A Preliminary Study on A Novel Water Treatment Pond Design Using Dredged Sediment, Shrub Willow and Recycling Hand Pumps for the Restoration of Water Pollution
Abstract
1. Introduction
2. Materials and Methods
2.1. Study Area
2.2. Evaluation of Sediment Pollution
2.3. Ecological Engineering Design
2.4. Data Collection and Analysis
3. Results
3.1. OM, TN and TP Removal of Sediment
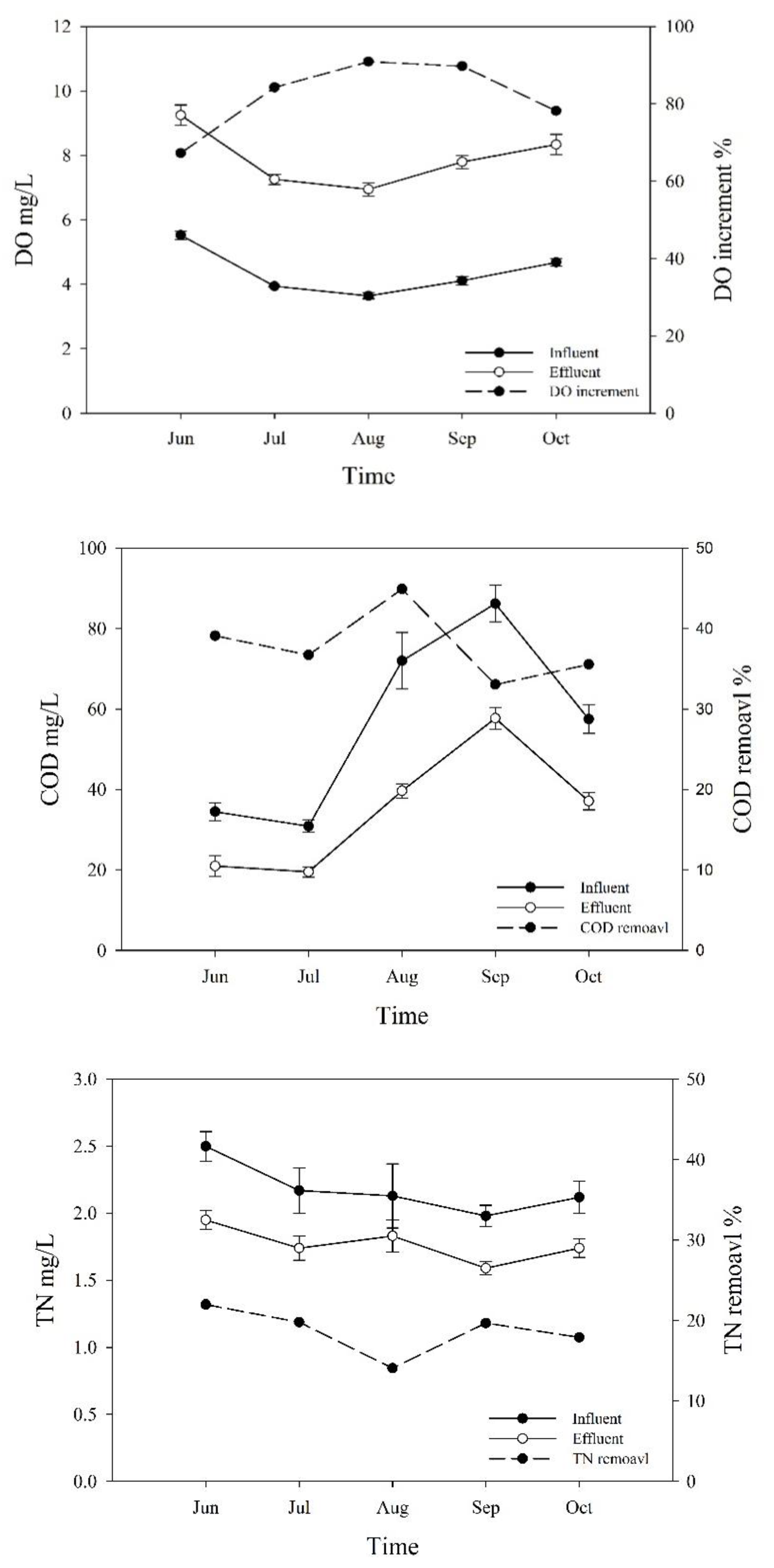
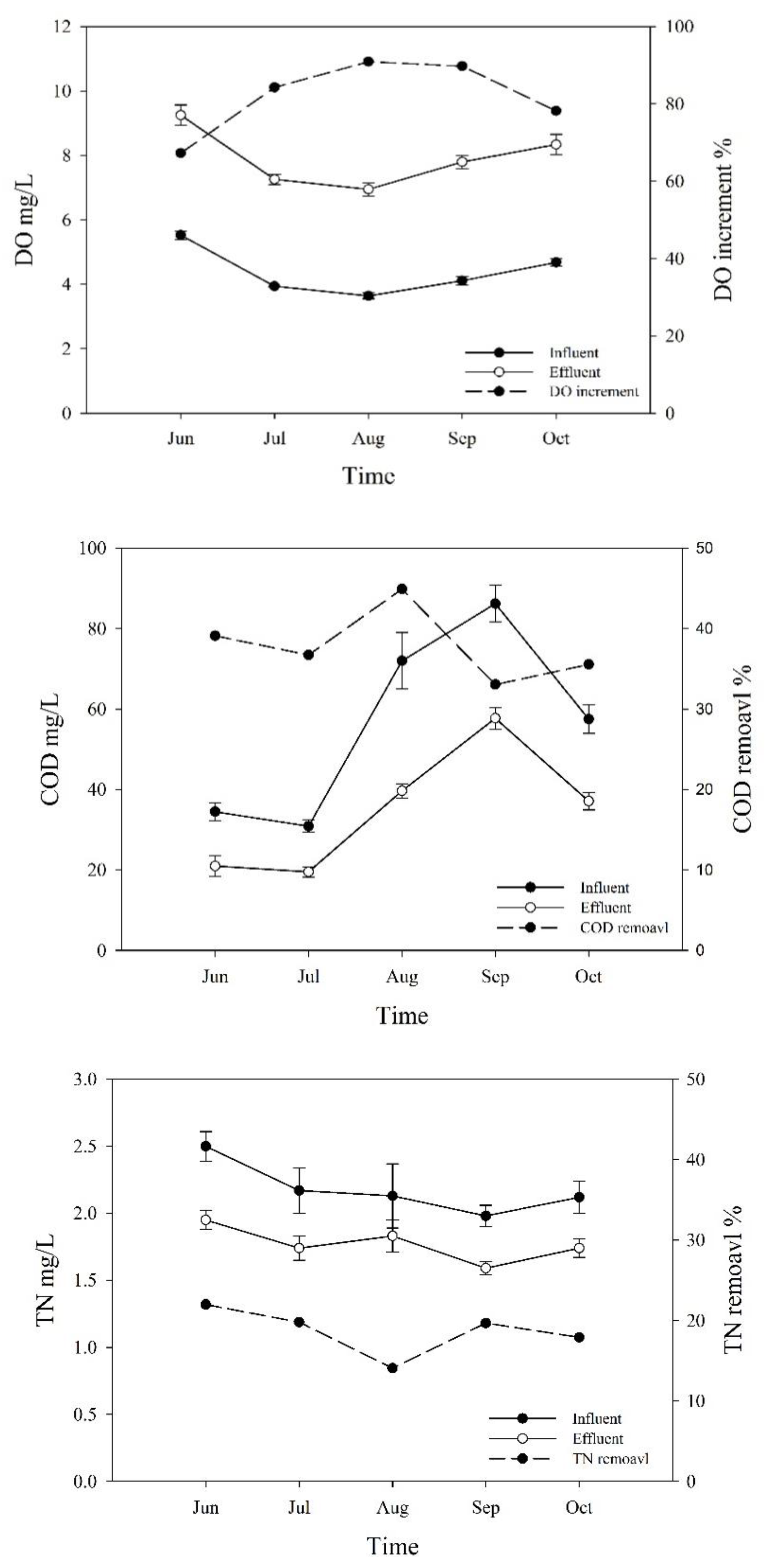
3.2. Water Quality Improvement from the Pond System
3.3. Plant Growth and Nutrient Removal
4. Discussion
5. Conclusions
Author Contributions
Funding
Conflicts of Interest
References
- Ivanovaky, A.; Belles, A.; Criquet, J.; Dumoulin, D.; Noble, P.; Alary, C.; Billon, G. Assessment of the treatment efficiency of an urban stormwater pond and its impact on the natural downstream watercourse. J. Environ. Manag. 2018, 226, 120–130. [Google Scholar] [CrossRef] [PubMed]
- Lu, H.L.; Ku, C.R.; Chang, Y.H. Water quality improvement with artificial floating islands. Ecol. Eng. 2015, 74, 371–375. [Google Scholar] [CrossRef]
- de le Vega, P.T.M.; Jaramillo-Morán, M.A. Multilevel adaptive control of alternating aeration cycles in wastewater treatment to improve nitrogen and phosphorous removal and to obtain energy saving. Water 2018, 11, 60. [Google Scholar] [CrossRef]
- Mi, Y.J.; He, C.G.; Bian, H.F.; Cai, Y.P.; Sheng, L.X.; Ma, L. Ecological engineering restoration of a non-point source polluted river in Northern China. Ecol. Eng. 2015, 76, 142–150. [Google Scholar] [CrossRef]
- Cooper, P.; Green, B. Reed bed treatment systems for sewage treatment in the United Kingdom the first 10 years’ experience. Water Sci. Technol. 1995, 32, 317–327. [Google Scholar] [CrossRef]
- Nam-Choon, K. Ecological restoration and revegetation works in Korea. Landsc. Ecol. Eng. 2005, 1, 77–83. [Google Scholar] [CrossRef]
- Schwartz, D.; Sample, D.J.; Grizzard, T.J. Evaluating the performance of a retrofitted stormwater wet pond for treatment of urban runoff. Environ. Monit. Assess. 2017, 189, 256. [Google Scholar] [CrossRef] [PubMed]
- Rothrock, P.E.; Simon, T.P.; Stewart, P.M. Development, calibration, and validation of a littoral zone plant index of biotic integrity (PIBI) for lacustrine wetlands. Ecol. Indic. 2008, 8, 79–88. [Google Scholar] [CrossRef]
- Mayora, G.; Devercelli, M.; Afonso, M.D. Effect of the hydrosedimentological regime on nitrogen transport and speciation in a large subtropical floodplain river. Inland Waters 2017, 7, 461–472. [Google Scholar] [CrossRef]
- Sundaravadivel, M.; Vigneswaran, S. Constructed Wetlands for Wastewater Treatment. Crit. Rev. Environ. Sci. Technol. 2001, 31, 351–409. [Google Scholar] [CrossRef]
- Zhang, D.Q.; Gersberg, R.M.; Keat, T.S. Constructed wetlands in China. Ecol. Eng. 2009, 35, 1367–1378. [Google Scholar] [CrossRef]
- Marzec, M.; Jóźwiakowski, K.; Dȩbska, A. The Efficiency and Reliability of Pollutant Removal in a Hybrid Constructed Wetland with Common Reed, Manna Grass, and Virginia Mallow. Water 2018, 10, 1445. [Google Scholar] [CrossRef]
- Wrught, L.L.; Walsh, M.A.; Downing, M.E.; Kszos, L.A.; Cushman, J.H.; Tuskan, G.A.; Mclaughlin, S.B.; Tolbert, V.R.; Scurlock, J.; Ehrenshaft, A.R. Biomass Feedstock Research and Development for Multiple Products in the United States. Office of Scientific & Technical Information Technical Reports. 2001. Available online: http://citeseerx.ist.psu.edu/viewdoc/download?doi=10.1.1.7.8902&rep=rep1&type=pdf (accessed on 9 June 2000).
- Caruso, B. 2001 Regional river flow, water quality, aquatic ecological impacts and recovery from drought. Hydrol. Sci. J. 2001, 46, 677–699. [Google Scholar] [CrossRef]
- Liu, G.; He, T.; Liu, Y.; Chen, Z.; Li, L.; Huang, Q.; Xie, Z.; Xie, Y.; Wu, L.; Liu, J. Study on the purification effect of aeration-enhanced horizontal subsurface- flow constructed wetland on pollutes urban river water. Environ. Sci. Pollut. Res. 2019, 26, 12867–12880. [Google Scholar] [CrossRef]
- Zhu, J.J.; Anderson, P.R. Exploring aeration-associated energy savings at a conventional water reclamation plant. Water Sci.Technol. 2017, 76, 2222–2231. [Google Scholar] [CrossRef]
- Wang, Z.Q.; Shi, Y.; Cheng, M.M.; He, C.G.; Zhuang, J.; Sheng, L.X. Purification of small-scale stagnant water in urban regions: Human-powered water lift and bank-based constructed wetland. Ecol. Eng. 2015, 83, 108–111. [Google Scholar] [CrossRef]
- Li, Y. Evaluation of the water pollution in Yitong River Basin. Mod. Agric. Sci. Technol. 2011, 6, 271–273. [Google Scholar] [CrossRef]
- Meng, C.; Wang, X.L.; Li, Y. An Optimization Model for Waste Load Allocation under Water Carrying Capacity Improvement Management, A Case Study of the Yitong River, Northeast China. Water 2017, 9, 573. [Google Scholar] [CrossRef]
- Lu, H.J.; Wu, R. Study on optimizing monitoring network of Yitong River. J. Anhui Agric. Sci. 2017, 45, 41–44. [Google Scholar]
- Ni, Z.; Wang, S. Historical accumulation and environmental risk of nitrogen and phosphorus in sediments of Erhai Lake. Southwest China. Ecol. Eng. 2015, 79, 42–53. [Google Scholar] [CrossRef]
- Zhao, X.M.; Yao, L.A.; Ma, Q.L.; Zhou, G.J.; Wang, L.; Fang, Q.L.; Xu, Z.C. Distribution and ecological risk assessment of cadmium in water and sediment in longjiang river, china: Implication on water quality management after pollution accident. Chemosphere 2018, 194, 107–116. [Google Scholar] [CrossRef]
- GB/T15618-2018. Environmental Quality Standard for Soil; China Environmental Protection Administration: Beijing, China, 2018; pp. 3–4.
- APHA. Standard Methods for the Examination of Water and Wastewater, 12th ed.; American Public Health Association: Baltimore, MD, USA, 2011; Volume 56, pp. 387–388. [Google Scholar]
- Zheng, Y.; Wang, X.; Dzakpasu, M.; Zhao, Y.Q.; Ngo, H.H.; Guo, W.S.; Ge, Y.; Xiong, J.Q. Effects of interspecific competition on the growth of macrophytes and nutrient removal in constructed wetlands: A comparative assessment of free water surface and horizontal subsurface flow systems. Bioresour. Technol. 2016, 207, 134–141. [Google Scholar] [CrossRef] [PubMed]
- Ko, C.H.; Lee, T.M.; Chang, F.C.; Liao, S.P. The correlations between system treatment efficiencies and aboveground emergent macrophyte nutrient removal for the Hsin-Hai Bridge phase II constructed wetland. Bioresour. Techonl. 2011, 102, 5431–5437. [Google Scholar] [CrossRef]
- Cao, X.Y.; Song, C.L.; Xiao, J. The Optimal Width and Mechanism of Riparian Buffers for Storm Water Nutrient Removal in the Chinese Eutrophic Lake Chaohu Watershed. Water 2018, 10, 1489. [Google Scholar] [CrossRef]
- Tanner, C.C.; D’Eugenio, J.; Mcbride, G.B.; Sukias, J.P.S.; Thompson, K. 1999 Effect of water level fluctuation on nitrogen removal from constructed wetland mesocosms. Ecol. Eng. 1999, 12, 67–92. [Google Scholar] [CrossRef]
- Baastrup-Spohr, L.; Møller, C.L.; Sand-Jensen, K. Water-level fluctuations affect sediment properties, carbon flux and growth of the isoetid Littorella uniflora in oligotrophic lakes. Freshw. Biol. 2016, 61, 301–315. [Google Scholar] [CrossRef]
- Zhang, R.S.; Li, G.H.; Zhou, Q.; Zhang, X. Effects of plants on nitrogen/phosphorus removal in subsurface constructed wetlands. Environ. Sci. 2005, 26, 83–86. [Google Scholar] [CrossRef]
- Gracia, A.; Rangel-Buitrago, N.; Oaklet, J.A.; Williams, A.T. Use of ecosystem in coastal erosion management. Ocean Coast. Manag. 2018, 156, 277–289. [Google Scholar] [CrossRef]
- Nakamura, K.; Tockner, K.; Amano, K. River and Wetland Restoration: Lessons from Japan. BioScience 2006, 56, 419–429. [Google Scholar] [CrossRef]
- Serapiglia, M.J.; Cameron, K.D.; Stipanovic, A.J.; Abrahamson, L.P.; Volk, T.A.; Smart, L.B. Yield and woody biomass traits of novel shrub willow hybrids at two contrasting sites. Bioenergy Res. 2013, 6, 533–546. [Google Scholar] [CrossRef]





| Parameter | Average | Standard | Reference | Pollution Level |
|---|---|---|---|---|
| As (mg/kg) | 7.10 ± 2.35 | <5 | GB/T 15618-2018 | Unpolluted |
| Hg (mg/kg) | 0.10 ± 0.003 | <15 | GB/T 15618-2018 | Unpolluted |
| Cr (mg/kg) | 30.86 ± 8.34 | <0 | GB/T 15618-2018 | Unpolluted |
| Cu (mg/kg) | 14.77 ± 3.54 | <5 | GB/T 15618-2018 | Unpolluted |
| Ni (mg/kg) | 14.63 ± 3.75 | <0 | GB/T 15618-2018 | Unpolluted |
| Pb (mg/kg) | 21.18 ± 2.2 | <5 | GB/T 15618-2018 | Unpolluted |
| Zn (mg/kg) | 46.90 ± 13.04 | <00 | GB/T 15618-2018 | Unpolluted |
| Cd (mg/kg) | 0.087 ± 0.01 | <0.2 | GB/T 15618-2018 | Unpolluted |
| TN (mg/kg) | 1368.60 ± 232.56 | 1000 << 2000 | EPA | Moderately polluted |
| TP (mg/kg) | 3865.98 ± 408.41 | 650< | EPA | Seriously polluted |
| Parameter | Units | Root | Steam | Leaf | Total |
|---|---|---|---|---|---|
| Dry weight | g/plant | 1.32 ± 0.16 | 65.92 ± 3.8 | 5.85 ± 1.36 | 69.65 ± 4.27 |
| Concentration N | mg/kg | 12.77 ± 2.62 | 7.62 ± 1.07 | 29.5 ± 3.74 | 10.67 ± 1.49 |
| Concentration P | mg/kg | 14.23 ± 1.42 | 8.02 ± 0.69 | 23.45 ± 2.22 | 9.62 ± 0.89 |
| Accumulation N | mg/plant | 16.55 ± 1.29 | 513.63 ± 13.4 | 170.7 ± 14.25 | 703.38 ± 28.97 |
| Accumulation P | mg/plant | 18.77 ± 1.97 | 509.51 ± 10.79 | 136.01 ± 8.59 | 666.81 ± 20.91 |
| Distribution N | % | 2.4 | 73.3 | 24.3 | 100 |
| Distribution P | % | 2.8 | 76.7 | 20.5 | 100 |
| Factors | Weight | ||
|---|---|---|---|
| R2 | P | ||
| Water | DO increment | −0.946 | 0.054 |
| Water | COD removal | 0.979 | 0.021 * |
| Water | TN removal | 0.972 | 0.028 * |
| Sediment | OM removal | 0.946 | 0.054 |
| Sediment | TN removal | −0.247 | 0.753 |
| Sediment | TP removal | 0.081 | 0.919 |
© 2019 by the authors. Licensee MDPI, Basel, Switzerland. This article is an open access article distributed under the terms and conditions of the Creative Commons Attribution (CC BY) license (http://creativecommons.org/licenses/by/4.0/).
Share and Cite
Chen, Y.; Bai, X.; Yang, T.; Zou, L.; Liu, Z.; Wang, Z.; He, C. A Preliminary Study on A Novel Water Treatment Pond Design Using Dredged Sediment, Shrub Willow and Recycling Hand Pumps for the Restoration of Water Pollution. Water 2019, 11, 972. https://doi.org/10.3390/w11050972
Chen Y, Bai X, Yang T, Zou L, Liu Z, Wang Z, He C. A Preliminary Study on A Novel Water Treatment Pond Design Using Dredged Sediment, Shrub Willow and Recycling Hand Pumps for the Restoration of Water Pollution. Water. 2019; 11(5):972. https://doi.org/10.3390/w11050972
Chicago/Turabian StyleChen, Yi, Xueyuan Bai, Tao Yang, Lifang Zou, Zhisheng Liu, Zhongqiang Wang, and Chunguang He. 2019. "A Preliminary Study on A Novel Water Treatment Pond Design Using Dredged Sediment, Shrub Willow and Recycling Hand Pumps for the Restoration of Water Pollution" Water 11, no. 5: 972. https://doi.org/10.3390/w11050972
APA StyleChen, Y., Bai, X., Yang, T., Zou, L., Liu, Z., Wang, Z., & He, C. (2019). A Preliminary Study on A Novel Water Treatment Pond Design Using Dredged Sediment, Shrub Willow and Recycling Hand Pumps for the Restoration of Water Pollution. Water, 11(5), 972. https://doi.org/10.3390/w11050972
