Next Article in Journal
Simultaneous Sensor Placement and Pressure Reducing Valve Localization for Pressure Control of Water Distribution Systems
Previous Article in Journal
Hydrological Cycle and Lake Water Source Indicated by Microrelief-Evaporite-Vegetation-Runoff Assemblage of Badain Jaran Desert
 
 
Font Type:
Arial Georgia Verdana
Font Size:
Aa Aa Aa
Line Spacing:
Column Width:
Background:
Article

Efficiency of Combined Processes Coagulation/Solar Photo Fenton in the Treatment of Landfill Leachate

by
Liceth P. Rebolledo
1,2,
Victoria A. Arana
1,*,
Jorge Trilleras
3,
Gustavo E. Barros
3,
Arturo J. González-Solano
2 and
Henry Maury-Ardila
2
1
Grupo de Investigación Ciencia, Educación y Tecnología - CETIC, Programa de Química, Programa de Maestría en Ciencias Ambientales, Facultad de Ciencias Básicas, Universidad del Atlántico, Carrera 30 # 8-49, Puerto Colombia 081007, Atlántico, Colombia
2
Grupo de Investigación en Ciencias Naturales y Exactas - GICNEX, Programa de Ingeniería Ambiental, Departamento de Ciencias Naturales y Exactas, Corporación Universidad de la Costa CUC, Calle 58 # 55-66, Barranquilla 080002, Atlántico, Colombia
3
Grupo de Investigación en Compuestos Heterocíclicos, Programa de Química, Programa de Maestría en Ciencias Ambientales, Facultad de Ciencias Básicas, Universidad del Atlántico, Carrera 30 # 8-49, Puerto Colombia 081007, Atlántico, Colombia
*
Author to whom correspondence should be addressed.
Water 2019, 11(7), 1351; https://doi.org/10.3390/w11071351
Submission received: 19 February 2019 / Revised: 13 April 2019 / Accepted: 18 April 2019 / Published: 29 June 2019
(This article belongs to the Section Wastewater Treatment and Reuse)

Abstract

The combined coagulation-solar photo Fenton treatment of leachate from the sanitary landfill located in Atlantico-Colombia was investigated. Firstly, the efficiency of two alternative combined treatments for the reduction of chemical oxygen demand in leachate was assessed, coagulation with poly-aluminum chloride followed by solar photo-Fenton process (Treatment 1) and coagulation with FeCl3·6H2O followed by ferrioxalate-induced solar photo-Fenton process (Treatment 2). Afterwards, treatments 1 and 2 were compared with the treatment currently used in the sanitary landfill (only coagulation with poly-aluminum chloride), in terms of efficiency and costs. An optimization study of alternative treatments was performed combining central-composite experimental design and response surface methodology. The optimum conditions resulted in a chemical oxygen demand reduction of 73 % and 80 % for Treatment 1 and 2, respectively. Both alternative treatments for the leachate are more efficient than the treatment currently used in the sanitary landfill (chemical oxygen demand reduction of 20 %). In terms of costs, treatment 1 would be the most competitive to implement in the sanitary landfill, since this would have an increase of 13.3 % in the total unitary cost compared to an increase of 39.5 % of treatment 2.

1. Introduction

Modern anthropic activity generates large amounts of solid waste. Sanitary landfills are a strategic option for waste treatment. In Latin America, this is strategy is used by 50% of countries and 80% in developed countries [1]. One of the main problems of sanitary landfills is the production of leachate, which is considered the residual liquid generated by the biological decomposition of the organic part or biodegradable of solid waste under aerobic and anaerobic conditions and/or as a result of water percolation through waste in the degradation process. The leachate has high variability in its composition and quantity and also contains recalcitrant substances, such as humic and fluvic acids, xenobiotics, pesticides, heavy metals and inorganic salts [2]. Many of these pollutants are present in high concentrations, thus the leachate is classified as one of the most complex and difficult substances to treat as it requires rigorous management and control. In addition, it depends on the age of the landfill, climatic conditions, soil properties, type and composition of waste [3]. The discharge of leachate into the environment without a suitable treatment can generate serious environmental problems, since it can percolate through soils, causing contamination of surface and groundwater resources [4]. Therefore, it is very important to pretreatment of leachate before discharge to the environment. Leachate can be subjected to biological treatments (anaerobic and/or aerobic degradation), physicochemical treatment (coagulation/flocculation, reverse osmosis, adsorption with activated carbon, advanced oxidation processes (POA)) and different combinations of these processes [5,6,7,8,9,10,11,12].
The sanitary landfill located in the Atlantico department, Colombia, is classified as an intermediate sanitary landfill. The leachate presents high levels of recalcitrant organic matter and a relation between biochemical oxygen demand (BOD5) and chemical oxygen demand (COD) less than 0.1, indicating low biodegradability. This limits the application of biological processes and implies that the leachate must be treated with physicochemical processes or a combination of technologies [5]. Currently, the treatment of this leachate involves a process of coagulation using poly-aluminum chloride (PAC) coagulant with a low efficiency of removal of organic matter (≤20%). Therefore, the combination of coagulation and solar photo-Fenton processes for treatment of leachate is necessary, first to reduce the suspended solids and turbidity of the leachate and second to take advantage of solar radiation, using it as a renewable resource to reduce the operative costs and to degrade recalcitrant organic pollutants by the action of hydroxyl radicals (HO•) and other reactive oxygen species [13,14,15]. The compound parabolic collector (CPC) can efficiently use diffuse and incident solar radiation [16].
In the literature, studies related to the treatment of landfill leachate by integrating coagulation/flocculation processes with solar photo Fenton were found [13,15,16]. The results were promising for the removal of organic matter in landfill leachate. Taking into account the fact that each leachate is unique due to its characteristics and conditions, it is necessary to evaluate these treatments and find the best alternative for each case. In the case of the sanitary landfill located in the Atlantico department-Colombia, an inefficient coagulation process is currently used to reduce COD. Therefore, choosing the best treatment strategy considering two possibilities and finding the optimal operational conditions to improve the biodegradability of the leachate is necessary. Since some important parameters affect the efficiency in coagulation processes and solar photo Fenton, it is necessary to optimize these operating conditions to reduce the consumption of reagents and consequently operating costs. Statistical analysis allows to experimental design to evaluate the effects of various factors and their interaction, with the aim to establish optimal operating conditions with a limited number of experiments. The objectives of this study were: (1) Optimize treatment 1: coagulation/sedimentation using PAC followed by solar photo-Fenton process for landfill leachate using central-composite experimental design, (2) Optimize treatment 2: coagulation/sedimentation using FeCl3·6H2O followed by ferrioxalate-induced solar photo-Fenton process for landfill leachate using central-composite experimental, (3) Compare treatments 1 and 2 with the treatment carried out in the sanitary landfill located in the Atlantico department-Colombia, in terms of efficiency and costs.

2. Materials and Methods

2.1. Landfill Leachate

The leachate was obtained from the municipal sanitary landfill located in Tubará city (Atlantico, Colombia), the location of which can be seen in Figure 1. According to the physicochemical properties of leachate, it can be classified as stabilized (Table 1).

2.2. Reagents and Materials

Analytical grade reagents were used as received without further purification. Ferric chloride (FeCl3·6H2O, Merck KGaA, Darmstadt, Germany, 99.0–102.0%) and poly-aluminum chloride (PAC, Aln(OH)mCl3n-m, Productos Químicos Panamericana, Medellín, Colombia, 70%) were used as coagulants. Sulfuric acid (H2SO4, Merck KGaA, Darmstadt, Germany, 95–97%) was used to the pH adjustment. Iron sulfate (FeSO4·7H2O, Merck KGaA, Darmstadt, Germany, 99.5–102.0%) and hydrogen peroxide (H2O2, Merck KGaA, Darmstadt, Germany, 30%) were used as Fenton reagents. Oxalic acid di-hydrate (C2H2O4·2H2O, Merck KGaA, Darmstadt, Germany, 99.5–102.0%) was used to form ferrioxalate complexes.

2.3. Analytic Measurements

Measurements of temperature, pH, conductivity, dissolved oxygen, salinity and total dissolved solids were performed using a multiparameter analyzer (556 MPS, YSI, Yellow springs, USA, Accuracy ± 2%). Turbidity was measured using a portable turbidity meter (2100 Q, Hach Company, Loveland, USA, Accuracy ± 2%). Biology Oxygen Demand (BOD) and Chemical Oxygen Demand (COD) were determined according to APHA Standard Methods (5210 D. Respirometric Method and 5220 D. Closed Reflux, Colorimetric Method) [17]. A thermo-reactor (ECO 25, VELP Scientifica, Usmate Velate, Italy, Accuracy ± 1 °C) and a UV-VIS spectrophometer (Genesys 10 S, Thermo Fisher Scientific, Waltham, USA, Accuracy < 2%) at a wavelength of 600 nm were used to determine COD. Metal ions concentrations (Al, Cr, Fe, Cu, Pb, Cd, Na, Ca and Mg) were obtained after a previous digestion of the landfill leachate, according to EPA Methods [18], by inductively coupled plasma atomic emission spectroscopy (ICAP 7200 DUO, Thermo Fisher Scientific, Waltham, USA, Accuracy < 2%).

2.4. Combination of Treatments

Two different combinations of processes were performed: (i) Treatment 1: coagulation/sedimentation using PAC followed by solar photo-Fenton process and (ii) Treatment 2: coagulation/sedimentation using FeCl3·6H2O followed by ferrioxalate-induced solar photo-Fenton process, to evaluate the efficiency of removal organic matter, carried out in a lab-scale photoreactor.

2.5. Experiment Design

A two-levels factorial design (23) was used for the coagulation/sedimentation process, which consisted of three factors, each at two levels [19]. Sixteen experiments were performed, including duplicates. The factors were coagulant dose, pH and slow mixing time. The levels maximum (+1) and minimum (−1). The response factor was percentage reduction of COD.
A central-composite experimental design (CCED) was used for the solar photo-Fenton process, performing 32 experiments including duplicates. Three series of experiments were developed: (i) A two-levels factorial design (2k), with three factors (k), each at two levels (+1 and −1), resulting in 8 experiments; (ii) axial points (coded values α = 2k/4 = ±1.6817, where k corresponds to three factors), resulting in 6 experiments (2k); and (iii) replicates of the central point (2 experiments). The factors were concentrations of H2O2, concentrations of Fe2+ and accumulated UV energy. The response factor was percentage reduction of COD.
A CCED was used for the ferrioxalate-induced solar photo-Fenton process, performing 40 experiments including duplicates. Three series of experiments were developed: (i) A two-levels factorial design (2k), with three factors (k), each at two levels (+1 and −1), resulting in 8 experiments; (ii) axial points (coded values α = 2k/4 = ±1.6817, where k corresponds to three factors), resulting in 6 experiments (2k); and (iii) replicates of the central point (6 experiments). The variables were concentrations of H2O2, [Fe2+]/[C2H2O4] and pH. The response factor was the percentage reduction of COD.
The experimental designs, analysis of variance (ANOVA), mathematical modeling and optimization were carried out with Statgraphics Centurion XVI software (StatPoint Technologies, Inc., The Plains, USA) [20]. Second-order polynomial models were created to optimize the factors studied, resulting in a maximum value of response factor in the different processes evaluated, according to the Equation (1) [19].
Y = β 0 + i = 1 k β i X i + i = 1 k β i i X i 2 + i < j k β i j X i X j + ε
In which Y is the response factor, Xi and Xj are the coded levels of the studied factors, k is the number of studied factors, β0 is a constant coefficient while βi, βij, βii are coefficients of linear, interaction and quadratic term, respectively and ε the experimental error.

2.6. Coagulation/Sedimentation Experiments

The coagulation/sedimentation experiments were performed with PAC and FeCl3·6H2O coagulants. Ferric chloride was selected as an alternative coagulant due to its capacity to reduced substantially COD from leachate [21]. Preliminary experiments were conducted based on the same reagent (PAC) and doses used in the landfill to choose the PAC dose range and based on the literature reported to choose the FeCl3·6H2O dose range [3,5,13,14,21]. The pH range was selected based on the best performance of the coagulants and close to the pH of raw landfill leachate, in order to reduce operating costs by pH adjustment. A jar test equipment (JLT-6, VELP Scientifica, Usmate Velate, Italy) was used with capacity for 6 beakers of 2 L each. To 1 L of leachate was added predetermined coagulant dose (PAC, 0.615–0.984 g L−1 and FeCl3·6H2O, 1.5–2.5 g L−1) and pH was adjusted (6–8). The rapid mixing conditions for experiment was 2 min at 300 rpm, followed by a slow mixing conditions (40 rpm) during predetermined time (20–30 min). The sedimentation time was 30 min. The supernatant was withdrawn from the beaker and COD was measured.

2.7. Lab-Scale Photoreactor

A compound parabolic collector (CPC) was used as a photoreactor to perform the experiments. The CPC consists of three polymethyl methacrylate tubes (length 40 cm, internal diameter 25 mm and thickness 3 mm) connected in series and exposed to an anodized aluminum reflecting surface, with an inclination of 10.9° corresponding to the local latitude and exposed surface area 0.36 m2. The photoreactor has a recirculation tank of 2 L and a recirculation pumps with a flow rate of 18 L min−1. The total radiation accumulated in the photo-reactor was measured using a digital radiometer (UV513 AB, General Tools & Instruments, New York, EE. UU., Accuracy ± 4%) mounted in the same inclination. The amount of accumulated UV energy (QUV,n kJ L−1) in the time interval Δt was calculated according to Equation (2) [22].
Q U V , n = Q U V , n 1 + [ Δ t U V ¯ G , n A r V t ] ;   Δ t = t n t n 1
where, QUV,n is accumulated radiation per unit volume in the range of n (kJ L−1); QUV,n−1 is accumulated radiation per unit volume in the range of n − 1 (kJ L−1); Δtn is elapsed time in interval n (s); U V ¯ G , n is incident radiation (kW m−2); Ar is exposed surface of reactor (m2); Vt is total volume treated (L).

2.8. Solar Photo-Fenton Experiments

The solar photo-Fenton experiments were performed in a photoreactor installed at the roof of the Corporación Universidad de la Costa CUC (Barranquilla, Colombia). For the solar photo-Fenton experiments, the effluents pre-treated with PAC coagulant was added to the recirculation tank of the CPC unit, which was homogenized in the darkness and pH was adjusted to 3.0 (the photo-Fenton processes are performed efficiently at acidic conditions, prevented iron and other metallic ions from precipitating as insoluble species) [23]. The pre-determined concentrations of FeSO4·7H2O and H2O2 were added and the amount of accumulated radiation UV energy was established according to the time intervals of solar exposure (Equation (2)). Finally, the sample was taken for analyses of COD. For the ferrioxalate-induced solar photo-Fenton experiments, the effluents pre-treated with FeCl3·6H2O coagulant was added to the recirculation tank of the CPC unit, the mixture was homogenized by recirculation in the darkness and the pH was adjusted to the predetermined values. The ferrioxalate complex was prepared as literature reported [24,25]. The amount of H2O2 was added to the photoreactor after the addition of the Fe2+ and C2H2O4·2H2O until reach the concentration established for each substance. The final solution was exposed to the accumulated UV energy of 167 kJ L−1, then the sample was taken and the COD was analyzed.

3. Results and Discussion

3.1. Coagulation/Sedimentation Experiments

Landfill leachate has a COD higher than 5000 mg L−1 and a BOD5/COD ratio less than 0.10 (Table 1). This indicates the presence of persistent organic compounds and non-biodegradable substances. Therefore, effective treatment is required, such as combined physicochemical treatments, excluding biological [26]. A coagulation/sedimentation process as a first step in the leachate treatment was applied. The effect of some factors such as coagulant dose, pH and slow mixing time on the efficiency of the removal of organic matter for coagulation/sedimentation process were evaluated. Table 2 presents complete experimental design of coagulation/sedimentation experiments using PAC and FeCl3·6H2O coagulant and COD reduction results obtained in this study.
The significant main and interaction effects of factors that influences the COD reduction was determined with ANOVA. Table 3 presents a summary of ANOVA results for coagulation/sedimentation experiments with PAC coagulant. The most significant factors for COD reduction in order of importance were slow mixing time (C) and coagulant dose (A), according to the high calculated values of F and low values-p (<0.05). The pH resulted to be non-significant in evaluated experimental range. The self-double-effect of each factor (A2, B2 and C2 terms) were not taken into account because they were non-significant.
The Pareto diagram represents graphically the standardized effects of each factor and its interactions. The positive (+) or negative (−) effect on the response factor is given by the increase in the level of factor [27]. Figure 2 presents a Pareto diagram for coagulation/sedimentation experiments with PAC coagulant. The coagulant dose and slow mixing time were the factors with the highest effect over the COD reduction. The coagulant dose presented negative sign, it indicates that the highest COD reduction was obtained at the lowest levels of this factor. The coagulant PAC at low doses can neutralize the surface charge of the particles and allow aggregation but at high doses the effectiveness of the process is reduced [12]. The increase of coagulant beyond a certain concentration could re-stabilize colloidal particles, forming smaller and weaker floccules through adsorption and bridging due to additional PAC [14]. The slow mixing time presented positive sign, it indicates that the highest COD reduction was obtained at the highest levels of this factor, this depends on the characteristics of the leachate, being this complex in its components [28]. The best conditions for COD reduction were obtained. COD reduction of 36.1% were obtained with pH 8, 0.615 g L−1 of PAC and 20 min of slow mixing, similar to the reported results reported with removal rates of between 25% and 38% [28].
Table 4 presents a summary of ANOVA results for coagulation/sedimentation experiments with FeCl3·6H2O coagulant. The most significant factors for COD reduction in order of importance were pH (A) and the interaction pH-FeCl3 dose (AB), according to the high calculated values of F and low values-p (<0.05). The slow mixing time resulted to be non-significant in evaluated experimental range. The self-double-effect of each factor (A2, B2 and C2 terms) were not taken into account because they were non-significant.
Figure 3 presents a Pareto diagram for coagulation/sedimentation experiments with FeCl3·6H2O coagulant. The pH and the interaction pH-FeCl3 dose were the factors with the highest effect over the COD reduction. Both factors presented negative sign, it indicates that the highest COD reduction was obtained at the lowest levels of these factors. The negative effect of pH influenced COD reduction, due to the nature of the leachate, which does not allow for the solubility of iron ions. At pH value > 8 the species Fe(OH)4− appear, the efficiency to precipitate of which is null according to the coagulation diagrams for FeCl3, however at pH < 6, appear species such as Fe3+, Fe2(OH)2+, FeOH2+, which promote the restabilization of colloidal particles [6].
The conditions of greater COD reduction using FeCl3·6H2O coagulant were pH 6, 2.5 g L−1 of FeCl3·6H2O and 30 min of slow mixing, COD reduction of 65.0 % were obtained. These results were consistent with other studies in which FeCl3·6H2O showed a higher removal efficiency of organic matter compared with the PAC [2]. Moradi and Ghanbari [5] reported similar data for the treatment of leachate with FeCl3·6H2O, finding COD removal of 65.0 %. Liu and co-workers [13] reported optimal results at pH close to 6 and dose of 10 g L−1 of FeCl3·6H2O with COD reduction of 68.7 %, finding that the initial pH and the coagulant dose play an important role. They also point out that it is viable to use coagulation processes for the pre-treatment of leachates. The predominant coagulation mechanisms are charge neutralization, in which the charged hydrolysis species of coagulant can adsorb into the surface of the colloidal particle and destabilize it; and sweep-floc coagulation, the presence of precipitate of ferric hydroxide can physically sweep the colloidal particles from the suspension [29]. When increasing the dose of FeCl3·6H2O, the elimination of COD increases maintaining the pH in 6, as reported by Long and co-workers [30]. This indicates that FeCl3·6H2O presents greater COD removal with pH values close to neutrality. On the contrary, with pH values that oscillate between 8 or more, the COD removal is less, because the Fe3+ cations allow the colloidal particles to be positively charged, stabilizing the colloids [31].
With the optimal conditions determined in this study, 36.1 % and 65.0 % COD reduction were obtained using PAC and FeCl3·6H2O coagulants, respectively. Comparing these results, the FeCl3·6H2O presents higher COD reduction with respect to the PAC, this is a great advantage to use FeCl3·6H2O, however it is extremely corrosive and presents higher costs. On the other hand, comparing the results with the conditions obtained with PAC coagulant in this study (pH 8, 0.615 g L−1 of PAC and 20 min of slow mixing, final COD of 3968 mg O2 L−1) and the conditions used in the sanitary landfill (pH 8.0, 1.5 g L−1 of PAC and 30 min of slow mixing, final COD of 4960 mg O2 L−1), an increase of 80% was obtained in the removal of organic matter and the consumption of coagulant was reduced to 59%, maintaining the initial pH of the leachate, therefore, operating costs decrease in this process.

3.2. Solar Photo-Fenton Experiments with PAC Coagulant Pre-Treated

The leachate treated with PAC coagulant increased the removal of organic matter (final COD of 3968 mg O2 L−1) compared to the process used in the landfill sanitary (final COD of 4960 mg O2 L−1). However, the pre-treated leachate exceeds the legal limit of discharge into natural water streams, according to Colombian legislation the concentration of COD for the final leachate effluent is set at < 180 mg O2 L−1 [32]. Therefore, the combination with photo-oxidation processes is required. The solar photo Fenton process is considered a suitable way for the treatment of leachate. The most important variables related to the rate of removal of COD are the intensity of irradiation, concentration of H2O2 and Fe2+ in the system, pH values and the initial COD, therefore the first three variables were evaluated in this study with the aim to determine the optimal conditions and its effects on COD removal in the pre-treated leachate [23]. Central composite design (CCD) was used to optimize the three main factors in solar photo Fenton: H2O2 dose, Fe2+ dose and accumulate UV energy. According to conditions reported literature a [H2O2]/[Fe2+] ratio between 5 and 20 was used, considering that the excess of hydrogen peroxide with respect to the amount of iron added is essential to maintain the catalytic character in the chemical reaction [33]. The pH after the coagulation/sedimentation process was adjusted to a value 3 with addition of H2 SO4 to avoid iron precipitation in the form of hydroxide, Fe(OH)3 [14].
Table 5 shows the results of complete experimental design and the COD reduction of solar photo-Fenton experiments in pre-treated leachate with PAC coagulant. The highest COD reduction (56.4%) was achieved for the experiment 12, with 13.3 g L−1 of H2O2, 2.56 g L−1 of Fe2+ and 122 kJ L−1 of accumulated radiation. These results are very similar to characterization and detoxification of a mature landfill leachate using combined treatments of coagulation/flocculation and photo-Fenton with Fe2+ dose of 5.5 mg L−1 and H2O2 dose of 630 mg L−1, which achieved COD reduction of 56% [14]. Similarly, combinations of treatments have been tested at landfills, obtaining in the coagulation process a COD reduction of 26% and when combined with the solar photo-Fenton process, a COD reduction of 60% was achieved with accumulated radiation of 165 kJ L−1 over five days [7].
The results of the ANOVA are presented in the Table 6. The factors in order of significance and contribution were: quadratic B, concentration of Fe2+ (B), quadratic C, accumulated UV energy (C) and quadratic A. All the terms have a p value lower than 0.05 and a high F value.
The quality of the fitted model was evaluated based on the determination coefficients, R2 and R2adj. The high values of R2 (93.87%) and R2adj (84.67%) indicate that Equation (3) present a satisfactory correlation between the model and observed results. Similarity the Figure 4 demonstrated the concordance between the observed values and the values obtained with the adjusted model.
Y = 24.82 + 14.41 X1 − 67.70 X2 − 0.68 X3 − 0.63 X12 + 1.44 X1 X2 + 0.0088 X1 X3 + 16.39 X22 + 0.022 X2 X3 + 0.0019 X32
where, Y is COD reduction, X1 is H2O2 dose, X2 is Fe2+ dose and X3 is accumulate UV energy.
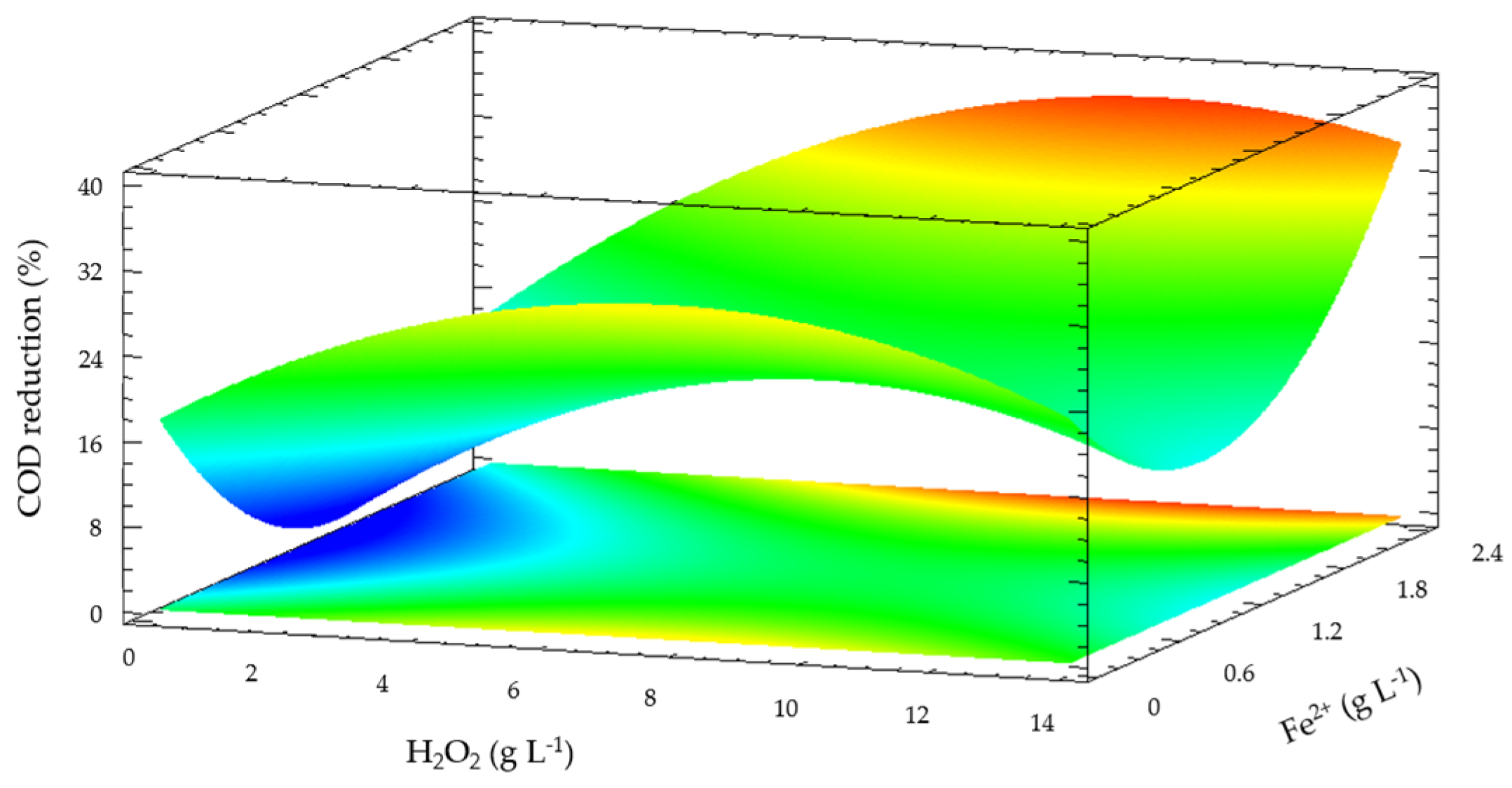
Figure 5 shows the optimization of the operation conditions of solar photo-Fenton experiments in pre-treated leachate with PAC coagulant. The COD reduction predicted obtained in the optimization was 65% with 14.68 g L−1 of H2O2, 2.56 g L−1 of Fe2+ and 48 kJ L−1 of accumulated UV energy. The results show that a higher addition of iron doses and accumulated solar radiation promotes the formation of oxidant species to reduce COD [34,35,36].

3.3. Ferrioxalate-Induced Solar Photo-Fenton Process with FeCl3 Coagulant Pre-Treated

In this case, the efficiency of COD reduction of ferrioxalate-induced solar photo-Fenton process in pre-treated leachate with FeCl3 coagulant was evaluated. The H2O2 dose is determined from the COD of the pre-treated leachate, which was calculated based on the stoichiometric ratio COD:H2O2 proposed by Kim and co-workers [37], where 1 g of COD = 2.125 g of H2O2. The dose of Fe2+ supplied from ferrous sulfate heptahydrate granular (FeSO4·7H2O), was obtained from the ratio H2O2: Fe2+, for each 5 a 10 g of H2O2 is added 1 g of Fe2+ and the doses of oxalic acid resulted from the ratio 1 g of Fe2+ per 3 g of H2C2O4 [37]. The pH was adjusted with sulfuric acid to 97 % purity according to the predetermined. The experiments were carried out at 167 kJ L−1 of accumulated UV energy.
The results of COD reduction and complete experimental design of ferrioxalate-induced solar photo-Fenton experiments with a FeCl3 coagulant pre-treatment are shown in Table 7. The highest reduction of COD (27.2%) was achieved for Exp. 4, with 10.8 g L−1 of H2O2, 1.97 g L−1 of Fe2+, 5.91 g L−1 of H2C2O4 and pH 4.0.
The ANOVA results show that some factors, except the interactions AC ([H2O2]-pH) and BC ([Fe2+]/[C2H2O4]-pH), are statistically significant (Table 8). The factors in order of importance and contribution were: pH (C), quadratic B, [Fe2+]/[C2H2O4] (B), quadratic C, quadratic A, concentration of H2O2 (A) and interaction AB ([H2O2]−[Fe2+]/[C2H2O4]). All them terms have a p value lower than 0.05 and high F value.
The quality of the fitted model was evaluated based on the determination coefficients, R2 and R2adj. The high values of R2 (83.0%) and R2 adj (77.6%) indicate that Equation (4) present a correlation between the model and observed results. Similarity the Figure 6 demonstrated the concordance between the observed values and the values obtained with the adjusted model.
Y = 58.65 − 17.48 X1 + 3.98 X2 − 12.72 X3 + 1.82 X12 − 0.13 X1 X2 − 3.35 X1 X3 − 0.22 X22 + 0.47 X2 X3 + 10.26 X32
where, Y is COD reduction, X1 is pH, X2 is H2O2 dose and X3 is Fe2+ dose.
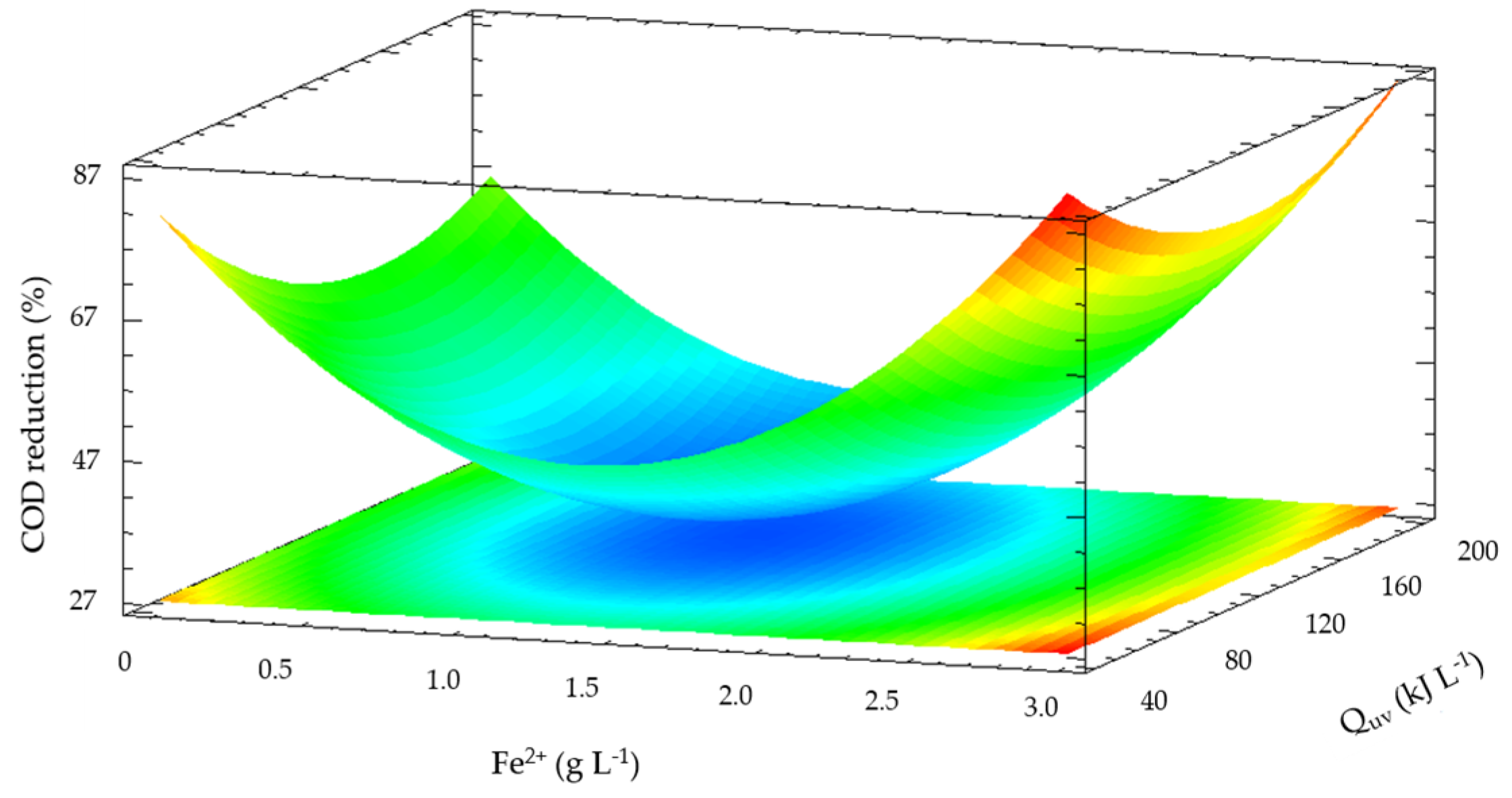
Figure 7 shows the optimization of the operation conditions of ferrioxalate-induced solar photo-Fenton experiments in pre-treated leachate with FeCl3·6H2O coagulant. The COD reduction predicted obtained in the optimization was 37% with 8.95 g L−1 of H2O2, 1.60 g L−1 of Fe2+, 4.8 g L−1 of C2H2O4 and pH 4.0. The results show that a higher addition of iron doses and H2O2 doses promotes the formation of oxidant species to reduce COD. This indicates that with sufficient doses of hydrogen peroxide and Fe2+/C2H2O4 to photocatalytic system, the mineralization of pollutants increases, due to the continuous regeneration of Fe (II) from the photo-reduction of Fe (III) by solar light and the generation of additional free radicals (mainly OH•) due to ferrioxalate photochemistry [38,39,40]. Reducing the pH and increasing the amount of iron in the leachate increases the efficiency of the process to reduce COD, due to the generation of Fe[(C2O4)3]3−, similar results were reported by Estrada-Arriaga and co-workers [25]. Low concentrations of Fe2+ and H2O2 generate a decrease in the removal of organic matter, because it decreases the generation of HO• radicals according to Equations (5) and (6) [41].
Fe2+ + H2O2 → Fe3+ + HO + OH
Fe2+ + 3C2O4 + H2O2 →Fe [(C2O4)3]3− + HO• + OH

3.4. Treatment of Leachate under Optimized Conditions

A preliminary study of the costs per cubic meter of leachate treatment with coagulation followed by solar photo-Fenton process was carried out, in order to compare the costs of the combined treatment and the treatment used in the sanitary landfill located in the Atlantico department, Colombia. The coagulation process is the only treatment used in the treatment of leachates from this sanitary landfill with a removal of organic matter not greater than 20%. Currently, the operational conditions used in the sanitary landfill are 1.5 g L−1 of PAC, pH 8.0, fast mixing of 300 rpm for 2 min and slow mixing of 40 rpm for 30 min, for a total unitary cost of 2.60 €/m3 [42].
(i) Treatment 1: coagulation/sedimentation using PAC followed by solar photo-Fenton process. The treated leachate with the optimal operational conditions of each of the processes (Section 3.1 and Section 3.2) obtained a 73% reduction of COD (COD final 1674 mg L−1, 0.615 g L−1 of PAC) with a total unitary cost of 3.00 €/m3. By comparing these results, optimized treatment 1 allowed to substantially improve the reduction of COD in the leachate landfill, with only an increase of 13.3% in the total unitary cost. In addition, the use of the PAC coagulant was reduced by 59%.
(ii) Treatment 2: coagulation/sedimentation using FeCl3·6H2O followed by ferrioxalate-induced solar photo-Fenton process. The treated leachate with the optimal operational conditions of each of the processes (Section 3.1 and Section 3.3) obtained a 80% reduction of COD (COD final 1240 mg L−1, 2.5 g L−1 of FeCl3·6H2O) with a total unitary cost of 4.30 €/m3. By comparing these results, optimized treatment 2 allowed to substantially improve the reduction of COD in the leachate landfill, with only an increase of 39.5% in the total unitary cost.
Treatments 1 and 2 increased the removal of organic matter (final COD of 1674 mg O2 L−1 and 1240 mg O2 L−1, respectively) compared to the process used in the landfill sanitary (final COD of 4960 mg O2 L−1). Under these conditions, the effluent obtained with the alternative treatments presents high values of COD, therefore it cannot be discharged into natural water streams, to Colombian legislation the concentration of COD for the final leachate effluent is set at < 180 mg O2 L−1 [32]. However, the effluent improves enough to be released into public wastewater where the COD legal limit is 2000 mg O2 L−1 [32].
This means that in terms of costs, treatment 1 would be the most competitive to implement in the landfill. However, the PAC coagulant has the disadvantage that the aluminum contents present in the final effluent (Alinicial 1595 mg L−1 and Alfinal 2485 mg L−1) may require an additional process for their removal. Also, in the Caribbean region of Colombia where the sanitary landfill is located and treatment 1 would be implemented, it has a great potential for the use of photo treatment with UV energy, because the climate is tropical dry, it is hot all-year-round, therefore a renewable and sustainable source would take the maximum advantage.

4. Conclusions

Two alternative combined treatments were assessed for reduction of COD in leachate from the sanitary landfill located in Atlantico-Colombia. At the sanitary landfill located in Atlántico-Colombia, coagulation with PAC is currently used, obtaining a 20% reduction of COD (final COD of 4960 mg O2 L−1). Under these conditions, the effluent from the treated leachate cannot be discharged into public wastewater (COD legal limit is 2000 mg O2 L−1).
In optimum conditions for Treatment 1 (coagulation/sedimentation using PAC followed by solar photo-Fenton process) and Treatment 2 (coagulation with FeCl3·6H2O followed by ferrioxalate-induced solar photo-Fenton process), COD was reduced by 73% and 80%, respectively (final COD of 1674 mg O2 L−1 and 1240 mg O2 L−1, respectively). Under these conditions, the effluent from the treated leachate can be discharged into public wastewater.
The combined treatments could be a promising alternative for the reduction of COD in landfill leachate, particularly Treatment 1 with an increase of 13.3% in total unitary cost and a PAC coagulant reduction of 59%. In addition, the potential of solar radiation as a sustainable and renewable energy resource could be exploited.

Author Contributions

Conceptualization, V.A.A.; Investigation, L.P.R., V.A.A. and J.T.; Methodology, L.P.R., G.E.B., A.J.G.-S. and H.M.-A.; Resources, H.M.-A.; Software, G.E.B.; Validation, A.J.G.-S.; Writing—original draft, L.P.R. and V.A.A.; Writing—review & editing, J.T.

Funding

This research was supported by the Vice-rectory of Research, Extension and Social Projection—Universidad del Atlántico No. CB031-PS2017 and Corporación Universidad de la Costa.

Conflicts of Interest

The authors declare no conflict of interest.

References

  1. Zhang, H.; Wu, X.; Li, X. Oxidation and coagulation removal of COD from landfill leachate by Fered-Fenton process. Chem. Eng. J. 2012, 210, 188–194. [Google Scholar] [CrossRef]
  2. Renou, S.; Givaudan, J.G.; Poulain, S.; Dirassouyan, F.; Moulin, P. Landfill Leachate Treatment: Review and Opportunity. J. Hazard. Mater. 2008, 150, 468–493. [Google Scholar] [CrossRef] [PubMed]
  3. Boumechhour, F.; Rabah, K.; Lamine, C.; Said, B.M. Treatment of landfill leachate using Fenton process and coagulation/flocculation. Water Environ. J. 2013, 27, 114–119. [Google Scholar] [CrossRef]
  4. Risch, E.; Loubet, P.; Núñez, M.; Roux, P. How environmentally significant is water consumption during wastewater treatment? Application of recent developments in LCA to WWT technologies used at 3 contrasted geographical locations. Water Res. 2014, 57, 20–30. [Google Scholar] [CrossRef] [PubMed]
  5. Moradi, M.; Ghanbari, F. Application of response surface method for coagulation process in leachate treatment as pretreatment for Fenton processes: Biodegradability improvement. J. Water Process. Eng. 2014, 4, 67–73. [Google Scholar] [CrossRef]
  6. Kumar, S.; Narsi, B. Coagulation of landfill leachate by FeCl3: Process optimization using Box-Behnken design (RMS). Appl. Water Sci. 2015, 7, 1943–1953. [Google Scholar] [CrossRef]
  7. Klauson, D.; Kivi, A.; Kattel, E.; Klein, K.; Viisimaa, M.; Bolobajev, J.; Velling, S.; Gol, A.; Tenno, T.; Trapido, M. Combined processes for wastewater purification: Treatment of a typical landfill leachate with a combination of chemical and biological oxidation processes. J. Chem. Biotechnol. 2015, 90, 1527–1536. [Google Scholar] [CrossRef]
  8. Huang, J.; Chen, J.; Xie, Z.; Xu, X. Treatment of nanofiltration concentrates of mature landfill leachate by a coupled process of coagulation and internal micro-electrolysis adding hydrogen peroxide. J. Environ. Technol. 2015, 36, 1001–1007. [Google Scholar] [CrossRef]
  9. Oloibiri, V.; Ufomba, I.; Chys, M.; Audenaert, W.T.M.; Demeestere, K.; Van Hulle, S.W.H. A comparative study on the efficiency of ozonation and coagulation-flocculation as pretreatment to actived carbon adsorption of biologically stabilized landfill leachate. Waste Manag. 2015, 43, 335–342. [Google Scholar] [CrossRef]
  10. Huang, D.; Hu, C.; Zeng, G.; Cheng, M.; Xu, P.; Gong, X.; Wang, R.; Xue, W. Combination of Fenton processes and biotreatment for wastewater treatment and soil remediation. Sci. Total Environ. 2017, 574, 1599–1610. [Google Scholar] [CrossRef]
  11. Silva, T.F.C.V.; Soares, P.A.; Manenti, D.R.; Fonseca, A.; Saraiva, I.; Boaventura, R.A.R.; Vilar, V.J.P. An innovative multistage treatment system for sanitary landfill leachate depuration: Studies at pilot-scale. Sci. Total Environ. 2017, 576, 99–117. [Google Scholar] [CrossRef] [PubMed]
  12. Luo, K.; Pang, Y.; Li, X.; Chen, F.; Liao, X.; Lei, M.; Song, Y. Landfill leachate treatment by coagulation/flocculation combined with microelectrolysis-Fenton processes. Environ. Technol. 2018, 7, 1–9. [Google Scholar] [CrossRef] [PubMed]
  13. Liu, X.; Li, X.-M.; Yang, Q.; Yue, X.; Shen, T.T.; Zheng, W.; Luo, K.; Sun, Y.-H.; Zeng, G.-M. Landfill leachate pretreatment by coagulation-flocculation process using iron-based coagulants: Optimization by response surface methodology. Chem. Eng. J. 2012, 200–202, 39–51. [Google Scholar] [CrossRef]
  14. Vedrenne, M.; Vasquez-Medrano, R.; Prato-Garcia, D.; Frontana-Uribe, B.A.; Ibanez, J.G. Characterization and detoxification of a mature landfill leachate using a combined coagulation-flocculation/photo Fenton treatment. J. Hazard. Mater. 2012, 205–206, 208–215. [Google Scholar] [CrossRef] [PubMed]
  15. Pereira, J.H.O.S.; Queirós, D.; Reis, A.C.; Nunes, O.C.; Borges, M.T.; Boaventura, R.A.R.; Vilar, V.J.P. Process enhancement at near neutral pH of a homogeneous photo-Fenton reaction using ferricarboxylate complexes: Application to oxytetracycline degradation. Chem. Eng. J. 2014, 253, 217–228. [Google Scholar] [CrossRef]
  16. Castilla-Caballero, D.; Machuca-Martínez, F.; Bustillo-Lecompte, C.; Colina-Márquez, J. Photocatalytic Degradation of Commercial Acetaminophen: Evaluation, Modeling and Scaling-Up of Photoreactors. Catalysts 2018, 8, 179. [Google Scholar] [CrossRef]
  17. Standard Methods for Examination of Water and Wastewater, 21st ed.; APHA AWWA WEF: Washington, DC, USA, 2005; pp. 5–2 and 5–19.
  18. U.S. EPA. Method 3015 A (SW-846): Microwave Assisted Acid Digestion of Aqueous Samples and Extracts, Revision 1; U.S. Government Printing Office: Washington, DC, USA, 2007.
  19. Montgomery, D.C. Desing and Analysis of Experiments, 8th ed.; John Wiley and Sons: New York, NY, USA, 2012; pp. 478–544. [Google Scholar]
  20. Statgraphics Centurion XVI User’s Guide; Statpoint Technologies Inc.: Warrenton, VA, USA, 2009; pp. 257–279.
  21. Amor, C.; De Torres-Socías, E.; Peres, J.A.; Maldonado, M.I.; Oller, I.; Malato, S.; Lucas, M.S. Mature landfill leachate treatment by coagulation/flocculation combined with Fenton and solar-Fenton process. J. Hazard. Mater. 2015, 286, 261–268. [Google Scholar] [CrossRef]
  22. Pereira, J.H.O.S.; Reis, A.C.; Nunes, O.C.; Borges, M.T.; Vilar, V.J.P.; Boaventura, R.A.R. Assessment of solar driven TiO2-assisted photocatalysis efficiency on amoxicillin degradation. Environ. Sci. Pollut. Res. 2013, 21, 1292–1303. [Google Scholar] [CrossRef]
  23. Wang, Z.P.; Zhang, Z.; Lin, Y.J.; Deng, N.S.; Tao, T.; Zhuo, K. Landfill leachate treatment by coagulation-photooxidation process. J. Hazard. Mater. 2002, 95, 153–159. [Google Scholar] [CrossRef]
  24. Monteagudo, J.M.; Durán, A.; Culebradas, R.; San Martín, I.; Carnicer, A. Optimization of pharmaceutical wastewaster treatment by solar/ferrioxalate photo-catalysis. J. Environ. Manag. 2013, 128, 210–219. [Google Scholar] [CrossRef]
  25. Estrada-Arriaga, E.B.; Zepeda-Aviles, J.A.; García-Sánchez, L. Post-treatment of real oil refinery effluent with high concentrations of phenols using photo-ferrioxalate and Fenton’s reactions with membrane process step. Chem. Eng. J. 2016, 285, 508–516. [Google Scholar] [CrossRef]
  26. Huo, S.; Xi, B.; Yu, H.; He, L.; Fan, S.; Liu, H. Characteristics of dissolved organic matter (DOM) in leachate with different landfill ages. J. Environ. Sci. 2008, 20, 492–498. [Google Scholar] [CrossRef]
  27. GilPavas, E.; Dobrosz-Gomez, I.; Gomez-García, M.A. Coagulation-flocculation sequential with Fenton or Photo-Fenton processes as an alternative for the industrial textile wastewater treatment. J. Environ. Manag. 2017, 191, 189–197. [Google Scholar] [CrossRef] [PubMed]
  28. Tatsi, A.A.; Zouboulis, A.I.; Matis, K.A.; Samaras, P. Coagulation-flocculation pretreatment of sanitary landfill leachates. Chemosphere 2003, 53, 737–744. [Google Scholar] [CrossRef]
  29. Wang, Z.P.; Shui, Y.; He, M.; Liu, P. Comparison of flocs characteristics using before and after composite coagulants under different coagulation mechanisms. Biochem. Eng. J. 2017, 121, 107–117. [Google Scholar] [CrossRef]
  30. Long, Y.; Xu, J.; Shen, D.; Du, Y.; Feng, H. Effective removal of contaminants in landfill leachate membrane concentrates by coagulation. Chemosphere 2017, 167, 512–519. [Google Scholar] [CrossRef]
  31. Li, W.; Zhou, Q.; Hua, T. Removal of Organic Matter from Landfill Leachate by Advanced Oxidation Processes: A Review. Int. J. Chem. Eng. 2010, 2010, 1–10. [Google Scholar] [CrossRef]
  32. Ministry of Environment and Sustainable Development. Resolution 0631/2015. Available online: http://corponor.gov.co/corponor/RESOLUCION%20MINAMBIENTE%20NACIONAL%20631%20DE%202015.pdf (accessed on 5 April 2019).
  33. Amiri, A.; Mohammad, R.S. Multi-response optimization of Fenton process for applicability assessment in landfill leachate treatment. Waste Manag. 2014, 32, 2528–2536. [Google Scholar] [CrossRef]
  34. Durán, A.; Monteagudo, J.M.; Gil, J.; Expósito, A.J.; San Martín, I. Solar-photo-Fenton treatment of wastewater from the beverage industry: Intensification with ferrioxalate. Chem. Eng. J. 2015, 270, 612–620. [Google Scholar] [CrossRef]
  35. Umar, M.; Aziz, H.A.; Yusoff, M.S. Trends in the use of Fenton, electro-Fenton and photo-Fenton for the treatment of landfill leachate. Waste Manag. 2010, 30, 2113–2121. [Google Scholar] [CrossRef]
  36. Giannakis, S.; López, M.I.P.; Spuhler, D.; Pérez, J.A.S.; Ibáñez, P.F.; Pulgarin, C. Solar disinfection is an augmentable, in situ-generated photo-Fenton reaction—Part 2: A review of the applications for drinking water and wastewater disinfection. Appl. Catal. B 2016, 198, 431–446. [Google Scholar] [CrossRef]
  37. Kim, S.; Geissen, S.; Vogelpohl, A. Landfill leachate treatment by a photoassisted fenton reaction. Water Sci. Technol. 1997, 35, 239–248. [Google Scholar] [CrossRef]
  38. Sarria, V.; Deront, M.; Péringer, P.; Pulgarin, C. Degradation of a biorecalcitrant dye precursor present in industrial wastewaters by a new integrated iron (III) photoassisted-biological treatment. Appl. Catal. B Environ. 2003, 40, 231–246. [Google Scholar] [CrossRef]
  39. Monteagudo, J.M.; Durán, A.; Corral, J.M.; Carnicer, A.; Frades, J.M.; Alonso, M.A. Ferrioxalate-induced solar photo-Fenton system for treatment of winery wastewaters. Chem. Eng. J. 2012, 181–182, 281–288. [Google Scholar] [CrossRef]
  40. Seibert, D.; Diel, T.; Welter, J.B.; de Souza, A.L.; Módenes, A.N.; Espinoza-Quiñones, F.R.; Borda, F.H. Performance of photo-Fenton process mediated by Fe (III)-carboxylate complexes applied to degradation of landfill leachate. J. Environ. Chem. Eng. 2017, 5, 4462–4470. [Google Scholar] [CrossRef]
  41. Expósito, A.J.; Monteagudo, J.M.; Durán, A.; Martín, I.S.; González, L. Study of the intensification of solar photo-Fenton degradation of carbamazepine with ferrioxalate complexes and ultrasound. J. Hazard. Mater. 2018, 342, 597–605. [Google Scholar] [CrossRef] [PubMed]
  42. Miralles-Cuevas, S.; Daraowna, D.; Wanag, A.; Molzia, S.; Malato, S.; Oller, I. Comparison of UV/H2O2, UV/S2O82−, solar/Fe(II)/H2O2 and solar/Fe(II)/S2O82- at pilot plant scale for the elimination of micro-contaminants in natural water: An economic assessment. Chem. Eng. J. 2017, 310, 514–524. [Google Scholar] [CrossRef]
Figure 1. Ubication of the municipal sanitary landfill.
Figure 1. Ubication of the municipal sanitary landfill.
Water 11 01351 g001
Figure 2. Pareto diagram of coagulation/sedimentation experiments with PAC coagulant.
Figure 2. Pareto diagram of coagulation/sedimentation experiments with PAC coagulant.
Water 11 01351 g002
Figure 3. Pareto diagram of coagulation/sedimentation experiments with FeCl3·6H2O coagulant.
Figure 3. Pareto diagram of coagulation/sedimentation experiments with FeCl3·6H2O coagulant.
Water 11 01351 g003
Figure 4. Observed vs Predicted value plot for COD reduction for solar photo-Fenton experiments in pre-treated leachate with PAC coagulant.
Figure 4. Observed vs Predicted value plot for COD reduction for solar photo-Fenton experiments in pre-treated leachate with PAC coagulant.
Water 11 01351 g004
Figure 5. Response surface plot for interactive effect of Fe2+ dose and accumulate UV energy on COD reduction for solar photo-Fenton experiments in pre-treated leachate with PAC coagulant. H2O2 dose = 14.68 g L−1.
Figure 5. Response surface plot for interactive effect of Fe2+ dose and accumulate UV energy on COD reduction for solar photo-Fenton experiments in pre-treated leachate with PAC coagulant. H2O2 dose = 14.68 g L−1.
Water 11 01351 g005
Figure 6. Observed vs Predicted value plot for COD reduction for ferrioxalate-induced solar photo-Fenton experiments in pre-treated leachate with FeCl3·6H2O coagulant.
Figure 6. Observed vs Predicted value plot for COD reduction for ferrioxalate-induced solar photo-Fenton experiments in pre-treated leachate with FeCl3·6H2O coagulant.
Water 11 01351 g006
Figure 7. Response surface plot for interactive effect of H2O2 dose and Fe2+ dose on COD reduction for ferrioxalate-induced solar photo-Fenton experiments in pre-treated leachate with FeCl3·6H2O coagulant. pH = 4.
Figure 7. Response surface plot for interactive effect of H2O2 dose and Fe2+ dose on COD reduction for ferrioxalate-induced solar photo-Fenton experiments in pre-treated leachate with FeCl3·6H2O coagulant. pH = 4.
Water 11 01351 g007
Table 1. Physicochemical properties of landfill leachate.
Table 1. Physicochemical properties of landfill leachate.
ParameterValue
Temperature (°C)30
pH8.3
Conductivity (mS cm−1)23.8
Dissolved oxygen (mg L−1)1.7
Turbidity (NTU)354
Salinity (ppt)13.5
Total dissolved solids (g L−1)15.5
BOD5 (mg O2 L−1)426
COD (mg O2 L−1)6200
BOD5/COD0.07
Al (mg L−1)1595
Cr (mg L−1)0.52
Fe (mg L−1)11.4
Cu (mg L−1)<0.02
Pb (mg L−1)<0.10
Cd (mg L−1)<0.02
Na (mg L−1)3243
Ca (mg L−1)95.9
Mg (mg L−1)201.8
Table 2. Effect of coagulant dose, pH, slow mixing time when it is applied to raw landfill leachate. Factorial design 23 matrix of coagulation/sedimentation experiments. Results in % COD reduction.
Table 2. Effect of coagulant dose, pH, slow mixing time when it is applied to raw landfill leachate. Factorial design 23 matrix of coagulation/sedimentation experiments. Results in % COD reduction.
pHSlow Mixing Time (min)PAC (g L−1)FeCl3·6H2O (g L−1)
0.6150.9841.52.5
82036.121.929.625.9
83034.635.832.621.4
62028.929.040.862.4
63034.829.441.765.0
Average values in experiments.
Table 3. ANOVA results for coagulation/sedimentation experiments with PAC coagulant.
Table 3. ANOVA results for coagulation/sedimentation experiments with PAC coagulant.
FactorsSum of Squaresdf aMean SquareFValue-p b
A: PAC dose83.08183.085.780.0397
B: pH10.76110.760.750.4095
C: slow mixing time90.25190.256.280.0336
AB13.51113.510.940.3578
AC27.30127.301.900.2015
BC10.82110.820.750.4081
Pure error129.42914.38
Total365.1415
a Degree of freedom, b Considered significant when p < 0.05.
Table 4. ANOVA results for coagulation/sedimentation experiment with FeCl3·6H2O coagulant.
Table 4. ANOVA results for coagulation/sedimentation experiment with FeCl3·6H2O coagulant.
FactorsSum of Squaresdf aMean SquareFValue-p b
A: pH2514.5212514.5237.070.0003
B: FeCl3 dose224.251224.253.310.1065
C: slow mixing time169.261169.262.500.1528
AB896.401896.4013.220.0066
AC204.761204.760.300.5977
BC286.461286.464.220.0739
Pure error542.648678.31
Total4655.0415
a Degree of freedom, b Considered significant when p < 0.05.
Table 5. The 3-factor central composite experimental design of solar photo-Fenton experiments for leachate pre-treated with PAC coagulant. Results of % COD reduction.
Table 5. The 3-factor central composite experimental design of solar photo-Fenton experiments for leachate pre-treated with PAC coagulant. Results of % COD reduction.
Exp.[H2O2] (g L−1)[Fe2+] (g L−1)Quv (kJ L−1)% COD Reduction a
111.70.787847.7
214.90.787842.1
311.72.347847.7
414.92.347854.9
511.70.7816734.4
614.90.7816736.9
711.72.3416743.0
814.92.3416747.1
911.21.5612227.8
1015.41.5612234.9
1113.30.5612244.7
1213.32.5612256.4
1313.31.564846.2
1413.31.5619742.0
1513.31.5612230.0
1613.31.5612232.7
a Average values in experiments.
Table 6. ANOVA results for solar photo-Fenton experiments experiment with leachate pre-treated with PAC coagulant.
Table 6. ANOVA results for solar photo-Fenton experiments experiment with leachate pre-treated with PAC coagulant.
FactorsSum of SquaresDf aMean SquareFValue-p b
A: [H2O2]52.94152.944.060.0569
B: [Fe2+]386.881386.8829.670.0000
C: Quv233.591233.5917.920.0004
AA83.11183.116.370.0197
AB52.09152.094.000.0587
AC5.8415.840.450.5105
BB860.471860.4766.000.0000
BC9.2019.200.710.4105
CC272.041272.0420.860.0002
Pure error273.802113.04
Total2230.4631
a Degree of freedom, b Considered significant when p < 0.05.
Table 7. The 3-factor central composite experimental design of solar photo-Fenton experiments for leachate pre-treated with FeCl3 coagulant. Results of % COD reduction.
Table 7. The 3-factor central composite experimental design of solar photo-Fenton experiments for leachate pre-treated with FeCl3 coagulant. Results of % COD reduction.
Exp.[H2O2] (g L−1)[Fe2+]/[C2H2O4] (g L−1)pH% COD Reduction a
14.20.77/2.324.011.3
210.80.77/2.324.021.2
34.21.97/5.914.024.9
410.81.97/5.914.027.2
54.20.77/2.326.010.4
610.80.77/2.326.07.2
74.21.97/5.916.04.6
810.81.97/5.916.016.5
91.950.26/0.785.04.3
1013.00.26/0.785.09.2
117.51.30/3.905.025.6
127.52.40/7.205.022.4
137.50.26/0.783.324.9
147.50.26/0.786.612.5
157.50.26/0.785.010.6
167.50.26/0.785.011.3
177.50.26/0.785.010.6
187.50.26/0.785.016.0
197.50.26/0.785.013.1
207.50.26/0.785.015.1
a Average values in experiments.
Table 8. ANOVA results for ferrioxalate-induced solar photo-Fenton experiments with leachate pre-treated with FeCl3·6H2O coagulant.
Table 8. ANOVA results for ferrioxalate-induced solar photo-Fenton experiments with leachate pre-treated with FeCl3·6H2O coagulant.
FactorsSum of Squaresdf aMean SquareFValue-p b
A: [H2O2]164.171164.1712.850.0012
B: [Fe2+]/[C2H2O4]203.271203.2715.910.0004
C: pH584.971584.9745.800.0000
AA170.031170.0313.310.0010
AB75.65175.655.920.0213
AC3.5113.510.270.6043
BB478.981478.9837.500.0000
BC41.31141.313.230.0825
CC180.861180.8614.160.0008
Pure error370.422912.77
Total2352.2439
a Degree of freedom, b Considered significant when p < 0.05.

Share and Cite

MDPI and ACS Style

Rebolledo, L.P.; Arana, V.A.; Trilleras, J.; Barros, G.E.; González-Solano, A.J.; Maury-Ardila, H. Efficiency of Combined Processes Coagulation/Solar Photo Fenton in the Treatment of Landfill Leachate. Water 2019, 11, 1351. https://doi.org/10.3390/w11071351

AMA Style

Rebolledo LP, Arana VA, Trilleras J, Barros GE, González-Solano AJ, Maury-Ardila H. Efficiency of Combined Processes Coagulation/Solar Photo Fenton in the Treatment of Landfill Leachate. Water. 2019; 11(7):1351. https://doi.org/10.3390/w11071351

Chicago/Turabian Style

Rebolledo, Liceth P., Victoria A. Arana, Jorge Trilleras, Gustavo E. Barros, Arturo J. González-Solano, and Henry Maury-Ardila. 2019. "Efficiency of Combined Processes Coagulation/Solar Photo Fenton in the Treatment of Landfill Leachate" Water 11, no. 7: 1351. https://doi.org/10.3390/w11071351

APA Style

Rebolledo, L. P., Arana, V. A., Trilleras, J., Barros, G. E., González-Solano, A. J., & Maury-Ardila, H. (2019). Efficiency of Combined Processes Coagulation/Solar Photo Fenton in the Treatment of Landfill Leachate. Water, 11(7), 1351. https://doi.org/10.3390/w11071351

Note that from the first issue of 2016, this journal uses article numbers instead of page numbers. See further details here.

Article Metrics

Back to TopTop