Use of Visible Light Modulation Techniques in Urea Photocatalytic Degradation
Abstract
:1. Introduction
- flexibility (able to remove from water a wide range of hazardous contaminants such as pesticides, herbicides, detergents, viruses, coliforms, and spores);
- cheapness (it does not require regeneration processes, and it is able to operate at ambient temperature and atmospheric pressure); and
- absence of waste (the pollutant is mineralized to CO2 and H2O and not transferred into another phase) [13].
2. Materials and Methods
2.1. Preparation of the Structured Photocatalyst (N-TiO2/PS)
2.2. Experimental Setup for Photocatalytic Tests
2.3. Analytical Procedures
3. Results and Discussion
3.1. Control Experiments: Photolysis under Visible Light Irradiation
3.2. Effect of the Treated Solution Volume
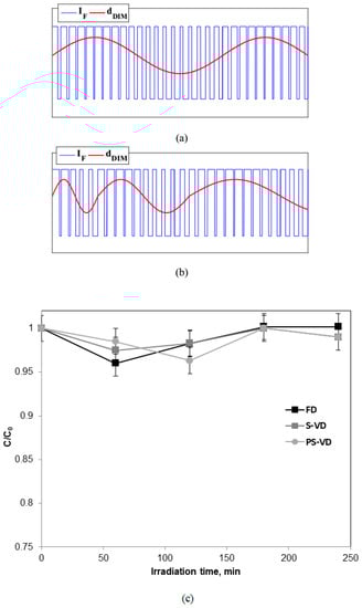
3.3. Influence of Visible LED Modulation
3.4. Influence of Water Matrix
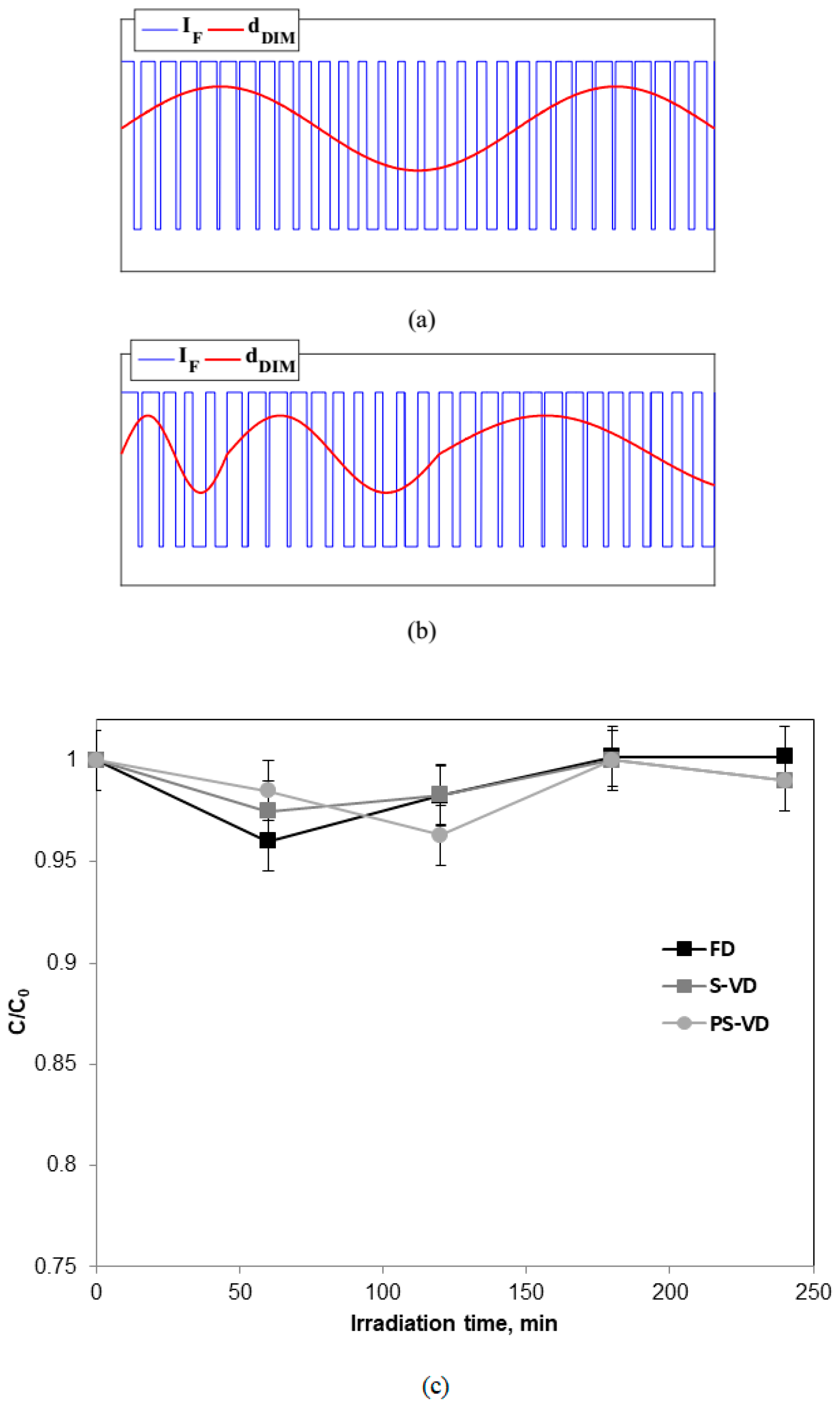
3.5. Stability Experiments on the N-TiO2/PS Photocatalyst
3.6. Influence of Visible Light Modulation Techniques on Urea Photocatalytic Degradation Pathways
4. Conclusions
Author Contributions
Funding
Acknowledgments
Conflicts of Interest
References
- Bremner, J.M. Recent research on problems in the use of urea as a nitrogen fertilizer. Fert. Res. 1995, 42, 321–329. [Google Scholar] [CrossRef]
- Park, S.; Lee, J.T.; Kim, J. Photocatalytic oxidation of urea on TiO2 in water and urine: Mechanism, product distribution, and effect of surface platinization. Environ. Sci. Pollut. Res. 2019, 26, 1044–1053. [Google Scholar] [CrossRef] [PubMed]
- Glibert, P.M.; Harrison, J.; Heil, C.; Seitzinger, S. Escalating worldwide use of urea—A global change contributing to coastal eutrophication. Biogeochemistry 2006, 77, 441–463. [Google Scholar] [CrossRef]
- Shu, X.; Morse, A.; Jackson, A.; Wiesner, T.F. Simulation of a Closed Loop Wastewater Treatment System for Extended Space Flight. In Proceedings of the 2008 3rd IEEE Conference on Industrial Electronics and Applications, Singapore, 3–5 June 2008; pp. 1252–1257. [Google Scholar]
- Antoniou, M.G.; Dionysiou, D.D. Application of immobilized titanium dioxide photocatalysts for the degradation of creatinine and phenol, model organic contaminants found in nasa’s spacecrafts wastewater streams. Catal. Today 2007, 124, 215–223. [Google Scholar] [CrossRef]
- Liu, X.; Chen, M.; Bian, Z.; Liu, C.-C. Studies on urine treatment by biological purification using azolla and uv photocatalytic oxidation. Adv. Space Res. 2008, 41, 783–786. [Google Scholar] [CrossRef]
- Nicolau, E.; González-González, I.; Flynn, M.; Griebenow, K.; Cabrera, C. Bioelectrochemical degradation of urea at platinized boron doped diamond electrodes for bioregenerative systems. Adv. Space Res. 2009, 44, 965–970. [Google Scholar] [CrossRef]
- Cartinella, J.L.; Cath, T.Y.; Flynn, M.T.; Miller, G.C.; Hunter, K.W.; Childress, A.E. Removal of natural steroid hormones from wastewater using membrane contactor processes. Environ. Sci. Technol. 2006, 40, 7381–7386. [Google Scholar] [CrossRef]
- Luo, C.-S.; Chen, W.-W.; Han, W.-F. Experimental study on factors affecting the quality of ice crystal during the freezing concentration for the brackish water. Desalination 2010, 260, 231–238. [Google Scholar] [CrossRef]
- Höglund, C.; Stenström, T.A.; Jönsson, H.; Sundin, A. Evaluation of faecal contamination and microbial die-off in urine separating sewage systems. Water Sci. Technol. 1998, 38, 17–25. [Google Scholar] [CrossRef]
- Zhao, Z.-P.; Xu, L.; Shang, X.; Chen, K. Water regeneration from human urine by vacuum membrane distillation and analysis of membrane fouling characteristics. Sep. Purif. Technol. 2013, 118, 369–376. [Google Scholar] [CrossRef]
- Maurer, M.; Pronk, W.; Larsen, T.A. Treatment processes for source-separated urine. Water Res. 2006, 40, 3151–3166. [Google Scholar] [CrossRef]
- Hennig, H.; Billing, R. Advantages and disadvantages of photocatalysis induced by light-sensitive coordination compounds. Coord. Chem. Rev. 1993, 125, 89–100. [Google Scholar] [CrossRef]
- Pelizzetti, E.; Calza, P.; Mariella, G.; Maurino, V.; Minero, C.; Hidaka, H. Different photocatalytic fate of amido nitrogen in formamide and urea. Chem. Commun. 2004, 13, 1504–1505. [Google Scholar] [CrossRef]
- Di Capua, G.; Femia, N.; Migliaro, M.; Sacco, O.; Sannino, D.; Stoyka, K.; Vaiano, V. Intensification of a flat-plate photocatalytic reactor performances by innovative visible light modulation techniques: A proof of concept. Chem. Eng. Process. Process Intensif. 2017, 118, 117–123. [Google Scholar] [CrossRef]
- Vaiano, V.; Sacco, O.; Sannino, D.; Di Capua, G.; Femia, N. Enhanced performances of a photocatalytic reactor for wastewater treatment using controlled modulation of leds light. Chem. Eng. Trans. 2017, 57, 553–558. [Google Scholar]
- Sacco, O.; Stoller, M.; Vaiano, V.; Ciambelli, P.; Chianese, A.; Sannino, D. Photocatalytic degradation of organic dyes under visible light on N-doped TiO2 photocatalysts. Int. J. Photoenergy 2012. [Google Scholar] [CrossRef]
- Vaiano, V.; Sacco, O.; Sannino, D.; Ciambelli, P. Photocatalytic removal of spiramycin from wastewater under visible light with N-doped TiO2 photocatalysts. Chem. Eng. J. 2015, 261, 3–8. [Google Scholar] [CrossRef]
- Sacco, O.; Vaiano, V.; Han, C.; Sannino, D.; Dionysiou, D.D. Photocatalytic removal of atrazine using N-doped TiO2 supported on phosphors. Appl. Catal. B Environ. 2015, 164, 462–474. [Google Scholar] [CrossRef]
- Sacco, O.; Vaiano, V.; Rizzo, L.; Sannino, D. Photocatalytic activity of a visible light active structured photocatalyst developed for municipal wastewater treatment. J. Clean. Prod. 2018, 175, 38–49. [Google Scholar] [CrossRef]
- Vaiano, V.; Matarangolo, M.; Sacco, O. UV-leds floating-bed photoreactor for the removal of caffeine and paracetamol using ZnO supported on polystyrene pellets. Chem. Eng. J. 2018, 350, 703–713. [Google Scholar] [CrossRef]
- Vaiano, V.; Sacco, O.; Pisano, D.; Sannino, D.; Ciambelli, P. From the design to the development of a continuous fixed bed photoreactor for photocatalytic degradation of organic pollutants in wastewater. Chem. Eng. Sci. 2015, 137, 152–160. [Google Scholar] [CrossRef]
- Bojic, J.; Radovanović, B.; Dimitrijevic, J. Spectrophotometric determination of urea in dermatologic formulations and cosmetics. Anal. Sci. 2008, 24, 769–774. [Google Scholar] [CrossRef]
- Sleiman, M.; Vildozo, D.; Ferronato, C.; Chovelon, J.-M. Photocatalytic degradation of azo dye metanil yellow: Optimization and kinetic modeling using a chemometric approach. Appl. Catal. B Environ. 2007, 77, 1–11. [Google Scholar] [CrossRef]
- Herrmann, J.M. Heterogeneous photocatalysis: State of the art and present applications. Top. Catal. 2005, 34, 49–65. [Google Scholar] [CrossRef]
- Gerischer, H.; Heller, A. Photocatalytic oxidation of organic molecules at titanium dioxide particles by sunlight in aerated water. J. Electrochem. Soc. 1992, 139, 113–118. [Google Scholar] [CrossRef]
- Krivec, M.; Dillert, R.; Bahnemann, D.W.; Mehle, A.; Štrancar, J.; Dražić, G. The nature of chlorine-inhibition of photocatalytic degradation of dichloroacetic acid in a TiO2-based microreactor. Phys. Chem. Chem. Phys. 2014, 16, 14867–14873. [Google Scholar] [CrossRef]
- Kudlek, E.; Dudziak, M.; Bohdziewicz, J. Influence of inorganic ions and organic substances on the degradation of pharmaceutical compound in water matrix. Water 2016, 8, 532. [Google Scholar] [CrossRef]
- Augugliaro, V.; Bellardita, M.; Loddo, V.; Palmisano, G.; Palmisano, L.; Yurdakal, S. Overview on oxidation mechanisms of organic compounds by TiO2 in heterogeneous photocatalysis. J. Photochem. Photobiol. C Photochem. Rev. 2012, 13, 224–245. [Google Scholar] [CrossRef]
- Surolia, P.K.; Tayade, R.J.; Jasra, R.V. Effect of anions on the photocatalytic activity of fe(iii) salts impregnated TiO2. Ind. Eng. Chem. Res. 2007, 46, 6196–6203. [Google Scholar] [CrossRef]
- Minero, C.; Mariella, G.; Maurino, V.; Vione, D.; Pelizzetti, E. Photocatalytic transformation of organic compounds in the presence of inorganic ions. 2. Competitive reactions of phenol and alcohols on a titanium dioxide−fluoride system. Langmuir 2000, 16, 8964–8972. [Google Scholar] [CrossRef]
- Calza, P.; Pelizzetti, E.; Minero, C. The fate of organic nitrogen in photocatalysis: An overview. J. Appl. Electrochem. 2005, 35, 665–673. [Google Scholar] [CrossRef]
- Kumar, K.; Chowdhury, A. Use of novel nanostructured photocatalysts for the environmental sustainability of wastewater treatments. In Reference Module in Materials Science and Materials Engineering; ResecarchGate: Berlin, Germany, 2018. [Google Scholar] [CrossRef]
- Valera-Medina, A.; Morris, S.; Runyon, J.; Pugh, D.G.; Marsh, R.; Beasley, P.; Hughes, T. Ammonia, methane and hydrogen for gas turbines. Energy Procedia 2015, 75, 118–123. [Google Scholar] [CrossRef]
- Comotti, M.; Frigo, S. Hydrogen generation system for ammonia–hydrogen fuelled internal combustion engines. Int. J. Hydrogen Energy 2015, 40, 10673–10686. [Google Scholar] [CrossRef]
- Makepeace, J.W.; He, T.; Weidenthaler, C.; Jensen, T.R.; Chang, F.; Vegge, T.; Ngene, P.; Kojima, Y.; de Jongh, P.E.; Chen, P.; et al. Reversible ammonia-based and liquid organic hydrogen carriers for high-density hydrogen storage: Recent progress. Int. J. Hydrogen Energy 2019, 44, 7746–7767. [Google Scholar] [CrossRef]
- Nicolau, E.; Fonseca, J.J.; Rodriguez-Martinez, J.; Richardson, J.; Flynn, M.; Griebenow, K.; Cabrera, C. Evaluation of a urea bioelectrochemical system for wastewater treatment processes. ACS Sustain. Chem. Eng. 2014, 2, 749–754. [Google Scholar] [CrossRef]
- Hellström, D.; Johansson, E.; Grennberg, K. Storage of human urine: Acidification as a method to inhibit decomposition of urea. Ecol. Eng. 1999, 12, 253–269. [Google Scholar] [CrossRef]
- Udert, K.; Larsen, T.; Gujer, W. Biologically induced precipitation in urine-collecting systems. Water Supply 2003, 3, 71–78. [Google Scholar] [CrossRef]
- Oller, I.; Malato, S.; Sánchez-Pérez, J.A. Combination of advanced oxidation processes and biological treatments for wastewater decontamination—A review. Sci. Total Environ. 2011, 409, 4141–4166. [Google Scholar] [CrossRef]







| Chemical Name | Chemical Formula | DOSE (g/L) |
|---|---|---|
| Urea | NH2CONH2 | 25 |
| Potassium phosphate monobasic | KH2PO4 | 4.2 |
| Sodium sulfate | Na2SO4 | 2.3 |
| Potassium chloride | KCl | 1.6 |
| Ammonium chloride | NH4Cl | 1 |
| Magnesium chloride hexahydrate | MgCl2•6H2O | 0.650 |
| Sodium chloride | NaCl | 4.6 |
| Calcium chloride dihydrate | CaCl2•2H2O | 0.650 |
| TEST | Urea (mmol/L) | NH4+ (mmol/L) | NO3− (mmol/L) |
|---|---|---|---|
| (a) FD | 0.132 | 0.5 | 0.0273 |
| (b) S-VD | 0 | 0.2588 | 0.0379 |
| (c) PS-VD | 0 | 0.5647 | 0.0401 |
| TEST | Urea (mmol/L) | NH4+ (mmol/L) | NO3− (mmol/L) |
|---|---|---|---|
| (a) FD | 350 | 80.121 | 0.722 |
| (b) S-VD | 280 | 178.232 | 1.012 |
| (c) PS-VD | 241 | 280.321 | 1.212 |
© 2019 by the authors. Licensee MDPI, Basel, Switzerland. This article is an open access article distributed under the terms and conditions of the Creative Commons Attribution (CC BY) license (http://creativecommons.org/licenses/by/4.0/).
Share and Cite
Vaiano, V.; Sacco, O.; Di Capua, G.; Femia, N.; Sannino, D. Use of Visible Light Modulation Techniques in Urea Photocatalytic Degradation. Water 2019, 11, 1642. https://doi.org/10.3390/w11081642
Vaiano V, Sacco O, Di Capua G, Femia N, Sannino D. Use of Visible Light Modulation Techniques in Urea Photocatalytic Degradation. Water. 2019; 11(8):1642. https://doi.org/10.3390/w11081642
Chicago/Turabian StyleVaiano, Vincenzo, Olga Sacco, Giulia Di Capua, Nicola Femia, and Diana Sannino. 2019. "Use of Visible Light Modulation Techniques in Urea Photocatalytic Degradation" Water 11, no. 8: 1642. https://doi.org/10.3390/w11081642
APA StyleVaiano, V., Sacco, O., Di Capua, G., Femia, N., & Sannino, D. (2019). Use of Visible Light Modulation Techniques in Urea Photocatalytic Degradation. Water, 11(8), 1642. https://doi.org/10.3390/w11081642

