2D GPU-Accelerated High Resolution Numerical Scheme for Solving Diffusive Wave Equations
Abstract
1. Introduction
2. Methods
2.1. Diffusive Wave Model
2.2. Infiltration Model
2.3. Numerical Scheme
2.4. GPU Environment and Programming
3. Results and Verification
3.1. Moving Storms on 1D Impermeable Overland Plane
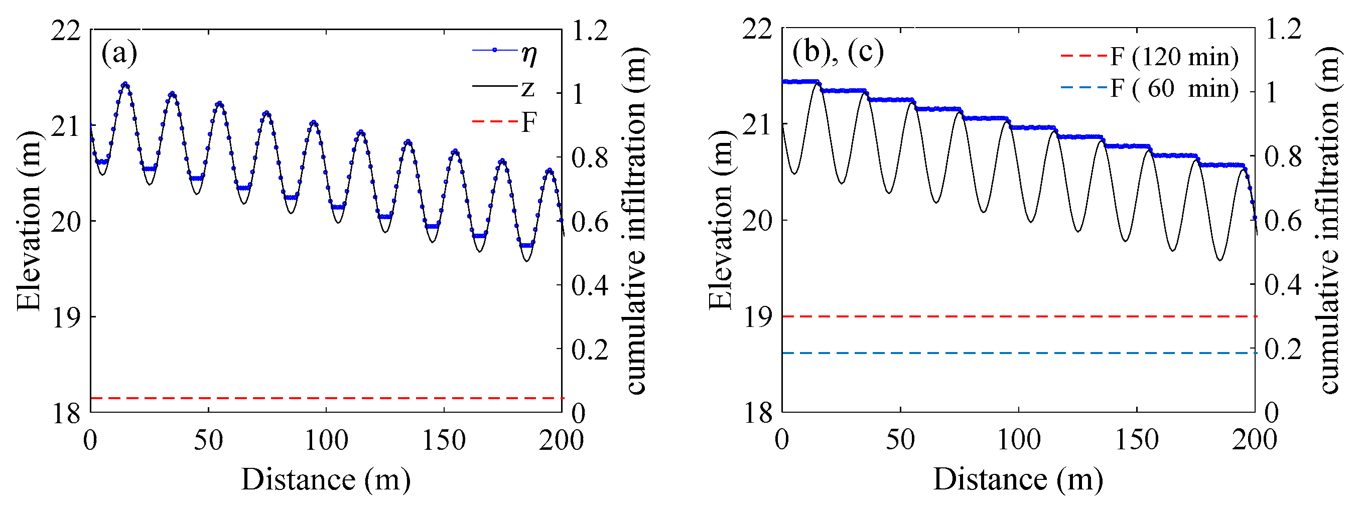
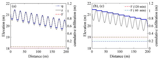
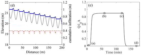
3.2. 1D Permeable Basin with Local Depressions
3.3. 2D Catchments
3.4. Complex Natural Basin
4. GPU Speedup of Parallel Computing
5. Conclusions
Author Contributions
Funding
Conflicts of Interest
References
- Beven, K.J. Rainfall-Runoff Modelling: The Primer; Wiley-Blackwell: Hoboken, NJ, USA, 2012; ISBN 9780470714591. [Google Scholar]
- Uhlenbrook, S.; Seibert, J.A.N.; Leibundgut, C.; Rodhe, A. Prediction uncertainty of conceptual rainfall-runoff models caused by problems in identifying model parameters and structure. Hydrol. Sci. J. 1999, 44, 779–797. [Google Scholar] [CrossRef]
- Zhou, J.G.; Causon, D.M.; Mingham, C.G.; Ingram, D.M. The surface gradient method for the treatment of source terms in the shallow-water equations. J. Comput. Phys. 2001, 168, 1–25. [Google Scholar] [CrossRef]
- Mignot, E.; Paquier, A.; Haider, S. Modeling floods in a dense urban area using 2D shallow water equations. J. Hydrol. 2006, 327, 186–199. [Google Scholar] [CrossRef]
- Ajayi, A.E.; van de Giesen, N.; Vlek, P. A numerical model for simulating Hortonian overland flow on tropical hillslopes with vegetation elements. Hydrol. Process. 2008, 22, 1107–1118. [Google Scholar] [CrossRef]
- Yeh, G.T.; Shih, D.S.; Cheng, J.R.C. An integrated media, integrated processes watershed model. Comput. Fluid. 2011, 45, 2–13. [Google Scholar] [CrossRef]
- Costabile, P.; Costanzo, C.; Macchione, F. Comparative analysis of overland flow models using finite volume schemes. J. Hydroinform. 2012, 14, 122–135. [Google Scholar] [CrossRef]
- Costabile, P.; Costanzo, C.; Macchione, F. A storm event watershed model for surface runoff based on 2D fully dynamic wave equations. Hydrol. Process. 2012, 27, 554–569. [Google Scholar] [CrossRef]
- Caviedes-Voullième, D.; García-Navarro, P.; Murillo, J. Influence of mesh structure on 2D full shallow water equations and SCS Curve Number simulation of rainfall/runoff events. J. Hydrol. 2012, 448, 39–59. [Google Scholar]
- Kim, J.; Warnock, A.; Ivanov, V.Y.; Katopodes, N.D. Coupled modeling of hydrologic and hydrodynamic processes including overland and channel flow. Adv. Water Resour. 2012, 37, 104–126. [Google Scholar] [CrossRef]
- Kim, D.H.; Seo, Y. Hydrodynamic analysis of storm movement effects on runoff hydrographs and loop-rating curves of a V-shaped watershed. Water Resour. Res. 2013, 49, 6613–6623. [Google Scholar] [CrossRef]
- Fernández-Pato, J.; Caviedes-Voullième, D.; García-Navarro, P. Rainfall/runoff simulation with 2D full shallow water equations: Sensitivity analysis and calibration of infiltration parameters. J. Hydrol. 2016, 536, 496–513. [Google Scholar] [CrossRef]
- Lighthill, M.J.; Whitham, G.B. On kinematic waves I. Flood movement in long rivers. Proc. R. Soc. Lond. A Math. Phys. Sci. 1955, 229, 281–316. [Google Scholar]
- Ponce, V.M. Engineering Hydrology: Principles and Practices; Prentice Hall: Hoboken, NJ, USA, 1994; ISBN 9780133154665. [Google Scholar]
- Liu, Q.Q.; Chen, L.; Li, J.C.; Singh, V.P. Two-dimensional kinematic wave model of overland-flow. J. Hydrol. 2004, 291, 28–41. [Google Scholar] [CrossRef]
- Singh, V.P. Kinematic wave modelling in water resources: A historical perspective. Hydrol. Process. 2001, 15, 671–706. [Google Scholar] [CrossRef]
- Yu, C.; Duan, J.G. High resolution numerical schemes for solving kinematic wave equation. J. Hydrol. 2014, 519, 823–832. [Google Scholar] [CrossRef]
- Moussa, R.; Bocquillon, C. Criteria for the choice of flood-routing methods in natural channels. J. Hydrol. 1996, 186, 1–30. [Google Scholar] [CrossRef]
- Te Chow, V. Open-Channel Hydraulics; McGraw-Hill: New York, NY, USA, 1959; ISBN 9780070107762. [Google Scholar]
- Lacasta, A.; Morales-Hernández, M.; Murillo, J.; García-Navarro, P. GPU implementation of the 2D shallow water equations for the simulation of rainfall/runoff events. Environ. Earth Sci. 2015, 74, 7295–7305. [Google Scholar] [CrossRef]
- Sitanggang, K.I.; Lynett, P. Parallel computation of a highly nonlinear Boussinesq equation model through domain decomposition. Int. J. Numer. Methods Fluids 2005, 49, 57–74. [Google Scholar] [CrossRef]
- Cordier, S.; Coullon, H.; Delestre, O.; Laguerre, C.; Le, M.H.; Pierre, D.; Sadaka, G. FullSWOF Paral: Comparison of two parallelization strategies (MPI and SKELGIS) on a software designed for hydrology applications. ESAIM Proc. 2013, 43, 59–79. [Google Scholar] [CrossRef]
- Mallón, D.A.; Taboada, G.L.; Teijeiro, C.; Tourino, J.; Fraguela, B.B.; Gómez, A.; Doallo, R.; Mourino, J.C. Performance evaluation of MPI, UPC and OpenMP on multicore architectures. In Proceedings of the 16th European PVM/MPI Users’ Group Meeting, Espoo, Finland, 7–10 September 2009; Springer: Berlin/Heidelberg, Germany, 2009; pp. 174–184. [Google Scholar]
- Neal, J.; Fewtrell, T.; Trigg, M. Parallelisation of storage cell flood models using OpenMP. Environ. Model. Softw. 2009, 24, 872–877. [Google Scholar] [CrossRef]
- Leandro, J.; Chen, A.S.; Schumann, A. A 2D parallel diffusive wave model for floodplain inundation with variable time step (P-DWave). J. Hydrol. 2014, 517, 250–259. [Google Scholar] [CrossRef]
- Kazezyılmaz-Alhan, C.M.; Medina, M.A., Jr. Kinematic and diffusion waves: Analytical and numerical solutions to overland and channel flow. J. Hydraul. Eng. 2007, 133, 217–228. [Google Scholar] [CrossRef]
- Yen, B.C.; Chow, V.T. A laboratory study of surface runoff due to moving rainstorms. Water Resour. Res. 1969, 5, 989–1006. [Google Scholar] [CrossRef]
- Woo, D.C.; Brater, E.F. Spatially varied flow from controlled rainfall. J. Hydraulics. Eng. Div. 1962, 88, 31–56. [Google Scholar]
- Yu, Y.S.; McNown, J.S. Runoff from impervious surfaces. J. Hydraul. Res. 1964, 2, 3–24. [Google Scholar] [CrossRef]
- Julien, P.Y. River Mechanics; Cambridge University Press: Cambridge, UK, 2002; ISBN 9780521529709. [Google Scholar]
- Horton, R.E. Analysis of runoff-plat experiments with varying infiltration-capacity. Eos Trans. Am. Geophys. Union 1939, 20, 693–711. [Google Scholar] [CrossRef]
- Van Leer, B. Towards the ultimate conservative difference scheme. V. A second-order sequel to Godunov’s method. J. Comput. Phys. 1979, 32, 101–136. [Google Scholar] [CrossRef]
- Mahdavi, A.; Talebbeydokhti, N. Modeling of non-breaking and breaking solitary wave run-up using FORCE-MUSCL scheme. J. Hydraul. Res. 2009, 47, 476–485. [Google Scholar] [CrossRef]
- Singh, V.P. Effect of the direction of storm movement on planar flow. Hydrol. Process. 1998, 12, 147–170. [Google Scholar] [CrossRef]
- Li, S.; Duffy, C.J. Fully coupled approach to modeling shallow water flow, sediment transport, and bed evolution in rivers. Water. Resour. Res. 2011, 47. [Google Scholar] [CrossRef]
- Tatard, L.; Planchon, O.; Wainwright, J.; Nord, G.; Favis-Mortlock, D.; Silvera, N.; Ribolzi, O.; Esteves, M.; Huang, C.H. Measurement and modelling of high-resolution flow-velocity data under simulated rainfall on a low-slope sandy soil. J. Hydrol. 2008, 348, 1–12. [Google Scholar] [CrossRef]
- Esteves, M.; Planchon, O.; Lapetite, J.M.; Silvera, N.; Cadet, P. The ‘EMIRE’ large rainfall simulator: Design and field testing. Earth Surf. Process. Landf. 2000, 25, 681–690. [Google Scholar] [CrossRef]
- Mügler, C.; Planchon, O.; Patin, J.; Weill, S.; Silvera, N.; Richard, P.; Mouche, E. Comparison of roughness models to simulate overland flow and tracer transport experiments under simulated rainfall at plot scale. J. Hydrol. 2011, 402, 25–40. [Google Scholar] [CrossRef]











© 2019 by the authors. Licensee MDPI, Basel, Switzerland. This article is an open access article distributed under the terms and conditions of the Creative Commons Attribution (CC BY) license (http://creativecommons.org/licenses/by/4.0/).
Share and Cite
Park, S.; Kim, B.; Kim, D.-H. 2D GPU-Accelerated High Resolution Numerical Scheme for Solving Diffusive Wave Equations. Water 2019, 11, 1447. https://doi.org/10.3390/w11071447
Park S, Kim B, Kim D-H. 2D GPU-Accelerated High Resolution Numerical Scheme for Solving Diffusive Wave Equations. Water. 2019; 11(7):1447. https://doi.org/10.3390/w11071447
Chicago/Turabian StylePark, Seonryang, Boram Kim, and Dae-Hong Kim. 2019. "2D GPU-Accelerated High Resolution Numerical Scheme for Solving Diffusive Wave Equations" Water 11, no. 7: 1447. https://doi.org/10.3390/w11071447
APA StylePark, S., Kim, B., & Kim, D.-H. (2019). 2D GPU-Accelerated High Resolution Numerical Scheme for Solving Diffusive Wave Equations. Water, 11(7), 1447. https://doi.org/10.3390/w11071447

