Construction of Comprehensive Drought Monitoring Model in Jing-Jin-Ji Region Based on Multisource Remote Sensing Data
Abstract
1. Introduction
2. Materials and Methods
2.1. Study Area
2.2. Remote Sensing Data
2.2.1. MODIS
2.2.2. TRMM
2.3. Meteorological Station Data
2.4. Statistical Yearbook Data
2.5. Methods
2.5.1. Vegetation Condition Index (VCI)
2.5.2. Temperature Condition Index (TCI)
2.5.3. Precipitation Condition Parameters (PCI)
2.5.4. Comprehensive Drought Index (CI)
2.5.5. Comprehensive Drought Model Construction
2.5.6. Linear Trend Analysis of Drought
2.6. Validation
2.6.1. Validation Using SPI Index
2.6.2. Validation Using Drought Affected Crop Area and Standardized Unit Yield of Wheat
3. Results and Discussion
3.1. Drought Process Monitored by CDIR
3.2. Validation of Comprehensive Drought Monitoring Model
3.2.1. Validation Using SPI Index
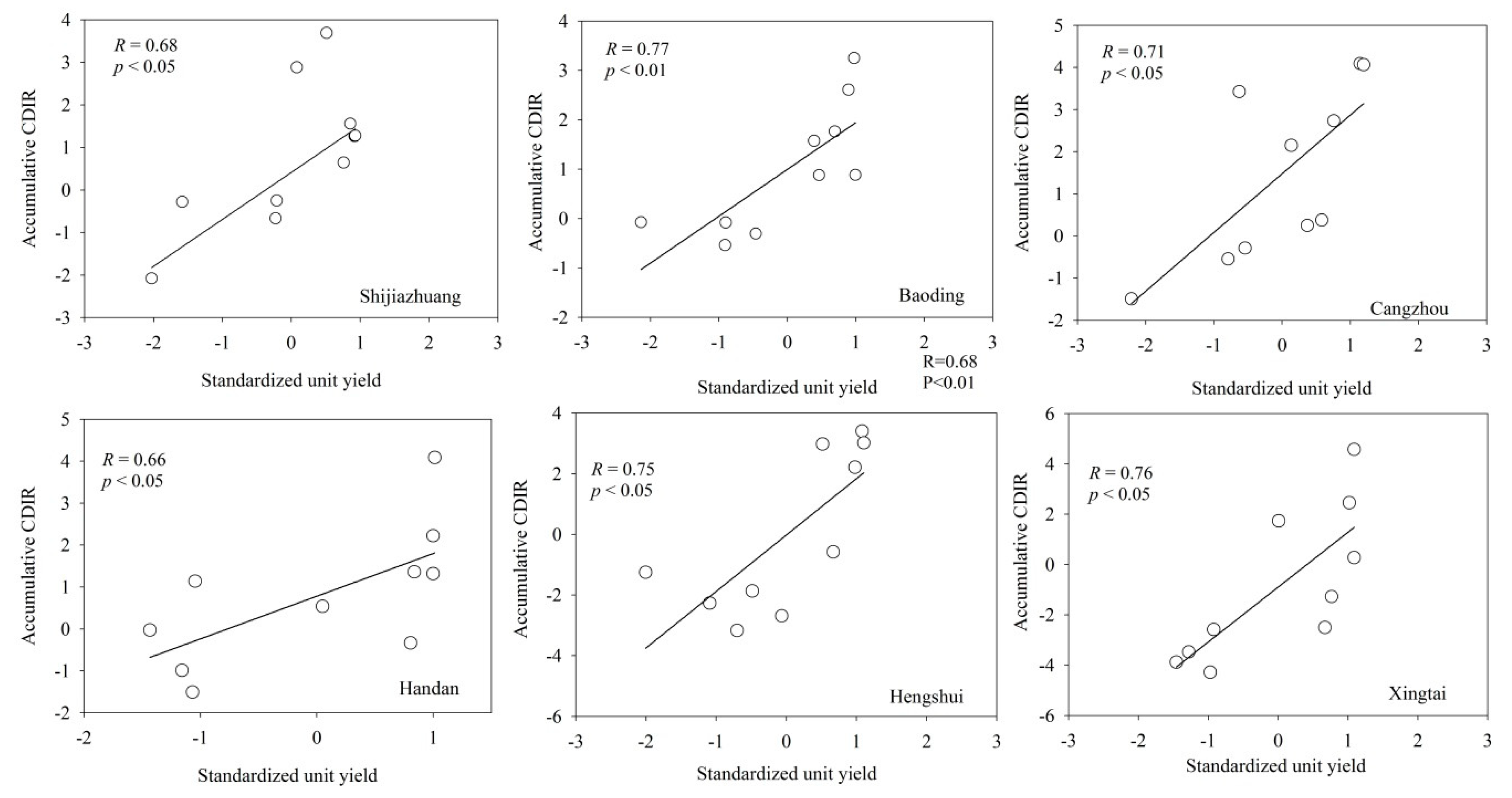
3.2.2. Validation Using Drought Affected Crop Area and Standardized Unit Yield of Wheat
3.3. Application: Spatial Trends of Drought Based on CDIR
4. Conclusions
Author Contributions
Funding
Conflicts of Interest
References
- World Meteorological Organization. Report on Drought and Countries Affected by Drought During 1974–1985; WMO: Geneva, Switzerland, 1986. [Google Scholar]
- Paulo, A.A.; Pereira, L.S. Drought Concepts and Characterization. Water Int. 2006, 31, 37–49. [Google Scholar] [CrossRef]
- Liu, X.F.; Zhu, X.F.; Pan, Y.Z.; Bai, J.J.; Li, S.S. Performance of different drought indices for agriculture drought in the North China Plain. J. Arid Land 2018, 10, 507–516. [Google Scholar] [CrossRef]
- Wang, H. Several thoughts on comprehensively coping with drought in China. China Water Res. 2010, 8, 4–6. (In Chinese) [Google Scholar]
- Hao, Z.C.; AghaKouchak, A. Multivariate Standardized Drought Index: A parametric multi-index model. Adv. Water Resour. 2013, 57, 12–18. [Google Scholar] [CrossRef]
- Hao, Z.C.; AghaKouchak, A. A Nonparametric Multivariate Multi-Index Drought Monitoring Framework. J. Hydrometeorol. 2014, 15, 89–101. [Google Scholar] [CrossRef]
- Ganguli, P.; Kumar, D.; Ganguly, A.R. US Power Production at Risk from Water Stress in a Changing Climate. Sci. Rep. UK 2017, 7, 11983. [Google Scholar] [CrossRef]
- Heim, R.R., Jr. A review of twentieth-century drought indices used in the United States. Bull. Am. Meteorol. Soc. 2002, 83, 1149–1165. [Google Scholar] [CrossRef]
- Heim, R.R., Jr.; Brewer, M.J. The Global Drought Monitor Portal: The Foundation for a Global Drought Information System. Earth Interact. 2012, 16, 1–28. [Google Scholar] [CrossRef]
- Zhang, Y.; Peng, C.H.; Li, W.Z.; Fang, X.Q.; Zhang, T.L.; Zhu, Q.A.; Chen, H.; Zhao, P.X. Monitoring and estimating drought-induced impacts on forest structure, growth, function, and ecosystem services using remote-sensing data: Recent progress and future challenges. Environ. Rev. 2013, 21, 103–115. [Google Scholar] [CrossRef]
- Liu, X.F.; Zhu, X.F.; Pan, Y.Z.; Li, S.S.; Liu, Y.X.; Ma, Y.Q. Agricultural drought monitoring: Progress, challenges, and prospects. J. Geogr. Sci. 2016, 26, 750–767. [Google Scholar] [CrossRef]
- Du, L.T.; Tian, Q.J.; Yu, T.; Meng, Q.Y.; Jancso, T.; Udvardy, P.; Huang, Y. A comprehensive drought monitoring method integrating MODIS and TRMM data. Int. J. Appl. Earth Obs. 2013, 23, 245–253. [Google Scholar] [CrossRef]
- Palmer, W.C. Meteorological Drought; U.S. Department of Commerce: Washington, DC, USA, 1965.
- McKee, T.B.; Doesken, N.J.; Kleist, J. The relationship of drought frequency and duration to time scales. In Proceedings of the 8th Conference on Applied Climatology, Anaheim, CA, USA, 17–22 January 1993. [Google Scholar]
- The Standardization Administration of China. National Standard of People’s Republic of China GB/T 20481-2006. The Grade of Meteorological Drought; China Standard Press: Beijing, China, 2006. (In Chinese)
- Zhang, T.F.; Zhang, B.; Wang, Y.H.; Liu, X.L.; An, M.L.; Zhang, J.X. Drought characteristics in the Shit yang river basin during the recently 50 years based on composite index. Acta Ecol. Sin. 2013, 33, 975–984. (In Chinese) [Google Scholar] [CrossRef]
- Bannari, A.; Morin, D.; Bonn, F.; Huete, A.R. A review of vegetation indices. Remote Sens. Rev. 1995, 13, 95–120. [Google Scholar] [CrossRef]
- Kogan, F.N. Application of vegetation index and brightness temperature for drought detection. Adv. Space Res. 1995, 15, 91–100. [Google Scholar] [CrossRef]
- Kogan, F.N. Droughts of the late 1980s in the United States as derived from NOAA polar-orbiting satellite data. Bull. Am. Meteorol. Soc. 1995, 76, 655–668. [Google Scholar] [CrossRef]
- Karnieli, A.; Bayasgalan, M.; Bayarjargal, Y.; Agam, N.; Khudulmur, S.; Tucker, C.J. Comments on the use of the vegetation health index over mongolia. Int. J. Remote Sens. 2006, 27, 2017–2024. [Google Scholar] [CrossRef]
- Gao, M.F.; Qin, Z.H.; Zhang, H.O. Remote Sensing of Agro-droughts in Guangdong Province of China Using MODIS Satellite Data. Sensors 2008, 8, 4687–4708. [Google Scholar] [CrossRef] [PubMed]
- Sandholt, I.; Rasmussen, K.; Andersen, J. A simple interpretation of the surface temperature—Vegetation index space for assessment of surface moisture status. Remote Sens. Environ. 2002, 79, 213–224. [Google Scholar] [CrossRef]
- Patel, N.R.; Parida, B.R.; Venus, V.; Saha, S.K.; Dadhwal, V.K. Analysis of agricultural drought using vegetation temperature condition index (VTCI) from Terra/MODIS satellite data. Environ. Monit. Assess. 2012, 184, 7153–7163. [Google Scholar] [CrossRef]
- Theon, J.S. The Tropical Rainfall Measuring Mission (TRMM). Adv. Space Res. 1994, 14, 159–165. [Google Scholar] [CrossRef]
- Wu, Y.N.; Chen, J.S. Food safety monitoring and surveillance in China: Past, present and future. Food Control 2018, 90, 429–439. [Google Scholar] [CrossRef]
- Zhao, H.Y.; Gao, G.; An, W.; Zou, X.K.; Li, H.T.; Hou, M.T. Timescale differences between SC-PDSI and SPEI for drought monitoring in china. Phys. Chem. Earth 2015, 102, 48–58. [Google Scholar] [CrossRef]
- Liu, L.; Liao, J.; Chen, X.; Zhou, G.; Su, Y.; Xiang, Z.; Wang, Z.; Liu, X.; Li, Y.; Wu, J. The Microwave Temperature Vegetation Drought Index (MTVDI) based on AMSR-E brightness temperatures for long-term drought assessment across China (2003–2010). Remote Sens. Environ. 2017, 199, 302–320. [Google Scholar] [CrossRef]
- Wang, S.S.; Mo, X.G.; Hu, S.; Liu, S.X.; Liu, Z.J. Assessment of droughts and wheat yield loss on the North China Plain with an aggregate drought index (ADI) approach. Ecol. Indic. 2018, 87, 107–116. [Google Scholar] [CrossRef]
- Zhang, J.; Sun, F.B.; Liu, W.B.; Liu, J.H.; Wang, H. Spatio-temporal patterns of drought evolution over the Beijing-Tianjin-Hebei region, China. J. Geogr. Sci. 2019, 29, 863–876. [Google Scholar]
- Miao, Z.W.; Xu, L.G.; Han, H.L. Climate evolution characteristics of Beijing-Tianjin-Hebei Region for the last 55 years. South North Water Transf. Water Sci. Technol. 2018, 16, 125–134. (In Chinese) [Google Scholar]
- Gallo, K.; Ji, L.; Reed, B.; Eidenshink, J.; Dwyer, J. Multi-platform comparisons of MODIS and AVHRR normalized difference vegetation index data. Remote Sens. Environ. 2005, 99, 221–231. [Google Scholar] [CrossRef]
- Tucker, C.J. History of the Use of AVHRR Data for Land Applications. In Advances in the Use of NOAA AVHRR Data for Land Applications; Springer: Dordrecht, The Netherlands, 1996. [Google Scholar]
- Carlson, T.N.; Ripley, D.A. On the relation between NDVI, fractional vegetation cover, and leaf area index. Remote Sens. Environ. 1997, 62, 241–252. [Google Scholar] [CrossRef]
- Level 1 and Atmosphere Archive and Distribution System Distributed Active Archive Center (LAADS DAAC). Available online: https://ladsweb.modaps.eosdis.nasa.gov/ (accessed on 7 November 2017).
- Wan, Z.; Dozier, J. A generalized split-window algorithm for retrieving landsurface temperature from space. IEEE Trans. Geosci. Remote Sens. 1996, 34, 892–905. [Google Scholar]
- Zeng, H.W.; Li, L.J.; Li, J.Y. The evaluation of TRMM Multisatellite Precipitation Analysis (TMPA) in drought monitoring in the Lancang River Basin. J. Geogr. Sci. 2012, 22, 273–282. [Google Scholar] [CrossRef]
- Goddard Earth Sciences Data and Information Services Center (GES-DISC). Available online: https://earthdata.nasa.gov/about/daacs/gesdisc (accessed on 10 October 2017).
- China National Meteorological Information Center. Available online: https://data.cma.cn/ (accessed on 7 November 2017).
- National Bureau of Statistics of China. Available online: http://www.stats.gov.cn/ (accessed on 15 November 2017).
- Kogan, F.N. Global drought watch from space. Bull. Am. Meteorol. Soc. 1997, 78, 621–636. [Google Scholar] [CrossRef]
- Pereia, A.R.; Pruitt, W.O. A daptation of the Thornthwaite scheme for estimating daily reference evapotranspiration. Agric. Water Manag. 2004, 66, 251–257. [Google Scholar] [CrossRef]
- Trajkoric, S. Temperature-based approaches for estimating reference evapotranspiration. J. Irrig. Drain. Eng. 2005, 131, 316–325. [Google Scholar] [CrossRef]
- Chen, H.P.; Sun, J.Q. Changes in Drought Characteristics over China Using the Standardized Precipitation Evapotranspiration Index. J. Clim. 2015, 28, 5430–5447. [Google Scholar] [CrossRef]
- Ma, Z.G.; Fu, C.B. Interannual characteristics of the surface hydrological variables over the arid and semi-arid areas of northern China. Glob. Planet. Chang. 2003, 37, 189–200. [Google Scholar] [CrossRef]
- Zhao, D.S.; Zheng, D.; Wu, S.H.; Wu, Z.F. Climate Changes in Northeastern China During Last Four Decades. Chin. Geogr. Sci. 2007, 17, 317–324. [Google Scholar] [CrossRef]
- Ghebrezgabher, M.G.; Yang, T.B.; Yang, X.M. Long-Term Trend of Climate Change and Drought Assessment in the Horn of Africa. Adv. Meteorol. 2016, 2016, 8057641. [Google Scholar] [CrossRef]
- Ülker, G.B. Trend analysis of precipitation and drought in the aegean region, turkey. Meteorol. Appl. 2017, 24, 239–249. [Google Scholar]
- Wu, J.F.; Liu, Z.Y.; Yao, H.X.; Chen, X.H.; Chen, X.W.; Zheng, Y.H.; He, Y.H. Impacts of reservoir operations on multi-scale correlations between hydrological drought and meteorological drought. J. Hydrol. 2018, 563, 726–736. [Google Scholar] [CrossRef]
- Yao, J.Q.; Zhao, Y.; Chen, Y.N.; Yu, X.J.; Zhang, R.B. Multi-scale assessments of droughts: A case study in Xinjiang, China. Sci. Total Environ. 2018, 630, 444–452. [Google Scholar] [CrossRef]
- Ji, T.; Li, G.; Yang, H.; Liu, R.; He, T. Comprehensive drought index as an indicator for use in drought monitoring integrating multi-source remote sensing data: A case study covering the sichuan-chongqing region. Int. J. Remote Sens. 2018, 39, 786–809. [Google Scholar] [CrossRef]
- 2016th Climate Bulletin of Hebei Province, China. Available online: http://he.cma.gov.cn/ (accessed on 15 November 2017).
- Greve, P.; Orlowsky, B.; Mueller, B.; Sheffield, J.; Reichstein, M.; Seneviratne, S.I. Global assessment of trends in wetting and drying over land. Nat. Geosci. 2014, 7, 716–721. [Google Scholar] [CrossRef]
- Feng, H.H.; Zhang, M.Y. Global land moisture trends: Drier in dry and wetter in wet over land. Sci. Rep. UK 2015, 5, 18018. [Google Scholar] [CrossRef] [PubMed]
- Qin, Y.; Yang, D.W.; Lei, H.M.; Xu, K.; Xu, X.Y. Comparative analysis of drought based on precipitation and soil moisture indices in Haihe basin of North China during the period of 1960–2010. J. Hydrol. 2015, 526, 55–67. [Google Scholar] [CrossRef]
- He, J.; Yang, X.H.; Li, J.Q.; Jin, J.L.; Wei, Y.M.; Chen, X.J. Spatiotemporal variation of meteorological droughts based on the daily comprehensive drought index in the Haihe River basin, China. Nat. Hazards 2015, 75, 199–217. [Google Scholar] [CrossRef]
- Miao, Z.W.; Xu, L.G.; Lu, M. Analysis of Drought Characters Based on SPEI Index in Beijing-Tianjin-Hebei Region. Yellow River 2018, 40, 51–57. (In Chinese) [Google Scholar]
- Ding, Y.H.; Wang, Z.Y.; Sun, Y. Inter-decadal variation of the summer precipitation in East China and its association with decreasing Asian summer monsoon. Part I: Observed evidences. Int. J. Climatol. 2008, 28, 1139–1161. [Google Scholar] [CrossRef]
- Ding, Y.H.; Sun, Y.; Wang, Z.Y.; Zhu, Y.X.; Song, Y.F. Inter-decadal variation of the summer precipitation in China and its association with decreasing Asian summer monsoon Part II: Possible causes. Int. J. Climatol. 2009, 29, 1926–1944. [Google Scholar] [CrossRef]









| Item | Temperature | Precipitation | Sunshine Hours | Relative Humidity | Wind Speed |
|---|---|---|---|---|---|
| Average value | 10.43 | 508.71 | 2635.69 | 58.47 | 2.29 |
| Maximum value | 11.73 | 789.36 | 3068.8 | 68.50 | 2.94 |
| The year in which the maximum occurred | 1998 | 1964 | 1965 | 1964 | 1969 |
| minimum value | 8.75 | 346.25 | 2262.7 | 54.08 | 1.80 |
| The year in which the minimum occurred | 1969 | 1999 | 2003 | 2005 | 2003 |
| Variation coefficient | 0.07 | 0.18 | 0.07 | 0.04 | 0.12 |
| Drought Class | Extreme Drought | Severe Drought | Moderate Drought | Mild Drought | No Drought |
|---|---|---|---|---|---|
| CDIR | <−2 | −2 ≤ CDIR < −1 | −1 ≤ CDIR < 0 | 0 ≤ CDIR < 1 | ≥1 |
| Season | K Value | Trends of CDIR | Trends of Drought | Area (103 km2) | Proportion (%) |
|---|---|---|---|---|---|
| Spring | <0 | ↓ | ↑ | 199.27 | 93.12 |
| 0 | - | - | 4.58 | 2.14 | |
| >0 | ↑ | ↓ | 10.14 | 4.74 | |
| Summer | <0 | ↓ | ↑ | 33.06 | 15.45 |
| 0 | - | - | 4.39 | 2.05 | |
| >0 | ↑ | ↓ | 176.54 | 82.5 | |
| Autumn | <0 | ↓ | ↑ | 102.16 | 47.74 |
| 0 | - | - | 4.52 | 2.11 | |
| >0 | ↑ | ↓ | 107.31 | 50.15 | |
| Winter | <0 | ↓ | ↑ | 175.81 | 82.16 |
| 0 | - | - | 4.54 | 2.12 | |
| >0 | ↑ | ↓ | 33.64 | 15.72 |
© 2019 by the authors. Licensee MDPI, Basel, Switzerland. This article is an open access article distributed under the terms and conditions of the Creative Commons Attribution (CC BY) license (http://creativecommons.org/licenses/by/4.0/).
Share and Cite
Yu, H.; Li, L.; Liu, Y.; Li, J. Construction of Comprehensive Drought Monitoring Model in Jing-Jin-Ji Region Based on Multisource Remote Sensing Data. Water 2019, 11, 1077. https://doi.org/10.3390/w11051077
Yu H, Li L, Liu Y, Li J. Construction of Comprehensive Drought Monitoring Model in Jing-Jin-Ji Region Based on Multisource Remote Sensing Data. Water. 2019; 11(5):1077. https://doi.org/10.3390/w11051077
Chicago/Turabian StyleYu, Haozhe, Lijuan Li, Yang Liu, and Jiuyi Li. 2019. "Construction of Comprehensive Drought Monitoring Model in Jing-Jin-Ji Region Based on Multisource Remote Sensing Data" Water 11, no. 5: 1077. https://doi.org/10.3390/w11051077
APA StyleYu, H., Li, L., Liu, Y., & Li, J. (2019). Construction of Comprehensive Drought Monitoring Model in Jing-Jin-Ji Region Based on Multisource Remote Sensing Data. Water, 11(5), 1077. https://doi.org/10.3390/w11051077
