Wastewater Pump Control under Mechanical Wear
Abstract
1. Introduction
2. Materials and Methods
2.1. Tank Design
2.2. Optimization Model
3. Case Study
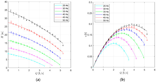
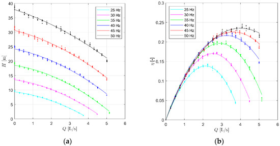
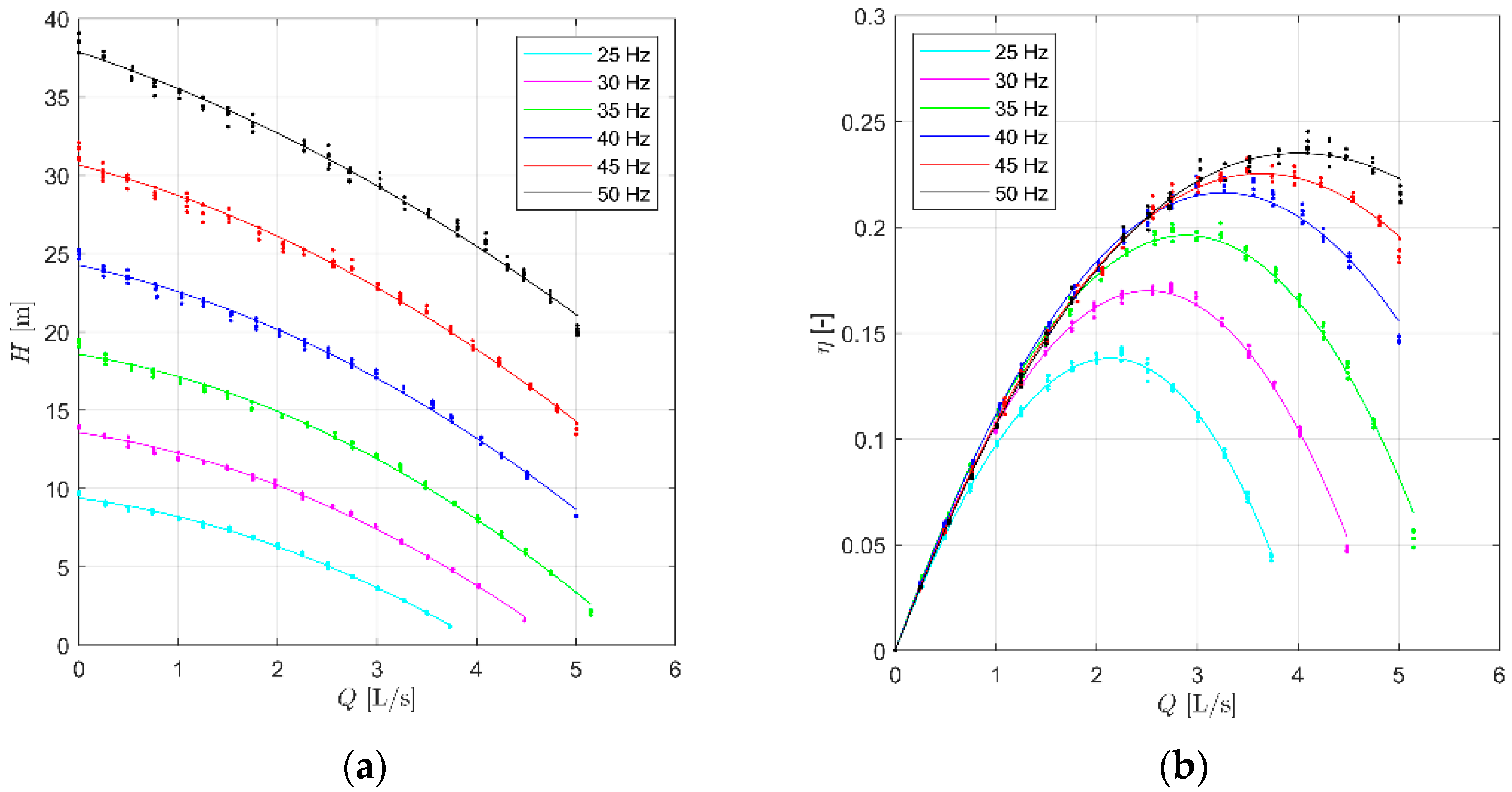
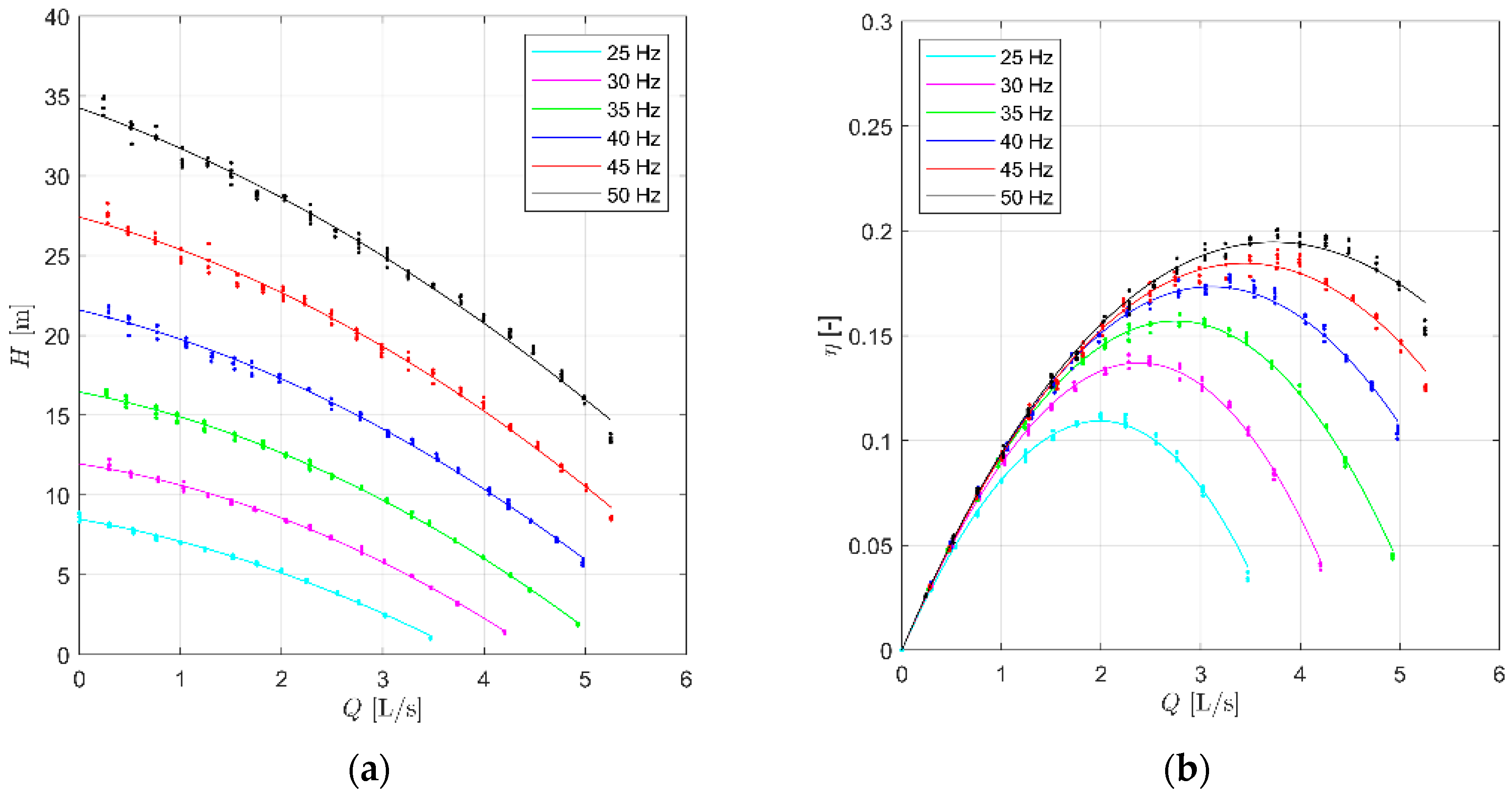
3.1. Experimental Investigation of Pump Performances and Aging of the Pump
3.2. Sewage Flow Pattern and Wet Well Design
4. Results and Discussion
4.1. Energy Indexes
4.2. Results of the Energy Assessment and Discussion
5. Conclusions
Author Contributions
Funding
Acknowledgments
Conflicts of Interest
References
- Smith, A.; Chewpreecha, U.; Mercure, J.-F.; Pollitt, H. EU Climate and Energy Policy Beyond 2020: Is a Single Target for GHG Reduction Sufficient? In The European Dimension of Germany’s Energy Transition; Springer: Cham, Switzerland, 2019; ISBN 978-3-030-03373-6. [Google Scholar]
- European Council. Directive 2009/125/EC of the European Parliament and of the Council of 21 October 2009 establishing a framework for the setting of ecodesign requirements for energy-related products (recast). Off. J. Eur. Union 2009, 13, 10–35. [Google Scholar]
- Gallagher, J.; Basu, B.; Browne, M.; Kenna, A.; McCormack, S.; Pilla, F.; Styles, D. Adapting Stand-Alone Renewable Energy Technologies for the Circular Economy through Eco-Design and Recycling. J. Ind. Ecol. 2017, 23, 133–140. [Google Scholar] [CrossRef]
- Xue, X.; Hawkins, T.; Schoen, M.; Garland, J.; Ashbolt, N. Comparing the Life Cycle Energy Consumption, Global Warming and Eutrophication Potentials of Several Water and Waste Service Options. Water 2016, 8, 154. [Google Scholar] [CrossRef]
- Fecarotta, O.; Ramos, H.M.; Derakhshan, S.; Del Giudice, G.; Carravetta, A. Fine Tuning a PAT Hydropower Plant in a Water Supply Network to Improve System Effectiveness. J. Water Resour. Plan. Manag. 2018, 144, 04018038. [Google Scholar] [CrossRef]
- Morani, M.C.; Carravetta, A.; Del Giudice, G.; McNabola, A.; Fecarotta, O. A Comparison of Energy Recovery by PATs against Direct Variable Speed Pumping in Water Distribution Networks. Fluids 2018, 3, 41. [Google Scholar] [CrossRef]
- Olsson, G. Water and Energy: Threats and Opportunities—Second Edition. Water Intell. Online 2015. [Google Scholar] [CrossRef]
- Karadirek, I.E.; Kara, S.; Yilmaz, G.; Muhammetoglu, A.; Muhammetoglu, H. Implementation of Hydraulic Modelling for Water-Loss Reduction Through Pressure Management. Water Resour. Manag. 2012, 26, 2555–2568. [Google Scholar] [CrossRef]
- Pérez-Sánchez, M.; Sánchez-Romero, F.J.; Ramos, H.M.; López-Jiménez, P.A. Energy recovery in existing water networks: Towards greater sustainability. Water 2017, 9, 97. [Google Scholar] [CrossRef]
- Carravetta, A.; Derakhshan Houreh, S.; Ramos, H.M. Pumps as Turbines: Fundamentals and Applications; Springer: Cham, Switzerland, 2018; ISBN 978-3-319-67506-0. [Google Scholar]
- Ramos, H.M.; Mello, M.; De, P.K. Clean power in water supply systems as a sustainable solution: From planning to practical implementation. Water Sci. Technol. Water Supply 2010, 10, 39. [Google Scholar] [CrossRef]
- Arriaga, M. Pump as turbine—A pico-hydro alternative in Lao People’s Democratic Republic. Renew. Energy 2010, 35, 1109–1115. [Google Scholar] [CrossRef]
- Carravetta, A.; Del Giudice, G.; Fecarotta, O.; Ramos, H.M. Pump as turbine (PAT) design in water distribution network by system effectiveness. Water 2013, 5, 1211–1225. [Google Scholar] [CrossRef]
- Carravetta, A.; Fecarotta, O.; Ramos, H.M. A new low-cost installation scheme of PATs for pico-hydropower to recover energy in residential areas. Renew. Energy 2018, 125, 1003–1014. [Google Scholar] [CrossRef]
- Pugliese, F.; De Paola, F.; Fontana, N.; Giugni, M.; Marini, G. Performance of vertical-axis pumps as turbines. J. Hydraul. Res. 2018, 56, 482–493. [Google Scholar] [CrossRef]
- Fecarotta, O.; Aricò, C.; Carravetta, A.; Martino, R.; Ramos, H.M. Hydropower Potential in Water Distribution Networks: Pressure Control by PATs. Water Resour. Manag. 2015, 29, 699–714. [Google Scholar] [CrossRef]
- Corcoran, L.; Mcnabola, A.; Coughlan, P. Optimization of Water Distribution Networks for Combined Hydropower Energy Recovery and Leakage Reduction. J. Water Resour. Plan. Manag. 2015, 142, 1–8. [Google Scholar] [CrossRef]
- Giugni, M.; Fontana, N.; Ranucci, A. Optimal Location of PRVs and Turbines in Water Distribution Systems. J. Water Resour. Plan. Manag. 2014, 140, 6014004. [Google Scholar] [CrossRef]
- Fecarotta, O.; McNabola, A. Optimal Location of Pump as Turbines (PATs) in Water Distribution Networks to Recover Energy and Reduce Leakage. Water Resour. Manag. 2017, 31, 5043–5059. [Google Scholar] [CrossRef]
- McCormick, G.; Powell, R.S. Optimal Pump Scheduling in Water Supply Systems with Maximum Demand Charges. J. Water Resour. Plan. Manag. 2003, 129, 372–379. [Google Scholar] [CrossRef]
- Castro-Gama, M.; Pan, Q.; Lanfranchi, E.A.; Jonoski, A.; Solomatine, D.P. Pump Scheduling for a Large Water Distribution Network; Elsevier: Milan, Italy, 2017; pp. 436–443. [Google Scholar]
- Fecarotta, O.; Carravetta, A.; Morani, M.C.; Padulano, R. Optimal Pump Scheduling for Urban Drainage under Variable Flow Conditions. Resources 2018, 7, 73. [Google Scholar] [CrossRef]
- Jowitt, P.W.; Germanopoulos, G. Optimal Pump Scheduling inWater? Supply Networks. J. Water Resour. Plan. Manag. 1992, 118, 406–422. [Google Scholar] [CrossRef]
- Little, K.W.; McCrodden, B.J. Minimization of Raw Water Pumping Costs Using MILP. J. Water Resour. Plan. Manag. 1989, 115, 511–522. [Google Scholar] [CrossRef]
- Tabesh, M. Scheduling and operating costs in water distribution networks. Proc. Inst. Civ. Eng. 2013, 166, 432–442. [Google Scholar]
- López-Ibáñez, M.; Prasad, T.D.; Paechter, B. Ant Colony Optimization for Optimal Control of Pumps in Water Distribution Networks. J. Water Resour. Plan. Manag. 2008, 134, 337–346. [Google Scholar] [CrossRef]
- Hashemi, S.S.; Tabesh, M.; Ataeekia, B. Ant-colony optimization of pumping schedule to minimize the energy cost using variable-speed pumps in water distribution networks. Urban Water J. 2014, 11, 335–347. [Google Scholar] [CrossRef]
- De Paola Fontana, N.; Giugni, M.; Marini, G.; Pugliese, F. An Application of the Harmony-Search Multi-Objective (HSMO) Optimization Algorithm for the Solution of Pump Scheduling Problem. Procedia Eng. 2016, 162, 494–502. [Google Scholar] [CrossRef]
- De Paola, F.; Fontana, N.; Giugni, M.; Marini, G.; Pugliese, F. Optimal solving of the pump scheduling problem by using a Harmony Search optimization algorithm. Hydroinformatics 2017, 19, 879–889. [Google Scholar] [CrossRef]
- Gorjian Jolfaei, N.; Jin, B.; Chow, C.; Bressan, F.; Gorjian, N. An Optimised Energy Saving Model for Pump Scheduling in Wastewater Networks. In Asset Intelligence through Integration and Interoperability and Contemporary Vibration Engineering Technologies; Springer: Cham, Switzerland, 2018; pp. 197–208. ISBN 978-3-319-95711-1. [Google Scholar]
- Belotti, P.; Kirches, C.; Leyffer, S.; Linderoth, J.; Luedtke, J.; Mahajan, A. Mixed-integer nonlinear optimization. Acta Numer. 2013, 22, 1–131. [Google Scholar] [CrossRef]
- Rotodynamic pumps. Hydraulic performance acceptance tests. Grades 1, 2 and 3; BS EN ISO 9906:2012; British Standards Institution (BSI): London, England, 2012. [Google Scholar]
- Carravetta, A.; Conte, M.C.; Fecarotta, O.; Ramos, H.M. Evaluation of PAT performances by modified affinity law. Proc. Procedia Eng. 2014, 89, 581–587. [Google Scholar] [CrossRef]
- Carravetta, A.; Antipodi, L.; Golia, U.; Fecarotta, O. Energy saving in a water supply network by coupling a pump and a Pump As Turbine (PAT) in a turbopump. Water 2017, 9, 62. [Google Scholar] [CrossRef]
- Simpson, A.R.; Marchi, A. Evaluating the Approximation of the Affinity Laws and Improving the Efficiency Estimate for Variable Speed Pumps. J. Hydraul. Eng. 2013, 139, 1314–1317. [Google Scholar] [CrossRef]











| CODE 1 | δ (mm) | α (-) | β (-) | (kWh/d) | (kWh/d) | (kWh/d) | (-) | (-) | (-) |
|---|---|---|---|---|---|---|---|---|---|
| S_S_S | 2.6 | 1 | 0.25 | 8.82 | 62.35 | 42.90 | 0.14 | 0.21 | −31.50 |
| S_S_M | 2.6 | 1 | 0.5 | 10.75 | 62.23 | 50.88 | 0.17 | 0.21 | −17.90 |
| S_S_H | 2.6 | 1 | 0.75 | 12.69 | 62.19 | 60.05 | 0.20 | 0.21 | −3.40 |
| S_M_S | 2.6 | 1.5 | 0.25 | 3.97 | 41.59 | 24.54 | 0.09 | 0.16 | −42.20 |
| S_M_M | 2.6 | 1.5 | 0.5 | 5.89 | 41.48 | 33.47 | 0.14 | 0.17 | −17.80 |
| S_M_H | 2.6 | 1.5 | 0.75 | 7.82 | 41.38 | 44.89 | 0.19 | 0.19 | 0.00 |
| S_H_S | 2.6 | 2 | 0.25 | 2.47 | 31.09 | 18.35 | 0.08 | 0.14 | −43.10 |
| S_H_M | 2.6 | 2 | 0.5 | 4.09 | 31.07 | 26.76 | 0.13 | 0.14 | −8.80 |
| S_H_H | 2.6 | 2 | 0.75 | 5.70 | 31.13 | 39.38 | 0.18 | 0.18 | 0.00 |
| M_S_S | 3.6 | 1 | 0.25 | 8.82 | - | - | - | - | - |
| M_S_M | 3.6 | 1 | 0.5 | 10.75 | - | - | - | - | - |
| M_S_H | 3.6 | 1 | 0.75 | 12.69 | - | - | - | - | - |
| M_M_S | 3.6 | 1.5 | 0.25 | 3.97 | 43.60 | 28.97 | 0.09 | 0.14 | −34.70 |
| M_M_M | 3.6 | 1.5 | 0.5 | 5.89 | 44.61 | 40.26 | 0.13 | 0.14 | −8.00 |
| M_M_H | 3.6 | 1.5 | 0.75 | 7.82 | 46.34 | 54.71 | 0.17 | 0.17 | 0.00 |
| M_H_S | 3.6 | 2 | 0.25 | 2.47 | 32.77 | 21.69 | 0.07 | 0.12 | −35.60 |
| M_H_M | 3.6 | 2 | 0.5 | 4.09 | 33.36 | 32.05 | 0.12 | 0.12 | 0.00 |
| M_H_H | 3.6 | 2 | 0.75 | 5.70 | 34.81 | 48.05 | 0.16 | 0.16 | 0.00 |
| H_S_S | 4.6 | 1 | 0.25 | 8.82 | - | - | - | - | - |
| H_S_M | 4.6 | 1 | 0.5 | 10.75 | - | - | - | - | - |
| H_S_H | 4.6 | 1 | 0.75 | 12.69 | - | - | - | - | - |
| H_M_S | 4.6 | 1.5 | 0.25 | 3.97 | 43.99 | 32.72 | 0.09 | 0.12 | −26.60 |
| H_M_M | 4.6 | 1.5 | 0.5 | 5.89 | 46.26 | 45.72 | 0.13 | 0.13 | 0.00 |
| H_M_H | 4.6 | 1.5 | 0.75 | 7.82 | 51.52 | 62.39 | 0.15 | 0.15 | 0.00 |
| H_H_S | 4.6 | 2 | 0.25 | 2.47 | 33.14 | 24.44 | 0.07 | 0.10 | −26.70 |
| H_H_M | 4.6 | 2 | 0.5 | 4.09 | 34.68 | 36.67 | 0.12 | 0.12 | 0.00 |
| H_H_H | 4.6 | 2 | 0.75 | 5.70 | 38.75 | 55.23 | 0.15 | 0.15 | 0.00 |
© 2019 by the authors. Licensee MDPI, Basel, Switzerland. This article is an open access article distributed under the terms and conditions of the Creative Commons Attribution (CC BY) license (http://creativecommons.org/licenses/by/4.0/).
Share and Cite
Fecarotta, O.; Martino, R.; Morani, M.C. Wastewater Pump Control under Mechanical Wear. Water 2019, 11, 1210. https://doi.org/10.3390/w11061210
Fecarotta O, Martino R, Morani MC. Wastewater Pump Control under Mechanical Wear. Water. 2019; 11(6):1210. https://doi.org/10.3390/w11061210
Chicago/Turabian StyleFecarotta, Oreste, Riccardo Martino, and Maria Cristina Morani. 2019. "Wastewater Pump Control under Mechanical Wear" Water 11, no. 6: 1210. https://doi.org/10.3390/w11061210
APA StyleFecarotta, O., Martino, R., & Morani, M. C. (2019). Wastewater Pump Control under Mechanical Wear. Water, 11(6), 1210. https://doi.org/10.3390/w11061210

