering methods—A biotechnical streambank stabilization design approach. Landsc. Urban Plan. 2002, 60, 225–242. [Google Scholar] [CrossRef]
- Bomers, A.; Lopez, J.P.A.; Warmink, J.J.; Hulscher, S. Modelling effects of an asphalt road at a dike crest on dike cover erosion onset during wave overtopping. Nat. Hazards 2018, 93, 1–30. [Google Scholar] [CrossRef]
- Bolte, K.; Hartmann, P.; Fleige, H.; Horn, R. Determination of critical soil water content and matric potential for wind erosion. J. Soils Sediments 2011, 11, 209–220. [Google Scholar] [CrossRef]
- Kokutse, N.K.; Temgoua, A.G.T.; Kavazovic, Z. Slope stability and vegetation: Conceptual and numerical investigation of mechanical effects. Ecol. Eng. 2016, 86, 146–153. [Google Scholar] [CrossRef]
- Tosi, M. Root tensile strength relationships and their slope stability implications of three shrub species in the Northern Apennines (Italy). Geomorphology 2007, 87, 268–283. [Google Scholar] [CrossRef]
- De Baets, S.; Poesen, J.; Reubens, B.; Wemans, K.; De Baerdemaeker, J.; Muys, B. Root tensile strength and root distribution of typical Mediterranean plant species and their contribution to soil shear strength. Plant Soil 2008, 305, 207–226. [Google Scholar] [CrossRef]
- Dabney, S.M.; Shields, F.D.; Temple, D.M.; Langendoen, E.J. Erosion processes in gullies modified by establishing grass hedges. Trans. ASAE 2004, 47, 1561–1571. [Google Scholar] [CrossRef]
- Hudek, C.; Sterk, G.; van Beek, R.; de Jong, S.M. Modelling soil erosion reduction by Mahonia aquifolium on hillslopes in Hungary: The impact of soil stabilization by roots. Catena 2014, 122, 159–169. [Google Scholar] [CrossRef]
- Osman, N.; Barakbah, S.S. Parameters to predict slope stability—Soil water and root profiles. Ecol. Eng. 2006, 28, 90–95. [Google Scholar] [CrossRef]
- Tron, S.; Dani, A.; Laio, F.; Preti, F.; Ridolfi, L. Mean root depth estimation at landslide slopes. Ecol. Eng. 2014, 69, 118–125. [Google Scholar] [CrossRef]
- Eapen, D.; Barroso, M.L.; Ponce, G.; Campos, M.E.; Cassab, G.I. Hydrotropism: Root growth responses to water. Trends Plant Sci. 2005, 10, 44–50. [Google Scholar] [CrossRef]
- Bodner, G.; Nakhforoosh, A.; Kaul, H.P. Management of crop water under drought: A review. Agron. Sustain. Dev. 2015, 35, 401–442. [Google Scholar] [CrossRef]
- Elia, G.; Cotecchia, F.; Pedone, G.; Vaunat, J.; Vardon, P.J.; Pereira, C.; Springman, S.M.; Rouainia, M.; Van Esch, J.; Koda, E.; et al. Numerical modelling of slope–vegetation–atmosphere interaction: An overview. Q. J. Eng. Geol. Hydrogeol. 2017, 50, 249–270. [Google Scholar] [CrossRef]
- Tang, A.M.; Hughes, P.N.; Dijkstra, T.A.; Askarinejad, A.; Brenčič, M.; Cui, Y.J.; Diez, J.J.; Firgi, T.; Gajewska, B.; Gentile, F.; et al. Atmosphere–vegetation–soil interactions in a climate change context; impact of changing conditions on engineered transport infrastructure slopes in Europe. Q. J. Eng. Geol. Hydrogeol. 2018, 51, 156–168. [Google Scholar] [CrossRef]
- Alvarez-Mozos, J.; Abad, E.; Goni, M.; Gimenez, R.; Campo, M.A.; Diez, J.; Casali, J.; Arive, M.; Diego, I. Evaluation of erosion control geotextiles on steep slopes. Part 2: Influence on the establishment and growth of vegetation. Catena 2014, 121, 195–203. [Google Scholar] [CrossRef]
- Kiersnowska, A.; Stȩpień, S. Research the effect of temperature changes on strain and strength of woven geotextile. Przeglad Wlokienniczy 2014, 68, 25–29. [Google Scholar]
- Hejduk, S.; Baker, S.W.; Spring, C.A. Evaluation of the effects of incorporation rate and depth of water-retentive amendment materials in sports turf constructions. Acta Agric. Scand. B Soil Plant Sci. 2012, 62, 155–164. [Google Scholar] [CrossRef]
- Consoli, S.; Stagno, F.; Vanella, D.; Boaga, J.; Cassiani, G.; Roccuzzo, G. Partial root-zone drying irrigation in orange orchards: Effects on water use and crop production characteristics. Eur. J. Agron. 2017, 82, 190–202. [Google Scholar] [CrossRef]
- Parvizi, H.; Sepaskhah, A.R.; Ahmadi, S.H. Physiological and growth responses of pomegranate tree (Punica granatum (L.) cv. Rabab) under partial root zone drying and deficit irrigation regimes. Agric. Water Manag. 2016, 163, 146–158. [Google Scholar] [CrossRef]
- Nakhli, S.A.A.; Delkash, M.; Bakhshayesh, B.E.; Kazemian, H. Application of Zeolites for Sustainable Agriculture: A Review on Water and Nutrient Retention. Water Air Soil Pollut. 2017, 228, 34. [Google Scholar] [CrossRef]
- Zhang, J.P.; Liu, R.F.; Li, A.; Wang, A.Q. Preparation, swelling behaviors and application of polyacrylamide/attapulgite superabsorbent composites. Polym. Adv. Technol. 2006, 17, 12–19. [Google Scholar] [CrossRef]
- Ma, G.F.; Yang, Q.; Ran, F.T.; Dong, Z.B.; Lei, Z.Q. High performance and low cost composite superabsorbent based on polyaspartic acid and palygorskite clay. Appl. Clay Sci. 2015, 118, 21–28. [Google Scholar] [CrossRef]
- Mumpton, F.A. La roca magica: Uses of natural zeolites in agriculture and industry. Proc. Natl. Acad. Sci. USA 1999, 96, 3463–3470. [Google Scholar] [CrossRef] [PubMed]
- Basak, B.B.; Pal, S.; Datta, S.C. Use of modified clays for retention and supply of water and nutrients. Curr. Sci. 2012, 102, 1272–1278. [Google Scholar]
- Zhang, Z.Z.; Wang, B.T. Preparation and water retention properties of clay-based sand-fixing and grass-planting materials. J. Wuhan Univ. Technol. 2013, 28, 325–328. [Google Scholar] [CrossRef]
- Bulluck, L.R.; Brosius, M.; Evanylo, G.K.; Ristaino, J.B. Organic and synthetic fertility amendments influence soil microbial, physical and chemical properties on organic and conventional farms. Appl. Soil Ecol. 2002, 19, 147–160. [Google Scholar] [CrossRef]
- Pinon-Villarreal, A.R.; Bawazir, A.S.; Shukla, M.K.; Samani, Z.A.; King, J.P. Modeling Capillary Rise in Clinoptilolite Zeolite and Riparian Soils to Sustain Vegetation in Water-Scarce Areas. J. Irrig. Drain. Eng. 2017, 143, 12. [Google Scholar] [CrossRef]
- Thangarajan, R.; Bolan, N.S.; Tian, G.L.; Naidu, R.; Kunhikrishnan, A. Role of organic amendment application on greenhouse gas emission from soil. Sci. Total Environ. 2013, 465, 72–96. [Google Scholar] [CrossRef]
- Wilske, B.; Bai, M.; Lindenstruth, B.; Bach, M.; Rezaie, Z.; Frede, H.G.; Breuer, L. Biodegradability of a polyacrylate superabsorbent in agricultural soil. Environ. Sci. Pollut. Res. 2014, 21, 9453–9460. [Google Scholar] [CrossRef]
- Kono, H.; Fujita, S. Biodegradable superabsorbent hydrogels derived from cellulose by esterification crosslinking with 1,2,3,4-butanetetracarboxylic dianhydride. Carbohydr. Polym. 2012, 87, 2582–2588. [Google Scholar] [CrossRef]
- Sarkar, S.; Datta, S.C.; Biswas, D.R. Effect of Fertilizer Loaded Nanoclay/Superabsorbent Polymer Composites on Nitrogen and Phosphorus Release in Soil. Proc. Indian Natl. Sci. Acad. Part B Biol. Sci. 2015, 85, 415–421. [Google Scholar] [CrossRef]
- Stahl, J.D.; Cameron, M.D.; Haselbach, J.; Aust, S.D. Biodegradation of superabsorbent polymers in soil. Environ. Sci. Pollut. Res. 2000, 7, 83–88. [Google Scholar] [CrossRef]
- Rudzinski, W.E.; Dave, A.M.; Vaishanav, U.H.; Kumbar, S.G.; Kulkarni, A.R.; Aminabhavi, T.M. Hydrogels as controlled release devices in agriculture. Des. Monomers Polym. 2002, 5, 39–65. [Google Scholar] [CrossRef]
- Zohuriaan-Mehr, M.J.; Omidian, H.; Doroudiani, S.; Kabiri, K. Advances in non-hygienic applications of superabsorbent hydrogel materials. J. Mater. Sci. 2010, 45, 5711–5735. [Google Scholar] [CrossRef]
- Guilherme, M.R.; Aouada, F.A.; Fajardo, A.R.; Martins, A.F.; Paulino, A.T.; Davi, M.F.T.; Rubira, A.F.; Muniz, E.C. Superabsorbent hydrogels based on polysaccharides for application in agriculture as soil conditioner and nutrient carrier: A review. Eur. Polym. J. 2015, 72, 365–385. [Google Scholar] [CrossRef]
- Yang, L.X.; Yang, Y.; Chen, Z.; Guo, C.X.; Li, S.C. Influence of super absorbent polymer on soil water retention, seed germination and plant survivals for rocky slopes eco-engineering. Ecol. Eng. 2014, 62, 27–32. [Google Scholar] [CrossRef]
- Bakass, M.; Mokhlisse, A.; Lallemant, M. Absorption and desorption of liquid water by a superabsorbent polymer: Effect of polymer in the drying of the soil and the quality of certain plants. J. Appl. Polym. Sci. 2002, 83, 234–243. [Google Scholar] [CrossRef]
- Laftah, W.A.; Hashim, S.; Ibrahim, A.N. Polymer Hydrogels: A Review. Polym. Plast. Technol. Eng. 2011, 50, 1475–1486. [Google Scholar] [CrossRef]
- Narjary, B.; Aggarwal, P.; Singh, A.; Chakraborty, D.; Singh, R. Water availability in different soils in relation to hydrogel application. Geoderma 2012, 187, 94–101. [Google Scholar] [CrossRef]
- Banedjschafie, S.; Durner, W. Water retention properties of a sandy soil with superabsorbent polymers as affected by aging and water quality. J. Plant Nutr. Soil Sci. 2015, 178, 798–806. [Google Scholar] [CrossRef]
- Montesano, F.F.; Parente, A.; Santamaria, P.; Sannino, A.; Serio, F. Biodegradable Superabsorbent Hydrogel IncreasesWater Retention Properties of Growing Media and Plant Growth. Effic. Irrig. Manag. Eff. Urban Rural Landsc. 2015, 4, 451–458. [Google Scholar] [CrossRef]
- Demitri, C.; Scalera, F.; Madaghiele, M.; Sannino, A.; Maffezzoli, A. Potential of Cellulose-Based Superabsorbent Hydrogels as Water Reservoir in Agriculture. Int. J. Polym. Sci. 2013, 2013. [Google Scholar] [CrossRef]
- Chirino, E.; Vilagrosa, A.; Vallejo, V.R. Using hydrogel and clay to improve the water status of seedlings for dryland restoration. Plant Soil 2011, 344, 99–110. [Google Scholar] [CrossRef]
- Magalhaes, A.S.G.; Neto, M.P.A.; Bezerra, M.N.; Feitosa, J.P.A. Superabsorbent Hydrogel Composite with Minerals Aimed at Water Sustainability. J. Braz. Chem. Soc. 2013, 24, 304–313. [Google Scholar] [CrossRef]
- Koudela, M.; Hnilicka, F.; Svozilova, L.; Martinkova, J. Cauliflower qualities in two irrigation levels with the using of hydrophilic agent. Hortic. Sci. 2011, 38, 81–85. [Google Scholar] [CrossRef]
- Huttermann, A.; Orikiriza, L.J.B.; Agaba, H. Application of Superabsorbent Polymers for Improving the Ecological Chemistry of Degraded or Polluted Lands. Clean Soil Air Water 2009, 37, 517–526. [Google Scholar] [CrossRef]
- Kirkham, M.B. Principles of Soil and Plant Water Relations; Elsevier: Amsterdam, The Netherlands, 2005; pp. 1–500. [Google Scholar]
- Han, Y.G.; Yang, P.L.; Luo, Y.P.; Ren, S.M.; Zhang, L.X.; Xu, L. Porosity change model for watered super absorbent polymer-treated soil. Environ. Earth Sci. 2010, 61, 1197–1205. [Google Scholar] [CrossRef]
- Lejcus, K.; Spitalniak, M.; Dabrowska, J. Swelling Behaviour of Superabsorbent Polymers for Soil Amendment under Different Loads. Polymers 2018, 10, 271. [Google Scholar] [CrossRef]
- Whalley, W.R.; Ober, E.S.; Jenkins, M. Measurement of the matric potential of soil water in the rhizosphere. J. Exp. Bot. 2013, 64, 3951–3963. [Google Scholar] [CrossRef] [PubMed]
- Or, D.; Tuller, M.; Wraith, J.M. Encyclopedia of Soils in the Environment, Water Potential; Hillel, D., Ed.; Elsevier: Amsterdam, The Netherlands, 2005. [Google Scholar]
- Song, Y.S. Suction stress in unsaturated sand at different relative densities. Eng. Geol. 2014, 176, 1–10. [Google Scholar] [CrossRef]
- Chapin, F.S. Integrated Responses of Plants to Stress. Bioscience 1991, 41, 29–36. [Google Scholar] [CrossRef]
- Eneji, A.E.; Islam, R.; An, P.; Amalu, U.C. Nitrate retention and physiological adjustment of maize to soil amendment with superabsorbent polymers. J. Clean. Prod. 2013, 52, 474–480. [Google Scholar] [CrossRef]
- Lipiec, J.; Doussan, C.; Nosalewicz, A.; Kondracka, K. Effect of drought and heat stresses on plant growth and yield: A review. Int. Agrophysics 2013, 27, 463–477. [Google Scholar] [CrossRef]
- Bartlett, M.K.; Klein, T.; Jansen, S.; Choat, B.; Sack, L. The correlations and sequence of plant stomatal, hydraulic, and wilting responses to drought. Proc. Natl. Acad. Sci. USA 2016, 113, 13098–13103. [Google Scholar] [CrossRef] [PubMed]
- Sharp, R.E. Root growth maintenance during water deficits: Physiology to functional genomics. J. Exp. Bot. 2004, 55, 2343–2351. [Google Scholar] [CrossRef]
- Lejcus, K.; Dabrowska, J.; Grzybowska-Pietras, J.; Garlikowski, D.; Lejcus, I.; Pawlowski, A.; Spitalniak, M. Optimisation of Operational Parameters for Nonwoven Sheaths of Water Absorbing Geocomposites in Unsaturated Soil Conditions. Fibres Text. East. Eur. 2016, 24, 110–116. [Google Scholar] [CrossRef]
- Bai, W.B.; Song, J.Q.; Zhang, H.Z. Repeated water absorbency of super-absorbent polymers in agricultural field applications: A simulation study. Acta Agric. Scand. B Soil Plant Sci. 2013, 63, 433–441. [Google Scholar] [CrossRef]
- Lejcus, K.; Dabrowska, J.; Garlikowski, D.; Spitalniak, M. The application of water-absorbing geocomposites to support plant growth on slopes. Geosynth. Int. 2015, 22, 452–456. [Google Scholar] [CrossRef]
- Lejcus, K.; Garlikowski, D.; Orzeszyna, H.; Pawlowski, A. Geocomposite with superabsorbent in landfill recultivation and slope protection. In Proceedings of the International Workshop on Management of Pollutant Emission from Landfills and Sludge, Kazimierz Dolny, Poland, 16–19 September 2006; pp. 151–157. [Google Scholar]
- Śpitalniak, M. Wykorzystanie geokompozytów sorbujących wodę do ochrony skarp budowli ziemnych przed erozją. Inżynieria Morska i Geotechnika 2016, 3, 161–166. [Google Scholar]
- Orzeszyna, H.; Garlikowski, D.; Pawłowski, A. Using of geocomposite with superabsorbent synthetic polymers as water retention element in vegetative layers. Int. Agrophysics 2006, 20, 201–206. [Google Scholar]
- Wroblewska, K.; Debicz, R.; Babelewski, P. The Influence of Water Sorbing Geocomposite and Pine Bark Mulching on Growth and Flowering of some Perennial Species. Acta Sci. Pol. Hortorum Cultus 2012, 11, 203–216. [Google Scholar]
- Babelewski, P.; Pancerz, M.; Debicz, R. The Influence of Geocomposites on the Biomass Production, the Nutritional Status of Plants and the Substrate Characteristics in the Container Nursery Production of Rosa cv. White Meidiland and Berberis Thunbergii cv. Green Carpet. J. Elementol. 2017, 22, 1095–1106. [Google Scholar] [CrossRef]
- Kordas, L.; Kuc, P.; Lejcus, K. Biological Stabilisation of Tailing Pond Coasts with Use of Mineral and Organic Substances and Water-Absorbing Geocomposites. Pol. J. Environ. Stud. 2018, 27, 2089–2095. [Google Scholar] [CrossRef]
- Bekier, J.; Bińczycki, T.; Bogacz, A.; Bojko, O.; Cuske, M.; Ćwieląg-Piasecka, I.; Dębicka, M.; Gałka, B.; Gersztyn, L.; Glina, B.; et al. Soils of Lower Silesia: Origins, diversity and protection [Gleby Dolnego Śląska: Geneza, różnorodność i ochrona]; Kabała, C., Ed.; Uniwersytet Przyrodniczy we Wrocławiu Instytut Nauk o Glebie i Ochrony Środowiska: Wrocław, Poland, 2015. [Google Scholar]
- FAO. World Reference Base for Soil Resources 2014. International soil classification system for naming soils and creating legends for soil maps. World Soil Resour. Rep. 2015, 106, 1–203. [Google Scholar]
- Floerger SNF. Technical Data Sheet of Aquasorb. France, pp. 1–6. Available online: https://snf.com.au/downloads/Aquasorb_E.pdf (accessed on 7 January 2019).
- Erdem, T.; Arin, L.; Erdem, Y.; Polat, S.; Deveci, M.; Okursoy, H.; Gultas, H.T. Yield and quality response of drip irrigated broccoli (Brassica oleracea L. var. italica) under different irrigation regimes, nitrogen applications and cultivation periods. Agric. Water Manag. 2010, 97, 681–688. [Google Scholar] [CrossRef]
- Corral, F.J.C.; Castano, S.B.; Fernandez, M.D.F.; Garcia, M.R.G.; Hernandez, J.C.L. Lysimetry methods for monitoring soil solution electrical conductivity and nutrient concentration in greenhouse tomato crops. Agric. Water Manag. 2016, 178, 171–179. [Google Scholar] [CrossRef]
- Ishimwe, E.; Garner, C.D.; Coffman, R.A. Full-Scale Hydro-Mechanical Properties of Vertical Flow Bed Treatment Soils. Geotech. Geol. Eng. 2018, 36, 2735–2748. [Google Scholar] [CrossRef]
- Munoz-Carpena, R.; Dukes, M.D.; Li, Y.C.C.; Klassen, W. Field comparison of tensiometer and granular matrix sensor automatic drip irrigation on tomato. Horttechnology 2005, 15, 584–590. [Google Scholar] [CrossRef]
- Janik, G.; Dawid, M.; Walczak, A.; Slowinska-Osypiuk, J.; Skierucha, W.; Wilczek, A.; Daniel, A. Application of the TDR technique for the detection of changes in the internal structure of an earthen flood levee. J. Geophys. Eng. 2017, 14, 292–302. [Google Scholar] [CrossRef]
- Malicki, M.A.; Skierucha, W.M. A Manually Controlled TDR Soil-Moisture Meter Operating with 300-PS Rise-Time Needle Pulse. Irrig. Sci. 1989, 10, 153–163. [Google Scholar] [CrossRef]
- Skierucha, W. Accuracy of soil moisture measurement by tdr technique. Int. Agrophysics 2000, 14, 427–430. [Google Scholar]
- Skierucha, W.; Wilczek, A.; Szyplowska, A.; Slawinski, C.; Lamorski, K. A TDR-Based Soil Moisture Monitoring System with Simultaneous Measurement of Soil Temperature and Electrical Conductivity. Sensors 2012, 12, 13545–13566. [Google Scholar] [CrossRef] [PubMed]
- Skierucha, W.; Wilczek, A.; Alokhina, O. Calibration of a TDR probe for low soil water content measurements. Sens. Actuators A Phys. 2008, 147, 544–552. [Google Scholar] [CrossRef]
- Nicholson, R.V.; Gillham, R.W.; Cherry, J.A.; Reardon, E.J. Reduction of Acid Generation in Mine Tailings Through the Use of Moisture-Retaining Cover Layers as Oxygen Barriers. Can. Geotech. J. 1989, 26, 1–8. [Google Scholar] [CrossRef]
- Akindunni, F.F.; Gillham, R.W.; Nicholson, R.V. Numerical Simulations to Investigate Moisture-Retention Characteristics in the Design of Oxygen-Limiting Covers for Reactive Mine Tailings. Can. Geotech. J. 1991, 28, 446–451. [Google Scholar] [CrossRef]
- Park, K.D.; Fleming, I.R. Evaluation of a geosynthetic capillary barrier. Geotext. Geomembr. 2006, 24, 64–71. [Google Scholar] [CrossRef]
- Bouazza, A.; Zornberg, J.; McCartney, J.S.; Singh, R.M. Unsaturated geotechnics applied to geoenvironmental engineering problems involving geosynthetics. Eng. Geol. 2013, 165, 143–153. [Google Scholar] [CrossRef]
- McCartney, J.S.; Zornberg, J.G. Effect of Wet-Dry Cycles on Capillary Break Formation in Geosynthetic Drainage Layers. In Proceedings of the Geosynthetics 2007 Conference, Washington, DC, USA, 16–19 January 2007; pp. 1–10. [Google Scholar]
- Iryo, T.; Rowe, R.K. On the hydraulic behavior of unsaturated nonwoven geotextiles. Geotext. Geomembr. 2003, 21, 381–404. [Google Scholar] [CrossRef]
- Iryo, T.; Rowe, R.K. Hydraulic behaviour of soil-geocomposite layers in slopes. Geosynth. Int. 2005, 12, 145–155. [Google Scholar] [CrossRef]
- Miszkowska, A.; Lenart, S.; Koda, E. Changes of Permeability of Nonwoven Geotextiles due to Clogging and Cyclic Water Flow in Laboratory Conditions. Water 2017, 9, 660. [Google Scholar] [CrossRef]
- Krisdani, H.; Rahardjo, H.; Leong, E.C. Application of geosynthetic material in capillary barriers for slope stabilisation. Geosynth. Int. 2010, 17, 323–331. [Google Scholar] [CrossRef]
- Li, X.P.; Chang, S.X.; Salifu, K.F. Soil texture and layering effects on water and salt dynamics in the presence of a water table: A review. Environ. Rev. 2014, 22, 41–50. [Google Scholar] [CrossRef]
- Lehmann, P.; Assouline, S.; Or, D. Characteristic lengths affecting evaporative drying of porous media. Phys. Rev. E 2008, 77, 16. [Google Scholar] [CrossRef] [PubMed]
- Steenhuis, T.S.; Hunt, A.G.; Parlange, J.Y.; Ewing, R.P. Assessment of the application of percolation theory to a water repellent soil. Aust. J. Soil Res. 2005, 43, 357–360. [Google Scholar] [CrossRef]
- Shokri, N.; Salvucci, G.D. Evaporation from Porous Media in the Presence of a Water Table. Vadose Zone J. 2011, 10, 1309–1318. [Google Scholar] [CrossRef]
- Lejcuś, K.; Dąbrowska, J.; Garlikowski, D.; Kordas, L. Water loss from soil and water absorbing geocomposite. IPCBEE 2015, 84, 123–127. [Google Scholar]
- Wróblewska, K.; Chohura, P.; Dębicz, R.; Lejcuś, K.; Dąbrowska, J. Water Absorbing Geocomposite: A Novel Method Improving Water and Fertilizer Efficiency in Brunnera macrophylla Cultivation. Part I. Plant Growth. Acta Sci. Pol. Hortorum Cultus 2018, 17, 49–56. [Google Scholar] [CrossRef]






| Parameter | Unit | Method | Soil Type | ||
|---|---|---|---|---|---|
| Coarse Sand (COS) | Loamy Sand (LS) | Sandy Loam (SL) | |||
| Silt | (%) | Classification acc. to USDA | 0.06 | 15 | 21 |
| Clay | (%) | 0.06 | 7 | 16 | |
| Sand | (%) | 98.67 | 78.2 | 59.48 | |
| pHKCl | (-) | PN-ISO 10390:1997(A) | 7.5 ± 0.3 | 7.4 ± 0.3 | 7.6 ± 0.3 |
| Salinity | (g∙kg−1 DM) | PBW – 11, PN-ISO 13878:2002 | 0.06 | 0.167 | 0.197 |
| Total Nitrogen (N) | (% DM) | PN-ISO 13878:2002 | 0.03 | 0.06 | 0.2 |
| Potassium (K) | (g∙kg−1 DM) | PBW – 11, PN-ISO 13878:2002 | 0.629 | 1.85 | 2.84 |
| Phosphorus (P) | (g∙kg−1 DM) | PBW – 11, PN-ISO 13878:2002 | 57.1 | 0.519 | 0.801 |
| Magnesium (Mg) | (g∙kg−1 DM) | PBW – 11, PN-ISO 13878:2002 | 0.343 | 1.84 | 2.75 |
| Electric Conductivity (EC) | (µS∙cm−1) | PN-ISO 11265+AC1:1997 | 30.0 | 123.0 | 429.0 |
| Soil organic carbon (SOC) | (%) | Thermal method | 0.36 | 2.86 | 8.66 |
| Bulk density | (g∙cm−3) | Weight method | 1.61 | 1.67 | 1.52 |
| Parameter | Characteristic |
|---|---|
| Chemical constitution | Cross linked copolymer of Acrylamide and Potassium Acrylate |
| Appearance | Dry: white powder Hydrated: transparent gel |
| Particle size | Powders, micro granules, granules |
| pH | 8.10 |
| Dry matter | 85–90% |
| Apparent density | 0.85 |
| Specific weight | 1.10 g∙cm−3 |
| Maximum water absorption (w/w) | 400 in deionized water and 150 in soil |
| Water retention capacity at pF1 | 980 mL∙L−1 |
| Water retention capacity at pF4.2 | 95% |
| Cationic Exchange Capacity (CEC) | 4.6 meq∙g−1 |
| Effectiveness in soil | Up to 5 years |
| Toxicity in soil | None under normal conditions of use |
© 2019 by the authors. Licensee MDPI, Basel, Switzerland. This article is an open access article distributed under the terms and conditions of the Creative Commons Attribution (CC BY) license (http://creativecommons.org/licenses/by/4.0/).
Share and Cite
Śpitalniak, M.; Lejcuś, K.; Dąbrowska, J.; Garlikowski, D.; Bogacz, A. The Influence of a Water Absorbing Geocomposite on Soil Water Retention and Soil Matric Potential. Water 2019, 11, 1731. https://doi.org/10.3390/w11081731
Śpitalniak M, Lejcuś K, Dąbrowska J, Garlikowski D, Bogacz A. The Influence of a Water Absorbing Geocomposite on Soil Water Retention and Soil Matric Potential. Water. 2019; 11(8):1731. https://doi.org/10.3390/w11081731
Chicago/Turabian StyleŚpitalniak, Michał, Krzysztof Lejcuś, Jolanta Dąbrowska, Daniel Garlikowski, and Adam Bogacz. 2019. "The Influence of a Water Absorbing Geocomposite on Soil Water Retention and Soil Matric Potential" Water 11, no. 8: 1731. https://doi.org/10.3390/w11081731
APA StyleŚpitalniak, M., Lejcuś, K., Dąbrowska, J., Garlikowski, D., & Bogacz, A. (2019). The Influence of a Water Absorbing Geocomposite on Soil Water Retention and Soil Matric Potential. Water, 11(8), 1731. https://doi.org/10.3390/w11081731

