Simulating Potential Weekly Stream and Pond Water Available for Irrigation in the Big Sunflower River Watershed of Mississippi Delta
Abstract
1. Introduction
2. Materials and Method
2.1. Study Area
2.2. SWAT Model
2.3. Definition of Surface Water Resources and Water Loss
2.4. Irrigation Demand
3. Results and Discussion
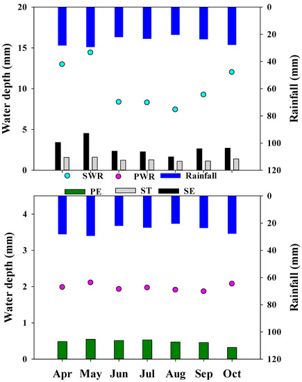
3.1. Weekly SWRP and WPRP
3.2. Weekly Available ASWR for Irrigation
3.3. Potential Available Amount of Surface Water as An Alternative to Groundwater for Irrigation
4. Conclusions
Author Contributions
Funding
Acknowledgments
Conflicts of Interest
References
- Economic Research Service, U.S. Department of Agriculture. The Economics of Food, Farming, Natural Resources, and Rural America—State Fact Sheets—Mississippi. Available online: http://www.ers.usda.gov/StateFacts/MS.htm (accessed on 1 January 2010).
- Kebede, H.; Fisher, D.K.; Sui, R.; Reddy, K.N. Irrigation methods and scheduling in the delta region of Mississippi: Current status and strategies to improve irrigation efficiency. Am. J. Plant Sci. 2014, 5, 2917–2923. [Google Scholar] [CrossRef]
- Feng, G.; Cobb, S.; Abdo, Z.; Fisher, D.K.; Ouyang, Y.; Adeli, A.; Jenkins, J. Trend analysis and forecast of precipitation, reference evapotranspiration and rainfall deficit in the Blackland Prairie of Eastern Mississippi. J. Appl. Meteorol. Climatol. 2016, 55, 1425–1439. [Google Scholar] [CrossRef]
- Feng, G.; Ouyang, Y.; Adeli, A.; Read, J.; Jenkins, J. Rainwater deficit and irrigation demand for row crops in Mississippi Blackland Prairie. Soil Sci. Soc. Am. J. 2018, 82, 423–435. [Google Scholar] [CrossRef]
- Tang, Q.; Feng, G.; Fisher, D.; Ouyang, Y.; Jenkins, J.; Adeli, A. Rain water deficit and irrigation demand of major row crops in the Mississippi Delta. Trans. ASABE 2017, 61, 927–935. [Google Scholar] [CrossRef]
- Massey, J. Water-Conserving Irrigation Systems for Furrow and Flood Irrigated Crops in the Mississippi Delta. Available online: http://www.wrri.msstate.edu/pdf/2012_massey_pres.pdf (accessed on 20 November 2010).
- Barlow, J.R.; Clark, B.R. Simulation of Water-Use Conservation Scenarios for the Mississippi Delta Using an Existing Regional Groundwater Flow Model; US Geological Survey Scientific Investigations Report; US Geological Survey: Reston, VA, USA, 2011; pp. 14–56.
- Maupin, M.A.; Barber, N.L. Estimated Withdrawals from Principal Aquifers in the United States; USGS–U.S. Geological Survey: Reston, VA, USA, 2005.
- Clark, B.R.; Hart, R.M.; Gurdak, J.J. Groundwater Availability of the Mississippi Embayment; US Geological Survey Professional Paper 1785; US Geological Survey: Reston, VA, USA, 2011; pp. 62–72.
- Steele, M.K.; Heffernan, J.B.; Bettez, N.; Cavender-Bares, J.; Groffman, P.M.; Grove, J.M.; Hall, S.; Hobbie, S.E.; Larson, K.; Morse, J.L.; et al. Convergent surface water distributions in US cities. Ecosystems 2014, 17, 685–697. [Google Scholar] [CrossRef]
- Phillips, P. Overview of water availability in Mississippi. In Proceedings of the Annual Mississippi Water Resources Conference, Jackson, MS, USA, 6 April 2016. [Google Scholar]
- Yazoo Mississippi Delta. Surface Water Irrigation: A Delta-Wide Option. Yazoo Mississippi Delta Joint Water Management District Annual Work Summary. Available online: http://www.ymd.org (accessed on 1 January 2016).
- Stigter, T.Y.; Dill, A.C.; Ribeiro, L.; Reis, E. Impact of the shift from groundwater to surface water irrigation on aquifer dynamics and hydrochemistry in a semi-arid region in the south of Portugal. Agric. Water Manag. 2006, 85, 121–132. [Google Scholar] [CrossRef]
- Gebreyohannes, T.; De Smedt, F.; Walraevens, K.; Gebresilassie, S.; Hussien, A.; Hagos, M.; Amare, K.; Deckers, J.; Gebrehiwot, K. Application of a spatially distributed water balance model for assessing surface water and groundwater resources in the Geba basin, Tigray, Ethiopia. J. Hydrol. 2013, 499, 110–123. [Google Scholar] [CrossRef]
- Srivastava, P.; Gupta, A.K.; Kalin, L. An ecologically-sustainable surface water withdrawal framework for cropland irrigation: A case study in Alabama. Environ. Manag. 2010, 46, 302–313. [Google Scholar] [CrossRef]
- Wu, X.; Zheng, Y.; Wu, B.; Tian, Y.; Han, F.; Zheng, C. Optimizing conjunctive use of surface water and groundwater for irrigation to address human-nature water conflicts: A surrogate modeling approach. Agric. Water Manag. 2016, 163, 380–392. [Google Scholar] [CrossRef]
- Markstrom, S.L.; Niswonger, R.G.; Regan, R.S.; Prudic, D.E.; Barlow, P.M. GSFLOW-Coupled Ground-Water and Surface-Water FLOW Model Based on the Integration of the Precipitation-Runoff Modeling System (PRMS) and the Modular Ground-Water Flow Model; U.S. Geological Survey: Reston, VA, USA, 2008.
- Regis, R.G.; Shoemaker, C.A. Combining radial basis function surrogates and dynamic coordinate search in high-dimensional expensive black-box optimization. Eng. Optim. 2013, 45, 529–555. [Google Scholar] [CrossRef]
- Ouyang, Y.; Feng, G.; Read, J.J.; Leininger, T.D.; Jenkins, J.N. Estimating the ratio of pond size to irrigated soybean land in Mississippi: A case study. Water Sci. Technol. Water Supply 2013, 16, 1639–1647. [Google Scholar] [CrossRef]
- Costa, A.C.; Bronstert, A.; Araujo, J.C. A channel transmission losses model for different dryland rivers. Hydrol. Earth Syst. Sci. 2012, 16, 1111–1135. [Google Scholar] [CrossRef]
- Maheu, A.; Caissie, D.; Hilaire, A.; Jabi, N. River evaporation and corresponding heat fluxes in forested catchments. Hydrol. Process. 2014, 28, 5725–5738. [Google Scholar] [CrossRef]
- Rao, N.H.; Sarma, P.B.S.; Chander, S. Optimal multicrop allocation of seasonal and intraseasonal irrigation water. Water Resour. Res. 1990, 26, 551–559. [Google Scholar] [CrossRef]
- Arnold, J.G.; Moriasi, D.N.; Gassman, P.W.; Abbaspour, K.C.; White, M.J.; Srinivasan, R.; Santhi, C.; Harmel, R.D.; Van Griensven, A.; Van Liew, M.W.; et al. SWAT: Model use, calibration, and validation. Trans. ASABE 2012, 55, 1491–1508. [Google Scholar] [CrossRef]
- Neitsch, S.L.; Arnold, J.G.; Kiniry, J.R.; Williams, J.R. Soil and Water Assessment Tool Theoretical Documentation Version 2009; Texas Water Resources Institute: College Station, TA, USA, 2011. [Google Scholar]
- Barlow, J.R.; Coupe, R.H. Occurrence and Transport of Nitrogen in the Big Sunflower River, Northwestern Mississippi; US Geological Survey Annual Report; US Geological Survey: Reston, VA, USA, 2014.
- Parajuli, P.B.; Jayakody, P. Big Sunflower River Watershed Assessment: Preliminary Report; Office of Agricultural Communications, Mississippi State University: Starkville, MS, USA, 2012. [Google Scholar]
- Dakhlalla, A.O.; Parajuli, P.B.; Ouyang, Y.; Schmitz, D.W. Evaluating the impacts of crop rotations on groundwater storage and recharge in an agricultural watershed. Agric. Water Manag. 2016, 163, 332–343. [Google Scholar] [CrossRef]
- Acreman, M.; Dunbar, M.; Hannaford, J.; Mountford, O.; Wood, P.; Holmes, N.; Cowx, I.; Noble, R.; Extence, C.; Aldrick, J. Developing environmental standards for abstractions from uk rivers to implement the eu water framework directive. Hydrol. Sci. J. 2008, 53, 1105–1120. [Google Scholar] [CrossRef]
- Nikghalb, S.; Shokoohi, A.; Singh, V.P.; Yu, R. Ecological regime versus minimum environmental flow: Comparison of results for a river in a semi Mediterranean region. Water Resour. Manag. 2016, 30, 4969–4984. [Google Scholar] [CrossRef]
- Pastor, A.V.; Ludwig, F.; Biemans, H.; Hoff, H.; Kabat, P. Accounting for environmental flow requirements in global water assessments. Hydrol. Earth Syst. Sci. 2014, 18, 5041–5059. [Google Scholar] [CrossRef]
- Ouyang, Y. A potential approach for low flow selection in water resource supply and management. J. Hydrol. 2012, 454, 56–63. [Google Scholar] [CrossRef]
- Godinho, F.; Costa, S.; Pinheiro, P.; Reis, F.; Pinheiro, A. Integrated procedure for environmental flow assessment in rivers. Environ. Process. 2014, 1, 137–141. [Google Scholar] [CrossRef]
- Yazoo Mississippi Delta. Yazoo Mississippi Delta Joint Water Management District Annual Work Summary. 2010. Available online: http://www.ymd.org (accessed on 1 January 2011).
- Zhang, B.; Feng, G.; Read, J.J.; Kong, X.; Ouyang, Y.; Adeli, A.; Jenkins, J.N. Simulating soybean productivity under rainfed conditions for major soil types using APEX model in East Central Mississippi. Agric. Water Manag. 2016, 177, 379–391. [Google Scholar] [CrossRef]
- Paz, J.O.; Fraisse, C.W.; Hatch, L.U.; Garcia, A.G.; Guerra, L.C.; Uryasev, O.; Hoogenboom, G. Development of an ENSO-based irrigation decision support tool for peanut production in the southeastern US. Comput. Electron. Agric. 2007, 55, 28–35. [Google Scholar] [CrossRef]
- Batelis, S.C.; Nalbantis, I. Potential effects of forest fires on streamflow in the Enipeas River Basin, Thessaly, Greece. Environ. Process. 2014, 1, 73–85. [Google Scholar] [CrossRef]
- Khanal, S.; Parajuli, P.B. Evaluating the impacts of forest clear cutting on water and sediment yields using SWAT in Mississippi. J. Water Resour. Prot. 2013, 5, 474–483. [Google Scholar] [CrossRef]
- Wang, S.; Zhang, Z.; McVicar, T.R.; Guo, J.; Tang, Y.; Yao, A. Isolating the impacts of climate change and land use change on decadal streamflow variation: Assessing three complementary approaches. J. Hydrol. 2013, 507, 63–74. [Google Scholar] [CrossRef]
- Foley, J.A.; DeFries, R.; Asner, G.P.; Barford, C.; Bonan, G.; Carpenter, S.R.; Chapin, F.S.; Coe, M.T.; Daily, G.C.; Gibbs, H.K.; et al. Global consequences of land use. Science 2005, 309, 570–574. [Google Scholar] [CrossRef]
- Lotze-Campen, H.; Müller, C.; Bondeau, A.; Rost, S.; Popp, A.; Lucht, W. Global food demand, productivity growth, and the scarcity of land and water resouces: A spatially mathematical programming approach. Agric. Econ. 2008, 39, 325–338. [Google Scholar]
- Scanlon, B.R.; Faunt, C.C.; Longuevergne, L.; Reedy, R.C.; Alley, W.M.; McGuire, V.L.; McMahon, P.B. Groundwater depletion and sustainability of irrigation in the US High Plains and Central Valley. Proc. Natl. Acad. Sci. USA 2012, 109, 9320–9325. [Google Scholar] [CrossRef]
- Bredehoeft, J.D.; Young, R.A. Conjunctive use of groundwater and surface water for irrigated agriculture: Risk aversion. Water Resour. Res. 1983, 19, 1111–1121. [Google Scholar] [CrossRef]
- Butler, J.J.; Whittemore, D.O.; Wilson, B.B.; Bohling, G.C. A new approach for assessing the future of aquifers supporting irrigated agriculture. Geophys. Res. Lett. 2016, 43, 2004–2010. [Google Scholar] [CrossRef]







| Month | Rainfall (mm) | Maximum Temperature (°C) | Maximum Temperature (°C) | Humidty | 
|---|---|---|---|---|
| January | 130 | 13 | 2 | 76% | 
| February | 133 | 15 | 3 | 75% | 
| March | 144 | 20 | 7 | 71% | 
| April | 136 | 25 | 12 | 68% | 
| May | 127 | 29 | 17 | 69% | 
| June | 98 | 32 | 20 | 70% | 
| July | 106 | 34 | 22 | 73% | 
| August | 82 | 33 | 21 | 70% | 
| September | 85 | 31 | 18 | 68% | 
| October | 97 | 26 | 12 | 69% | 
| November | 116 | 19 | 6 | 73% | 
| December | 149 | 14 | 3 | 77% | 
| Month | Irrigation Demand (mm) | ||||
|---|---|---|---|---|---|
| Weeks | Soybean | Corn | Cotton | Rice | |
| May | 19 | — | 1.4 | — | 76.3 | 
| 20 | — | 10.1 | — | 76.3 | |
| June | 21 | — | 14.5 | — | 91.5 | 
| 22 | — | 19.6 | — | 91.5 | |
| 23 | 3.6 | 25.4 | — | 91.5 | |
| 24 | 12.8 | 23.6 | — | 91.5 | |
| July | 25 | 21.9 | 23.7 | — | 84.0 | 
| 26 | 22.3 | 21.2 | — | 84.0 | |
| 27 | 25.4 | 25.7 | 8.6 | 84.0 | |
| 28 | 24.6 | 20.3 | 8.1 | 84.0 | |
| August | 29 | 24.4 | 22.7 | 14.3 | 7.5 | 
| 30 | 23.2 | 16.9 | 15.3 | 7.5 | |
| 31 | 29.3 | 21.9 | 27.1 | 7.5 | |
| 32 | 26.6 | 14.1 | 24.4 | 7.5 | |
| September | 33 | 25.6 | 10.6 | 29.2 | — | 
| 34 | 27.9 | 4.7 | 29.6 | — | |
| 35 | 15.1 | — | 19.0 | — | |
| 36 | 12.1 | — | 23.0 | — | |
| October | 37 | — | — | 15.1 | — | 
| 38 | — | — | 11.2 | — | |
| 39 | — | — | 15.0 | — | |
| 40 | — | — | 14.1 | — | |
| 41 | — | — | 9.0 | — | |
| 42 | — | — | 8.5 | — | |
© 2019 by the authors. Licensee MDPI, Basel, Switzerland. This article is an open access article distributed under the terms and conditions of the Creative Commons Attribution (CC BY) license (http://creativecommons.org/licenses/by/4.0/).
Share and Cite
Gao, F.; Feng, G.; Ouyang, Y.; Jenkins, J.; Liu, C. Simulating Potential Weekly Stream and Pond Water Available for Irrigation in the Big Sunflower River Watershed of Mississippi Delta. Water 2019, 11, 1271. https://doi.org/10.3390/w11061271
Gao F, Feng G, Ouyang Y, Jenkins J, Liu C. Simulating Potential Weekly Stream and Pond Water Available for Irrigation in the Big Sunflower River Watershed of Mississippi Delta. Water. 2019; 11(6):1271. https://doi.org/10.3390/w11061271
Chicago/Turabian StyleGao, Fei, Gary Feng, Ying Ouyang, Johnie Jenkins, and Changming Liu. 2019. "Simulating Potential Weekly Stream and Pond Water Available for Irrigation in the Big Sunflower River Watershed of Mississippi Delta" Water 11, no. 6: 1271. https://doi.org/10.3390/w11061271
APA StyleGao, F., Feng, G., Ouyang, Y., Jenkins, J., & Liu, C. (2019). Simulating Potential Weekly Stream and Pond Water Available for Irrigation in the Big Sunflower River Watershed of Mississippi Delta. Water, 11(6), 1271. https://doi.org/10.3390/w11061271
 
        


 
       