In Situ Nutrient Removal from Rural Runoff by A New Type Aerobic/Anaerobic/Aerobic Water Spinach Wetlands
Abstract
1. Introduction
2. Materials and Methods
2.1. Experimental Units
2.2. Operating Conditions and the Sampling Methods of the Constructed Wetland
2.3. The Adsorption Characteristics of TN and TP
- W(n) — Nitrification intensity/Denitrification intensity (mg/kg·h)
- C2 — The concentration of NO3−-N after culture (mg/L)
- C1 — The concentration of NO3−-N before culture (mg/L)
- V1 — The volume of culture medium (L)
- V2 — The volume of water in the mixed substrates (L)
- t — Culture time (h)
- m — Sample quality (kg)
- k — Moisture coefficient
2.4. Statistical Analysis
3. Results
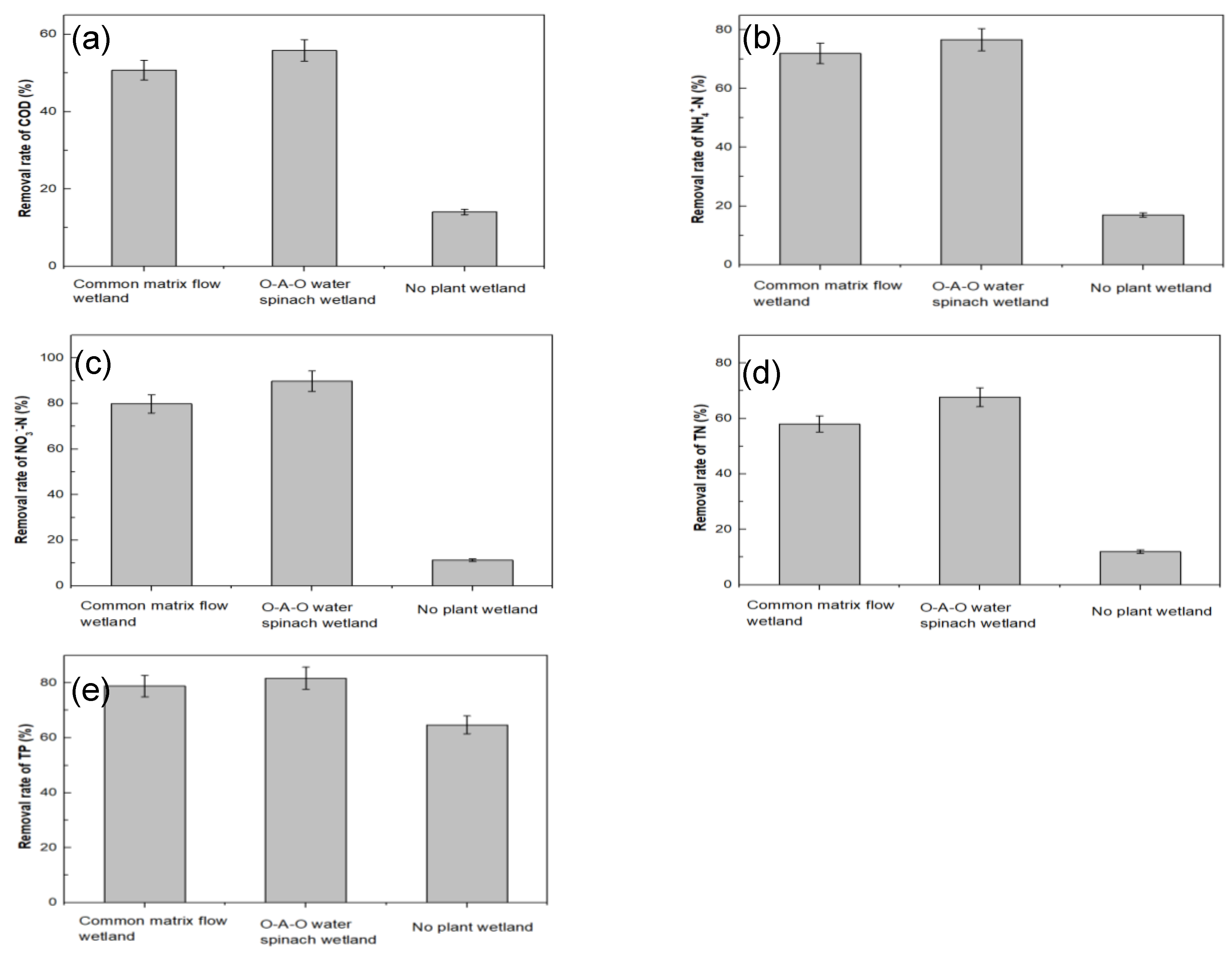
3.1. Comparison of Treatment Effects of Three Control Groups
3.2. Effects of HRT and HLR on the Performance of O-A-O-CW
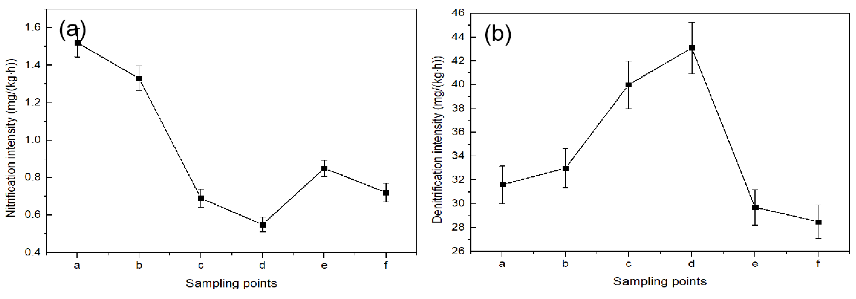
3.3. The Mechanism of Contaminants Removal in O-A-O-CW
3.3.1. Static Adsorption of NH4+-N and Phosphorus by Matrix
3.3.2. Nitrogen and Phosphorus Uptake Rate by Aquatic Plant
3.3.3. Nitrogen Removal by Bacteria
3.4. Outlook
4. Conclusions
Supplementary Materials
Author Contributions
Funding
Acknowledgments
Conflicts of Interest
References
- Chau, K.W. Characterization of transboundary pop contamination in aquatic ecosystems of Pearl River delta. Mar. Pollut. Bull. 2005, 51, 960–965. [Google Scholar] [CrossRef] [PubMed]
- Alizadeh, M.J.; Kavianpour, M.R.; Danesh, M.; Adolf, J.; Shamshirband, S.; Chau, K.W. Effect of river flow on the quality of estuarine and coastal waters using machine learning models. Eng. Appl. Comp. Fluid. 2018, 12, 810–823. [Google Scholar]
- Shamshirband, S.; Nodoushan, E.J.; Adolf, J.E.; Manaf, A.A.; Mosavi, A.; Chau, K.W. Ensemble models with uncertainty analysis for multi-day ahead forecasting of chlorophyll a concentration in coastal waters. Eng. Appl. Comp. Fluid. 2018, 13, 91–101. [Google Scholar] [CrossRef]
- Olyaie, E.; Banejad, H.; Chau, K.W.; Melesse, A.M. A comparison of various artificial intelligence approaches performance for estimating suspended sediment load of river systems: a case study in United States. Environ. Monit. Assess. 2015, 187, 189. [Google Scholar] [CrossRef] [PubMed]
- Chen, X.Y.; Chau, K.W. A hybrid double feedforward neural network for suspended sediment load estimation. Water. Resour. Manage. 2016, 30, 2179–2194. [Google Scholar] [CrossRef]
- Alizadeh, M.J.; Nodoushan, E.J.; Kalarestaghi, N.; Chau, K.W. Toward multi-day-ahead forecasting of suspended sediment concentration using ensemble models. Enviro. Sci. Pollut. Res. 2017, 24, 1–9. [Google Scholar] [CrossRef]
- Yi, X.H.; Jing, D.D.; Wan, J.; Ma, Y.; Wang, Y. Temporal and spatial variations of contaminant removal, enzyme activities, and microbial community structure in a pilot horizontal subsurface flow constructed wetland purifying industrial runoff. Environ. Sci. Pollut. R. 2016, 23, 8565–8576. [Google Scholar] [CrossRef]
- Li, W.; Li, Z.; Li, W.; Li, Z. In situ nutrient removal from aquaculture wastewater by aquatic vegetable Ipomoea aquatica on floating beds. Water. Sci. Technol. 2009, 59, 1937–1943. [Google Scholar] [CrossRef]
- Lu, Y.; Qin, M.; Yuan, H.; Abu-Reesh, I.; He, Z. When Bioelectrochemical Systems Meet Forward Osmosis: Accomplishing Wastewater Treatment and Reuse through Synergy. Water 2014, 7, 38–50. [Google Scholar] [CrossRef]
- Kill, K.; Parn, J.; Lust, R.; Mander, U.; Kasak, K. Treatment Efficiency of Diffuse Agricultural Pollution in a Constructed Wetland Impacted by Groundwater Seepage. Water 2018, 10, 1601. [Google Scholar] [CrossRef]
- Wang, X.; Tian, Y.; Zhao, X.; Peng, S.; Wu, Q.; Yan, L. Effects of aeration position on organics, nitrogen and phosphorus removal in combined oxidation pond–constructed wetland systems. Bioresource. Technol. 2015, 198, 7–15. [Google Scholar] [CrossRef] [PubMed]
- Elfanssi, S.; Ouazzani, N.; Latrach, L.; Hejjaj, A.; Mandi, L. Phytoremediation of domestic wastewater using a hybrid constructed wetland in mountainous rural area. Int. J. of Phytoremediat. 2018, 20, 75–87. [Google Scholar] [CrossRef] [PubMed]
- He, Y.; Wang, Y.; Song, X. High-effective denitrification of low C/N wastewater by combined constructed wetland and biofilm-electrode reactor (CW-BER). Bioresour. Technol. 2016, 203, 245–251. [Google Scholar] [CrossRef]
- Ye, F.; Li, Y. Enhancement of nitrogen removal in towery hybrid constructed wetland to treat domestic wastewater for small rural communities. Ecol. Eng. 2009, 35, 1043–1050. [Google Scholar] [CrossRef]
- Foladori, P.; Ruaben, J.; Ortigara, A.R. Recirculation or artificial aeration in vertical flow constructed wetlands: a comparative study for treating high load wastewater. Bioresource. Technol. 2013, 149, 398–405. [Google Scholar] [CrossRef]
- De-Bashan, L.E.; Bashan, Y. Recent advances in removing phosphorus from wastewater and its future use as fertilizer (1997–2003). Water. Res. 2004, 38, 4222–4246. [Google Scholar] [CrossRef]
- Ding, Y.; Song, X.; Wang, Y.; Yan, D. Effects of dissolved oxygen and influent COD/N ratios on nitrogen removal in horizontal subsurface flow constructed wetland. Ecol. Eng. 2012, 46, 107–111. [Google Scholar] [CrossRef]
- Rubio, I.B.; Molle, P.; Luis, E.; Sáenz, M.; Ansola, G. Basic oxygen furnace steel slag aggregates for phosphorus treatment. Evaluation of its potential use as a substrate in constructed wetlands. Water. Res. 2015, 89, 355–365. [Google Scholar]
- Yang, Y.; Zhao, Y.; Liu, R.; Morgan, D. Global development of various emerged substrates utilized in constructed wetlands. Bioresource. Technol. 2018, 261, 441–452. [Google Scholar] [CrossRef]
- Tan, X.; Yang, Y.L.; Liu, Y.W.; Li, X.; Fan, X.Y.; Zhou, Z.W.; Liu, C.J.; Yin, W.C. Enhanced simultaneous organics and nutrients removal in tidal flow constructed wetland using activated alumina as substrate treating domestic wastewater. Bioresource. Technol. 2019, 280, 441–446. [Google Scholar] [CrossRef]
- Anna, G.P.; Marie, E.P.; Véronique, M.; Yogan, M.; Laure, M.; Bruno, C.; Isabelle, C.; Teddy, B.; Julien, V.; Isabelle, L.S. Selection of wild macrophytes for use in constructed wetlands for phytoremediation of contaminant mixtures. J. Environ. Mana. 2015, 147, 108–123. [Google Scholar]
- Singh, R.P.; Fu, D.; Jia, J.; Wu, J. Performance of Earthworm-Enhanced Horizontal Sub-Surface Flow Filter and Constructed Wetland. Water 2018, 10, 1309. [Google Scholar] [CrossRef]
- Wang, Y.M.; Lin, Z.Y.; Wang, Y.; Huang, W.; Wang, J.L.; Zhou, J.; He, Q. Sulfur and iron cycles promoted nitrogen and phosphorus removal in electrochemically assisted vertical flow constructed wetland treating wastewater treatment plant effluent with high S/N ratio. Water. Res. 2019, 151, 20–30. [Google Scholar] [CrossRef]
- Nivala, J.; Boog, J.; Headley, T.; Aubron, T.; Wallace, S.; Brix, H.; Mothes, S.; van Afferden, M.; Muller, R.A. Side-by-side comparison of 15 pilot-scale conventional and intensified subsurface flow wetlands for treatment of domestic wastewater. Sci. Total. Environ. 2019, 658, 1500–1513. [Google Scholar] [CrossRef]
- Angassa, K.; Leta, S.; Mulat, W.; Kloos, H.; Meers, E. Organic matter and nutrient removal performance of horizontal subsurface flow constructed wetlands planted with Phragmite karka and Vetiveria zizanioide for treating municipal wastewater. Environ. Processes 2018, 5, 115–130. [Google Scholar] [CrossRef]
- Muslun, S.T.; Ayhan, U. Performance of Nitrogen and Phosphorus Removal of Moving Bed Biofilm Reactor Operated as Sequencing Batch. Eur. J. Eng. Natural. Sci. 2017, 2, 108–113. [Google Scholar]
- Hu, S.S.; Chen, Z.B.; Lv, Z.P.; Chen, K.; Huang, L.L.; Zuo, X.T.; He, J.J.; Chen, Y. Purification of leachate from sludge treatment beds by subsurface flow constructed wetlands: effects of plants and hydraulic retention time. Environ. Sci. Pollut. Res. 2019, 26, 5769–5781. [Google Scholar] [CrossRef] [PubMed]
- Szota, C.; Farrell, C.; Livesley, S.J.; Fletcher, T.D. Salt tolerant plants increase nitrogen removal from biofiltration systems affected by saline stormwater. Water Res. 2015, 83, 195–204. [Google Scholar] [CrossRef]
- American Public Health Association (APHA). Standard Methods for the Examination of Water and Wastewater, 20th ed.; APHA, American Water Works Association: Washington, DC, USA, 1998. [Google Scholar]
- Kadlec, R.H. Chemical, physical and biological cycles in treatment wetlands. Wat. Sci. Tech. 1999, 40, 37–44. [Google Scholar] [CrossRef]
- Brock, T.D.; Madigan, M.T.; Martinko, J.M.; Parker, J. Biology of Microorganisms, 7th ed.; Prentice Hall: Upper Saddle River, NJ, USA, 1994. [Google Scholar]
- Abou-Elela, S.I.; Elekhnawy, M.A.; Khalil, M.T.; Hellal, M.S. Factors affecting the performance of horizontal flow constructed treatment wetland vegetated with Cyperus papyrus for municipal wastewater treatment. Int. J. Phytoremediat. 2017, 19, 1023–1028. [Google Scholar] [CrossRef]
- Khatiwada, N.R.; Polprasert, C. Assessment of effective specific surface area for free water surface constructed wetlands. Water Sci. Technol. 1999, 403, 83–89. [Google Scholar] [CrossRef]
- Akratos, C.S.; Tsihrintzis, V.A. Effect of temperature, HRT, vegetation and porous media on removal efficiency of pilot-scale horizontal subsurface flow constructed wetlands. Ecol. Eng. 2007, 29, 173–191. [Google Scholar] [CrossRef]
- Cacco, G.; Ferrari, C.; Saccomani, M. Pattern of sulfate uptake during root elongation in maize: Its correlation with productivity. Physiol. Plantarum. 1980, 48, 375–378. [Google Scholar] [CrossRef]
- Han, L.Y.; Lv, X.W. Absorption kinetics of nitrogen and phosphorus in aquatic vegetables in wetland. Chinese. J. Environ. Eng. 2017, 11, 2828–2835. (in Chinese). [Google Scholar]
- Heley, M.J.; Stewart, J.W.B.; Chauhan, B.S. Changes in inorganic and organic soil phosphorus fractions induced by cultivation practices and by laboratory incubations 1. Soil. Sci. Soc. Am. J. 1982, 46, 970–976. [Google Scholar]
- Cao, J. Study on the treatment effect of constructed wetland on rural domestic sewage. Ph.D. Thesis, Zhejiang University, Hangzhou, December 2007. [Google Scholar]
- .Zhang, X.L.; Xu, L.; Chen, J.J.; Hu, L. Purification effect of vertical-flow constructed wetlands with multi-size combined filter medium. Advanced. Materials. Res. 2013, 726–731, 1720–1723. [Google Scholar] [CrossRef]
- Healy, M.G.; Rodgers, M.; Mulqueen, J. Treatment of dairy wastewater using constructed wetlands and intermittent sand filters. Bioresource. Technol. 2007, 98, 2268–2281. [Google Scholar] [CrossRef]
- Ren, L.J.; Xu, L.L.; Zhang, Y.Y.; Pan, W.; Yin, S.L.; Zhou, Y.; Yu, L.J.; Chen, Y.S.; An, S.Q. Effects of Connection Mode and Hydraulic Retention Time on Wastewater Pollutants Removal in Constructed Wetland Microcosms. Clean-Soil. Air. Water 2014, 43, 1574–1581. [Google Scholar] [CrossRef]
- Brooks, A.S.; Rozenwald, M.N.; Geohring, L.D.; Lion, L.W.; Steenhuis, T.S. Phosphorus removal by wollastonite A constructed wetland substrate. Ecol. Eng. 2000, 15, 121–132. [Google Scholar] [CrossRef]
- Luo, J.Z.; Zhuang, W.; Xiong, G.X.; Luo, S. The behavior and removal method of phosphorus in constructed wetland. In Proceedings of the International Conference on Electric Technology & Civil Engineering, Lushan, China, 22–24 April 2011. [Google Scholar]
- Guo, Y.; Gong, H.; Guo, X. Rhizosphere bacterial community of Typha angustifolia L. and water quality in a river wetland supplied with reclaimed water. Appl. Microbiol. Biot. 2015, 99, 2883–2893. [Google Scholar] [CrossRef]
- Vymazal, J. Removal of nutrients in various types of constructed wetlands. Sci. Total. Environ. 2007, 380, 48–65. [Google Scholar] [CrossRef] [PubMed]
- Brix, H.; Arias, C.A.; Del Bubba, M. Media selection for sustainable P removal in subsurface flow constructed wetland. Water. Sci. Technol. 2001, 44, 47–54. [Google Scholar] [CrossRef] [PubMed]
- Shelef, O.; Gross, A.; Rachmilevitch, S. Role of Plants in a Constructed Wetland: Current and New Perspectives. Water 2013, 5, 405–419. [Google Scholar] [CrossRef]
- Herouvim, E.; Akratos, C.S.; Tekerlekopoulou, A.; Vayenas, D.V. Treatment of olive mill wastewater in pilot-scale vertical flow constructed wetlands. Ecol. Eng. 2011, 37, 931–939. [Google Scholar] [CrossRef]
- White, S.A. Design and Season Influence Nitrogen Dynamics in Two Surface Flow Constructed Wetlands Treating Nursery Irrigation Runoff. Water 2018, 10. [Google Scholar] [CrossRef]
- Cui, L.; Ouyang, Y.; Lou, Q.; Yang, F.; Chen, Y.; Zhu, W.; Luo, S. Removal of nutrients from wastewater with Canna indica L. under different vertical-flow constructed wetland conditions. Ecol. Eng. 2010, 36, 1083–1088. [Google Scholar] [CrossRef]
- Białowiec, A.; Janczukowicz, W.; Randerson, P.F. Nitrogen removal from wastewater in vertical flow constructed wetlands containing LWA/gravel layers and reed vegetation. Ecol. Eng. 2011, 37, 897–902. [Google Scholar] [CrossRef]
- Osorio, A.C.; Villafañe, P.; Caballero, V.; Manzano, Y. Efficiency of mesocosmscale constructed wetland systems for treatment of sanitary wastewater under tropical conditions. Water. Air. Soil. Poll. 2011, 220, 161–171. [Google Scholar] [CrossRef]
- Wang, R.; Baldy, V.; Périssol, C.; Korboulewsky, N. Influence of plants on microbial activity in a vertical-downflow wetland system treating waste activated sludge with high organic matter concentrations. J. Environ. Manage. 2012, 95, S158–S164. [Google Scholar] [CrossRef]
- Spieles, D.J.; Mitsch, W.J. The effects of season and hydrologic and chemical loading on nitrate retention in constructed wetlands: A comparison of low- and high- nutrient riverine systems. Ecol. Eng. 2000, 14, 77–91. [Google Scholar] [CrossRef]
- Reddy, K.R.; D’Angelo, E.M. Biogeochemical indicators to evaluate pollutant removal efficiency in constructed wetlands. Water Sci. Technol. 1997, 35, 1–10. [Google Scholar] [CrossRef]
- Gideon, O. Duckweed culture for wastewater renovation and biomass production. Agricul. Water Manag. 1994, 26, 27–40. [Google Scholar]
- Zhang, Y.L. Characteristics of NH4+ and NO3−~- uptake by rices of different genotypes. Acta. Pedologica. Sinica. 2004, 41, 918–923. [Google Scholar]
- Vtmazal, J.; Brix, H.; Cooper, P.F. Removal Mechanisms and Types of Constructed Wetland. Leiden Backhuys Publishers 1998, 35, 41–43. [Google Scholar]
- USEPA. Subsurface Flow Constructed Wetlands for Wastewater Treatment: A Technology Assessment; USEPA: Office of Water: Washington, DC, USA, 1993.
- Huett, D.O.; Morris, S.G.; Smith, G.; Hunt, N. Nitrogen and phosphorus removal from plant nursery runoff in vegetated and unvegetated subsurface flow wetlands. Water. Res. 2005, 39, 3259–3272. [Google Scholar] [CrossRef]
- Vymazal, J. Algae and Element Cycling in Wetlands; Lewis Publishers Inc.: New York, NY, USA, 1995. [Google Scholar]
- Bertino, A. Study on One-Stage Partial NitritationeAnammox Process in Moving Bed Biofilm Reactors: a Sustainable Nitrogen Removal. Master’s Thesis, Royal Institute of Technology, Stockholm, Sweden, December 2010. [Google Scholar]
- Penton, C.R.; Deenik, J.L.; Popp, B.N.; Bruland, G.L.; Engstrom, P.; St.Louis, D.; Tiedje, J. Importance of sub-surface rhizosphere-mediated coupled nitrification–denitrification in a flooded agroecosystem in Hawaii. Soil. Biol. Biochem. 2013, 57, 362–373. [Google Scholar] [CrossRef]







| Index | CODCr | TP | TN | NH4+-N | NO3−-N | 
|---|---|---|---|---|---|
| Range (mg/L) | 46~152 | 0.1~1.54 | 0.74~26.45 | 0.36~8.42 | 0.3~6.37 | 
| Temperature (°C) | HRT (days) | HLR (m3·m−2·day−1) | TN (mg/L) | TP (mg/L) | 
|---|---|---|---|---|
| 12~36 | 2 | 0.45 | 3~15 | 0.2~2.95 | 
© 2019 by the authors. Licensee MDPI, Basel, Switzerland. This article is an open access article distributed under the terms and conditions of the Creative Commons Attribution (CC BY) license (http://creativecommons.org/licenses/by/4.0/).
Share and Cite
Wang, Y.-W.; Li, H.; Wu, Y.; Cai, Y.; Song, H.-L.; Zhai, Z.-D.; Yang, X.-L. In Situ Nutrient Removal from Rural Runoff by A New Type Aerobic/Anaerobic/Aerobic Water Spinach Wetlands. Water 2019, 11, 1100. https://doi.org/10.3390/w11051100
Wang Y-W, Li H, Wu Y, Cai Y, Song H-L, Zhai Z-D, Yang X-L. In Situ Nutrient Removal from Rural Runoff by A New Type Aerobic/Anaerobic/Aerobic Water Spinach Wetlands. Water. 2019; 11(5):1100. https://doi.org/10.3390/w11051100
Chicago/Turabian StyleWang, Ya-Wen, Hua Li, You Wu, Yun Cai, Hai-Liang Song, Zhi-Dong Zhai, and Xiao-Li Yang. 2019. "In Situ Nutrient Removal from Rural Runoff by A New Type Aerobic/Anaerobic/Aerobic Water Spinach Wetlands" Water 11, no. 5: 1100. https://doi.org/10.3390/w11051100
APA StyleWang, Y.-W., Li, H., Wu, Y., Cai, Y., Song, H.-L., Zhai, Z.-D., & Yang, X.-L. (2019). In Situ Nutrient Removal from Rural Runoff by A New Type Aerobic/Anaerobic/Aerobic Water Spinach Wetlands. Water, 11(5), 1100. https://doi.org/10.3390/w11051100
 
        

 
       