Estimation of Base Flow by Optimal Hydrograph Separation for the Conterminous United States and Implications for National-Extent Hydrologic Models
Abstract
1. Introduction
2. Materials and Methods
2.1. Site Selection
2.2. Optimal Hydrograph Separation
2.3. NHM-PRMS
2.4. Comparison of OHS and NHM-PRMS Base Flow
3. Results
3.1. OHS Output: General Overview
3.2. OHS and NHM-PRMS Outputs: Comparison
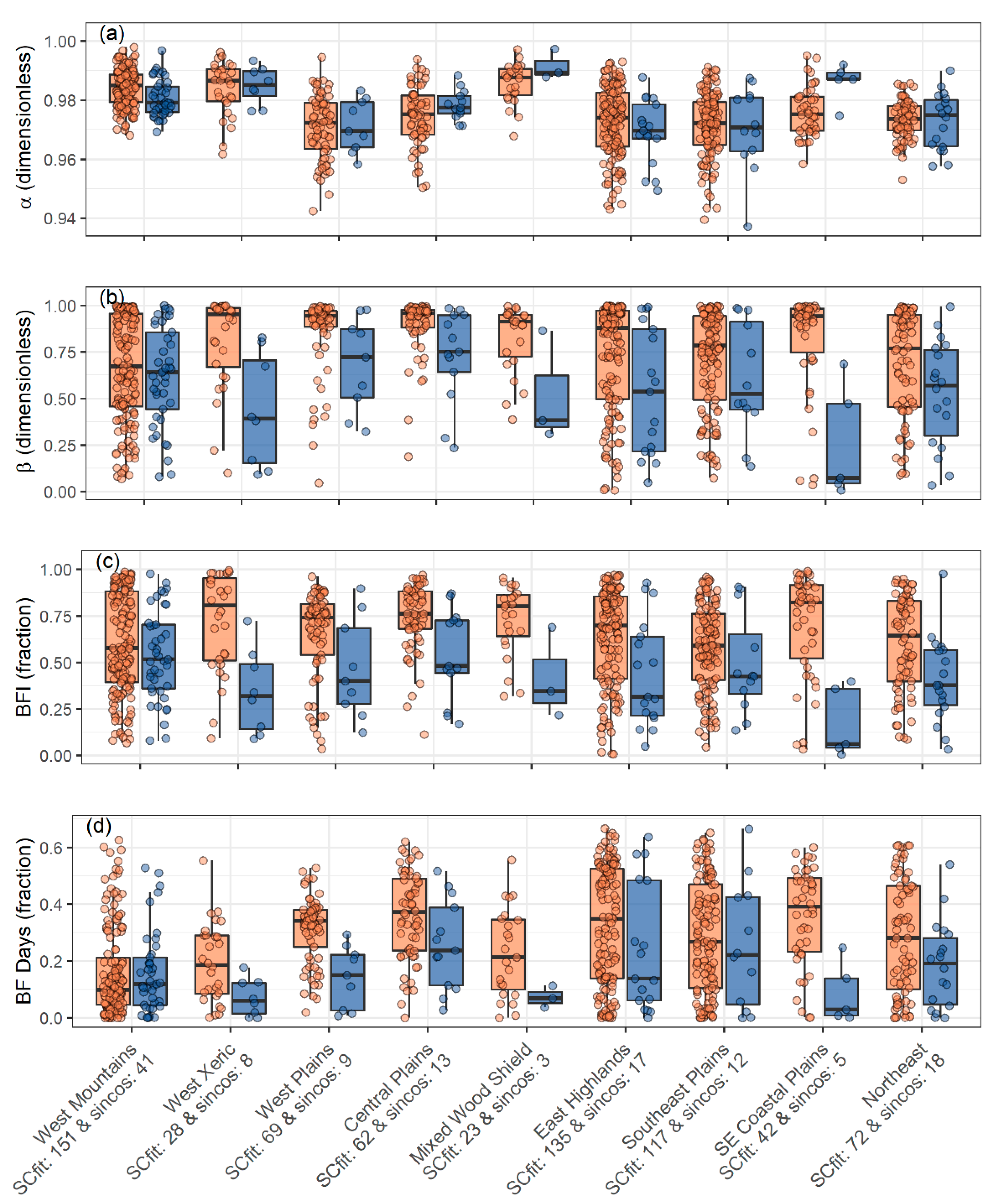
3.2.1. Comparisons by Aggregated Ecoregion
3.2.2. Comparisons by Aquifer Rock Type
4. Discussion
4.1. OHS Performance across the CONUS
4.2. OHS Comparison to the NHM-PRMS
4.3. Use of OHS as a Calibration Tool
4.4. Limitations of OHS & NHM-PRMS
4.5. Future Directions
5. Conclusions
Supplementary Materials
Author Contributions
Funding
Acknowledgments
Conflicts of Interest
References
- Price, K. Effects of watershed topography, soils, land use, and climate on baseflow hydrology in humid regions: A review. Prog. Phys. Geogr. Earth Environ. 2011, 35, 465–492. [Google Scholar] [CrossRef]
- Hall, F.R. Base flow recessions—A review. Water Resour. Res. 1968, 4, 973–983. [Google Scholar] [CrossRef]
- Miller, M.P.; Buto, S.G.; Susong, D.D.; Rumsey, C.A. The importance of base flow in sustaining surface water flow in the Upper Colorado River Basin. Water Resour. Res. 2016, 52, 3547–3562. [Google Scholar] [CrossRef]
- Song, X.; Chen, X.; Stegen, J.; Hammond, G.; Song, H.S.; Dai, H.; Graham, E.; Zachara, J.M. Drought Conditions Maximize the Impact of High-Frequency Flow Variations on Thermal Regimes and Biogeochemical Function in the Hyporheic Zone. Water Resour. Res. 2018, 54, 7361–7382. [Google Scholar] [CrossRef]
- Smakhtin, V.U. Low flow hydrology: A review. J. Hydrol. 2001, 240, 147–186. [Google Scholar] [CrossRef]
- Van Loon, A.F. Hydrological drought explained. Wiley Interdiscip. Rev. Water 2015, 2, 359–392. [Google Scholar] [CrossRef]
- Larsen, L.G.; Woelfle-Erskine, C. Groundwater Is Key to Salmonid Persistence and Recruitment in Intermittent Mediterranean-Climate Streams. Water Resour. Res. 2018, 54, 8909–8930. [Google Scholar] [CrossRef]
- Nuhfer, A.J.; Zorn, T.G.; Wills, T.C. Effects of reduced summer flows on the brook trout population and temperatures of a groundwater-influenced stream. Ecol. Freshw. Fish. 2017, 26, 108–119. [Google Scholar] [CrossRef]
- Somers, K.A.; Bernhardt, E.S.; McGlynn, B.L.; Urban, D.L. Downstream Dissipation of Storm Flow Heat Pulses: A Case Study and its Landscape-Level Implications. J. Am. Water Resour. Assoc. 2016, 52, 281–297. [Google Scholar] [CrossRef]
- Santhi, C.; Allen, P.M.; Muttiah, R.S.; Arnold, J.G.; Tuppad, P. Regional estimation of base flow for the conterminous United States by hydrologic landscape regions. J. Hydrol. 2008, 351, 139–153. [Google Scholar] [CrossRef]
- Essaid, H.I.; Caldwell, R.R. Evaluating the impact of irrigation on surface water-gorundwater interaction and stream temperature in an agricultural watershed. Sci. Total Environ. 2017, 599, 581–596. [Google Scholar] [CrossRef]
- Trauth, N.; Musolff, A.; Knöller, K.; Kaden, U.S.; Keller, T.; Werban, U.; Fleckenstein, J.H. River water infiltration enhances denitrification efficiency in riparian groundwater. Water Res. 2018, 130, 185–199. [Google Scholar] [CrossRef]
- Regan, R.S.; Markstrom, S.L.; Hay, L.E.; Viger, R.J.; Norton, P.A.; Driscoll, J.M.; LaFontaine, J.H. Description of the National Hydrologic Model for Use with the Precipitation-Runoff Modeling System (PRMS); U.S. Geological Survey Techniques and Methods 6-B9; USGS: Reston, VA, USA, 2018; p. 38. [CrossRef]
- Regan, R.S.; Juracek, K.E.; Hay, L.E.; Markstrom, S.L.; Viger, R.J.; Driscoll, J.M.; LaFontaine, J.H.; Norton, P.A. The US Geological Survey National Hydrologic Model infrastructure: Rationale, description, and application of a watershed-scale model for the conterminous United States. Environ. Model. Softw. 2019, 111, 192–203. [Google Scholar] [CrossRef]
- Boussinesq, J. Essai sur la théorie des eaux courantes. In Mémoires Présentés par Divers Savants a l’Academic des Sciences de l’Institut National de France; Tome XXIII N: Paris, France, 1877; p. 23. [Google Scholar]
- Freeze, R.A. Role of subsurface flow in generating surface runoff: 1. Base flow contributions to channel flow. Water Resour. Res. 1972, 8, 609–623. [Google Scholar] [CrossRef]
- White, K.E.; Sloto, R.A. Base Flow Frequency Characteristics of Selected Pennsylvania Streams; U.S. Geological Survey Water-Resources Investigation Report 90-4160; USGS: Reston, VA, USA, 1990; p. 66. [CrossRef][Green Version]
- Rutledge, A.T.; Daniel, C.C. III. Testing an automated method to estimate ground-water recharge from streamflow records. Groundwater 1994, 32, 180–189. [Google Scholar] [CrossRef]
- Nathan, R.J.; McMahon, T.A. Evaluation of automated techniques for base flow and recession analyses. Water Resour. Res. 1990, 26, 1465–1473. [Google Scholar] [CrossRef]
- Rutledge, A.T. Computer Programs for Describing the Recession of Ground-Water Discharge and for Estimating Mean Ground-Water Recharge and Discharge from Streamflow Records—Update; U.S. Geological Survey Water-Resources Investigations Report 98-4148; USGS: Reston, VA, USA, 1998; p. 43. [CrossRef]
- Rutledge, A.T. Considerations for Use of the RORA Program to Estimate Ground-Water Recharge from Streamflow Records; U.S. Geological Survey Open-File Report 00-156; USGS: Reston, VA, USA, 2000; p. 52. [CrossRef]
- Barlow, P.M.; Cunningham, W.L.; Zhai, T.; Gray, M.U.S. Geological Survey Groundwater Toolbox, a Graphical and Mapping Interface for Analysis of Hydrologic Data (Version 1.0)—User Guide for Estimation of Base Flow, Runoff, and Groundwater Recharge from Streamflow Data; U.S. Geological Survey Techniques and Methods 3-B10; USGS: Reston, VA, USA, 2015; p. 27. [CrossRef]
- Hooper, R.P.; Shoemaker, C.A. A comparison of chemical and isotopic hydrograph separation. Water Resour. Res. 1986, 22, 1444–1454. [Google Scholar] [CrossRef]
- La Sala, A.M., Jr. New Approaches to Water-Resources Investigations in Upstate New York. Groundwater 1967, 5, 6–11. [Google Scholar] [CrossRef]
- Miller, M.P.; Susong, D.D.; Shope, C.L.; Heilweil, V.M.; Stolp, B.J. Continuous estimation of base flow in snowmelt-dominated streams and rivers in the Upper Colorado River Basin: A chemical hydrograph separation approach. Water Resour. Res. 2014, 50, 6986–6999. [Google Scholar] [CrossRef]
- Pinder, G.F.; Jones, J.F. Determination of the ground-water component of peak discharge from the chemistry of total runoff. Water Resour. Res. 1969, 5, 438–445. [Google Scholar] [CrossRef]
- Stewart, M.; Cimino, J.; Ross, M. Calibration of base flow separation methods with streamflow conductivity. Groundwater 2007, 45, 17–27. [Google Scholar] [CrossRef]
- Godsey, S.E.; Kirchner, J.W.; Clow, D.W. Concentration-discharge relationships reflect chemostatic characteristics of US catchments. Hydrol. Process. 2009, 23, 1844–1864. [Google Scholar] [CrossRef]
- Clow, D.W.; Mast, M.A. Mechanisms for chemostatic behavior in catchments: Implications for CO2 consumption by mineral weathering. Chem. Geol. 2010, 269, 40–51. [Google Scholar] [CrossRef]
- Raffensperger, J.P.; Baker, A.C.; Blomquist, J.D.; Hopple, J.A. Optimal Hydrograph Separation Using a Recursive Digital Filter Constrained by Chemical Mass Balance, with Application to Selected Chesapeake Bay Watersheds; U.S. Geological Survey Scientific Investigations Report 2017-5034; USGS: Reston, VA, USA, 2017; p. 51. [CrossRef]
- Rimmer, A.; Hartmann, A. Optimal hydrograph separation filter to evaluate transport routines of hydrological models. J. Hydrol. 2014, 514, 249–257. [Google Scholar] [CrossRef]
- Eckhardt, K. How to construct recursive digital filters for base flow separation. Hydrol. Process. 2005, 19, 507–515. [Google Scholar] [CrossRef]
- Markstrom, S.L.; Regan, R.S.; Hay, L.E.; Viger, R.J.; Webb, R.M.; Payn, R.A.; LaFontaine, J.H. PRMS-IV, the Precipitation-Runoff Modeling System, Version 4; U.S. Geological Survey Techniques and Methods 6-B7; USGS: Reston, VA, USA, 2015; p. 158. [CrossRef]
- Falcone, J.A. GAGES-II: Geospatial Attributes of Gages for Evaluating Streamflow; U.S. Geological Survey Dataset Report; USGS: Reston, VA, USA, 2011. [CrossRef]
- U.S. Geological Survey. USGS Water Data for the Nation: U.S. Geological Survey National Water Information System Database. 2018. Available online: waterdata.usgs.gov/nwis/ (accessed on 1 October 2018). [CrossRef]
- Sloto, R.A.; Crouse, M.Y. HYSEP: A Computer Program for Streamflow Hydrograph Separation and Analysis; U.S. Geological Survey Water-Resources Investigations Report 96-4040; USGS: Reston, VA, USA, 1996; p. 46. [CrossRef]
- Rutledge, A.T.; Mesko, T.O. Estimated Hydrologic Characteristics of Shallow Aquifer Systems in the Valley and Ridge, the Blue Ridge, and the Piedmont Physiographic Provinces Based on Analysis of Streamflow Recession and Base Flow; U.S. Geological Survey Report 1422-B; USGS: Reston, VA, USA, 1998; p. 58. [CrossRef]
- Team, R.C. R: A Language and Environment for Statistical Computing; R Foundation for Statistical Computing: Vienna, Austria, 2018; Available online: www.R-project (accessed on 1 August 2019).
- Powell, M.J.D. The BOBYQA Algorithm for Bound Constrained Optimization without Derivatives. Department of Applied Mathematics and Theoretical Physics; Technical Report NA2009/06; University of Cambridge: Cambridge, UK, 2009; pp. 26–46. [Google Scholar]
- Ypma, J. Introduction to nloptr: An R interface to NLopt. Tech. Rep. 2018. Available online: cran.r-project:web/packages/nloptr/vignettes/nloptr.pdf (accessed on 1 August 2019).
- Borchers, H.W. Pracma: Practical Numerical Math Functions. R package version 2.2.5. 2019. Available online: CRAN.R-project:package=pracma (accessed on 1 August 2019).
- Nash, J.E.; Sutcliffe, J.V. River flow forecasting through conceptual models part I—A discussion of principles. J. Hydrol. 1970, 10, 282–290. [Google Scholar] [CrossRef]
- Zecharias, Y.B.; Brutsaert, W. The influence of basin morphology on groundwater outflow. Water Resour. Res. 1988, 24, 1645–1650. [Google Scholar] [CrossRef]
- Regan, R.S.; LaFontaine, J.H. Documentation of the Dynamic Parameter, Water-Use, Stream and Lake Flow Routing, and Two Summary Output Modules and Updates to Surface-Depression Storage Simulation and Initial Conditions Specification Options with the Precipitation-Runoff Modeling System (PRMS); U.S. Geological Survey Techniques and Methods 6-B8; USGS: Reston, VA, USA, 2017; p. 60. [CrossRef]
- Markstrom, S.L.; Hay, L.E.; Clark, M.P. Towards simplification of hydrologic modeling: Identification of dominant processes. Hydrol. Earth Syst. Sci. 2016, 20, 4655–4671. [Google Scholar] [CrossRef]
- Viger, R.J.; Bock, A. GIS Features of the Geospatial Fabric for National Hydrologic Modeling; USGS: Reston, VA, USA, 2014. [CrossRef]
- U.S. Geological Survey; U.S. Environmental Protection Agency. National Hydrography Dataset Plus—NHDPlus Version 1.0 Dataset. Available online: http://horizon-systems.com/NHDPlus/NHDPlusV1_home.php (accessed on 1 October 2018).
- Driscoll, J.M.; Markstrom, S.L.; Regan, R.S.; Hay, L.E.; Viger, R.J. National Hydrologic Model Parameter Database: 2017-05-08; USGS: Reston, VA, USA, 2017. [CrossRef]
- Viger, R.J. Preliminary Spatial Parameters for PRMS Based on the Geospatial Fabric, NCLD2001 and SSURGO; USGS: Reston, VA, USA, 2014. [CrossRef]
- LaFontaine, J.H.; Hay, L.E.; Viger, R.J.; Regan, R.S.; Markstrom, S.L. Effects of climate and land cover on hydrology in the Southeastern US: Potential impacts on watershed planning. J. Am. Water Resour. Assoc. 2015, 51, 1235–1261. [Google Scholar] [CrossRef]
- LaFontaine, J.H.; Hart, R.M.; Hay, L.E.; Farmer, W.H.; Bock, A.R.; Viger, R.J.; Markstrom, S.L.; Regan, R.S.; Driscoll, J.M. Simulation of Water Availability in the Southeastern United States for Historical and Potential Future Climate and Land-Cover Conditions; U.S. Geological Survey Scientific Investigations Report 2019–5039; USGS: Reston, VA, USA, 2019; p. 83. [CrossRef]
- Hay, L.E. Application of the National Hydrologic Model Infrastructure with the Precipitation-Runoff Modeling System (NHM-PRMS), byHRU Calibrated Version; USGS: Reston, VA, USA, 2019. [CrossRef]
- Duan, Q.Y.; Sorooshian, S.; Gupta, V.K. Effective and efficient global optimization for conceptual rainfall-runoff models. Water Resour. Res. 1992, 28, 1015–1031. [Google Scholar] [CrossRef]
- Duan, Q.Y.; Gupta, V.K.; Sorooshian, S. Shuffled complex evolution approach for effective and efficient global minimization. J. Optim. Theory Appl. 1993, 76, 501–521. [Google Scholar] [CrossRef]
- Duan, Q.Y.; Sorooshian, S.; Gupta, V.K. Optimal use of the SCE-UA global optimization method for calibration watershed models. J. Hydrol. 1994, 158, 265–284. [Google Scholar] [CrossRef]
- Thornton, P.E.; Thornton, M.M.; Mayer, B.W.; Wei, Y.; Devarakonda, R.; Vose, R.S.; Cook, R.B. Daymet: Daily Surface Weather Data on a 1-km Grid for North America; Version 3; ORNL DAAC: Oak Ridge, TN, USA, 2016. [CrossRef]
- U.S. Geological Survey. Principal Aquifers of the 48 Conterminous United States, Hawaii, Puerto Rico, and the U.S. Virgin Islands Version 1.0; U.S. Geological Survey: Reston, VA, USA, 2003. Available online: water.usgs.gov/ogw/aquifer/principal/aquifrp025.xml (accessed on 1 October 2018).
- Falcone, J.A.; Carlisle, D.M.; Wolock, D.M.; Meador, M.R. GAGES: A stream gage database for evaluating natural and altered flow conditions in the conterminous United States. Ecology 2010, 91, 621. [Google Scholar] [CrossRef]
- Kunkel, K.E.; Easterling, D.R.; Redmond, K.; Hubbard, K. Temporal variations of extreme precipitation events in the United States: 1895–2000. Geophys. Res. Lett. 2003, 30, 1900. [Google Scholar] [CrossRef]
- Miller, M.P.; Tesoriero, A.J.; Hood, K.; Terziotti, S.; Wolock, D.M. Estimating Discharge and Nonpoint Source Nitrate Loading to Streams from Three End-Member Pathways Using High-Frequency Water Quality Data. Water Resour. Res. 2017, 53, 10201–10216. [Google Scholar] [CrossRef]
- Foks, S.S.; Raffensperger, J.P.; Penn, C.A.; Driscoll, J.M. Base Flow Estimation via Optimal Hydrograph Separation at CONUS Watersheds and Comparison to the National Hydrologic Model—Precipitation-Runoff Modeling System by HRU Calibrated Version; USGS: Reston, VA, USA, 2019. [CrossRef]













| Parameter/Output | Minimum | Maximum | Mean |
|---|---|---|---|
| α | 0.94 | 1.00 | 0.98 |
| β | 0.01 | 1.00 | 0.72 |
| BFI (fraction) | 0.01 | 0.99 | 0.61 |
| BF Days (fraction) | 0.00 | 0.67 | 0.26 |
| Parameter/Metric/Output | SCfit (699 Models) | sin-cos (126 Models) | ||||
|---|---|---|---|---|---|---|
| Minimum | Maximum | Mean | Minimum | Maximum | Mean | |
| α | 0.94 | 1.00 | 0.98 | 0.94 | 1.00 | 0.98 |
| β | 0.01 | 1.00 | 0.75 | 0.01 | 1.00 | 0.58 |
| NSE | 0.30 | 1.00 | 0.62 | 0.30 | 1.00 | 0.65 |
| Mean Daily Streamflow (m3 s−1) | 0.02 | 246 | 7.81 | 0.01 | 76.0 | 6.39 |
| BFI (fraction) | 0.01 | 0.99 | 0.64 | 0.01 | 0.98 | 0.47 |
| BF Days (fraction) | 0.00 | 0.67 | 0.28 | 0.00 | 0.66 | 0.18 |
| Hydroclimatological Features | SCfit (699 Models) | sin-cos (126 Models) | ||||
|---|---|---|---|---|---|---|
| Min | Max | Mean | Min | Max | Mean | |
| Watershed area, km2 | 1.6 | 14,300 | 779 | 12.3 | 6020 | 511 |
| Mean watershed slope *, % | 0.0 | 54.2 | 13.0 | 0.0 | 51.9 | 13.8 |
| Percent of watershed in irrigated agriculture **, % | 0.0 | 20.2 | 0.7 | 0.0 | 16.2 | 0.6 |
| Watershed percent perennial ice/snow (class 12) **+, % | 0.0 | 53.6 | 4.0 | 0.0 | 4.3 | 0.6 |
| Mean annual precipitation for the watershed ***, cm | 32.6 | 452 | 112 | 43.3 | 362 | 113 |
| Snow percent of total precipitation ++, % | 0.0 | 73.1 | 20.7 | 0.0 | 71.2 | 21.8 |
| Mean-annual potential evapotranspiration +++, mm/year | 306 | 1190 | 682 | 355 | 1150 | 661 |
| Estimated watershed annual runoff +*+, mm/year | 2.1 | 3730 | 435 | 0.0 | 3330 | 471 |
| Stream density, km/km2 +** | 0.0 | 1.5 | 0.8 | 0.2 | 1.4 | 0.7 |
© 2019 by the authors. Licensee MDPI, Basel, Switzerland. This article is an open access article distributed under the terms and conditions of the Creative Commons Attribution (CC BY) license (http://creativecommons.org/licenses/by/4.0/).
Share and Cite
Foks, S.S.; Raffensperger, J.P.; Penn, C.A.; Driscoll, J.M. Estimation of Base Flow by Optimal Hydrograph Separation for the Conterminous United States and Implications for National-Extent Hydrologic Models. Water 2019, 11, 1629. https://doi.org/10.3390/w11081629
Foks SS, Raffensperger JP, Penn CA, Driscoll JM. Estimation of Base Flow by Optimal Hydrograph Separation for the Conterminous United States and Implications for National-Extent Hydrologic Models. Water. 2019; 11(8):1629. https://doi.org/10.3390/w11081629
Chicago/Turabian StyleFoks, Sydney S., Jeff P. Raffensperger, Colin A. Penn, and Jessica M. Driscoll. 2019. "Estimation of Base Flow by Optimal Hydrograph Separation for the Conterminous United States and Implications for National-Extent Hydrologic Models" Water 11, no. 8: 1629. https://doi.org/10.3390/w11081629
APA StyleFoks, S. S., Raffensperger, J. P., Penn, C. A., & Driscoll, J. M. (2019). Estimation of Base Flow by Optimal Hydrograph Separation for the Conterminous United States and Implications for National-Extent Hydrologic Models. Water, 11(8), 1629. https://doi.org/10.3390/w11081629

