Dam Operation for Mitigating Ice Jam Flooding Risks under the Adjustment of River Channel-Forms: Implications from an Evaluation in the Ningxia-Inner Mongolia Reach of the Upper Yellow River, China
Abstract
1. Introduction
2. Materials and Methods
3. Results and Analysis
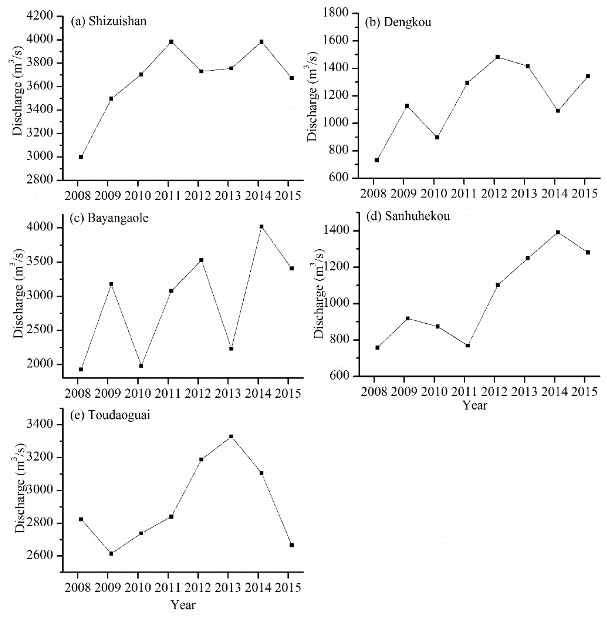
3.1. Altered Hydrological Process during the Ice Flooding Seasons
3.2. Variation in the Water Temperature during the Ice Flooding Seasons
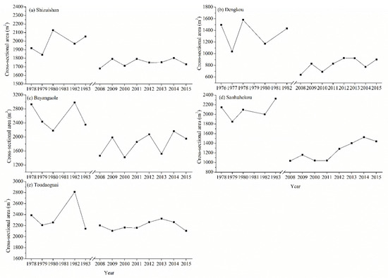
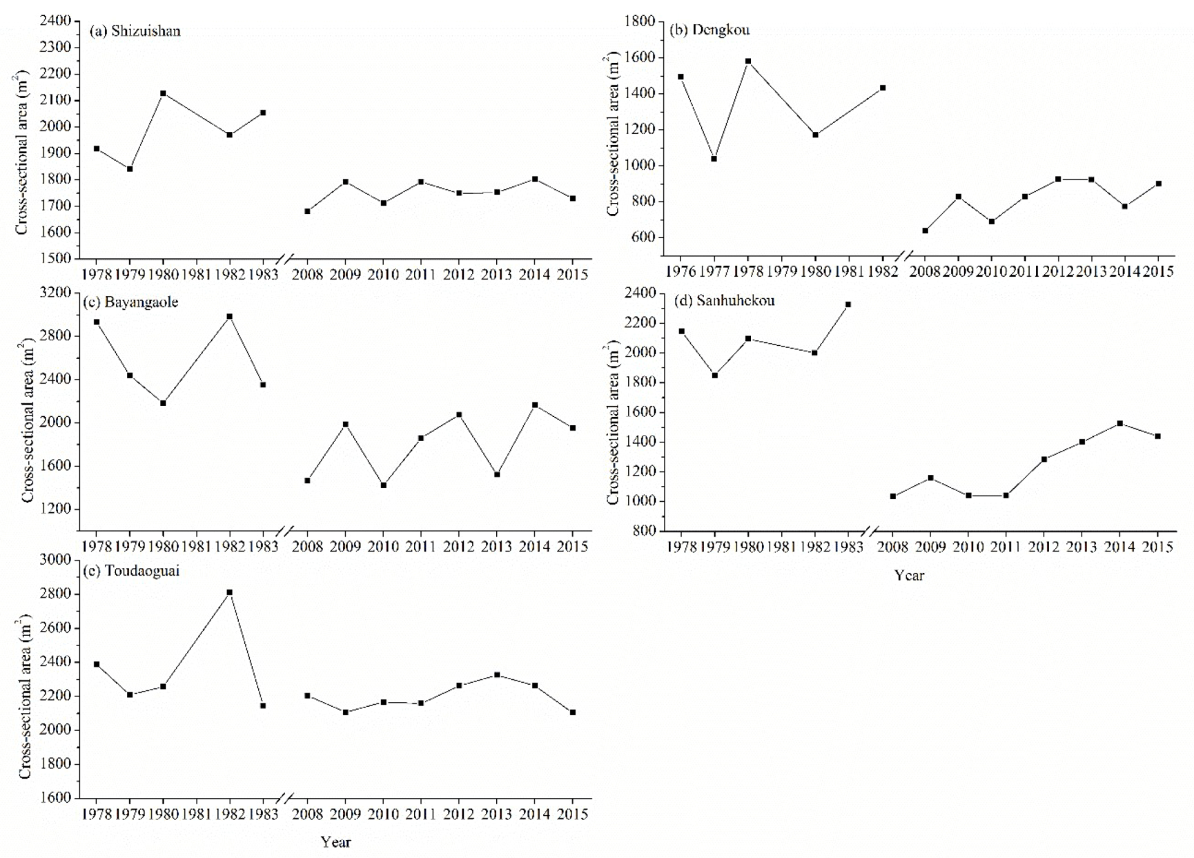
3.3. River Channel-Form Adjustments before the Ice Jam Flooding Seasons
4. Discussion
4.1. Physical Cause for Adjustments in the Channel-Forms and Discharging Capacities
4.2. Impact of Large Summer Floods on the Channel-Forms
5. Conclusions
- From 1968, the joint operation of the Qingtongxia, Liujiaxia, and Longyangxia Reservoirs has led to significant increases in both the annual mean runoff and the mean water temperature during the ice jam flooding seasons in the Ningxia-Inner Mongolia reach. This aids in the shortening of the freezing-up duration and the decrease of the ice cover thickness.
- The significant channel shrinkage that prevailed in the study reach during 1987 to 2006 was mainly due to the input of a relatively larger amount of sediment from the upstream.
- In the new flow regime from 2008, there was a slight increase in the discharging capacity and no significant channel shrinkage occurred due to a significantly smaller amount of sediment load carried by a slightly increased annual runoff.
Author Contributions
Funding
Acknowledgments
Conflicts of Interest
References
- Beltaos, S. River ice jams, theory, case studies, and applications. J. Hydrol. Eng. ASCE 1983, 109, 1338–1359. [Google Scholar] [CrossRef]
- Wang, F.; Wei, H. Multi-time scale analysis of ice regime in Ningxia-Inner Mongolia reach based on wavelet transform. J. Arid Land Res. Environ. 2014, 28, 83–89. (In Chinese) [Google Scholar]
- Beltaos, S. River ice breakup processes, recent advances and future directions. Can. J. Civ. Eng. 2007, 34, 703–716. [Google Scholar] [CrossRef]
- Beltaos, S. Distributed function analysis of ice jam flood frequency. Cold Reg. Sci. Technol. 2012, 71, 1–10. [Google Scholar] [CrossRef]
- Brayall, M.; Hicks, E. Applicability of 2-D modeling for forecasting ice jam flood levels in the Hay River Delta, Canada. Can. J. Civ. Eng. 2012, 39, 701–712. [Google Scholar] [CrossRef]
- Smith, D.; Pearce, C. Ice jam-caused fluvial gullies and scour holes on northern river flood plains. Geomorphology 2002, 42, 85–95. [Google Scholar] [CrossRef]
- Lindenschmidt, K.; Das, A.; Rokaya, P.; Chu, T. Ice-jam flood risk assessment and mapping. Hydrol. Process. 2016, 30, 3754–3769. [Google Scholar] [CrossRef]
- Daly, S. Investigation of Changes in Conveyance of the St. Clair River Over Time Using a State-Space Model. US Army Engineering Research and Development Center; Cold regions research and engineering laboratory, ERDC/CRREL: Hanover, NH, USA, 2009. [Google Scholar]
- Jiang, Y.; Dong, W.; Yang, S.; Ma, J. Long-term changes in ice phenology of the Yellow River in the past decades. J. Clim. 2008, 21, 4879–4886. [Google Scholar] [CrossRef]
- Majewski, W.; Mroziński, Ł. Ice phenomena on the lower Vistula. Geophysica 2011, 47, 57–67. [Google Scholar]
- Shiklomanov, A.; Lammers, R. River ice responses to a warming Arctic—Recent evidence from Russian rivers. Environ. Res. Lett. 2014, 9, 035008. [Google Scholar] [CrossRef]
- Prowse, T.; Shrestha, R.; Bonsal, B.; Dibike, Y. Changing spring air-temperature gradients along large northern rivers, Implications for severity of river-ice floods. Geophys. Res. Lett. 2010, 37, L19706. [Google Scholar] [CrossRef]
- Kil’myaninov, V. The effect of meteorological conditions prior to ice run on the extent of ice jam floods on the Lena River. Russ. Meteorol. Hydrol. 2012, 37, 276–278. [Google Scholar] [CrossRef]
- Chen, G.; Wang, Y.; Huang, Q.; Jing, A. Influence of discharge of Qingtongxia Reservoir on ice run in Ningxia-Inner Mongolia reaches. J. Nat. Disaster 2013, 22, 198–203. (In Chinese) [Google Scholar]
- Kolerski, T. Modeling of Ice Passage through Reservoirs System on the Vistula River//Hydrodynamic and Mass Transport at Freshwater Aquatic Interfaces; Springer: Cham, Switzerland, 2016; pp. 35–47. [Google Scholar]
- Kolerski, T. Mathematical modeling of ice dynamics as a decision support tool in river engineering. Water 2018, 10, 1241. [Google Scholar] [CrossRef]
- Hu, C.; Chen, J.; Liu, D.; Dong, Z. Studies on the features of cross section’s profile in the lower Yellow River under the conditions of variable incoming water and sediment. J. Hydraul. Eng. 2006, 37, 1283–1289. (In Chinese) [Google Scholar]
- Ma, Y.; Huang, H.Q.; Nanson, G.C.; Li, Y.; Yao, W. Channel adjustments in response to the operation of large dams, The upper reach of the lower Yellow River. Geomorphology 2012, 147–148, 35–48. [Google Scholar] [CrossRef]
- Zhang, Y.; Wang, P.; Hou, S.; Wu, B. On conditions of sandbar clogging at confluences in the upper Yellow River. Adv. Water Sci. 2013, 24, 333–339. [Google Scholar]
- Long, H.; Du, Y.; Wu, H.; Chen, D.; Guo, L. Shrink and its impact on the ice floods in the Ningxia- Inner Mongolia reach of Yellow River. Yellow River 2007, 29, 25–26. (In Chinese) [Google Scholar]
- Simon, A.; Thorne, C. Channel adjustment of an unstable coarse-grained stream, opposing trends of boundary and critical shear stress, and the applicability of extremal hypotheses. Earth Surf. Process. Landf. 1996, 21, 155–180. [Google Scholar] [CrossRef]
- Surian, N.; Rinaldi, M. Morphological response to river engineering and management in alluvial channels in Italy. Geomorphology 2003, 50, 307–326. [Google Scholar] [CrossRef]
- Choi, S.; Yoon, B.; Woo, H. Effects of dam-induced flow regime change on downstream river morphology and vegetation cover in the Hwang River, Korea. River Res. Appl. 2005, 21, 315–325. [Google Scholar] [CrossRef]
- Phillips, J.; Slattery, M.; Musselman, Z. Channel adjustments of the lower Trinity River, Texas, downstream of Livingston Dam. Earth Surf. Process. Landf. 2005, 30, 1419–1439. [Google Scholar] [CrossRef]
- Hooke, J. Temporal variations in fluvial processes on an active meandering river over a 20-year period. Geomorphology 2008, 100, 3–13. [Google Scholar] [CrossRef]
- Yao, Z.; Ta, W.; Jia, X.; Xiao, J. Bank erosion and accretion along the Ningxia–Inner Mongolia reaches of the Yellow River from 1958 to 2008. Geomorphology 2011, 127, 99–106. [Google Scholar] [CrossRef]
- Yao, Z.; Xiao, J.; Ta, W.; Jia, X. Planform channel dynamics along the Ningxia–Inner Mongolia reaches of the Yellow River from 1958 to 2008, analysis using Landsat images and topographic maps. Environ. Earth Sci. 2013, 70, 97–106. [Google Scholar] [CrossRef]
- Friedman, J.; Osterkamp, W.; Lewis Jr., W.M. Channel narrowing and vegetation development following a Great Plains flood. Ecology 1996, 77, 2167–2181. [Google Scholar] [CrossRef]
- Wu, C.; Wei, Y.; Jin, J.; Huang, Q.; Zhou, Y.; Liu, L. Comprehensive evaluation of ice disaster risk of the Ningxia–Inner Mongolia Reach in the upper Yellow River. Nat. Hazards 2015, 75, 179–197. [Google Scholar] [CrossRef]
- Wang, W.D.; Zhang, F.H.; Kang, Z.M. Characteristics and causes of ice flood in Ningxia- Inner Mongolia section of the Yellow River valley. Meteorol. Mon. 2006, 32, 32–38. [Google Scholar]
- Ta, W.; Xiao, H.; Dong, Z. Long-term morphodynamic changes of a desert reach of the Yellow River following upstream large reservoirs’ operation. Geomorphology 2008, 97, 249–259. [Google Scholar] [CrossRef]
- Fan, X.; Shi, C.; Zhou, Y.; Shao, W. Sediment rating curves in the Ningxia-Inner Mongolia reaches of the upper Yellow River and their implications. Quat. Int. 2012, 282, 152–162. [Google Scholar] [CrossRef]
- Su, T.; Wang, S.; Mei, Y.; Shao, W. Comparison of channel geometry changes in Inner Mongolian reach of the Yellow River before and after joint operation of large upstream reservoirs. J. Geogr. Sci. 2015, 25, 930–942. [Google Scholar] [CrossRef]
- Yao, H.; Qin, F.; Shen, G.; Dong, X. Ice regime characteristics in the Ningxia- Inner Mongolia reach of Yellow River. Adv. Water Sci. 2007, 18, 893–899. [Google Scholar]
- Wang, F.; Wand, L. Analysis of ice regime characteristics in the Ningxia- Inner Mongolia reach of Yellow River in the recent ten years. South North Water Trans. Water Sci. Tech. 2014, 12, 21–24. (In Chinese) [Google Scholar]
- Shi, C. Decadal trends and causes of sedimentation in the Inner Mongolia reach of the upper Yellow River, China. Hydrol. Process. 2016, 30, 232–244. [Google Scholar] [CrossRef]
- Shi, C.; Wang, S.; Xu, J. Interaction Mechanism between Flood Peak Process, Riverbed and Banks of Ningxia-Inner Mongolia Reach, Yellow River; Science Press: Beijing, China, 2016. (In Chinese) [Google Scholar]
- Wang, S.; Fu, B.; Piao, S.; Lv, Y.; Ciais, P. Reduced sediment transport in the Yellow River due to anthropogenic changes. Nat. Geosci. 2017, 9, 38–41. [Google Scholar] [CrossRef]
- Pan, B.; Pang, H.; Zhang, D.; Guan, Q.; Wang, L.; Li, F.; Guan, W.; Cai, A.; Sun, X. Sediment grain-size characteristics and its source implication in the Ningxia–Inner Mongolia sections on the upper reaches of the Yellow River. Geomorphology 2015, 246, 255–262. [Google Scholar] [CrossRef]
- Fu, C.; Popescu, I.; Wang, C.; Mynett, A.E.; Zhang, F. Challenges in modelling river flow and ice regime on the Ningxia–Inner Mongolia reach of the Yellow River, China. Hydrol. Earth Syst. Sci. 2014, 18, 1225–1237. [Google Scholar] [CrossRef]
- Feng, G.; Chaolin, G.; Yan, X. Analysis of ice slush formation mechanism and ice flood causes of Yellow River in Inner Mongolia. J. Hydrol. 2008, 28, 74–76. [Google Scholar]
- Knack, I.; Shen, H. Sediment transport in ice-covered channels. Int. J. Sediment Res. 2015, 30, 63–67. [Google Scholar] [CrossRef]
- Kolerski, T.; Shen, H. Possible effects of the 1984 St. Clair River ice jam on bed changes. Can. J. Civ. Eng. 2015, 42, 696–703. [Google Scholar] [CrossRef]
- Wu, B.; Xia, J.; Fu, X.; Zhang, Y.; Wang, G. Effect of altered flow regime on bankfull area of the Lower Yellow River, China. Earth Surf. Process. Landf. 2008, 33, 1585–1601. [Google Scholar] [CrossRef]
- Xie, Z.H.; Huang, H.Q.; Yu, G.A.; Zhang, M. Quantifying the effects of dramatic changes in runoff and sediment on the channel morphology of a large, wandering river using remote sensing images. Water 2018, 10, 1767. [Google Scholar] [CrossRef]
- Kuo, C.W.; Chen, C.F.; Chen, S.C.; Yang, T.C.; Chen, C.W. Channel Planform Dynamics Monitoring and Channel Stability Assessment in Two Sediment-Rich Rivers in Taiwan. Water 2017, 9, 84. [Google Scholar] [CrossRef]
- Li, Z.; Qin, Y.; Chen, X.; Wang, W.; Wu, Q. Effects of the coarse sediment movement in the flood on Inner Mongolia Reach of Yellow River in 2012. Adv. Water Sci. 2016, 27, 687–695. [Google Scholar]
- Qian, N.; Zhang, R.; Zhou, Z. Fluvial Processes; Science Press: Beijing, China, 1987. (In Chinese) [Google Scholar]
- Chang, H. Fluvial Processes in River Engineering; Krieger Publishing Company: Malabar, FL, USA, 2002. [Google Scholar]
- Schumm, S.A. River Variability and Complexity; Cambridge University Press: Cambridge, UK, 2007. [Google Scholar]
- Schumm, S.A. River metamorphosis. J. Hydraul. Div. ASCE 1969, 6352, 255–273. [Google Scholar]










| Reservoir | Total Storage (108 m3) | Power-Plant Capacity (MW) | Operation Time | Area of the Upper Drainage Basin (km2) |
|---|---|---|---|---|
| Qingtongxia | 6.06 | 30.2 | 1968 | 275,004 |
| Liujiaxia | 57 | 1160 | 1969 | 181,766 |
| Longyangxia | 247 | 1280 | 1986 | 131,420 |
| Year | Stage 1 | Stage 2 | Stage 3 | Stage 4 | ||||
|---|---|---|---|---|---|---|---|---|
| Regression Equation | Q (ave) m3/s | Regression Equation | Q (ave) m3/s | Regression Equation | Q (ave) m3/s | Regression Equation | Q (ave) m3/s | |
| 2008–2009 | y = 86.49 × x − 7.27 R2 = 0.96 | 222 | y = 0.013 × x + 545.17 R2=0.90 | 545 | y = −5.69 × x + 955.08 R2 = 0.81 | 342 | y = 39.74 × x − 4183.40 R2 = 0.56 | 1042 |
| 2009–2010 | y = 104.51 × x + 34.27 R2 = 0.73 | 317 | y = −1.04 × x + 629.00 R2=0.25 | 576 | y = −9.35 × x +1390.90 R2 = 0.87 | 385 | y = 65.74 × x − 8077.80 R2 = 0.87 | 566 |
| 2010–2011 | y = 93.57 × x + 148.00 R2 = 0.78 | 407 | y = −1.19 × x + 621.97 R2 = 0.32 | 561 | y = −6.38 × x + 1099.00 R2 = 0.82 | 413 | y = 53.62 × x − 6523.80 R2 = 0.76 | 527 |
| 2011–2012 | y = 5.64 × x + 523.87 R2 = 0.53 | 554 | y = −1.25 × x + 642.53 R2 = 0.32 | 579 | y = −5.07 × x + 969.94 R2 = 0.61 | 424 | y = 57.65 × x − 6958.00 R2 = 0.80 | 623 |
| 2012–2013 | y = 22.13 × x + 416.47 R2 = 0.71 | 538 | y = 1.65 × x + 534.21 R2 = 0.38 | 617 | y = −5.57 × x + 1061.60 R2 = 0.49 | 462 | y = 28.34 × x − 2751.90 R2 = 0.52 | 975 |
| 2013–2014 | y = 89.40 × x +138.27 R2 = 0.91 | 414 | y = −0.68 × x + 675.77 R2 = 0.11 | 641 | y = −2.04 × x + 634.17 R2 = 0.19 | 414 | y = 32.79 × x − 3734.10 R2 = 0.53 | 462 |
| 2014–2015 | y = 54.86 × x +294.67 R2 = 0.70 | 491 | y = −1.36 × x + 704.69 R2 = 0.43 | 635 | y = −2.15 × x + 694.81 R2 = 0.16 | 463 | y = 31.79 × x − 3374.70 R2 = 0.69 | 693 |
| 2008–2015 | y = 28.19 × x +265.89 R2 = 0.21 | 222 | y = −0.55 × x + 621.94 R2 = 0.45 | 545 | y = −5.18 × x + 972.27 R2 = 0.41 | 342 | y = 48.23 × x − 5595.40 R2 = 0.40 | 1042 |
| Station | Shizuishan | Dengkou | Bayangaole | Sanhuhekou | Toudaoguai | ||||||||||
|---|---|---|---|---|---|---|---|---|---|---|---|---|---|---|---|
| Bankfull Water Level | 1091.15 m | 1061.47 m | 1052.92 m | 1020.09 m | 989.94 m | ||||||||||
| Date | A (m2) | W (m) | W/D | A (m2) | D (m) | W/D | A (m2) | D (m) | W/D | A (m2) | D (m) | W/D | A (m2) | D (m) | W/D |
| November 1976 | 1493 | 332 | 74 | ||||||||||||
| November 1977 | 1039 | 324 | 101 | ||||||||||||
| November 1978 | 1919 | 434 | 98 | 1580 | 320 | 65 | 2935 | 696 | 165 | 2146 | 1062 | 526 | 2388 | 729 | 222 |
| November 1979 | 1841 | 436 | 103 | 2437 | 697 | 199 | 1852 | 981 | 519 | 2209 | 704 | 224 | |||
| November 1980 | 2128 | 438 | 90 | 1172 | 330 | 93 | 2184 | 697 | 223 | 2094 | 1009 | 485 | 2257 | 689 | 210 |
| November 1982 | 1970 | 439 | 98 | 1433 | 332 | 77 | 2985 | 698 | 163 | 2001 | 1038 | 538 | 2811 | 721 | 185 |
| November 1983 | 2055 | 426 | 88 | 2349 | 696 | 207 | 2325 | 1038 | 463 | 2146 | 659 | 202 | |||
| November 2008 | 1682 | 412 | 101 | 328 | 306 | 146 | 1467 | 575 | 225 | 1034 | 976 | 921 | 2205 | 723 | 237 |
| November 2009 | 1793 | 382 | 81 | 487 | 305 | 112 | 1986 | 577 | 168 | 1158 | 973 | 818 | 2107 | 725 | 249 |
| November 2010 | 1713 | 309 | 56 | 346 | 272 | 107 | 1421 | 508 | 181 | 1039 | 798 | 614 | 2167 | 725 | 242 |
| November 2011 | 1793 | 310 | 54 | 505 | 246 | 73 | 1859 | 512 | 141 | 1040 | 970 | 907 | 2158 | 679 | 214 |
| November 2012 | 1749 | 323 | 60 | 580 | 264 | 75 | 2075 | 549 | 145 | 1286 | 960 | 716 | 2261 | 640 | 181 |
| November 2013 | 1752 | 321 | 59 | 582 | 283 | 87 | 1521 | 503 | 167 | 1400 | 984 | 693 | 2325 | 643 | 178 |
| November 2014 | 1803 | 315 | 55 | 454 | 270 | 94 | 2162 | 498 | 115 | 1526 | 1039 | 707 | 2262 | 667 | 197 |
| November 2015 | 1731 | 322 | 60 | 548 | 289 | 93 | 1955 | 498 | 127 | 1442 | 1021 | 724 | 2104 | 701 | 234 |
| Year\Station | Shizuishan | Dengkou | Bayangaole | Sanhuhekou | Toudaoguai | |||||
|---|---|---|---|---|---|---|---|---|---|---|
| A | W/D | A | W/D | A | W/D | A | W/D | A | W/D | |
| 2008 | −2.78% | 55.13% | 25.75% | −4.33% | 45.38% | −8.78% | −12.53% | 17.15% | −5.98% | −15.67% |
| 2009 | 31.34% | −26.56% | 47.53% | −27.18% | 196.39% | −14.37% | −24.69% | 26.58% | 12.87% | −16.85% |
| 2010 | 12.78% | −4.89% | −2.36% | −8.15% | 18.25% | 8.23% | −19.12% | 16.31% | 12.18% | −1.56% |
| 2011 | 42.14% | −28.81% | 49.14% | −22.41% | 111.23% | −56.26% | −13.87% | 20.60% | 40.74% | −31.25% |
| 2012 | 53.49% | −11.33% | 43.75% | −19.32% | 89.72% | −14.65% | 42.18% | 80.15% | 42.58% | −25.54% |
| 2013 | 60.34% | −40.98% | 45.62% | −3.56% | 5.19% | 52.04% | 29.65% | −2.17% | 11.98% | −4.15% |
| 2014 | 80.07% | −46.36% | 15.83% | 23.35% | 143.45% | −21.90% | 27.15% | 23.56% | −7.05% | −4.32% |
| 2015 | 14.28% | −27.34% | 14.67% | −13.43% | −12.12% | 85.65% | 15.32% | −8.16% | 2.91% | 25.32% |
© 2019 by the authors. Licensee MDPI, Basel, Switzerland. This article is an open access article distributed under the terms and conditions of the Creative Commons Attribution (CC BY) license (http://creativecommons.org/licenses/by/4.0/).
Share and Cite
Su, T.; Huang, H.; Zhou, Y.; Yu, G. Dam Operation for Mitigating Ice Jam Flooding Risks under the Adjustment of River Channel-Forms: Implications from an Evaluation in the Ningxia-Inner Mongolia Reach of the Upper Yellow River, China. Water 2019, 11, 1136. https://doi.org/10.3390/w11061136
Su T, Huang H, Zhou Y, Yu G. Dam Operation for Mitigating Ice Jam Flooding Risks under the Adjustment of River Channel-Forms: Implications from an Evaluation in the Ningxia-Inner Mongolia Reach of the Upper Yellow River, China. Water. 2019; 11(6):1136. https://doi.org/10.3390/w11061136
Chicago/Turabian StyleSu, Teng, Heqing Huang, Yuanyuan Zhou, and Guoan Yu. 2019. "Dam Operation for Mitigating Ice Jam Flooding Risks under the Adjustment of River Channel-Forms: Implications from an Evaluation in the Ningxia-Inner Mongolia Reach of the Upper Yellow River, China" Water 11, no. 6: 1136. https://doi.org/10.3390/w11061136
APA StyleSu, T., Huang, H., Zhou, Y., & Yu, G. (2019). Dam Operation for Mitigating Ice Jam Flooding Risks under the Adjustment of River Channel-Forms: Implications from an Evaluation in the Ningxia-Inner Mongolia Reach of the Upper Yellow River, China. Water, 11(6), 1136. https://doi.org/10.3390/w11061136

