Effect of the Number of Leaves in Submerged Aquatic Plants on Stream Flow Dynamics
Abstract
1. Introduction
2. Materials and Methods
2.1. Experimental Equipment and Procedure
2.2. Methods
2.2.1. Mean Velocity, Reynold’s Stress, and Turbulent Kinetic Energy
2.2.2. Logarithmic Distribution Law
2.2.3. Manning’s Roughness Coefficient
3. Results and Discussion
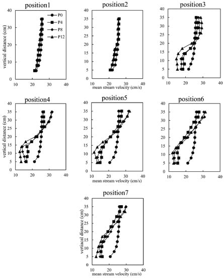
3.1. Mean Streamwise Velocity
3.2. Turbulence Structure
3.2.1. Reynold’s Stress
3.2.2. Quadrant Analysis
- Q1: Quadrant 1, u’ > 0, v’ > 0, outward interaction
- Q2: Quadrant 2, u’ < 0, v’ > 0, ejection
- Q3: Quadrant 3, u’ < 0, v’ < 0, inward interaction
- Q4: Quadrant 4, u’ > 0, v’ < 0, sweep
3.2.3. Turbulent Kinetic Energy
3.3. Manning’s Roughness Coefficient
4. Conclusions
Author Contributions
Funding
Conflicts of Interest
References
- Chen, S.C.; Kuo, Y.M.; Li, Y.H. Flow characteristics within different configurations of submerged flexible vegetation. J. Hydrol. 2011, 398, 124–134. [Google Scholar] [CrossRef]
- Yılmazer, D.; Ozan, A.; Cihan, K. Flow Characteristics in the Wake Region of a Finite-Length Vegetation Patch in a Partly Vegetated Channel. Water 2018, 10, 459. [Google Scholar] [CrossRef]
- Huai, W.X.; Zhang, J.; Wang, W.J.; Katul, G.G. Turbulence structure in open channel flow with partially covered artificial emergent vegetation. J. Hydrol. 2019, 573, 180–193. [Google Scholar] [CrossRef]
- Wang, W.J.; Peng, W.Q.; Huai, W.X.; Katul, G.; Liu, X.B.; Dong, F.; Qu, X.D.; Zhang, H.P. Derivation of Canopy Resistance in Turbulent Flow from First-Order Closure Models. Water 2018, 10, 1782. [Google Scholar] [CrossRef]
- Lu, J.; Dai, H.C. Effect of submerged vegetation on solute transport in an open channel using large eddy simulation. Adv. Water Resour. 2016, 97, 87–99. [Google Scholar] [CrossRef]
- Longo, S. The effects of air bubbles on ultrasound velocity measurements. Exp. Fluids 2006, 41, 593–602. [Google Scholar] [CrossRef]
- Thomas, R.E.; McLelland, S.J. The impact of macroalgae on mean and turbulent flow fields. J. Hydrodyn. 2015, 27, 427–435. [Google Scholar] [CrossRef]
- Wang, Y.; Zhang, H.; Yang, P.; Wang, Y. Experimental Study of Overland Flow through Rigid Emergent Vegetation with Different Densities and Location Arrangements. Water 2018, 10, 1638. [Google Scholar] [CrossRef]
- Anjum, N.; Ghani, U.; Ahmed Pasha, G.; Latif, A.; Sultan, T.; Ali, S. To Investigate the Flow Structure of Discontinuous Vegetation Patches of Two Vertically Different Layers in an Open Channel. Water 2018, 10, 75. [Google Scholar] [CrossRef]
- Zhang, H.Y.; Wang, Z.Y.; Xu, W.G.; Dai, L.M. Effects of Rigid Unsubmerged Vegetation on Flow Field Structure and Turbulent Kinetic Energy of Gradually Varied Flow. River Res. Appl. 2015, 31, 1166–1175. [Google Scholar] [CrossRef]
- Huai, W.; Wang, W.; Hu, Y.; Zeng, Y.; Yang, Z. Analytical model of the mean velocity distribution in an open channel with double-layered rigid vegetation. Adv. Water Resour. 2014, 69, 106–113. [Google Scholar] [CrossRef]
- Han, L.; Zeng, Y.; Chen, L.; Li, M. Modeling streamwise velocity and boundary shear stress of vegetation-covered flow. Ecol. Indic. 2018, 92, 379–387. [Google Scholar] [CrossRef]
- Tang, H.; Tian, Z.; Yan, J.; Yuan, S. Determining drag coefficients and their application in modelling of turbulent flow with submerged vegetation. Adv. Water Resour. 2014, 69, 134–145. [Google Scholar] [CrossRef]
- Wilson, C.; Stoesser, T.; Bates, P.D.; Batemann Pinzen, A. Open channel flow through different forms of submerged flexible vegetation. J. Hydraul. Eng. 2003, 129, 847–853. [Google Scholar] [CrossRef]
- Li, J.; Yang, J.; Luo, J.; Cheng, H.; Bai, S. Influence of Growth of Flexible Submerged Plants on Turbulence Characteristics of Sediment-laden Flow. Wetl. Sci. 2012, 04, 446–450. [Google Scholar] [CrossRef]
- Doods, W.; Biggs, B. Water velocity attenuation by stream periphyton and macrophytes in relation to growth form and architecture. N. Am. Benthol. Soc. 2002, 21, 2–15. [Google Scholar] [CrossRef]
- Tong, X.; Liu, X.; Yang, T.; Hua, Z.; Wang, Z.; Liu, J.; Li, R. Hydraulic Features of Flow Through Local Non- Submerged Rigid Vegetation in the Y-shaped Confluence Channel. Water 2019, 11, 146. [Google Scholar] [CrossRef]
- Devi, T.B.; Kumar, B. Turbulent flow statistics of vegetative channel with seepage. J. Appl. Geophys. 2015, 123, 267–276. [Google Scholar] [CrossRef]
- Banerjee, T.; Muste, M.; Katul, G. Flume experiments on wind induced flow in static water bodies in the presence of protruding vegetation. Adv. Water Resour. 2015, 76, 11–28. [Google Scholar] [CrossRef]
- Wang, W.-J.; Huai, W.-X.; Thompson, S.; Peng, W.-Q.; Katul, G.G. Drag coefficient estimation using flume experiments in shallow non-uniform water flow within emergent vegetation during rainfall. Ecol. Indic. 2018, 92, 367–378. [Google Scholar] [CrossRef]
- Wu, D.; Ling, H.; Huang, Y. The Effect of Hydrodynamic Conditions on Growth Characteristics of Vallisneria natans and Acorus calamus. Anhui Agric. Sci. Bull. 2018, 24, 115–119. [Google Scholar] [CrossRef]
- Zhang, Y.; Lai, X. Impact of Vallisneria natans on flow structure. Adv. Water Sci. 2015, 26, 99–106. [Google Scholar] [CrossRef]
- Huai, W.; Wang, W.; Zeng, Y. Two-layer model for open channel flow with submerged flexible vegetation. J. Hydraul. Res. 2013, 51, 708–718. [Google Scholar] [CrossRef]
- Huai, W.X.; Zeng, Y.H.; Xu, Z.G.; Yang, Z.H. Three-layer model for vertical velocity distribution in open channel flow with submerged rigid vegetation. Adv. Water Resour. 2009, 32, 487–492. [Google Scholar] [CrossRef]
- Li, Y.; Wang, Y.; Anim, D.O.; Tang, C.; Du, W.; Ni, L.; Yu, Z.; Acharya, K. Flow characteristics in different densities of submerged flexible vegetation from an open-channel flume study of artificial plants. Geomorphology 2014, 204, 314–324. [Google Scholar] [CrossRef]
- Noarayanan, L.; Murali, K.; Sundar, V. Manning’s ‘n’ for staggered flexible emergent vegetation. J. Earthq. Tsunami 2013, 7, 1–18. [Google Scholar] [CrossRef]
- Longo, S.; Di Federico, V.; Archetti, R.; Chiapponi, L.; Ciriello, V.; Ungarish, M. On the axisymmetric spreading of non-Newtonian power-law gravity currents of time-dependent volume: An experimental and theoretical investigation focused on the inference of rheological parameters. J. Non-Newton. Fluid Mech. 2013, 201, 69–79. [Google Scholar] [CrossRef]
- Di Federico, V.; Longo, S.; King, S.E.; Chiapponi, L.; Petrolo, D.; Ciriello, V. Gravity-driven flow of Herschel–Bulkley fluid in a fracture and in a 2D porous medium. J. Fluid Mech. 2017, 821, 59–84. [Google Scholar] [CrossRef]
- Luo, Y.; Zhang, S.; He, D.; Li, H. Uncertainty analysis of two kinds of parameters of hydraulic model tests. Adv. Sci. Technol. Water Resour. 2011, 31, 20–22. [Google Scholar] [CrossRef]
- Devi, T.B.; Kumar, B. Flow characteristics in an alluvial channel covered partially with submerged vegetation. Ecol. Eng. 2016, 94, 478–492. [Google Scholar] [CrossRef]
- Zhao, F.; Huai, W. Hydrodynamics of discontinuous rigid submerged vegetation patches in open-channel flow. J. Hydro-Environ. Res. 2016, 12, 148–160. [Google Scholar] [CrossRef]
- Longo, S.; Losada, M.A. Turbulent structure of air flow over wind-induced gravity waves. Exp. Fluids 2012, 53, 369–390. [Google Scholar] [CrossRef]
- Ghisalberti, M.; Nepf, H. The Structure of the Shear Layer in Flows over Rigid and Flexible Canopies. Environ. Fluid Mech. 2006, 6, 277–301. [Google Scholar] [CrossRef]
- Xiang, S.; Wu, Y.; Bai, Y.; Mu, X. Experimental research on Manning’ s roughness coefficient of an open channel with aquatic vegetation. J. Hydraul. Eng. 2017, 48, 874–881. [Google Scholar] [CrossRef]










| Cases | Function | Position | |||
|---|---|---|---|---|---|
| 3 | 4 | 5 | 6 | ||
| P4 | a | 0.9931 | 0.9113 | 0.5161 | 0.7574 |
| b | 0.867 | 2.069 | 0.5448 | 0.6418 | |
| C(x) | ln(x)/x2 | ln(x)/x2 | ln(x) | ln(x) | |
| R2 | 0.8088 | 0.9887 | 0.9808 | 0.9898 | |
| P8 | a | 1.01 | 0.9104 | 0.8606 | 0.8378 |
| b | 2.041 | 0.702 | 0.7775 | 0.7415 | |
| C(x) | ln(x)/x3 | ln(x) | ln(x) | ln(x) | |
| R2 | 0.9865 | 0.9809 | 0.9801 | 0.9673 | |
| P12 | a | 0.934 | 0.8907 | 0.8464 | 0.8068 |
| b | 3.644 | 0.712 | 0.8003 | 0.8094 | |
| C(x) | ln(x)/x2.5 | ln(x) | ln(x) | ln(x) | |
| R2 | 0.9848 | 0.9776 | 0.9951 | 0.9976 | |
| Cases | Velocity cm/s | Position | ||||||
|---|---|---|---|---|---|---|---|---|
| 1 | 2 | 3 | 4 | 5 | 6 | 7 | ||
| P0 | un | 25.7 a ±0.5 | 25.6 a ±0.5 | 26.0 a,b ±0.4 | 25.7 a,b ±0.4 | 25.7 a,b ±0.3 | 25.7 a ±0.3 | 25.8 a ±0.3 |
| uv | 24.2 b ±0.7 | 24.1 b ±0.7 | 24.0 a ±0.6 | 24.0 b ±0.7 | 23.7 b ±0.6 | 23.8 a ±0.7 | 23.9 a ±0.7 | |
| un/uv | 1.06 | 1.06 | 1.07 | 1.07 | 1.08 | 1.08 | 1.08 | |
| P4 | un | 25.2 a ±0.5 | 25.6 a ±0.4 | 26.1 b ±0.4 | 25.8 a,b ±0.6 | 25.2 a,b ±0.7 | 23.8 a ±0.8 | 23.5 a ±0.9 |
| uv | 23.1 c ±0.7 | 22.9 c ±0.6 | 20.6 c ±0.5 | 18.1 c ±0.6 | 17.2 c ±0.7 | 16.2 b ±0.6 | 16.7 b ±0.7 | |
| un/uv | 1.09 | 1.12 | 1.27 | 1.43 | 1.47 | 1.46 | 1.40 | |
| P8 | un | 25.1 a ±0.5 | 25.4 a ±0.5 | 27.3 b ±0.5 | 28.0 a ±1.3 | 27.4 a ±1.2 | 26.5 a ±1.3 | 25.4 a ±1.3 |
| uv | 23.1 c ±0.7 | 22.8 c ±0.7 | 19.9 c ±0.7 | 16.9 c,d ±1.0 | 16.3 c ±1.1 | 15.6 b ±1.1 | 16.8 b ±1.1 | |
| un/uv | 1.09 | 1.11 | 1.37 | 1.66 | 1.69 | 1.70 | 1.51 | |
| P12 | un | 24.9 a ±0.5 | 25.2 a ±0.5 | 27.7 b ±0.7 | 27.5 a ±0.9 | 27.2 a ±1.1 | 26.3 a ±1.5 | 25.3 a ±1.4 |
| uv | 23.2 c ±0.6 | 22.7 c ±0.7 | 17.1 d ±0.7 | 15.1 d ±0.8 | 14.7 c ±0.9 | 14.7 b ±1.0 | 14.9 b ±1.1 | |
| un/uv | 1.07 | 1.11 | 1.62 | 1.83 | 1.84 | 1.79 | 1.70 | |
| Cases | Position | |||||||||||
|---|---|---|---|---|---|---|---|---|---|---|---|---|
| Position 1 | Position 5 | Position 7 | ||||||||||
| Q1 | Q2 | Q3 | Q4 | Q1 | Q2 | Q3 | Q4 | Q1 | Q2 | Q3 | Q4 | |
| L0 | a | a | a | a | a | a | a | a | a | a | a | a |
| L4 | ab | a | a | a | b | a | b | a | b | a | ab | a |
| L8 | ab | a | a | a | c | b | b | b | b | b | bc | b |
| L12 | b | a | a | a | c | c | c | c | c | b | c | b |
© 2019 by the authors. Licensee MDPI, Basel, Switzerland. This article is an open access article distributed under the terms and conditions of the Creative Commons Attribution (CC BY) license (http://creativecommons.org/licenses/by/4.0/).
Share and Cite
Yan, P.; Tian, Y.; Lei, X.; Fu, Q.; Li, T.; Li, J. Effect of the Number of Leaves in Submerged Aquatic Plants on Stream Flow Dynamics. Water 2019, 11, 1448. https://doi.org/10.3390/w11071448
Yan P, Tian Y, Lei X, Fu Q, Li T, Li J. Effect of the Number of Leaves in Submerged Aquatic Plants on Stream Flow Dynamics. Water. 2019; 11(7):1448. https://doi.org/10.3390/w11071448
Chicago/Turabian StyleYan, Peiru, Yu Tian, Xiaohui Lei, Qiang Fu, Tianxiao Li, and Jiahong Li. 2019. "Effect of the Number of Leaves in Submerged Aquatic Plants on Stream Flow Dynamics" Water 11, no. 7: 1448. https://doi.org/10.3390/w11071448
APA StyleYan, P., Tian, Y., Lei, X., Fu, Q., Li, T., & Li, J. (2019). Effect of the Number of Leaves in Submerged Aquatic Plants on Stream Flow Dynamics. Water, 11(7), 1448. https://doi.org/10.3390/w11071448

