Estimating Real-Time Water Area of Dongting Lake Using Water Level Information
Abstract
:1. Introduction
2. Study Area and Data Source
2.1. Study Area
2.2. Data Source
3. Methods
3.1. Water Area Extraction and Evaluation
3.1.1. Water Area Extraction
3.1.2. Accuracy Assessment of Water Area Extraction
3.2. Examining the Relationship between Water Area and Water Level
4. Results
4.1. Water Area Extraction of Dongting Lake
4.2. Water Level Changes of Dongting Lake
4.3. Analysis of the Change in Relationship between Water Area and Water Level of Dongting Lake
5. Conclusions
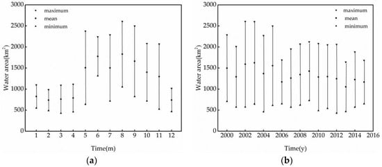
- From 2000 to 2015, the annual maximum water area showed a decreasing trend and the annual minimum water area showed no clear pattern. The intra-annual water area variation of Dongting Lake has hydrological seasonal characteristics. The maximum water area value occurred from July to September. The minimum water area value during the year generally occurred from January to March and from October to December, which was largely consistent with the distribution pattern of the water level during the year;
- From 2000 to 2015, the annual average water level fluctuation at Chenglingji station increased significantly. There is a large upstream and downstream difference in the water level of the Dongting Lake. The water level difference was relatively small in the high-flow period and relatively large in the low-flow period;
- Water level at the exit of the Dongting Lake (e.g., Chengjingji station) plays a major role in estimating the water area, and differences of water levels from upstream stations and the exit of the Dongting Lake are also essential as the modeling performance has significantly improved with the inclusion of the water level differences; and
- The models with 2004–2012 data and 2012-only data showed remarkable differences in modeling performance, with the 2012-only data performing significantly better, and the established models performing better with higher water levels.
Author Contributions
Funding
Acknowledgments
Conflicts of Interest
References
- Ma, B.; Wu, L.; Zhang, X.; Li, X.; Liu, Y.; Wang, S. Locally adaptive unmixing method for lake-water area extraction based on MODIS 250 m bands. Int. J. Appl. Earth Obs. Geoinf. 2014, 33, 109–118. [Google Scholar] [CrossRef]
- Lee, H.; Durand, M.; Jung, H.C.; Alsdorf, D.; Shum, C.K.; Sheng, Y. Characterization of surface water storage changes in Arctic lakes using simulated SWOT measurements. Int. J. Remote Sens. 2010, 31, 3931–3953. [Google Scholar] [CrossRef]
- Singh, A.; Seitz, F.; Schwatke, C. Inter-annual water storage changes in the Aral Sea from multi-mission satellite altimetry, optical remote sensing, and GRACE satellite gravimetry. Remote Sens. Environ. 2012, 123, 187–195. [Google Scholar] [CrossRef]
- Shang, S.; Shang, S. Simplified Lake Surface Area Method for the Minimum Ecological Water Level of Lakes and Wetlands. Water 2018, 10, 1056. [Google Scholar] [CrossRef]
- Micklin, P.; Aladin, N.V. Reclaiming the Aral Sea. Sci. Am. 2008, 298, 64–71. [Google Scholar] [CrossRef] [PubMed]
- Policelli, F.; Hubbard, A.; Jung, H.; Zaitchik, B.; Ichoku, C. Lake chad total surface water area as derived from land surface temperature and radar remote sensing data. Remote Sens. 2018, 10, 252. [Google Scholar] [CrossRef]
- Smith, L.C.; Sheng, Y.; Macdonald, G.M. Disappearing Arctic Lakes. Science 2005, 308, 1429. [Google Scholar] [CrossRef]
- Zhang, G.X.; Yin, X.Y.; Feng, X.Q. Review of the Issues Related to Wetland Hydrology Research. Wetl. Sci. 2008, 6, 105–115. [Google Scholar]
- Du, Y.; Xue, H.P.; Wu, S.J.; Ling, F.; Xiao, F.; Wei, X.H. Lake area changes in the middle Yangtze region of China over the 20th century. J. Environ. Manag. 2011, 92, 1248–1255. [Google Scholar] [CrossRef]
- Bai, J.; Chen, X.; Yang, L.; Fang, H. Monitoring variations of inland lakes in the arid region of Central Asia. Front. Earth Sci. 2012, 6, 147–156. [Google Scholar] [CrossRef]
- Nakayama, T.; Watanabe, M. Role of flood storage ability of lakes in the Changjiang River catchment. Glob. Planet. Chang. 2008, 63, 9–22. [Google Scholar] [CrossRef]
- Huang, S.; Li, J.; Xu, M. Water surface variations monitoring and flood hazard analysis in Dongting Lake area using long-term Terra/MODIS data time series. Nat. Hazards 2012, 62, 93–100. [Google Scholar] [CrossRef]
- Xing, L.; Tang, X.; Wang, H.; Fan, W.; Wang, G. Monitoring monthly surface water dynamics of Dongting Lake using Sentinel-1 data at 10 m. PeerJ 2018, 6, e4992. [Google Scholar] [CrossRef] [PubMed]
- Kang, S.; Hong, S.Y. Assessing seasonal and inter-annual variations of lake surface areas in Mongolia during 2000–2011 using minimum composite MODIS NDVI. PLoS ONE 2016, 11, e0151395. [Google Scholar] [CrossRef] [PubMed]
- Li, Y.; Zhang, Q.; Yao, J.; Werner, A.D.; Li, X. Hydrodynamic and hydrological modeling of the Poyang Lake catchment system in China. J. Hydrol. Eng. 2013, 19, 607–616. [Google Scholar] [CrossRef]
- Feyisa, G.L.; Meilby, H.; Fensholt, R. Automated Water Extraction Index: A new technique for surface water mapping using Landsat imagery. Remote Sens. Environ. 2014, 140, 23–35. [Google Scholar] [CrossRef]
- Feng, L.; Hu, C.; Chen, X.; Cai, X.; Tian, L.; Gan, W. Assessment of inundation changes of Poyang Lake using MODIS observations between 2000 and 2010. Remote Sens. Environ. 2012, 121, 80–92. [Google Scholar] [CrossRef]
- Plug, L.J.; Walls, C.; Scott, B.M. Tundra lake changes from 1978 to 2001 on the Tuktoyaktuk Peninsula, western Canadian Arctic. Geophys. Res. Lett. 2008, 35, 1–5. [Google Scholar] [CrossRef]
- Zhang, S.; Gao, H. A novel algorithm for monitoring reservoirs under all-weather conditions at a high temporal resolution through passive microwave remote sensing. Geophys. Res. Lett. 2016, 43, 8052–8059. [Google Scholar] [CrossRef]
- Belete, M.D.; Diekkrüger, B.; Roehrig, J. Characterization of Water Level Variability of the Main Ethiopian Rift Valley Lakes. Hydrology 2017, 3, 1. [Google Scholar] [CrossRef]
- Yuan, Y.; Zeng, G.; Liang, J.; Huang, L.; Hua, S. Variation of water level in Dongting Lake over a 50-year period: Implications for the impacts of anthropogenic and climatic factors. J. Hydrol. 2015, 525, 450–456. [Google Scholar] [CrossRef]
- Zohary, T.; Ostrovsky, I. Ecological impacts of excessive water level fluctuations in stratified freshwater lakes. Inland Waters 2011, 1, 47–59. [Google Scholar] [CrossRef]
- Ding, X.W.; Li, X.F. Monitoring of the water-area variations of Lake Dongting in China with ENVISAT ASAR images. Int. J. Appl. Earth Obs. Geoinf. 2011, 13, 894–901. [Google Scholar] [CrossRef]
- Du, T.; Xiong, L.H.; Yi, F.H.; Xiao, Y.; Song, Q.M. Relation of the Water Area of Dongting Lake to the Water Levels of Hydrological Stations Based on MODIS Images. Resour. Environ. Yangtze Basin 2012, 21, 756–765. (In Chinese) [Google Scholar]
- Latt, Z.Z.; Wittenberg, H. Improving flood forecasting in a developing country: A comparative study of stepwise multiple linear regression and artificial neural network. Water Resour. Manag. 2014, 28, 2109–2128. [Google Scholar] [CrossRef]







| Hydrological Stations | Location | Annual Mean Water Level in 2012 | |
|---|---|---|---|
| Downstream (exit of the lake) | Chenglingji station | (29°25′ N, 113°08′ E) | 25.97 m |
| Upstream | Zhouwenmiao station | (28°55′ N, 112°03′ E) | 30.64 m |
| Nanzui station | (29°4′ N, 112°17′ E) | 30.09 m | |
| Xiaohezui station | (28°51′ N, 112°19′ E) | 29.99 m | |
| Yangliutan station | (28°47′ N, 112°37′ E) | 29.23 m | |
| Yingtian station | (28°50′ N, 112°54′ E) | 26.80 m | |
| Data. | 13/8/2006 | 8/12/2008 | 15/4/2009 | 21/7/2011 | 1/8/2013 | 7/10/2014 | 25/10/2015 |
| (km2) | 1088 | 735 | 1037 | 1112 | 1049 | 632 | 804 |
| (km2) | 1138 | 776 | 1114 | 1011 | 1123 | 665 | 881 |
| (%) | 4.63 | 5.59 | 7.37 | 9.15 | 7.12 | 5.10 | 9.52 |
| Models | Data Used | Method | Relational Expression | R2 (Coefficient of Determination) | p Values |
|---|---|---|---|---|---|
| A1 | 2004–2012 | SLR | 0.770 | 0.00 | |
| A2 | 2004–2012 | SMLR | 0.795 | 0.00, 0.001 | |
| A3 | 2012 | SLR | 0.889 | 0.00 | |
| A4 | 2012 | SMLR | 0.942 | 0.001, 0.002 |
| Models | R2 (Coefficient of Determination) | RMSE (Root Mean-Square Error) | NSE (Nash-Sutcliffe Efficiency) |
|---|---|---|---|
| A1 | 0.9116 | 224.93 | 0.62 |
| A2 | 0.9459 | 189.86 | 0.84 |
| A3 | 0.9116 | 142.64 | 0.91 |
| A4 | 0.9461 | 148.59 | 0.92 |
| Models | R2 (Coefficient of Determination) | RMSE (Root Mean-Square Error) | NSE (Nash-Sutcliffe Efficiency) |
|---|---|---|---|
| A3 | 0.9255 | 140.052 | 0.81 |
| A4 | 0.9673 | 102.779 | 0.94 |
© 2019 by the authors. Licensee MDPI, Basel, Switzerland. This article is an open access article distributed under the terms and conditions of the Creative Commons Attribution (CC BY) license (http://creativecommons.org/licenses/by/4.0/).
Share and Cite
Long, Y.; Tang, R.; Wu, C.; Jiang, C.; Hu, S. Estimating Real-Time Water Area of Dongting Lake Using Water Level Information. Water 2019, 11, 1240. https://doi.org/10.3390/w11061240
Long Y, Tang R, Wu C, Jiang C, Hu S. Estimating Real-Time Water Area of Dongting Lake Using Water Level Information. Water. 2019; 11(6):1240. https://doi.org/10.3390/w11061240
Chicago/Turabian StyleLong, Yuannan, Rong Tang, Changshan Wu, Changbo Jiang, and Shixiong Hu. 2019. "Estimating Real-Time Water Area of Dongting Lake Using Water Level Information" Water 11, no. 6: 1240. https://doi.org/10.3390/w11061240
APA StyleLong, Y., Tang, R., Wu, C., Jiang, C., & Hu, S. (2019). Estimating Real-Time Water Area of Dongting Lake Using Water Level Information. Water, 11(6), 1240. https://doi.org/10.3390/w11061240

