Application of the Simple Biosphere Model 2 (SiB2) with Irrigation Module to a Typical Low-Hilly Red Soil Farmland and the Sensitivity Analysis of Modeled Energy Fluxes in Southern China
Abstract
1. Introduction
2. Materials and Methods
2.1. Experimental Site and Data
2.2. Bowen Ratio-Energy Balance Method
2.3. SiB2 Model
2.3.1. Overview of the SiB2 Model
2.3.2. Main Parameter Settings in Red Soil Farmland
2.3.3. Driving Data for the SiB2 Model Used in this Study
2.3.4. Initialization in the SiB2 Model
2.4. The Adjustment of the SiB2 Model for Paddy Fields in Southern China
2.5. Statistical Analysis and Sensitivity Analysis
3. Results and Discussion
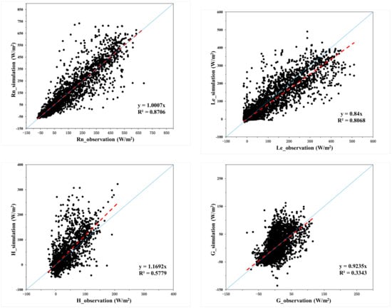
3.1. Comparison of Measured and Modeled Surface Energy Flux
3.2. Sensitivity Analysis of Energy Flux
3.3. Results of the Adjusted SiB2 Model
4. Conclusions and Discussion
Author Contributions
Funding
Acknowledgments
Conflicts of Interest
References
- Defries, R.S.; Bounoua, L.; Collatz, G.J. Human modification of the landscape and surface climate in the next fifty years. Glob. Chang. Biol. 2002, 8, 438–458. [Google Scholar] [CrossRef]
- Gao, Z.; Chae, N.; Kim, J.; Hong, J.; Choi, T.; Lee, H. Modeling of surface energy partitioning, surface temperature, and soil wetness in the Tibetan prairie using the Simple Biosphere Model 2 (SiB2). J. Geophys. Res. Atmos. 2004, 109, D06102. [Google Scholar] [CrossRef]
- Li, Y.; Sun, R.; Liu, S. Vegetation physiological parameter setting in the simple biosphere model 2 (SiB2) for alpine meadows in the upper reaches of Heihe river. Sci. Chin. Earth Sci. 2015, 58, 755–769. [Google Scholar] [CrossRef]
- Niraula, R.; Meixner, T.; Ajami, H.; Rodell, M.; Gochis, D.; Castro, C.L. Comparing potential recharge estimates from three land surface models across the Western US. J. Hydrol. 2017, 545, 410–423. [Google Scholar] [CrossRef] [PubMed]
- Rowntree, P.R. Atmospheric parameterization schemes for evaporation over land: Basic concepts and climate modeling aspects. In Land Surface Evaporation. Measurement and Parameterization; Springer: Berlin, Germany, 1991. [Google Scholar]
- Dickinson, R.E.; Hendersin-Sellers, A.; Rosenzweig, C.; Sellers, P.J. Evapotranspiration models with canopy resistance for use in climate models: A review. Agric. For. Meteorol. 1991, 54, 373–388. [Google Scholar] [CrossRef]
- Zhang, X.; Gao, Z.Q.; Wei, D.P. The sensitivity of ground surface temperature prediction to soil thermal properties using the simple biosphere model (SiB2). Adv. Atmos. Sci. 2012, 29, 623–634. [Google Scholar] [CrossRef]
- Chen, Y.; Yang, K.; Zhou, D.G.; Qin, J.; Guo, X.F. Improving the Noah land surface model in arid regions with an appropriate parameterization of the thermal roughness length. J. Hydrometeorol. 2010, 11, 995–1006. [Google Scholar] [CrossRef]
- Larsen, M.A.D.; Refsgaard, J.C.; Jensen, K.H.; Butts, M.B.; Stisen, S.; Mollerup, M. Calibration of a distributed hydrology and land surface model using energy flux measurements. Agric. For. Meteorol. 2016, 217, 74–88. [Google Scholar] [CrossRef]
- Zhang, B.; Kang, S.; Li, F.; Lu, Z. Comparison of three evapotranspiration models to Bowen ratio-energy balance method for a vineyard in an arid desert region of Northwest China. Agric. For. Meteorol. 2008, 148, 1629–1640. [Google Scholar] [CrossRef]
- Rannik, Ü.; Peltola, O.; Mammarella, I. Random uncertainties of flux measurements by the eddy covariance technique. Atmos. Meas. Tech. 2016, 9, 1–31. [Google Scholar] [CrossRef]
- Li, G.; Zhang, F.; Jing, Y.; Liu, Y.; Sun, G. Response of evapotranspiration to changes in land use and land cover and climate in China during 2001–2013. Sci. Total Environ. 2017, 256, 596–597. [Google Scholar] [CrossRef]
- Li, X.; Cheng, G.; Liu, S.; Xiao, Q.; Ma, M.; Jin, R.; Che, T.; Liu, Q.; Wang, W.; Qi, Y.; et al. Heihe watershed allied telemetry experimental research (HIWATER): Scientific objectives and experimental design. Bull. Am. Meteorol. Soc. 2013, 94, 1145–1160. [Google Scholar] [CrossRef]
- Ma, Y.M.; Kang, S.C.; Zhu, L.P.; Xu, B.Q.; Tian, L.D.; Yao, T.D. Tibetan observation and research platform atmosphere-land interaction over a heterogeneous landscape. Bull. Am. Meteorol. Soc. 2008, 89, 1487–1492. [Google Scholar]
- Koike, T. The coordinated enhanced observing period—An initial step for integrated global water cycle observation. WMO Bull. 2004, 53, 115–121. [Google Scholar]
- Xu, X.; Zhang, R.; Koike, T.; Lu, C.; Shi, X.; Zhang, S.; Bian, L.; Cheng, X.; Li, P.; Ding, G. A new integrated observational system over the Tibetan plateau. Bull. Am. Meteorol. Soc. 2008, 89, 1492–1496. [Google Scholar]
- Ping, Z.; Bounoua, L.; Thome, K.; Wolfe, R.; Imhoff, M. Modeling surface climate in U.S. cities using simple biosphere model SiB2. Can. J. Remote Sens. 2015, 41, 525–535. [Google Scholar]
- Song, Y.; Ma, M.; Li, X.; Wang, X. Scaling from instantaneous remote-sensing-based latent heat flux to daytime integrated value with the help of SiB2. In Remote Sensing for Agriculture, Ecosystems, and Hydrology XIII; International Society for Optics and Photonics: Bellingham, WA, USA, 2011. [Google Scholar]
- Qiu, R.; Du, T.; Kang, S.; Chen, R.; Wu, L. Assessing the SIMDualKc model for estimating evapotranspiration of hot pepper grown in a solar greenhouse in Northwest China. Agric. Syst. 2015, 138, 1–9. [Google Scholar] [CrossRef]
- Sridhar, V.; Elliott, R.L.; Chen, F.; Brotzge, J.A. Validation of the NOAH-OSU land surface model using surface flux measurements in Oklahoma. J. Geophys. Res. 2002, 107, 4418–4436. [Google Scholar] [CrossRef]
- Yan, X.D.; Hui-Yang, L.I.; Liu, F.; Gao, Z.Q.; Liu, H.Z. Modeling of surface flux in Tongyu using the simple biosphere model 2 (SiB2). J. For. Res. 2010, 21, 183–188. [Google Scholar] [CrossRef]
- Liu, F.; Tao, F.; Xiao, D.; Zhang, S.; Wang, M.; Zhang, H. Influence of land use change on surface energy balance and climate: Results from SiB2 model simulation. Prog. Geogr. 2014, 33, 815–824. [Google Scholar]
- Kim, W.; Arai, T.; Kanae, S.; Oki, T.; Musiake, K. Application of the simple biosphere model (SiB2) to a paddy field for a period of growing season in game-tropics. J. Meteorol. Soc. Jpn. 2001, 79, 387–400. [Google Scholar] [CrossRef][Green Version]
- Todd, R.W.; Evett, S.R.; Howell, T.A. The bowen ratio-energy balance method for estimating latent heat flux of irrigated alfalfa evaluated in a semi-arid, advective environment. Agric. For. Meteor. 2000, 103, 335–348. [Google Scholar] [CrossRef]
- Sellers, P.J.; Randall, D.A.; Collatz, G.J.; Berry, J.A.; Field, C.B.; Dazlich, D.A.; Zhang, C.; Collelo, G.D.; Bounoua, L. A revised land surface parameterization (SiB2) for atmospheric GCMs. Part I: Model Formulation. J. Clim. 1996, 9, 676–705. [Google Scholar] [CrossRef]
- Sellers, P.J.; Los, S.O.; Tucker, C.J.; Justice, C.O.; Dazlich, D.A.; Collatz, G.J.; Randall, D.A. A revised land surface parameterization (SiB2) for atmospheric GCMs. Part II: The generation of global fields of terrestrial biophysical parameters from satellite data. J. Clim. 1996, 9, 706–737. [Google Scholar] [CrossRef]
- Lindroth, R.L.; Kinney, K.K.; Platz, C.L. Responses of deciduous trees to elevated atmospheric CO2: Productivity, phytochemistry, and insect performance. Ecology 1993, 74, 763–777. [Google Scholar] [CrossRef]
- Randall, D.A.; Dazlich, D.A.; Zhang, C.; Denning, A.S.; Sellers, P.J.; Tucker, C.J.; Bounoua, L.; Berry, J.A.; Collatz, G.J.; Field, C.B.; et al. A revised land surface parameterization (SiB2) for atmospheric GCMs. Part III: The Greening of the Colorado State University General Circulation Model. J. Clim. 1996, 9, 738–763. [Google Scholar] [CrossRef]
- Chen, L.; Reiter, X.E.; Feng, Z.Q. The atmospheric heat source over the Tibetan plateau: May–August 1979. Mon. Weather Rev. 1985, 113, 1771–1790. [Google Scholar] [CrossRef]
- Tanaka, K.; Ishikawa, H.; Haysshi, T.; Tamagawa, I.; Ma, Y. Surface energy budget at Amdo on the Tibetan Plateau using GAME/Tibet IOP98 Data. J. Meteorol. Soc. Jpn. 2001, 79, 505–517. [Google Scholar] [CrossRef]
- Chen, F.; Dudhia, J. Coupling an advanced land-surface/hydrology model with the Penn State-NCAR MM5 modeling system, part I, Model implementation and sensitivity. Mon. Weather Rev. 2001, 129, 569–582. [Google Scholar] [CrossRef]
- Colello, G.D.; Grivet, C.; Sellers, P.J.; Berry, J.A. Modeling of energy, water, and CO2 flux in a temperate grassland ecosystem with SiB2: May–October 1987. J. Atmos. Sci. 2010, 55, 1141–1169. [Google Scholar] [CrossRef]
- Bian, L.; Gao, Z.; Xu, Q.; Lu, L.; Chen, Y. Measurements of Turbulence Transfer in the Near Surface Layer over the Southeastern Tibetan Plateau. Bound. Layer Meteorol. 2002, 102, 281–300. [Google Scholar] [CrossRef]
- Gao, Z.; Fan, X.; Bian, L. Analytical Solution to One-Dimensional Thermal Conduction-Convection in Soil. Soil Sci. 2003, 168, 99–106. [Google Scholar] [CrossRef]
- Li, G.; Jing, Y.; Wu, Y.; Zhang, F. Improvement of Two Evapotranspiration Estimation Models Using a Linear Spectral Mixture Model over a Small Agricultural Watershed. Water 2018, 10, 474. [Google Scholar] [CrossRef]
- Li, X.; Gao, Z.; Li, Y.; Tong, B. Comparison of sensible heat fluxes measured by a large aperture scintillometer and eddy covariance system over a heterogeneous farmland in East China. Atmosphere 2017, 8, 101. [Google Scholar] [CrossRef]
- Li, X.; Li, X.; Li, Z.; Ma, M.; Wang, J.; Xiao, Q.; Liu, Q.; Che, T.; Chen, E.; Yan, G.; et al. Watershed allied telemetry experimental research. J. Geophys. Res. Atmos. 2009, 114, 2191–2196. [Google Scholar] [CrossRef]
- Ek, M.; Mitchell, K.; Lin, Y.; Rogers, E.; Grunmann, P.; Koren, V.; Gayno, G.; Tarpley, D. Implementation of Noah land-surface model advances in the National Centers for Environmental Prediction operational mesoscale Eta model. J. Geophys. Res. 2003, 108, 8851–8867. [Google Scholar] [CrossRef]
- Collatz, G.J.; Bounoua, L.; Los, S.O.; Randall, D.A.; Fung, I.Y.; Sellers, P.J. A mechanism for the influence of vegetation on the response of the diurnal temperature range to changing climate. Geophys. Res. Lett. 2000, 20, 3381–3384. [Google Scholar] [CrossRef]









| Parameter | Description | Units | Value | Parameter | Description | Units | Value |
|---|---|---|---|---|---|---|---|
| Z2 | Canopy-top height | m | 1.3 | D1 | Depth of surface soil layer | m | 0.05 |
| Z1 | Canopy-base height | m | 0.2 | Zw | Wind observation height | m | 2.5 |
| Zc | Inflection height for leaf-area density | m | 0.777 | ZT | Air temperature and humidity observation height | m | 2 |
| Zs | Ground roughness length | m | 0.083 | LAI | Leaf area index | - | 3.82, 4.12, 2.6 |
| ll | Leaf length | m | 0.6 | Zw | Wind observation height | m | 2.5 |
| lw | Leaf width | m | 0.015 | Corb1 | non-neutral correction for calculation of aerodynamic resistance | - | 0.086 |
| Dr | Root depth | m | 0.25 | Corb2 | neutral value of rb*u2, | - | 184.05 |
| Ds | Soil depth | m | 1 | G1 | Augmentation factor for momentum transfer coefficient | - | 1.449 |
| V | Vegetation cover | % | 95.6,96.2,94.6 | G2 | Transition height factor for momentum transfercoefficient | - | 0.764 |
| Parameter | Description | Units | Value Stage 1; Stage 2; Stage 3 | ||
|---|---|---|---|---|---|
| LT | Leaf-area index | - | 3.82 | 4.12 | 2.6 |
| V | Vegetation cover | % | 95.6 | 96.2 | 94.6 |
| Z0 | Canopy roughness length | m | 0.083 | 0.095 | 0.087 |
| D | Canopy zero plane displacement | m | 0.895 | 0.869 | 0.854 |
| C1 | Bulk boundary-layer resistance coefficient | (s m−1) | 9.67 | 9.46 | 12.30 |
| C2 | Ground to canopy air-space resistance coefficient | (s m−1) | 42.80 | 86.30 | 79.66 |
| Initial Parameter | Initial Value |
|---|---|
| Canopy temperature | 300.6 K |
| Ground surface temperature | 302.0 K |
| Deep soil temperature | 302.5 K |
| Canopy air space temperature | 300.6 K |
| Volumetric water content at soil surface layer | 0.30 |
| Volumetric water content at root zone | 0.30 |
| Volumetric water content at recharge zone | 0.30 |
| Stage 1 23–31 July | Stage 2 1–30 September | Stage 3 1–31 October | Whole Growth Stage | |||||
|---|---|---|---|---|---|---|---|---|
| Bias | RMSE | Bias | RMSE | Bias | RMSE | Bias | RMSE | |
| Rn | 1.52 | 63.5 | 0.62 | 54.2 | −0.92 | 56.15 | 0.71 | 58.97 |
| H | 4.52 | 46.3 | 4.23 | 26.3 | 2.34 | 20.4 | 3.88 | 30.71 |
| LE | −7.83 | 48.3 | −6.57 | 56.1 | −3.56 | 62.4 | −6.35 | 46.4 |
| G | −1.2 | 34.6 | −2.64 | 23.4 | −3.01 | 34.5 | −2.32 | 29.5 |
| Parameter | Initial Value | Value in Sensitivity Test |
|---|---|---|
| DSL | based on driving data | ±10%, ±15%, ±20%, |
| DLR | ||
| Ta | ||
| e | ||
| u | ||
| C1 | 9.67 | +10, +20, +30 |
| C2 | 42.8 | +10, +20, +30 |
| Ws | 0.3 | 0.5, 0.7, 0.9 |
| Factor | Rn | LE | H | |||||||
|---|---|---|---|---|---|---|---|---|---|---|
| Bias | RMSE | S(i) | Bias | RMSE | S(i) | Bias | RMSE | S(i) | ||
| DSR | +10% | 11.1 | 18.3 | 0.70 | 2.6 | 8.6 | 0.17 | 8.3 | 16.5 | 0.55 |
| +15% | 16.7 | 19.6 | 0.72 | 3.5 | 8.9 | 0.11 | 12.6 | 18.5 | 0.56 | |
| +20% | 20.6 | 20.5 | 0.73 | 3.4 | 7.5 | 0.13 | 16.4 | 20.3 | 0.52 | |
| −10% | −10.8 | 17.6 | 0.68 | −4.2 | 10.6 | 0.21 | −7.9 | 15.2 | 0.51 | |
| −15% | −15.3 | 18.8 | 0.69 | −5.1 | 9.6 | 0.16 | −13.4 | 19.5 | 0.57 | |
| −20% | −21.6 | 22.4 | 0.73 | −5.6 | 11.5 | 0.14 | −17.6 | 22.6 | 0.52 | |
| DLR | +10% | 31.5 | 25.6 | 0.79 | 7.2 | 10.3 | 0.18 | 23.1 | 22.3 | 0.52 |
| +15% | 49.6 | 28.4 | 0.81 | 8.3 | 11.5 | 0.14 | 40.6 | 25.6 | 0.65 | |
| +20% | 67.1 | 29.4 | 0.82 | 8.5 | 11.7 | 0.10 | 56.8 | 28.2 | 0.68 | |
| −10% | −30.1 | 22.4 | 0.81 | −10.2 | 15.3 | 0.21 | −21.4 | 21.5 | 0.51 | |
| −15% | −44.9 | 25.2 | 0.78 | −18.3 | 16.2 | 0.22 | −16.2 | 18.5 | 0.26 | |
| −20% | −59.5 | 28.3 | 0.80 | −22.5 | 20.4 | 0.23 | −23.4 | 22.4 | 0.28 | |
| u | +10% | - | - | - | 1.22 | 7.5 | 0.45 | 3.42 | 9.6 | 0.65 |
| +15% | - | - | - | 1.34 | 8.36 | 0.31 | 5.2 | 10.6 | 0.76 | |
| +20% | - | - | - | 2.42 | 12.5 | 0.36 | 6.4 | 12.5 | 0.72 | |
| −10% | - | - | - | −0.86 | 6.5 | 0.32 | −4.2 | 13.5 | 0.73 | |
| −15% | - | - | - | −1.02 | 7.4 | 0.26 | −6.2 | 14.4 | 0.65 | |
| −20% | - | - | - | −1.14 | 10.5 | 0.16 | −8.1 | 18.3 | 0.84 | |
| Factor | Rn | LE | H | |||||||
|---|---|---|---|---|---|---|---|---|---|---|
| Bias | RMSE | S(i) | Bias | RMSE | S(i) | Bias | RMSE | S(i) | ||
| C1 | +10 | - | - | - | −10.9 | 15.7 | −1.09 | 8.9 | 14.5 | 0.89 |
| +20 | - | - | - | −16.4 | 18.2 | −0.94 | 15.3 | 17.2 | 0.65 | |
| +30 | - | - | - | −20.6 | 20.1 | −0.82 | 16.7 | 19.6 | 0.58 | |
| C2 | +10 | - | - | - | −4.1 | 8.6 | −0.14 | −7.3 | 15.2 | −0.67 |
| +20 | - | - | - | −5.1 | 8.9 | −0.12 | −11.2 | 19.5 | −0.56 | |
| +30 | - | - | - | −5.3 | 9.5 | −0.12 | −13.6 | 22.6 | −0.54 | |
| Ws | 0.5 | - | - | - | −1.8 | 13.4 | 6.9 | 1.7 | 12.8 | 6.5 |
| 0.7 | - | - | - | −0.3 | 1.2 | 5.4 | 0.3 | 0.8 | 5.0 | |
| 0.9 | - | - | - | 0.7 | 15.4 | 5.1 | −0.6 | 13.5 | −4.3 | |
| Adjusted Parameter | Definition | Units | Original Value | Adjusted Value (Non-Irrigation) | Adjusted Value (Irrigation) |
|---|---|---|---|---|---|
| C1 | Bulk boundary-layer resistance coefficient | - | 9.67 | 4.67 | 4.67 |
| C2 | Ground to canopy air-space resistance coefficient | - | 42.8 | 72.8 | 72.8 |
| Ws | Volumetric water content at soil surface layer | % | 30 | 40 | 48 |
© 2019 by the authors. Licensee MDPI, Basel, Switzerland. This article is an open access article distributed under the terms and conditions of the Creative Commons Attribution (CC BY) license (http://creativecommons.org/licenses/by/4.0/).
Share and Cite
Jing, Z.; Jing, Y.; Zhang, F.; Qiu, R.; Wido, H. Application of the Simple Biosphere Model 2 (SiB2) with Irrigation Module to a Typical Low-Hilly Red Soil Farmland and the Sensitivity Analysis of Modeled Energy Fluxes in Southern China. Water 2019, 11, 1128. https://doi.org/10.3390/w11061128
Jing Z, Jing Y, Zhang F, Qiu R, Wido H. Application of the Simple Biosphere Model 2 (SiB2) with Irrigation Module to a Typical Low-Hilly Red Soil Farmland and the Sensitivity Analysis of Modeled Energy Fluxes in Southern China. Water. 2019; 11(6):1128. https://doi.org/10.3390/w11061128
Chicago/Turabian StyleJing, Zhihao, Yuanshu Jing, Fangmin Zhang, Rangjian Qiu, and Hanggoro Wido. 2019. "Application of the Simple Biosphere Model 2 (SiB2) with Irrigation Module to a Typical Low-Hilly Red Soil Farmland and the Sensitivity Analysis of Modeled Energy Fluxes in Southern China" Water 11, no. 6: 1128. https://doi.org/10.3390/w11061128
APA StyleJing, Z., Jing, Y., Zhang, F., Qiu, R., & Wido, H. (2019). Application of the Simple Biosphere Model 2 (SiB2) with Irrigation Module to a Typical Low-Hilly Red Soil Farmland and the Sensitivity Analysis of Modeled Energy Fluxes in Southern China. Water, 11(6), 1128. https://doi.org/10.3390/w11061128
