Sustainable Water Resources Management in Small Greek Islands under Changing Climate
Abstract
1. Introduction
2. Materials and Methods
2.1. Study Area
2.2. WRM Scenarios and Design Parameters
2.2.1. RWH-C
2.2.2. WPROD
2.2.3. WPROD-RWH
2.2.4. WPROD-SWP
2.2.5. WPROD-RWH-SWP
2.3. Life Cycle Cost
2.4. Climate Change Scenarios
3. Results
3.1. Implementation of the Scenarios and Performance
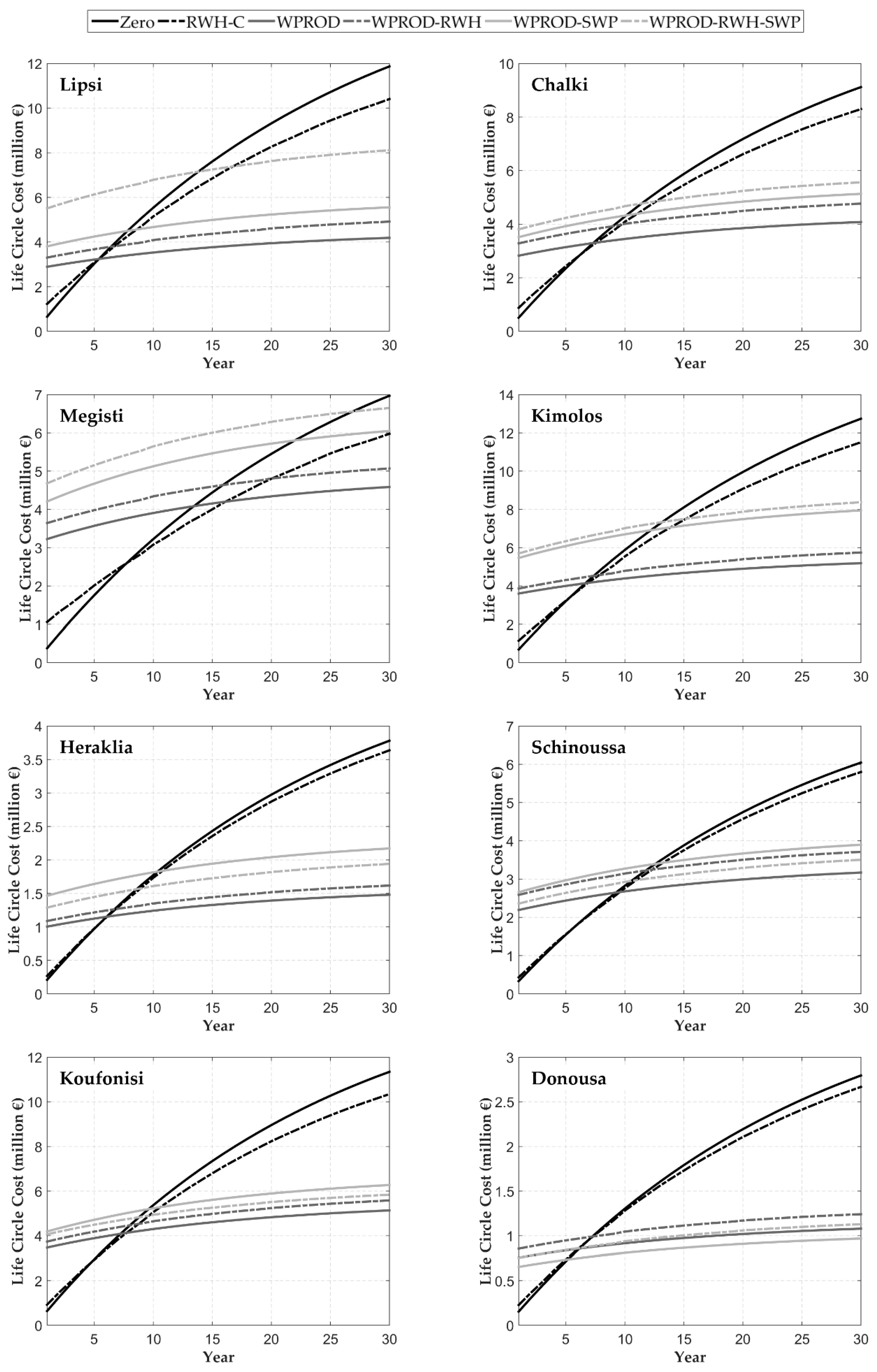
3.2. Economic Evaluation of the Scenarios
3.3. Scenarios Performance under Changing Climate
4. Discussion
5. Conclusions
Author Contributions
Funding
Acknowledgments
Conflicts of Interest
References
- WWAP (UNESCO World Water Assessment Programme). The United Nations World Water Development Report 2019: Leaving No One Behind; UNESCO: Paris, France, 2019; ISBN 978-92-3-100309-7. 2019; Available online: https://unesdoc.unesco.org/ark:/48223/pf0000367306 (accessed on 1 June 2019).
- Caldera, U.; Bogdanov, D.; Breyer, C. Local cost of seawater RO desalination based on solar PV and wind energy: A global estimate. Desalination 2016, 385, 207–216. [Google Scholar] [CrossRef]
- Goal 6. Sustainable Development Knowledge Platform. Available online: https://sustainabledevelopment.un.org/sdg6 (accessed on 21 June 2019).
- Jones, E.; Qadir, M.; van Vliet, M.T.; Smakhtin, V.; Kang, S. The state of desalination and brine production: A global outlook. Sci. Total Environ. 2018. [Google Scholar] [CrossRef] [PubMed]
- Gikas, P.; Tchobanoglous, G. Sustainable use of water in the Aegean Islands. J. Environ. Manag. 2009, 90, 2601–2611. [Google Scholar] [CrossRef] [PubMed]
- Londra, P.A.; Theocharis, A.T.; Baltas, E.; Tsihrintzis, V.A. Optimal sizing of rainwater harvesting tanks for domestic use in Greece. Water Resour. Manag. 2015, 29, 4357–4377. [Google Scholar] [CrossRef]
- Lopes, V.A.R.; Marques, G.F.; Dornelles, F.; Medellin-Azuara, J. Performance of rainwater harvesting systems under scenarios of non-potable water demand and roof area typologies using a stochastic approach. J. Clean. Prod. 2017, 148, 304–313. [Google Scholar] [CrossRef]
- Mimikou, M.A.; Baltas, E.A.; Tsihrintzis, V.A. Hydrology and Water Resource Systems Analysis; Taylor & Francis Group, CRC: Boca Raton, FL, USA, 2016; ISBN 978-1-4665-8130-2. [Google Scholar]
- Ghisi, E.; Bressan, D.L.; Martini, M. Rainwater tank capacity and potential for potable water savings by using rainwater in the residential sector of southeastern Brazil. Build. Environ. 2007, 42, 1654–1666. [Google Scholar] [CrossRef]
- Ward, S.; Memon, F.A.; Butler, D. Rainwater harvesting: Model-based design evaluation. Water Sci. Technol. 2010, 61, 85–96. [Google Scholar] [CrossRef]
- Abdulla, F.A.; Al-Shareef, A.W. Roof rainwater harvesting systems for household water supply in Jordan. Desalination 2009, 243, 195–207. [Google Scholar] [CrossRef]
- Muthukumaran, S.; Baskaran, K.; Sexton, N. Quantification of potable water savings by residential water conservation and reuse—A case study. Resour. Conserv. Recycl. 2011, 55, 945–952. [Google Scholar] [CrossRef]
- Palla, A.; Gnecco, I.; Lanza, L.G.; La Barbera, P. Performance analysis of domestic rainwater harvesting systems under various European climate zones. Resour. Conserv. Recy. 2012, 62, 71–80. [Google Scholar] [CrossRef]
- Jefferson, B.; Laine, A.; Parsons, S.; Stephenson, T.; Judd, S. Technologies for domestic wastewater recycling. Urban Water 2000, 1, 285–292. [Google Scholar] [CrossRef]
- Otterpohl, R.; Albold, A.; Oldenburg, M. Source control in urban sanitation and waste management: Ten systems with reuse of resources. Water Sci. Technol. 1999, 39, 153–160. [Google Scholar] [CrossRef]
- García-Montoya, M.; Bocanegra-Martínez, A.; Nápoles-Rivera, F.; Serna-González, M.; Ponce-Ortega, J.M.; El-Halwagi, M.M. Simultaneous design of water reusing and rainwater harvesting systems in a residential complex. Comput. Chem. Eng. 2015, 76, 104–116. [Google Scholar] [CrossRef]
- Dixon, A.; Butler, D.; Fewkes, A. Water saving potential of domestic water reuse systems using greywater and rainwater in combination. Water Sci. Technol. 1999, 39, 25–32. [Google Scholar] [CrossRef]
- Li, Z.; Boyle, F.; Reynolds, A. Rainwater harvesting and greywater treatment systems for domestic application in Ireland. Desalination 2010, 260, 1–8. [Google Scholar] [CrossRef]
- Mun, J.S.; Han, M.Y. Design and operational parameters of a rooftop rainwater harvesting system: Definition, sensitivity and verification. J. Environ. Manag. 2012, 93, 147–153. [Google Scholar] [CrossRef]
- Santos, C.; Taveira-Pinto, F. Analysis of different criteria to size rainwater storage tanks using detailed methods. Resour. Conserv. Recycl. 2013, 71, 1–6. [Google Scholar] [CrossRef]
- Devkota, J.; Schlachter, H.; Apul, D. Life cycle based evaluation of harvested rainwater use in toilets and for irrigation. J. Clean. Prod. 2015, 95, 311–321. [Google Scholar] [CrossRef]
- Pinto, F.S.; Marques, R.C. Desalination projects economic feasibility: A standardization of cost determinants. Renew. Sustain. Energy Rev. 2017, 78, 904–915. [Google Scholar] [CrossRef]
- Garcia-Rodriguez, L.; Romero-Ternero, V.; Gómez-Camacho, C. Economic analysis of wind-powered desalination. Desalination 2001, 1–3, 259–265. [Google Scholar] [CrossRef]
- Espino, T.; Peñate, B.; Piernavieja, G.; Herold, D.; Neskakis, A. Optimised desalination of seawater by a PV powered reverse osmosis plant for a decentralised coastal water supply. Desalination 2003, 156, 349–350. [Google Scholar] [CrossRef]
- García-Rodríguez, L. Renewable energy applications in desalination: State of the art. Sol. Energy 2003, 75, 381–393. [Google Scholar] [CrossRef]
- Alkaisi, A.; Mossad, R.; Sharifian-Barforoush, A. A Review of the Water Desalination Systems Integrated with Renewable Energy. Energy Procedia 2017, 110, 268–274. [Google Scholar] [CrossRef]
- Gude, G. Renewable Energy Powered Desalination Handbook: Application and Thermodynamics; Butterworth-Heinemann: Oxford, UK, 2018; ISBN 978-0-12-815428-1. [Google Scholar]
- Ghaffour, N.; Missimer, T.M.; Amy, G.L. Technical review and evaluation of the economics of water desalination: Current and future challenges for better water supply sustainability. Desalination 2013, 309, 197–207. [Google Scholar] [CrossRef]
- Bertsiou, M.; Feloni, E.G.; Baltas, E. Cost-benefit analysis for a Hybrid renewable energy system in Fournoi island. In Proceedings of the Sixth International Conference on Environmental Management, Engineering, Planning and Economics (CEMEPE) and to the SECOTOX Conference, Thessaloniki, Greece, 25–30 June 2017. [Google Scholar]
- Burn, S.; Hoang, M.; Zarzo, D.; Olewniak, F.; Campos, E.; Bolto, B.; Barron, O. Desalination techniques—A review of the opportunities for desalination in agriculture. Desalination 2015, 364, 2–16. [Google Scholar] [CrossRef]
- Zejli, D.; Benchrifa, R.; Bennouna, A.; Zazi, K. Economic analysis of wind-powered desalination in the south of Morocco. Desalination 2004, 165, 219–230. [Google Scholar] [CrossRef]
- Koroneos, C.; Dompros, A.; Roumbas, G. Renewable energy driven desalination systems modelling. J. Clean. Prod. 2007, 15, 449–464. [Google Scholar] [CrossRef]
- Gude, V.G.; Nirmalakhandan, N.; Deng, S. Renewable and sustainable approaches for desalination. Renew. Sustain. Energy Rev. 2010, 14, 2641–2654. [Google Scholar] [CrossRef]
- Novosel, T.; Ćosić, B.; Pukšec, T.; Krajačić, G.; Duić, N.; Mathiesen, B.V.; Lund, H.; Mustafa, M. Integration of renewables and reverse osmosis desalination–Case study for the Jordanian energy system with a high share of wind and photovoltaics. Energy 2015, 92, 270–278. [Google Scholar] [CrossRef]
- García Latorre, F.J.; Pérez Báez, S.O.; Gómez Gotor, A. Energy performance of a reverse osmosis desalination plant operating with variable pressure and flow. Desalination 2015, 366, 146–153. [Google Scholar] [CrossRef]
- Shatat, M.; Worall, M.; Riffat, S. Opportunities for solar water desalination worldwide: Review. Sustain. Cities Soc. 2013, 9, 67–80. [Google Scholar] [CrossRef]
- Ma, Q.; Lu, H. Wind energy technologies integrated with desalination systems: Review and state-of-the-art. Desalination 2011, 277, 274–280. [Google Scholar] [CrossRef]
- OES Annual Report 2017|OES–Ocean Energy Systems. 2017. Available online: https://report2017.ocean-energy-systems.org/ (accessed on 21 July 2019).
- Leijon, J.; Boström, C. Freshwater production from the motion of ocean waves—A review. Desalination 2018, 435, 161–171. [Google Scholar] [CrossRef]
- Corsini, A.; Tortora, E.; Cima, E. Preliminary Assessment of Wave Energy Use in an Off-grid Minor Island Desalination Plant. Energy Procedia 2015, 82, 789–796. [Google Scholar] [CrossRef]
- Pina, A.; Ioakimidis, C.S.; Ferrao, P. Economic modeling of a seawater pumped-storage system in the context of São Miguel. In Proceedings of the 2008 IEEE International Conference on Sustainable Energy Technologies, Singapore, 24–27 November 2008; pp. 707–712. [Google Scholar]
- McLean, E.; Kearney, D. An Evaluation of Seawater Pumped Hydro Storage for Regulating the Export of Renewable Energy to the National Grid. Energy Procedia 2014, 46, 152–160. [Google Scholar] [CrossRef]
- Katsaprakakis, D.A.; Christakis, D.G.; Stefanakis, I.; Spanos, P.; Stefanakis, N. Technical details regarding the design, the construction and the operation of seawater pumped storage systems. Energy 2013, 55, 619–630. [Google Scholar] [CrossRef]
- Katsaprakakis, D.A.; Christakis, D.G. Seawater pumped storage systems and offshore wind parks in islands with low onshore wind potential. A fundamental case study. Energy 2014, 66, 470–486. [Google Scholar] [CrossRef]
- Ioakimidis, C.S.; Genikomsakis, K.N. Introduction of Plug-in Hybrid Electric Vehicles in an Isolated Island System: Advances in Building Energy Research: Volume 12, No 1. Available online: https://www.tandfonline.com/doi/full/10.1080/17512549.2017.1314833?scroll=top&needAccess=true (accessed on 22 June 2019).
- Hessami, M.A.; Bowly, D.R. Economic feasibility and optimisation of an energy storage system for Portland Wind Farm (Victoria, Australia). Appl. Energy 2011, 88, 2755–2763. [Google Scholar] [CrossRef]
- Segurado, R.; Madeira, J.F.A.; Costa, M.; Duić, N.; Carvalho, M.G. Optimization of a wind powered desalination and pumped hydro storage system. Appl. Energy 2016, 177, 487–499. [Google Scholar] [CrossRef]
- Hellenic Statistical Authority (ELSTAT). Available online: http://www.statistics.gr/ (accessed on 22 June 2019).
- Jenkins, D.; Pearson, F. Feasibility of Rainwater Collection Systems in California; California University: Oakland, CA, USA, 1978. [Google Scholar]
- Domènech, L.; Saurí, D. A comparative appraisal of the use of rainwater harvesting in single and multi-family buildings of the Metropolitan Area of Barcelona (Spain): Social experience, drinking water savings and economic costs. J. Clean. Prod. 2011, 19, 598–608. [Google Scholar] [CrossRef]
- Gluch, P.; Baumann, H. The life cycle costing (LCC) approach: A conceptual discussion of its usefulness for environmental decision-making. Build. Environ. 2004, 39, 571–580. [Google Scholar] [CrossRef]
- Tam, V.W.Y.; Tam, L.; Zeng, S.X. Cost effectiveness and tradeoff on the use of rainwater tank: An empirical study in Australian residential decision-making. Resour. Conserv. Recycl. 2010, 54, 178–186. [Google Scholar] [CrossRef]
- Koumoura, K.A.; Feloni, E.G.; Londra, P.A.; Baltas, E.A.; Tsihrintzis, V.A. Uncertainty analysis in sizing rainwater harvesting tanks in an isolated island with limited water resources. Glob. NEST J. 2018, 20, 534–540. [Google Scholar]
- Agence internationale de l’énergie; Organisation de coopération et de développement économiques. Energy Technology Perspectives: Scenarios & Strategies to 2050: In Support of the G8 Plan of Action; OECD/IEA: Paris, France, 2006; ISBN 978-92-64-10982-7. [Google Scholar]
- Intergovernmental Panel on Climate Change (IPCC). Climate Change 2013: The Physical Science Basis, Contribution of Working Group I to the Fifth Assessment Report of the Intergovernmental Panel on Climate Change; Cambridge University Press: Cambridge, UK, 2013. [Google Scholar]
- RBMP-GR14. River Basin Management Plan for River Basin District GR14–Aegean Islands, Greece. Report In Greek. Approved in 2015 according to the requirements of the Framework Directive 2000/60/EC. 2015. Available online: http://wfdver.ypeka.gr/el/project/gr14-00-approved-legislation-fek-gr/ (accessed on 28 July 2018).
- Zhang, Y.; Chen, D.; Chen, L.; Ashbolt, S. Potential for rainwater use in high-rise buildings in Australian cities. J. Environ. Manag. 2009, 91, 222–226. [Google Scholar] [CrossRef] [PubMed]
- Voivontas, D.; Arampatzis, G.; Manoli, E.; Karavitis, C.; Assimacopoulos, D. Water supply modeling towards sustainable environmental management in small islands: The case of Paros, Greece. Desalination 2003, 156, 127–135. [Google Scholar] [CrossRef]
- Raluy, R.G.; Serra, L.; Uche, J.; Valero, A. Life-cycle assessment of desalination technologies integrated with energy production systems. Desalination 2004, 167, 445–458. [Google Scholar] [CrossRef]
- Kaldellis, J.K.; Kavadias, K.A.; Kondili, E. Energy and clean water coproduction in remote islands to face the intermittent character of wind energy. Int. J. Glob. Energy Issues 2006, 25, 298–312. [Google Scholar] [CrossRef]
- Shahabi, M.P.; McHugh, A.; Anda, M.; Ho, G. Environmental life cycle assessment of seawater reverse osmosis desalination plant powered by renewable energy. Renew. Energy 2014, 67, 53–58. [Google Scholar] [CrossRef]
- Jia, X.; Klemeš, J.J.; Varbanov, P.S.; Wan Alwi, S.R. Analyzing the Energy Consumption, GHG Emission, and Cost of Seawater Desalination in China. Energies 2019, 12, 463. [Google Scholar] [CrossRef]
- Voivontas, D.; Misirlis, K.; Manoli, E.; Arampatzis, G.; Assimacopoulos, D. A tool for the design of desalination plants powered by renewable energies. Desalination 2001, 133, 175–198. [Google Scholar] [CrossRef]
- Kaldellis, J.K.; Kondili, E.M. The water shortage problem in the Aegean archipelago islands: Cost-effective desalination prospects. Desalination 2007, 216, 123–138. [Google Scholar] [CrossRef]






| Island | Fresh Water Quantity Imported Per Year (m3/yr) | ||||
|---|---|---|---|---|---|
| 2010 | 2011 | 2012 | 2013 | 2014 | |
| Lipsi | 55,992 | 53,934 | 69,669 | 53,707 | 16,641 |
| Chalki | 54,381 | 48,555 | 47,711 | 48,560 | 2816 |
| Megisti | 37,688 | 15,444 | 24,647 | 36,347 | 23,992 |
| Kimolos | 46,488 | 46,602 | 48,107 | 52,027 | 55,340 |
| Heraklia | 16,190 | 16,839 | 17,245 | 17,298 | 14,714 |
| Schinoussa | 28,766 | 27,054 | 17,394 | 35,309 | 19,938 |
| Koufonisi | 49,372 | 51,614 | 53,101 | 56,461 | 51,117 |
| Donousa | 15,383 | 11,781 | 8296 | 12,602 | 10,386 |
| Name of the Island | Lat. | Lon. | Area (km2) | Elevation (m) | Population (2011 Census) | Mean Annual Precipitation (mm) | Average Quantity of Water Being Transported (m3) |
|---|---|---|---|---|---|---|---|
| Dodecanese complex | |||||||
| Lipsi | 37.301 | 26.681 | 15.84 | 277 | 790 | 576 | 49,989 |
| Chalki | 36.222 | 27.602 | 26.99 | 593 | 478 | 889 | 40,405 |
| Megisti | 36.150 | 29.584 | 9.11 | 273 | 492 | 858 | 27,624 |
| Cyclades complex | |||||||
| Kimolos | 36.793 | 24.556 | 37.43 | 364 | 910 | 439 | 49,713 |
| Heraklia | 36.845 | 25.378 | 18.08 | 419 | 141 | 445 | 16,457 |
| Schinoussa | 36.871 | 25.506 | 8.14 | 133 | 227 | 448 | 25,692 |
| Koufonisi | 36.934 | 25.570 | 5.77 | 107 | 391 | 452 | 52,333 |
| Donoussa | 37.100 | 25.786 | 13.65 | 385 | 167 | 483 | 11,690 |
| Investment | Category | Price/Value | Units | Reference |
|---|---|---|---|---|
| RWH | Tank (10–30 m3) | 1320–4050 | € | Market prices (as a function of the tank size) |
| Pump | 200 | € | [53] | |
| Water distribution system | 170 | € | ||
| Filters | 160 | € | ||
| First Flushing Separator | 100 | € | ||
| Backflow prevention device | 120 | € | ||
| Operation and maintenance | 0.05 | €/m3 | [52] | |
| Additional Maintenance | 20 | €/yr | ||
| Pump replacement | 10 | yrs | - | |
| Discount rate | 6 | % | - | |
| RO Desalination plant | Investment | 900–2500 (2500) | €/m3/d | [23,26] |
| Operation and maintenance | 4% of investment | € | [2] | |
| Discount rate | 6 | % | - | |
| Taxes | 24 | % | - | |
| Wind Turbines | Investment | 800–1500 (800) | €/kW | [2,54] |
| Operation and maintenance | 2% of investment | € | ||
| Discount rate | 6 | % | - | |
| Taxes | 24 | % | - | |
| SWP | Investment | 500–2000 (1100) | €/kW | [42,45] |
| Operation and maintenance | 2% of investment | € | ||
| Discount rate | 6 | % | - | |
| Taxes | 24 | % | - |
| Regional Climate Model | Global Climate Model | Timeseries for RCP4.5 | Timeseries for RCP8.5 |
|---|---|---|---|
| CLMcom-CCLM4-8-17 | CNRM-CERFACS-CNRM-CM5 | 1.CC1 | 1.CC2 |
| CLMcom-CCLM4-8-17 | MOHC-HadGEM2-ES | 2.CC1 | 2.CC2 |
| CLMcom-CCLM4-8-17 | MPI-M-MPI-ESM-LR | 3.CC1 | 3.CC2 |
| MPI-CSC-REMO2009 | MPI-M-MPI-ESM-LR | 4.CC1 | 4.CC2 |
| SMHI-RCA4 | CNRM-CERFACS-CNRM-CM5 | 5.CC1 | 5.CC2 |
| SMHI-RCA4 | MOHC-HadGEM2-ES | 6.CC1 | 6.CC2 |
| Scenario | Zero | RWH-C | WPROD | WPROD-SWP | WPROD-RWH | WPROD-RWH-SWP | |||||
|---|---|---|---|---|---|---|---|---|---|---|---|
| Water Saved Per Year (%/cap) | Optimal Tank Volume (m3) | Number of Wind Turbine(s) | Desalination Capacity (m3/d) | Reservoir Volume (m3) | Number of Wind Turbine(s) | Number of Wind Turbine(s) | Desalination Capacity (m3/d) | Reservoir Volume (m3) | Number of Wind Turbine(s) | ||
| Lipsi | Fresh water importation (mainly) & Local Resources (secondarily) | 22.5 | 6–13 | 3 (800 kW) | 560 | 15,000 | 2 (800 kW) | 2 (800 kW) | 555 | 30,000 | 1 (800 kW) |
| Chalki | 21.8 | 6–13 | 3 (800 kW) | 530 | 12,500 | 2 (800 kW) | 3 (800 kW) | 520 | 6500 | 2 (800 kW) | |
| Megisti | 28.7 | 13–25 | 5 (800 kW) | 380 | 25,000 | 2 (800 kW) | 4 (800 kW) | 370 | 18,000 | 2 (800 kW) | |
| Kimolos | 16.7 | 4–11 | 4 (800 kW) | 680 | 27,500 | 2 (800 kW) | 3 (800 kW) | 675 | 22,700 | 2 (800 kW) | |
| Heraklia | 13.5 | 3–10 | 2 (300 kW) | 235 | 7000 | 1 (300 kW) | 2 (300 kW) | 234 | 4000 | 1 (300 kW) | |
| Schinoussa | 14.1 | 3–10 | 2 (800 kW) | 440 | 8000 | 1 (800 kW) | 2 (800 kW) | 435 | 3000 | 1 (800 kW) | |
| Koufonisi | 27.6 | 8–14 | 3 (800 kW) | 780 | 12,750 | 2 (800 kW) | 2 (800 kW) | 775 | 7000 | 2 (800 kW) | |
| Donoussa | 11.6 | 4–8 | 2 (300 kW) | 140 | 500 | 1 (300 kW) | 2 (300 kW) | 138 | 500 | 1 (300 kW) | |
| Scenarios/Islands | WPROD | WPROD-RWH | WPROD-SWP | WPROD-RWH-SWP | RWH-C | Zero |
|---|---|---|---|---|---|---|
| Lipsi | 139,577 | 163,810 | 185,196 | 270,449 | 346,895 | 395,649 |
| Megisti | 152,889 | 169,005 | 201,708 | 221,661 | 199,232 | 232,366 |
| Chalki | 136,044 | 158,900 | 171,126 | 185,443 | 276,600 | 303,945 |
| Koufonisi | 171,210 | 186,076 | 209,143 | 194,634 | 344,923 | 378,133 |
| Kimolos | 173,041 | 191,557 | 264,975 | 279,189 | 386,687 | 424,695 |
| Heraklia | 49,359 | 53,911 | 72,399 | 64,706 | 121,244 | 126,027 |
| Schinoussa | 105,672 | 123,733 | 129,925 | 116,819 | 193,294 | 201,489 |
| Donousa | 35,980 | 41,391 | 32,294 | 37,658 | 88,909 | 93,168 |
© 2019 by the authors. Licensee MDPI, Basel, Switzerland. This article is an open access article distributed under the terms and conditions of the Creative Commons Attribution (CC BY) license (http://creativecommons.org/licenses/by/4.0/).
Share and Cite
Kourtis, I.M.; Kotsifakis, K.G.; Feloni, E.G.; Baltas, E.A. Sustainable Water Resources Management in Small Greek Islands under Changing Climate. Water 2019, 11, 1694. https://doi.org/10.3390/w11081694
Kourtis IM, Kotsifakis KG, Feloni EG, Baltas EA. Sustainable Water Resources Management in Small Greek Islands under Changing Climate. Water. 2019; 11(8):1694. https://doi.org/10.3390/w11081694
Chicago/Turabian StyleKourtis, Ioannis M., Konstantinos G. Kotsifakis, Elissavet G. Feloni, and Evangelos A. Baltas. 2019. "Sustainable Water Resources Management in Small Greek Islands under Changing Climate" Water 11, no. 8: 1694. https://doi.org/10.3390/w11081694
APA StyleKourtis, I. M., Kotsifakis, K. G., Feloni, E. G., & Baltas, E. A. (2019). Sustainable Water Resources Management in Small Greek Islands under Changing Climate. Water, 11(8), 1694. https://doi.org/10.3390/w11081694

