Different Stages of Aquatic Vegetation Succession Driven by Environmental Disturbance in the Last 38 Years
Abstract
1. Introduction
2. Methods
2.1. Study Sites
2.2. Field Surveys
2.3. Data Collection
2.4. Data Analyses
3. Results
3.1. Historical Data
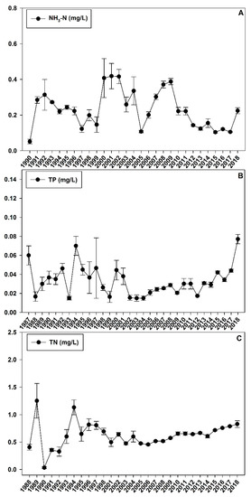
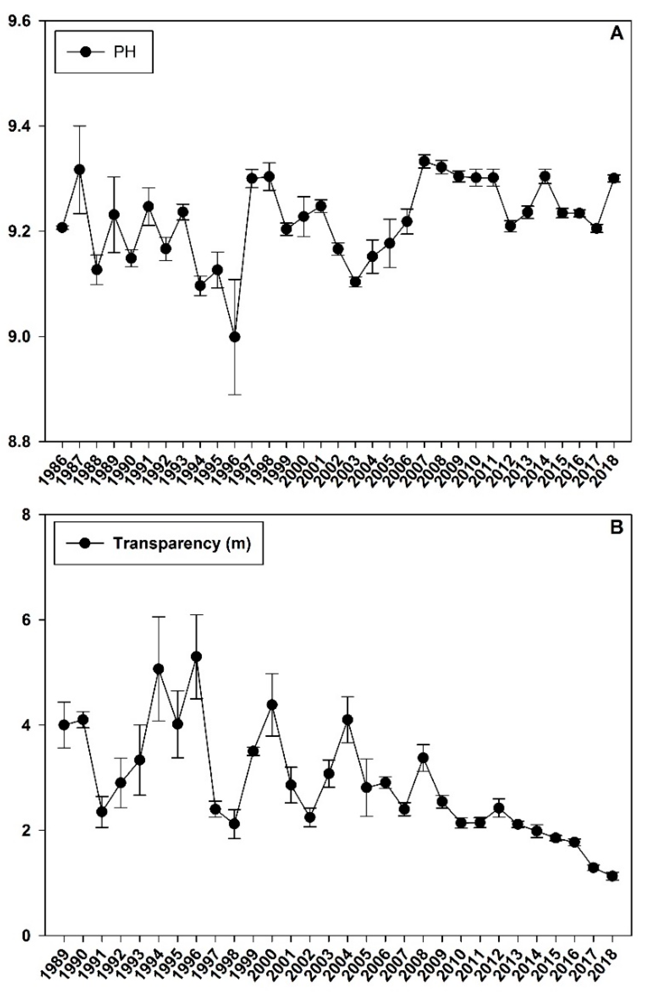
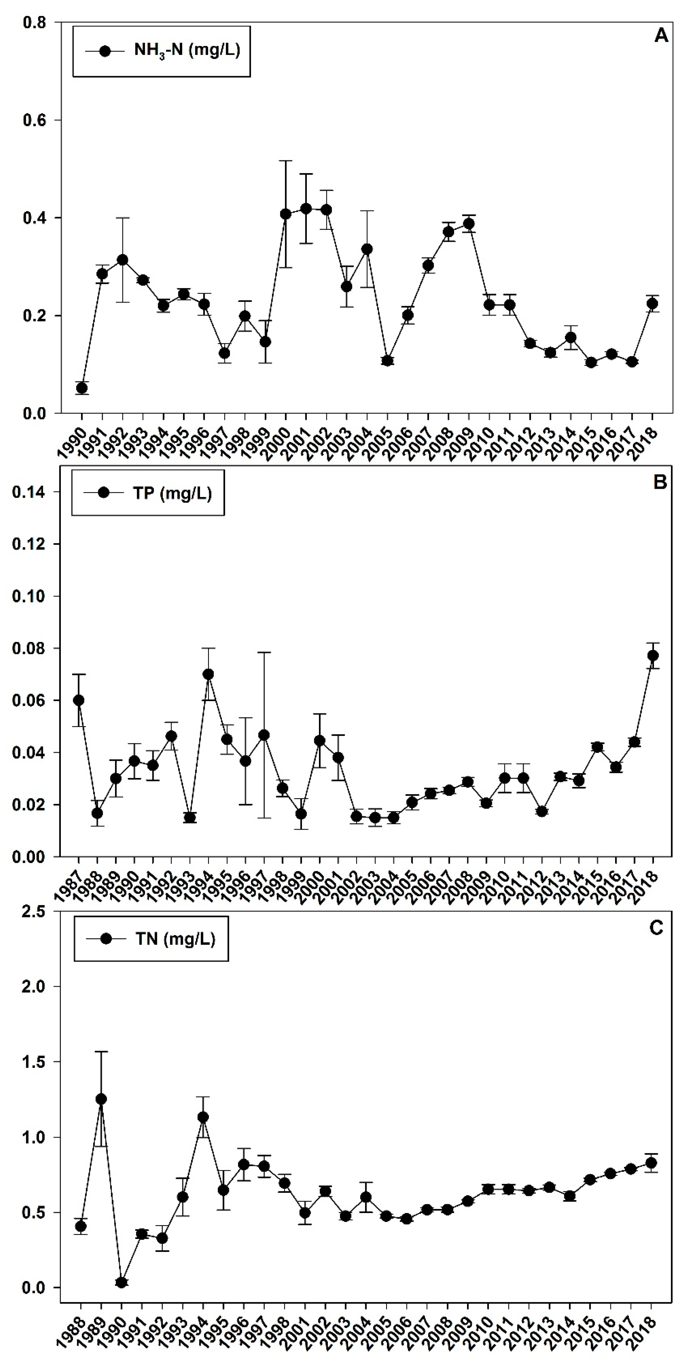
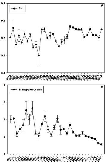
3.1.1. Water Quality
3.1.2. Aquatic Macrophytes
3.2. The Relationship between Aquatic Species and Water Quality in 2018
4. Discussion
4.1. The Relationship between Habitat Conditions and Aquatic Plant Species Richness
4.2. The Mechanism of Aquatic Vegetation Succession
5. Conclusions
Author Contributions
Funding
Acknowledgments
Conflicts of Interest
Abbreviations
| SP.1 cov and SP.1 bio = the coverage and biomass of Potamogeton pectinatus; |
| SP.2 cov and SP.2 bio = the coverage and biomass of Chara sp.; |
| SP.3 cov and SP.3 bio = the coverage and biomass of Lemna minor; |
| SP.4 cov and SP.4 bio = the coverage and biomass of Zannichellia palustris; |
| Chl.a = chlorophyll-a; TURB = turbidity; |
| WD = water depth; ORP = oxidation–reduction potential; |
| SS = suspended solids; T = temperature; |
| DO = dissolved oxygen; C = conductivity; |
| pH = potential of hydrogen; Tran. = transparency; |
| TDS = total dissolved solids; SAL = salinity. |
| TDN = total dissolved nitrogen; TN = total nitrogen; |
| TP = total phosphorus; TDP = total dissolved phosphorus; |
| COD = chemical oxygen demand; TOC = total organic carbon. |
References
- Tamire, G.; Mengistou, S. Macrophyte species composition, distribution and diversity in relation to some physicochemical factors in the littoral zone of Lake Ziway, Ethiopia. Afr. J. Ecol. 2013, 51, 66–77. [Google Scholar] [CrossRef]
- Wetzel, R.G. Fundamental processes within natural and constructed wetland ecosystems: Short-term versus long-term objectives. Water Sci. Technol. 2001, 44, 1–8. [Google Scholar] [CrossRef] [PubMed]
- Chambers, P.A.; Lacoul, P.; Murphy, K.J.; Thomaz, S.M. Global diversity of aquatic macrophytes in freshwater. Hydrobiologia 2008, 595, 9–26. [Google Scholar] [CrossRef]
- Biudes, J.F.V.; Camargo, A.F.M.J.O.A. Studying the limitant factors to primary production of aquatic macrophytes in brazil. People 2008, 12, 7–19. [Google Scholar]
- Gurnell, A.; Van Oosterhout, M.; De Vlieger, B.; Goodson, J.M. Reach-scale interactions between aquatic plants and physical habitat: River Frome, Dorset. River Res. Appl. 2006, 22, 667–680. [Google Scholar] [CrossRef]
- Bando, F.M.; Michelan, T.S.; Cunha, E.R.; Figueiredo, B.R.S.; Thomaz, S.M. Macrophyte species richness and composition are correlated with canopy openness and water depth in tropical floodplain lakes. Braz. J. Bot. 2015, 38, 289–294. [Google Scholar] [CrossRef]
- Barko, J.W.; James, W.F. Effects of Submerged Aquatic Macrophytes on Nutrient Dynamics, Sedimentation, and Resuspension. In The Structuring Role of Submerged Macrophytes in Lakes; Springer: Berlin, Germany, 1998; pp. 197–214. [Google Scholar]
- Duarte, C.M. Marine biodiversity and ecosystem services: An elusive link. J. Exp. Mar. Biol. Ecol. 2000, 250, 117–131. [Google Scholar] [CrossRef]
- Scheffer, M.; Jeppesen, E. Regime shifts in shallow lakes. Ecosystems 2007, 10, 1–3. [Google Scholar] [CrossRef]
- Jones, C.G.; Lawton, J.H.; Shachak, M. Positive and negative effects of organisms as physical ecosystem engineers. Ecology 1997, 78, 1946–1957. [Google Scholar] [CrossRef]
- Lacoul, P.; Freedman, B. Environmental influences on aquatic plants in freshwater ecosystems. Environ. Rev. 2006, 14, 89–136. [Google Scholar] [CrossRef]
- Cook, C.D. Aquatic Plant Book; SPB Academic Publishing: Amsterdam, The Netherlands, 1996; 228p. [Google Scholar]
- Bornette, G.; Amoros, C.; Lamouroux, N.L. Aquatic plant diversity in riverine wetlands: The role of connectivity. Freshw. Biol. 1998, 39, 267–283. [Google Scholar] [CrossRef]
- Eigenbrod, F.; Bell, V.A.; Davies, H.N.; Heinemeyer, A.; Armsworth, P.R.; Gaston, K.J. The impact of projected increases in urbanization on ecosystem services. Proc. Biol. Sci. 2011, 278, 3201–3208. [Google Scholar] [CrossRef] [PubMed]
- Pulsford, S.A.; Lindenmayer, D.B.; Driscoll, D.A. A succession of theories: Purging redundancy from disturbance theory. Biol. Rev. Camb. Philos. Soc. 2016, 91, 148–167. [Google Scholar] [CrossRef] [PubMed]
- Bornette, G.; Puijalon, S. Response of aquatic plants to abiotic factors: A review. Aquat. Sci. 2011, 73, 1–14. [Google Scholar] [CrossRef]
- Van Geest, G.J.; Coops, H.; Roijackers, R.M.M.; Buijse, A.D.; Scheffer, M. Succession of aquatic vegetation driven by reduced water-level fluctuations in floodplain lakes. J. Appl. Ecol. 2005, 42, 251–260. [Google Scholar] [CrossRef]
- Toivonen, H. Concordance of species richness patterns among multiple freshwater taxa: A regional perspective. Biodivers. Conserv. 2002, 11, 137–147. [Google Scholar] [CrossRef]
- Pip, E.J.A.B. Water temperature and freshwater macrophyte distribution. Aquat. Bot. 1989, 34, 367–373. [Google Scholar] [CrossRef]
- Callaway, R.M.; King, L.J.E. Temperature-driven variation in substrate oxygenation and the balance of competition and facilitation. Ecology 1996, 77, 1189–1195. [Google Scholar] [CrossRef]
- Toivonen, H.; Huttunen, P. Aquatic macrophytes and ecological gradients in 57 small lakes in southern Finland. Aquat. Bot. 1995, 51, 197–221. [Google Scholar] [CrossRef]
- Murphy, K.J. Plant communities and plant diversity in softwater lakes of northern Europe. Aquat. Bot. 2002, 73, 287–324. [Google Scholar] [CrossRef]
- Pollock, M.M.; Naiman, R.J.; Hanley, T.A.J.E. Plant species richness in riparian wetlands—A test of biodiversity theory. Ecology 1998, 79, 94–105. [Google Scholar] [CrossRef]
- Wilson, J.B. Mechanisms of species coexistence: Twelve explanations for Hutchinson’s ‘paradox of the plankton’: Evidence from New Zealand plant. N. Z. J. Ecol. 1990, 13, 17–42. [Google Scholar]
- Arthaud, F.; Vallod, D.; Robin, J.; Wezel, A.; Bornette, G. Short-term succession of aquatic plant species richness along ecosystem productivity and dispersal gradients in shallow lakes. J. Veg. Sci. 2013, 24, 148–156. [Google Scholar] [CrossRef]
- Roxburgh, S.H.; Shea, K.; Wilson, J.B. The intermediate disturbance hypothesis: Patch dynamics and mechanisms of species coexistence. Ecology 2004, 85, 359–371. [Google Scholar] [CrossRef]
- Randall Hughes, A.; Byrnes, J.E.; Kimbro, D.L.; Stachowicz, J.J. Reciprocal relationships and potential feedbacks between biodiversity and disturbance. Ecol. Lett. 2007, 10, 849–864. [Google Scholar] [CrossRef] [PubMed]
- Shea, K.; Roxburgh, S.H.; Rauschert, E.S.J. Moving from pattern to process: Coexistence mechanisms under intermediate disturbance regimes. Ecol. Lett. 2004, 7, 491–508. [Google Scholar] [CrossRef]
- Kayes, L.J.; Anderson, P.D.; Puettmann, K.J. Vegetation succession among and within structural layers following wildfire in managed forests. J. Veg. Sci. 2010, 21, 233–247. [Google Scholar] [CrossRef]
- Bakker, J.; Olff, H.; Willems, J.; Zobel, M. Why do we need permanent plots in the study of long-term vegetation dynamics? J. Veg. Sci. 1996, 7, 147–156. [Google Scholar] [CrossRef]
- Wu, J.L.; Gagan, M.K.; Jiang, X.H.; Xia, W.L.; Wang, S.M. Sedimentary geochemical evidence for recent eutrophication of Lake Chenghai, Yunnan, China. J. Paleolimnol. 2004, 32, 85–94. [Google Scholar]
- Wu, J.; Jiang, X.; Xia, W.; Pan, H.; Yin, Y.J.M.G.; Geology, Q. Climate and primary productivity over the last 500 years of the chenghai lake, Yunnan. Mar. Geol. Quat. Geol. 2002, 22, 95–98. [Google Scholar] [CrossRef]
- Podani, J. Braun-Blanquet’s legacy and data analysis in vegetation science. J. Veg. Sci. 2006, 17, 113–117. [Google Scholar] [CrossRef]
- Pérez-Harguindeguy, N.; Diaz, S.; Gamier, E.; Lavorel, S.; Poorter, H.; Jaureguiberry, P.; Bret-Harte, M.; Comwell, W.; Craine, J.; Gurvich, D. New handbook for stand-ardised measurement of plant functional traits worldwide. Aust. J. Bot. 2013, 61, 167–234. [Google Scholar] [CrossRef]
- Li, H. A study on the lake vegetation of Yunnan plateau. Acta Bot. Yunnanica 1980, 2, 113–141. [Google Scholar]
- Li, H. The lake vegetation of hengduan mountains. Acta Bot. Yunnanica 1987, 9, 257–270. [Google Scholar]
- Shan, Z.; Li, J. Btudy on aquatic vegetation in Chenghai lake, Yunnan. J. Yunnan Norm. Univ. 1994, 14, 666–671. [Google Scholar]
- Dong, Y.; Tan, Z.; Wang, J. Current status and evolution trend of aquatic vegetation in Chenghai lake. Plant Divers. Resour. 2011. [Google Scholar] [CrossRef]
- Kantrud, H.A. Ago Pondweed (Potamogeton pectinatus L.): A Literature Review; Fish and Wildlife Resource Publication 176; US Fish and Wildlife Service: Washington, DC, USA, 1990; ND: Northern Prairie Wildlife Research Center Home Page. (Version 16JUL97). [Google Scholar]
- Van Dijk, G.M.; van Vierssen, W. Survival of a Potamogeton pectinatus L. population under various light conditions in a shallow eutrophic lake (Lake Veluwe) in The Netherlands. Aquat. Bot. 1991, 39, 121–129. [Google Scholar] [CrossRef]
- Chambers, P.A.; Kalff, J. Depth Distribution and Biomass of Submersed Aquatic Macrophyte Communities in Relation to Secchi Depth. Can. J. Fish. Aquat. Sci. 1985, 42, 701–709. [Google Scholar] [CrossRef]
- Sand-Jensen, K.; Borum, J.J.A.B. Interactions among phytoplankton, periphyton, and macrophytes in temperate freshwaters and estuaries. Aquat. Bot. 1991, 41, 137–175. [Google Scholar] [CrossRef]
- Tracy, M.; Montante, J.M.; Allenson, T.E.; Hough, R.A. Long-term responses of aquatic macrophyte diversity and community structure to variation in nitrogen loading. Aquat. Bot. 2003, 77, 43–52. [Google Scholar] [CrossRef]
- Wiegleb, G.J.H. Application of multiple discriminant analysis on the analysis of the correlation between macrophyte vegetation and water quality in running waters of Central Europe. Hydrobiologia 1981, 79, 91–100. [Google Scholar] [CrossRef]
- Kovács, M. (Ed.) Biological Indicators in Environmental Protection; Ellis Horwood: Hemstead, UK, 1992; pp. 120–129. [Google Scholar]
- Heegaard, E.; Birks, H.H.; Gibson, C.E.; Smith, S.J.; Wolfe-Murphy, S.J.A.B. Species–environmental relationships of aquatic macrophytes in Northern Ireland. Aquat. Bot. 2001, 70, 175–223. [Google Scholar] [CrossRef]
- Boedeltje, G.; Smolders, A.J.; Roelofs, J.G.; Van Groenendael, J.M. Constructed shallow zones along navigation canals: Vegetation establishment and change in relation to environmental characteristics. Aquat. Conserv. Mar. Freshw. Ecosyst. 2001, 11, 453–471. [Google Scholar] [CrossRef]
- Samecka-Cymerman, A.; Kempers, A.J. Aquatic macrophytes as biomonitors of pollution by textile industry. Bull. Environ. Contam. Toxicol. 2002, 69, 82–96. [Google Scholar] [CrossRef] [PubMed]
- Trei, T.; Pall, P. Macroflora in the watercourses of Saaremaa Island (Estonia). Boreal Environ. Res. 2004, 9, 25–36. [Google Scholar]
- Bernez, I.; Daniel, H.; Haury, J.; Ferreira, M.T. Combined effects of environmental factors and regulation on macrophyte vegetation along three rivers in western France. River Res. Appl. 2004, 20, 43–59. [Google Scholar] [CrossRef]
- Smolders, A.J.P.; Lamers, L.P.M.; Hartog, C.D.; Roelofs, J.G. Mechanisms involved in the decline of Stratiotes aloides L. in The Netherlands: Sulphate as a key variable. Hydrobiologia 2003, 506–509, 603–610. [Google Scholar] [CrossRef]
- Van den Berg, M.S.; Coops, H.; Simons, J.; de Keizer, A. Competition between Chara aspera and Potamogeton pectinatus as a function of temperature and light. Aquat. Bot. 1998, 60, 241–250. [Google Scholar] [CrossRef]
- Moen, R.A.; Cohen, Y. Growth and Competition between Potamogeton-Pectinatus L and Myriophyllum-Exalbescens Fern in Experimental Ecosystems. Aquat. Bot. 1989, 33, 257–270. [Google Scholar] [CrossRef]
- Cook, W.M.; Yao, J.; Foster, B.L.; Holt, R.D.; Patrick, L.B. Secondary succession in an experimentally fragmented landscape: Community patterns across space and time. Ecology 2005, 86, 1267–1279. [Google Scholar] [CrossRef]
- Wilson, J.B. The Intermediate Disturbance Hypothesis of Species Coexistence Is Based on Patch Dynamics. N. Z. J. Ecol. 1994, 18, 176–181. [Google Scholar]
- Wilson, J.B. The twelve theories of co-existence in plant communities: The doubtful, the important and the unexplored. J. Veg. Sci. 2011, 22, 184–195. [Google Scholar] [CrossRef]
- Connell, J.H. Diversity in tropical rain forests and coral reefs. Science 1978, 199, 1302–1310. [Google Scholar] [CrossRef]
- Matthiessen, B.; Ptacnik, R.; Hillebrand, H. Diversity and community biomass depend on dispersal and disturbance in microalgal communities. Hydrobiologia 2010. [Google Scholar] [CrossRef]
- Connell, J.H.; Slatyer, R.O. Mechanisms of Succession in Natural Communities and Their Role in Community Stability and Organization. Am. Nat. 1977, 111, 1119–1144. [Google Scholar] [CrossRef]
- Tilman, D. The Resource-Ratio Hypothesis of Plant Succession. Am. Nat. 1985, 125, 827–852. [Google Scholar] [CrossRef]
- Drury, W.H.; Nisbet, I.C.T. Succession. J. Arnold Arbor. 1973, 54, 331–368. [Google Scholar]
- Steinman, A.D.; Meeker, R.H.; Rodusky, A.J.; Davis, W.P.; Hwang, S.J. Ecological properties of charophytes in a large subtropical lake. J. N. Am. Benthol. Soc. 1997, 16, 781–793. [Google Scholar] [CrossRef]
- Simons, J.; Ohm, M.; Daalder, R.; Boers, P.; Rip, W. Restoration of Botshol (The Netherlands) by Reduction of External Nutrient Load—Recovery of a Characean Community, Dominated by Chara-Connivens. Hydrobiologia 1994, 275, 243–253. [Google Scholar] [CrossRef]
- Coops, H.; Doef, R.W. Submerged vegetation development in two shallow, eutrophic lakes. Hydrobiologia 1996, 340, 115–120. [Google Scholar] [CrossRef]
- Van den Berg, M.S.; Scheffer, M.; Van Nes, E.; Coops, H.J.H. Dynamics and stability of Chara sp. and Potamogeton pectinatus in a shallow lake changing in eutrophication level. Hydrobiologia 1999, 408, 335–342. [Google Scholar] [CrossRef]
- Grime, J.P. Plant strategies, vegetation processes, and ecosystem properties. Biol. Conserv. 2006. [Google Scholar] [CrossRef]
- Hilt, S.; Nuñez, A.; Marta, M.; Bakker, E.S.; Blindow, I.; Davidson, T.A.; Gillefalk, M.; Hansson, L.-A.; Janse, J.H.; Janssen, A.B.; et al. Response of submerged macrophyte communities to external and internal restoration measures in north temperate shallow lakes. Front. Plant Sci. 2018, 9, 194. [Google Scholar] [CrossRef] [PubMed]
- Wood, K.A.; O’Hare, M.T.; Mcdonald, C.; Searle, K.R.; Daunt, F.; Stillman, R.A. Herbivore regulation of plant abundance in aquatic ecosystems. Biol. Rev. 2016, 92, 1128. [Google Scholar] [CrossRef] [PubMed]
- Wetzel, R.G. Limnology: Lake and River Ecosystems; Gulf Professional Publishing: Houston, TX, USA, 2001. [Google Scholar]








| Years | Species | Coverage (km2) | Reference | Sampling Methods |
|---|---|---|---|---|
| 1980 | Vallisneria natans | --- | [35,36] | Used route investigation, sampling, and other ecological methods. |
| Potamogeton pectinatus | ||||
| Myriophyllum spicatum | ||||
| Chara sp. | ||||
| 1992 | Potamogeton crispus | 5.28 | [37] | Used a professional submersed rake to take 86 random samples. |
| Vallisneria natans | ||||
| Potamogeton pectinatus | ||||
| Myriophyllum spicatum | ||||
| Chara sp. | ||||
| 2010 | Potamogeton pectinatus | 0.73 | [38] | Used a professional submersed rake to take 80 random samples. |
| Myriophyllum spicatum | ||||
| 2018 | Potamogeton pectinatus | 0.38 | --- | Used sample points and zone surveys to take 175 samples. |
| Lemna minor | ||||
| Zannichellia palustris | ||||
| Chara sp. |
| Metal Cations | Ca2+ (mg/L) | K2+ (mg/L) | Mg2+ (mg/L) | Na2+ (mg/L) | Cu2+ (μg/L) | Zn2+ (μg/L) | As2+ (μg/L) | Cd2+ (μg/L) | Cr2+ (μg/L) |
| 9.19 ± 0.27 | 11.35 ± 0.08 | 49.44 ± 0.29 | 222.68 ± 1.99 | 1.22 ± 0.19 | 4.35 ± 1.9 | 13.09 ± 0.5 | 0.05 ± 0.01 | 26.36 ± 2.19 | |
| Nutrient Salts | NH4-N (mg/L) | TP (mg/L) | TDP (mg/L) | COD (mg/L) | CaO (mg/L) | TN (mg/L) | TDN (mg/L) | TOC (mg/L) | |
| 0.22 ± 0.07 | 0.09 ± 0.01 | 0.06 ± 0.01 | 29.41 ± 5.94 | 412.37 ± 2.32 | 0.92 ± 0.08 | 0.58 ± 0.1 | 24.92 ± 0.99 | ||
| Anions | F- (mg/L) | Cl− (mg/L) | SO42− (mg/L) | Br− (mg/L) | PO42− (mg/L) | NO3− (mg/L) | |||
| 2.58 ± 0.66 | 26.1 ± 0.41 | 14.77 ± 1.35 | 1.18 ± 0.01 | 0.01 ± 0 | 0.34 ± 0.03 | ||||
| Other Values | T (℃) | DO (mg/L) | C (mg/L) | TDS (mg/L) | SAL | pH | TURB (mg/L) | SS (mg/L) | Chlorophyll a (mg/L) |
| 24.14 ± 0.91 | 7.67 ± 2.23 | 1232.56 ± 110.98 | 1416.24 ± 2098.27 | 0.64 ± 0.02 | 9.64 ± 0.12 | 32.68 ± 36.73 | 30.08 ± 24.43 | 62.13 ± 31.81 | |
| ORP (mV) | Transparency (m) | ||||||||
| 83.69 ± 35.15 | 1.01 ± 0.16 |
© 2019 by the authors. Licensee MDPI, Basel, Switzerland. This article is an open access article distributed under the terms and conditions of the Creative Commons Attribution (CC BY) license (http://creativecommons.org/licenses/by/4.0/).
Share and Cite
Yu, H.; Qi, W.; Liu, C.; Yang, L.; Wang, L.; Lv, T.; Peng, J. Different Stages of Aquatic Vegetation Succession Driven by Environmental Disturbance in the Last 38 Years. Water 2019, 11, 1412. https://doi.org/10.3390/w11071412
Yu H, Qi W, Liu C, Yang L, Wang L, Lv T, Peng J. Different Stages of Aquatic Vegetation Succession Driven by Environmental Disturbance in the Last 38 Years. Water. 2019; 11(7):1412. https://doi.org/10.3390/w11071412
Chicago/Turabian StyleYu, Hongwei, Weixiao Qi, Chunhua Liu, Lei Yang, Ligong Wang, Tian Lv, and Jianfeng Peng. 2019. "Different Stages of Aquatic Vegetation Succession Driven by Environmental Disturbance in the Last 38 Years" Water 11, no. 7: 1412. https://doi.org/10.3390/w11071412
APA StyleYu, H., Qi, W., Liu, C., Yang, L., Wang, L., Lv, T., & Peng, J. (2019). Different Stages of Aquatic Vegetation Succession Driven by Environmental Disturbance in the Last 38 Years. Water, 11(7), 1412. https://doi.org/10.3390/w11071412
