Projected Climatic and Hydrologic Changes to Lake Victoria Basin Rivers under Three RCP Emission Scenarios for 2015–2100 and Impacts on the Water Sector
Abstract
1. Introduction
2. Materials and Methods
2.1. Study Area
2.2. Historical Rainfall, Minimum and Maximum Temperatures, and River Flow Data
2.3. Climate Projections
2.4. Statistical Analysis and Projection of River Discharge
3. Results
3.1. Relationships between Historical Discharge and Rainfall
3.2. Climate Projections for the Lake Victoria Basin for 2030–2085
3.2.1. Rainfall
3.2.2. Maximum and Minimum Temperatures
3.3. Stream Flow Projections for LVB Rivers for 2015–2100
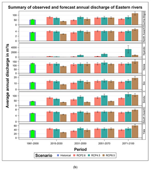
3.3.1. Rivers on the Eastern Part of the L. Victoria Basin
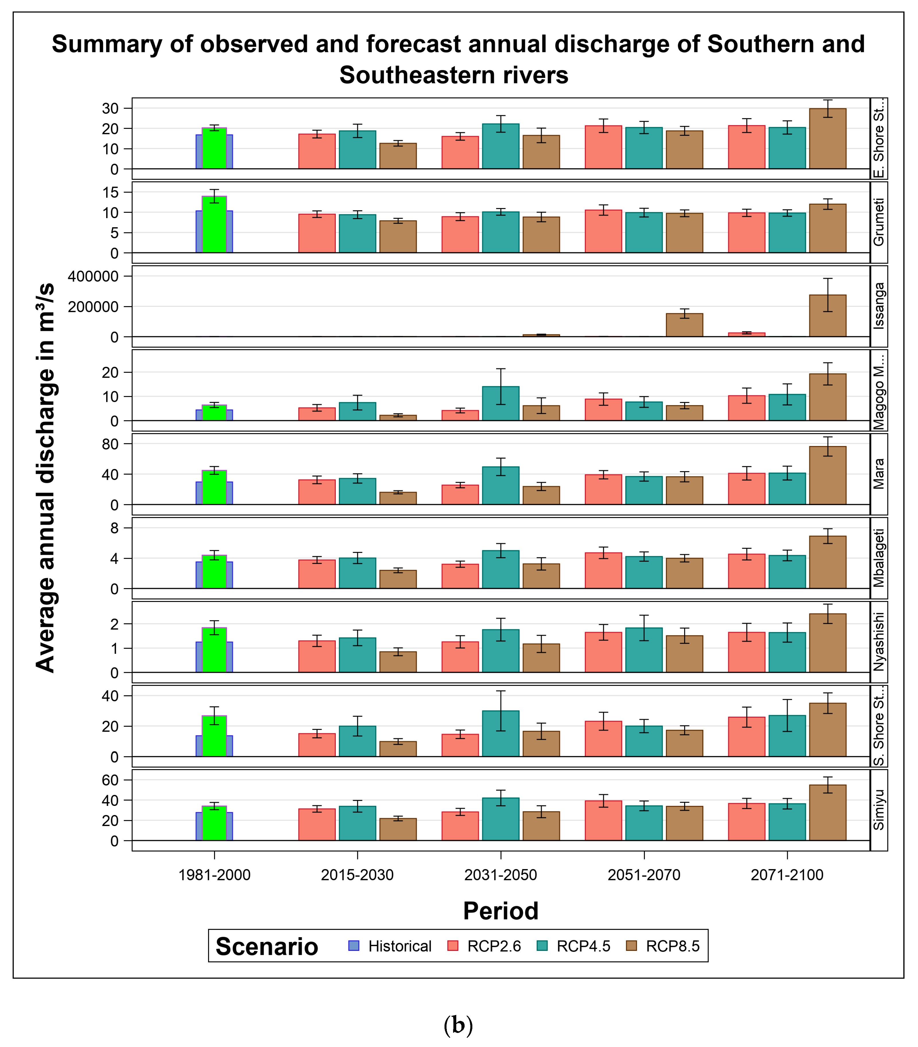
3.3.2. Rivers on the Southern and South Eastern part of LVB
3.3.3. Rivers on the Western and Northern Part of Lake Victoria Basin
4. Discussion
4.1. Climate Projections
4.2. Impact of Climate Change and Variation on River Discharge and Water Resources
4.3. Projected Impact of Climate Change and Variation on Other Economic Sectors
5. Conclusions
Supplementary Materials
Author Contributions
Funding
Acknowledgments
Conflicts of Interest
References
- Rowell, D.P.; Booth, B.B.B.; Nicholson, S.E.; Good, P. Reconciling Past and Future Rainfall Trends over East Africa. J. Clim. 2015, 28, 9768–9788. [Google Scholar] [CrossRef]
- Tierney, J.E.; Ummenhofer, C.C.; Demenocal, P.B. Past and future rainfall in the Horn of Africa. Sci. Adv. 2015, 1, e1500682. [Google Scholar] [CrossRef]
- Williams, A.P.; Funk, C. A westward extension of the warm pool leads to a westward extension of the Walker circulation, drying eastern Africa. Clim. Dyn. 2011, 37, 2417–2435. [Google Scholar] [CrossRef]
- Vörösmarty, C.J.; McIntyre, P.B.; Gessner, M.O.; Dudgeon, D.; Prusevich, A.; Green, P.; Glidden, S.; Bunn, S.E.; Sullivan, C.A.; Liermann, C.R.; et al. Global threats to human water security and river biodiversity. Nature 2010, 467, 555–561. [Google Scholar] [CrossRef]
- Alcamo, J.; Flörke, M.; Maerker, M. Future long-term changes in global water resources driven by socio-economic and climatic changes. Hydrol. Sci. J. 2007, 52, 247–275. [Google Scholar] [CrossRef]
- Arnell, N.W. Climate change and global water resources: SRES emissions and socio-economic scenarios. Glob. Environ. Chang. 2004, 14, 31–52. [Google Scholar] [CrossRef]
- Alcamo, J.; Döll, P.; Kaspar, F.; Siebert, S. Global Change and Global Scenarios of Water Use and Availability: An Application of WaterGAP 1.0; Center for Environmental Systems Research (CESR), University of Kassel: Kassel, Germany, 1997; p. 1720. [Google Scholar]
- Shiklomanov, I.A. Comprehensive Assessment of the Freshwater Resources of the World: Assessment of Water Resources and Water Availability in the World; Stockholm Environment Institute: Stockholm, Sweden, 1997. [Google Scholar]
- FAO. Review of World Water Resources by Country; FAO Water Report 23; Food and Agriculture Organization of the United Nations: Rome, Italy, 2003. [Google Scholar]
- Cosgrove, W.J.; Rijsberman, F.R. World Water Vision: Making Water Everybody’s Business; Routledge: Abingdon, UK, 2014. [Google Scholar]
- Dai, A.; Qian, T.; Trenberth, K.E.; Milliman, J.D. Changes in Continental Freshwater Discharge from 1948 to 2004. J. Clim. 2009, 22, 2773–2792. [Google Scholar] [CrossRef]
- Durance, I.; Ormerod, S.J. Trends in water quality and discharge confound long-term warming effects on river macroinvertebrates. Freshw. Boil. 2009, 54, 388–405. [Google Scholar] [CrossRef]
- Rosegrant, M.W.; Ringler, C.; Zhu, T. Water for Agriculture: Maintaining Food Security under Growing Scarcity. Annu. Rev. Environ. Resour. 2009, 34, 205–222. [Google Scholar] [CrossRef]
- Hamerlynck, O.; Duvail, S.; Vandepitte, L.; Kindinda, K.; Nyingi, D.W.; Paul, J.-L.; Yanda, P.Z.; Mwakalinga, A.B.; Mgaya, Y.D.; Snoeks, J. To connect or not to connect? Floods, fisheries and livelihoods in the Lower Rufiji floodplain lakes, Tanzania. Hydrol. Sci. J. 2011, 56, 1436–1451. [Google Scholar] [CrossRef]
- Omondi, P.A.O.; Awange, J.L.; Forootan, E.; Ogallo, L.A.; Barakiza, R.; Girmaw, G.B.; Kilavi, M. Changes in temperature and precipitation extremes over the Greater Horn of Africa region from 1961 to 2010. Int. J. Climatol. 2014, 34, 1262–1277. [Google Scholar] [CrossRef]
- Ding, Y.; Widhalm, M.; Hayes, M.J. Measuring economic impacts of drought: A review and discussion. Disaster Prev. Manag. Int. J. 2011, 20, 434–446. [Google Scholar] [CrossRef]
- van Dijk, A.I.; Beck, H.E.; Crosbie, R.S.; de Jeu, R.A.; Liu, Y.Y.; Podger, G.M.; Viney, N.R. The Millennium Drought in southeast Australia (2001–2009): Natural and human causes and implications for water resources, ecosystems, economy, and society. Water Resour. Res. 2013, 49, 1040–1057. [Google Scholar] [CrossRef]
- Howitt, R.; Medellín-Azuara, J.; MacEwan, D.; Lund, J.R.; Sumner, D. Economic Analysis of the 2014 Drought for California Agriculture; Center for Watershed Sciences University of California: Davis, CA, USA, 2014. [Google Scholar]
- Roudier, P.; Ducharne, A.; Feyen, L. Climate change impacts on runoff in West Africa: A review. Hydrol. Earth Syst. Sci. 2014, 18, 2789–2801. [Google Scholar] [CrossRef]
- Mukwada, G.; Manatsa, D. Is Climate Change the Nemesis of Rural Development? An Analysis of Patterns and Trends of Zimbabwean Droughts, in Climate Change, Extreme Events and Disaster Risk Reduction; Springer: Berlin/Heidelberg, Germany, 2018; pp. 173–182. [Google Scholar]
- Xu, Y.; Gao, X.; Giorgi, F. Upgrades to the reliability ensemble averaging method for producing probabilistic climate-change projections. Clim. Res. 2010, 41, 61–81. [Google Scholar] [CrossRef]
- Miao, C.; Ni, J.; Borthwick, A.G.; Yang, L. A preliminary estimate of human and natural contributions to the changes in water discharge and sediment load in the Yellow River. Glob. Planet. Chang. 2011, 76, 196–205. [Google Scholar] [CrossRef]
- Ntiba, M.J.; Kudoja, W.M.; Mukasa, C.T. Management issues in the Lake Victoria watershed. Lakes Reserv. Res. Manag. 2001, 6, 211–216. [Google Scholar] [CrossRef]
- Sitoki, L.; Gichuki, J.; Ezekiel, C.; Wanda, F.; Mkumbo, O.C.; Marshall, B.E. The Environment of Lake Victoria (East Africa): Current Status and Historical Changes. Int. Rev. Hydrobiol. 2010, 95, 209–223. [Google Scholar] [CrossRef]
- Odada, E.O.; Olago, D.O.; Kulindwa, K.; Ntiba, M.; Wandiga, S. Mitigation of Environmental Problems in Lake Victoria, East Africa: Causal Chain and Policy Options Analyses. Ambio 2004, 33, 13–23. [Google Scholar] [CrossRef]
- Stager, J.; Cumming, B.; Meeker, L. A High-Resolution 11,400-Yr Diatom Record from Lake Victoria, East Africa. Quat. Res. 1997, 47, 81–89. [Google Scholar] [CrossRef]
- Yin, X.; Nicholson, S.E. Interpreting Annual Rainfall from the Levels of Lake Victoria. J. Hydrometeorol. 2002, 3, 406–416. [Google Scholar] [CrossRef]
- Awange, J.; Anyah, R.; Agola, N.; Forootan, E.; Omondi, P. Potential impacts of climate and environmental change on the stored water of Lake Victoria Basin and economic implications. Water Resour. Res. 2013, 49, 8160–8173. [Google Scholar] [CrossRef]
- Saji, N.H.; Goswami, B.N.; Vinayachandran, P.N.; Yamagata, T. A dipole mode in the tropical Indian Ocean. Nature 1999, 401, 360–363. [Google Scholar] [CrossRef]
- Indeje, M.; Semazzi, F.H.; Ogallo, L.J. ENSO signals in East African rainfall seasons. Int. J. Clim. 2000, 20, 19–46. [Google Scholar] [CrossRef]
- Marchant, R.; Mumbi, C.; Behera, S.; Yamagata, T.; Marchant, R. The Indian Ocean dipole? The unsung driver of climatic variability in East Africa. Afr. J. Ecol. 2007, 45, 4–16. [Google Scholar] [CrossRef]
- Stager, J.C.; Ruzmaikin, A.; Conway, D.; Verburg, P.; Mason, P.J. Sunspots, El Niño, and the levels of Lake Victoria, East Africa. J. Geophys. Res. Space Phys. 2007, 112, D15106. [Google Scholar] [CrossRef]
- Mukabana, J.R.; Piekle, R.A. Investigating the Influence of Synoptic-Scale Monsoonal Winds and Mesoscale Circulations on Diurnal Weather Patterns over Kenya Using a Mesoscale Numerical Model. Mon. Weath. Rev. 1996, 124, 224–244. [Google Scholar] [CrossRef]
- Oettli, P.; Camberlin, P. Influence of topography on monthly rainfall distribution over East Africa. Clim. Res. 2005, 28, 199–212. [Google Scholar] [CrossRef]
- De Wit, M.; Stankiewicz, J. Changes in Surface Water Supply Across Africa with Predicted Climate Change. Science 2006, 311, 1917–1921. [Google Scholar] [CrossRef]
- Faramarzi, M.; Abbaspour, K.C.; Vaghefi, S.A.; Farzaneh, M.R.; Zehnder, A.J.; Srinivasan, R.; Yang, H.; Vaghefi, S.S.A. Modeling impacts of climate change on freshwater availability in Africa. J. Hydrol. 2013, 480, 85–101. [Google Scholar] [CrossRef]
- Munia, H.A.; Guillaume, J.H.; Mirumachi, N.; Porkka, M.; Wada, Y.; Kummu, M. Water stress in global transboundary river basins: Significance of upstream water use on downstream stress. Environ. Res. Lett. 2016, 11, 014002. [Google Scholar] [CrossRef]
- Masese, F.O.; McClain, M.E. Trophic resources and emergent food web attributes in rivers of the Lake Victoria Basin: A review with reference to anthropogenic influences. Ecohydrology 2012, 5, 685–707. [Google Scholar] [CrossRef]
- Mwiturubani, D.A.; van Wyk, J.-A. Climate Change and Natural Resources Conflicts in Africa. Inst. Secur. Stud. Monogr. 2010, 2010, 261. [Google Scholar]
- Semazzi, F. Enhancing Safety of Navigation and Efficient Exploitation of Natural Resources over Lake Victoria and Its Basin by Strengthening Meteorological Services on the Lake; North Carolina State University Climate Modeling Laboratory: Raleigh, NC, USA, 2011; p. 104. [Google Scholar]
- Sutcliffe, J.V.; Petersen, G. Lake Victoria: Derivation of a corrected natural water level series /Lac Victoria: Dérivation d’une série naturelle corrigée des niveaux d’eau. Hydrol. Sci. J. 2007, 52, 1316–1321. [Google Scholar] [CrossRef]
- Barasa, B.; Majaliwa, J.; Lwasa, S.; Obando, J.; Bamutaze, Y. Magnitude and transition potential of land-use/cover changes in the trans-boundary river Sio catchment using remote sensing and GIS. Ann. Gis 2011, 17, 73–80. [Google Scholar] [CrossRef]
- USGG FEWSnet. Available online: https://earlywarning.usgs.gov/fews/software-tools/20 (accessed on 1 July 2019).
- GeoCLIM. Available online: http://chg-wiki.geog.ucsb.edu/wiki/GeoCLIM (accessed on 18 June 2018).
- Wise, M.; Calvin, K.; Thomson, A.; Clarke, L.; Bond-Lamberty, B.; Sands, R.; Smith, S.J.; Janetos, A.; Edmonds, J. Implications of Limiting CO2 Concentrations for Land Use and Energy. Science 2009, 324, 1183–1186. [Google Scholar] [CrossRef] [PubMed]
- Riahi, K.; Rao, S.; Krey, V.; Cho, C.; Chirkov, V.; Fischer, G.; Kindermann, G.; Nakicenovic, N.; Rafaj, P. RCP 8.5—A scenario of comparatively high greenhouse gas emissions. Clim. Chang. 2011, 109, 33–57. [Google Scholar] [CrossRef]
- Van Vuuren, D.P.; Edmonds, J.; Kainuma, M.; Riahi, K.; Thomson, A.; Hibbard, K.; Hurtt, G.C.; Kram, T.; Krey, V.; Lamarque, J.-F.; et al. The representative concentration pathways: An overview. Clim. Chang. 2011, 109, 5–31. [Google Scholar] [CrossRef]
- Endris, H.S.; Lennard, C.; Hewitson, B.; Dosio, A.; Nikulin, G.; Panitz, H.J. Teleconnection responses in multi-GCM driven CORDEX RCMs over Eastern Africa. Clim. Dyn. 2016, 46, 2821–2846. [Google Scholar] [CrossRef]
- Nikulin, G.; Jones, C.; Giorgi, F.; Asrar, G.; Buchner, M.; Cerezo-Mota, R.; Christensen, O.B.; Déqué, M.; Fernández, J.; Hänsler, A.; et al. Precipitation Climatology in an Ensemble of CORDEX-Africa Regional Climate Simulations. J. Clim. 2012, 25, 6057–6078. [Google Scholar] [CrossRef]
- Giorgi, F. Regional climate modeling: Status and perspectives. Le J. De Phys. Colloq. 2006, 139, 101–118. [Google Scholar] [CrossRef]
- Ogallo, L. Rainfall variability in Africa. Mon. Weather Rev. 1979, 107, 1133–1139. [Google Scholar] [CrossRef]
- Awange, J.L.; Aluoch, J.; Ogallo, L.A.; Omulo, M.; Omondi, P. Frequency and severity of drought in the Lake Victoria region (Kenya) and its effects on food security. Clim. Res. 2007, 33, 135–142. [Google Scholar] [CrossRef]
- Nicholson, S.E. A review of climate dynamics and climate variability in Eastern Africa. In The Limnology, Climatology and Paleoclimatology of the East African Lakes; Gordon and Breach: Philadelphia, PA, USA, 1996; pp. 255–256. [Google Scholar]
- Aich, V.; Liersch, S.; Vetter, T.; Huang, S.; Tecklenburg, J.; Hoffmann, P.; Koch, H.; Fournet, S.; Krysanova, V.; Muller, E.N.; et al. Comparing impacts of climate change on streamflow in four large African river basins. Hydrol. Earth Syst. Sci. 2014, 18, 1305–1321. [Google Scholar] [CrossRef]
- Koster, R.D.; Sud, Y.C.; Guo, Z.; Dirmeyer, P.A.; Bonan, G.; Oleson, K.W.; Chan, E.; Verseghy, D.; Cox, P.; Davies, H.; et al. GLACE: The Global Land–Atmosphere Coupling Experiment. Part I: Overview. J. Hydrometeorol. 2006, 7, 590–610. [Google Scholar] [CrossRef]
- Dosio, A.; Panitz, H.-J. Climate change projections for CORDEX-Africa with COSMO-CLM regional climate model and differences with the driving global climate models. Clim. Dyn. 2016, 46, 1599–1625. [Google Scholar] [CrossRef]
- Seneviratne, S.I.; Lüthi, D.; Litschi, M.; Schär, C. Land–atmosphere coupling and climate change in Europe. Nature 2006, 443, 205–209. [Google Scholar] [CrossRef] [PubMed]
- Cook, K.H.; Vizy, E.K. Projected Changes in East African Rainy Seasons. J. Clim. 2013, 26, 5931–5948. [Google Scholar] [CrossRef]
- Akurut, M.; Willems, P.; Niwagaba, C.B. Potential Impacts of Climate Change on Precipitation over Lake Victoria, East Africa, in the 21st Century. Water 2014, 6, 2634–2659. [Google Scholar] [CrossRef]
- Conway, D.; Allison, E.; Felstead, R.; Goulden, M. Rainfall variability in East Africa: Implications for natural resources management and livelihoods. Philos. Trans. R. Soc. A Math. Phys. Eng. Sci. 2005, 363, 49–54. [Google Scholar] [CrossRef] [PubMed]
- Nyeko-Ogiramoi, P.; Willems, P.; Ngirane-Katashaya, G. Trend and variability in observed hydrometeorological extremes in the Lake Victoria basin. J. Hydrol. 2013, 489, 56–73. [Google Scholar] [CrossRef]
- Jasechko, S.; Taylor, R.G. Intensive rainfall recharges tropical groundwaters. Environ. Res. Lett. 2015, 10, 124015. [Google Scholar] [CrossRef]
- Cuthbert, M.O.; Gleeson, T.; Moosdorf, N.; Befus, K.M.; Schneider, A.; Hartmann, J.; Lehner, B. Global patterns and dynamics of climate–groundwater interactions. Nat. Clim. Chang. 2019, 9, 137–141. [Google Scholar] [CrossRef]
- Scheren, P.; Zanting, H.; Lemmens, A. Estimation of water pollution sources in Lake Victoria, East Africa: Application and elaboration of the rapid assessment methodology. J. Environ. Manag. 2000, 58, 235–248. [Google Scholar] [CrossRef]
- SILSBE, G.; Hecky, R. Are the Lake Victoria fisheries threatened by exploitation or eutrophication? Towards an ecosystem-based approach to management. In The Ecosystem Approach to Fisheries; FAO: Rome, Italy, 2008; p. 309. [Google Scholar]
- Liebmann, B.; Hoerling, M.P.; Funk, C.; Bladé, I.; Dole, R.M.; Allured, D.; Quan, X.; Pegion, P.; Eischeid, J.K. Understanding Recent Eastern Horn of Africa Rainfall Variability and Change. J. Clim. 2014, 27, 8630–8645. [Google Scholar] [CrossRef]
- Dell, M.; Jones, B.F.; Olken, B.A. What Do We Learn from the Weather? The New Climate-Economy Literature. J. Econ. Lit. 2014, 52, 740–798. [Google Scholar] [CrossRef]
- World-Bank. World Development Indicators; World-Bank: Washington, DC, USA, 2007. [Google Scholar]
- Ogutu-Ohwayo, R.; Natugonza, V.; Musinguzi, L.; Olokotum, M.; Naigaga, S. Implications of climate variability and change for African lake ecosystems, fisheries productivity, and livelihoods. J. Great Lakes Res. 2016, 42, 498–510. [Google Scholar] [CrossRef]
- Musana, A.; Mutuyeyezu, A. Impact of Climate Change and Climate Variability on Altitudinal Ranging Movements of Mountain Gorillas in Volcanoes National Park, Rwanda (Externship Report); The International START Secretariat: Washington, DC, USA, 2011. [Google Scholar]
- Holdo, R.M.; Holt, R.D.; Fryxell, J.M. Opposing Rainfall and Plant Nutritional Gradients Best Explain the Wildebeest Migration in the Serengeti. Am. Nat. 2009, 173, 431–445. [Google Scholar] [CrossRef]
- Owen-Smith, N.; Ogutu, J. Rainfall influences on ungulate population dynamics. In The Kruger Experience: Ecology and Management of Savanna Heterogeneity; Island Press: Washington, DC, USA, 2003; pp. 3103–3131. [Google Scholar]
- Ogutu, J.O.; Owen-Smith, N.; Owen-Smith, N. Oscillations in large mammal populations: Are they related to predation or rainfall? Afr. J. Ecol. 2005, 43, 332–339. [Google Scholar] [CrossRef]
- Thorne, J.H.; Seo, C.; Basabose, A.; Gray, M.; Belfiore, N.M.; Hijmans, R.J. Alternative biological assumptions strongly influence models of climate change effects on mountain gorillas. Ecosphere 2013, 4, 1–17. [Google Scholar] [CrossRef]
- East African Community Lake Victoria Basin Commission. Special Report on the Decline of Water Levels of Lake Victoria; East Africa Community Secretariat: Arusha, Tanzania, 2006. [Google Scholar]
- Galvin, K.; Boone, R.; Smith, N.; Lynn, S. Impacts of climate variability on East African pastoralists: Linking social science and remote sensing. Clim. Res. 2001, 19, 161–172. [Google Scholar] [CrossRef][Green Version]










| % Coefficient of Variation | ||||||||||||||
|---|---|---|---|---|---|---|---|---|---|---|---|---|---|---|
| Catchment | 2015–2030 | 2031–2050 | 2051–2070 | 2071–2100 | ||||||||||
| Eastern rivers | area (Km2) | RCP 2.6 | RCP 4.5 | RCP 8.5 | RCP 2.6 | RCP 4.5 | RCP 8.5 | RCP 2.6 | RCP 4.5 | RCP 8.5 | RCP 2.6 | RCP 4.5 | RCP 8.5 | |
| 1 | Gucha migori | 6612 | 45 | 53 | 43 | 51 | 62 | 99 | 52 | 80 | 59 | 54 | 80 | 79 |
| 2 | North Awach | 760 | 31 | 33 | 19 | 37 | 41 | 58 | 34 | 42 | 38 | 39 | 58 | 43 |
| 3 | Nyando | 3517 | 46 | 101 | 154 | 119 | 168 | 267 | 117 | 136 | 110 | 115 | 260 | 140 |
| 4 | Nzoia | 15,143 | 47 | 57 | 28 | 60 | 54 | 81 | 53 | 74 | 41 | 67 | 63 | 87 |
| 5 | Sio | 1450 | 45 | 55 | 39 | 58 | 63 | 85 | 53 | 74 | 52 | 59 | 85 | 80 |
| 6 | Sondu | 3583 | 39 | 48 | 43 | 54 | 59 | 75 | 48 | 68 | 47 | 50 | 87 | 75 |
| 7 | S. Awach | 780 | 30 | 32 | 20 | 37 | 37 | 50 | 32 | 43 | 34 | 37 | 49 | 42 |
| 8 | Yala | 3351 | 29 | 39 | 30 | 40 | 54 | 71 | 43 | 56 | 48 | 47 | 75 | 57 |
| South and S. eastern rivers | ||||||||||||||
| 9 | Grumeti | 13,392 | 34 | 41 | 31 | 49 | 37 | 60 | 54 | 48 | 39 | 50 | 45 | 59 |
| 10 | Simiyu | 11,577 | 41 | 68 | 42 | 55 | 82 | 93 | 71 | 63 | 53 | 75 | 78 | 79 |
| 11 | E. Shore Streams | 6644 | 45 | 71 | 44 | 52 | 83 | 98 | 70 | 66 | 53 | 88 | 88 | 79 |
| 12 | Mara | 13,915 | 62 | 72 | 51 | 62 | 104 | 101 | 63 | 74 | 82 | 118 | 120 | 91 |
| 13 | Mbalageti | 3591 | 48 | 73 | 53 | 57 | 84 | 112 | 72 | 65 | 55 | 93 | 88 | 77 |
| 14 | Magogo Moame (S) | 5207 | 104 | 163 | 116 | 105 | 235 | 235 | 129 | 129 | 94 | 168 | 220 | 130 |
| 15 | Issanga (S) | 6812 | 88 | 132 | 157 | 99 | 203 | 123 | 127 | 156 | 91 | 159 | 204 | 218 |
| 16 | S. Shore Streams (S) | 8681 | 74 | 131 | 78 | 86 | 197 | 146 | 115 | 98 | 77 | 140 | 214 | 106 |
| 17 | Nyashishi | 1565 | 72 | 91 | 76 | 90 | 119 | 135 | 88 | 128 | 93 | 123 | 132 | 91 |
| West and North rivers | ||||||||||||||
| 18 | W. Shore Streams | 733 | 7 | 7 | 6 | 5 | 6 | 5 | 5 | 9 | 8 | 9 | 6 | 7 |
| 19 | Kagera | 59,682 | 17 | 26 | 18 | 21 | 30 | 30 | 23 | 28 | 27 | 34 | 28 | 32 |
| 20 | Biharamulo | 1928 | 22 | 29 | 18 | 22 | 36 | 32 | 26 | 32 | 25 | 37 | 37 | 30 |
| 21 | Bukora (W) | 8392 | 62 | 85 | 39 | 58 | 48 | 42 | 49 | 61 | 33 | 51 | 64 | 82 |
| 22 | Katonga | 15,244 | 20 | 31 | 20 | 33 | 26 | 40 | 30 | 43 | 30 | 61 | 35 | 47 |
| 23 | N. Shore Streams (N) | 4288 | 61 | 87 | 37 | 57 | 46 | 40 | 47 | 57 | 33 | 49 | 61 | 76 |
© 2019 by the authors. Licensee MDPI, Basel, Switzerland. This article is an open access article distributed under the terms and conditions of the Creative Commons Attribution (CC BY) license (http://creativecommons.org/licenses/by/4.0/).
Share and Cite
Olaka, L.A.; Ogutu, J.O.; Said, M.Y.; Oludhe, C. Projected Climatic and Hydrologic Changes to Lake Victoria Basin Rivers under Three RCP Emission Scenarios for 2015–2100 and Impacts on the Water Sector. Water 2019, 11, 1449. https://doi.org/10.3390/w11071449
Olaka LA, Ogutu JO, Said MY, Oludhe C. Projected Climatic and Hydrologic Changes to Lake Victoria Basin Rivers under Three RCP Emission Scenarios for 2015–2100 and Impacts on the Water Sector. Water. 2019; 11(7):1449. https://doi.org/10.3390/w11071449
Chicago/Turabian StyleOlaka, Lydia A., Joseph O. Ogutu, Mohammed Y. Said, and Christopher Oludhe. 2019. "Projected Climatic and Hydrologic Changes to Lake Victoria Basin Rivers under Three RCP Emission Scenarios for 2015–2100 and Impacts on the Water Sector" Water 11, no. 7: 1449. https://doi.org/10.3390/w11071449
APA StyleOlaka, L. A., Ogutu, J. O., Said, M. Y., & Oludhe, C. (2019). Projected Climatic and Hydrologic Changes to Lake Victoria Basin Rivers under Three RCP Emission Scenarios for 2015–2100 and Impacts on the Water Sector. Water, 11(7), 1449. https://doi.org/10.3390/w11071449

