A Simple Red Tide Monitoring Method using Sentinel-2 Data for Sustainable Management of Brackish Lake Koyama-ike, Japan
Abstract
1. Introduction
2. Materials and Methods
2.1. Study Area
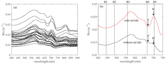
2.2. Field Survey
2.3. Red tide Bloom Algorithms
2.4. Sentinel-2/Chla Data Set
3. Results
3.1. Validation of the Red Tide Model Using Field Data
3.2. Validation of the Red Tide Model Using Sentinel-2 MSI
3.3. Red Tide Distribution Characteristics Using Sentinel-2 MSI
4. Discussion
5. Conclusions
- High correlation was obtained between the “RIKY” using MSI band 4 and band 5 (proposed model) and Chla measurements from field spectral reflectance. Additionally, the relationship between the two matches better with the exponential regression model than with the linear regression model.
- Chla estimation from Sentinel-2 data showed high correlation between the proposed model after relative atmospheric correction and Chla measurements.
- Chla and red tide distribution characteristics estimated from Sentinel-2 data hardly appeared from April to July in 2017 and spread rapidly throughout the lake (more than 70%) in August.
Author Contributions
Funding
Conflicts of Interest
References
- Okamoto, M.; Miyamoto, Y. Changes in phytoplankton community after brackishing in Lake Koyama-ike in Tottori Prefecture, western Japan. LAGUNA 2016, 23, 1–12, (In Japanese with English Abstract). [Google Scholar]
- Sakuno, Y.; Hatakeyama, K.; Miyamamoto, Y.; Hatsuda, A.; Mori, A.; Kuki, T. Relationship between spectral reflectance and water quality in Lake Koyama-ike just after brackishing lake water. J. Jpn. Soc. Civ. Eng. Ser. B3 (Ocean Eng.) 2013, 69, I_551–I_556, (In Japanese with English Abstract). [Google Scholar]
- Maeda, A.; Miyamoto, Y.; Mori, A.; Okamoto, M.; Kuki, T.; Sakuno, Y. A Case Study of Practical Red Tide Observation in Brackish Lake Using the UAV. J. Remote Sens. Soc. Jpn. 2016, 36, 126–130, (In Japanese with English Abstract). [Google Scholar]
- Watanabe, F.; Alcântara, E.; Rodrigues, T.; Imai, N.; Barbosa, C.; Rotta, L. Estimation of chlorophyll-a concentration and the trophic state of the Barra Bonita hydroelectric reservoir using OLI/Landsat-8 images. Int. J. Environ. Res. Public Health 2015, 12, 10391–10417. [Google Scholar] [CrossRef]
- Ho, J.C.; Stumpf, R.P.; Bridgeman, T.B.; Michalak, A.M. Using Landsat to extend the historical record of lacustrine phytoplankton blooms: A Lake Erie case study. Remote Sens. Environ. 2017, 191, 273–285. [Google Scholar] [CrossRef]
- Kishino, M.; Tanaka, A.; Ishizaka, J. Retrieval of Chlorophyll a, suspended solids, and colored dissolved organic matter in Tokyo Bay using ASTER data. Remote Sens. Environ. 2005, 99, 66–74. [Google Scholar] [CrossRef]
- Mushtaq, F.; Nee Lala, M.G. Remote estimation of water quality parameters of Himalayan lake (Kashmir) using Landsat 8 OLI imagery. Geocarto Int. 2017, 32, 274–285. [Google Scholar] [CrossRef]
- Drusch, M.; Del Bello, U.; Carlier, S.; Colin, O.; Fernandez, V.; Gascon, F.; Hoersch, B.; Isola, C.; Laberinti, P.; Martimort, P.; et al. Sentinel-2: ESA’s optical high-resolution mission for GMES operational services. Remote Sens. Environ. 2012, 120, 25–36. [Google Scholar] [CrossRef]
- Toming, K.; Kutser, T.; Laas, A.; Sepp, M.; Paavel, B.; Nõges, T. First experiences in mapping lake water quality parameters with Sentinel-2 MSI imagery. Remote Sens. 2016, 8, 640. [Google Scholar] [CrossRef]
- Chen, J.; Zhu, W.; Tian, Y.Q.; Yu, Q.; Zheng, Y.; Huang, L. Remote estimation of colored dissolved organic matter and chlorophyll-a in Lake Huron using Sentinel-2 measurements. J. Appl. Remote Sens. 2017, 11, 036007. [Google Scholar] [CrossRef]
- Sildever, S.; Jerney, J.; Kremp, A.; Oikawa, H.; Sakamoto, S.; Yamaguchi, M.; Baba, K.; Mori, A.; Fukui, T.; Nonomura, T.; et al. Genetic relatedness of a new Japanese isolates of Alexandrium ostenfeldii bloom population with global isolates. Harmful Algae 2019, 84, 64–74. [Google Scholar] [CrossRef]
- Sakuno, Y.; Maeda, A.; Mori, A.; Okamoto, M.; Masukawa, M.; Nakada, C.; Ono, S.; Ito, A. A trial of water quality observation at three lakes in Tottori Prefecture using disaster prevention helicopter-September, 2017. In Proceedings of the 63rd Autumn Conference of the Remote Sensing Society of Japan, Hokkaido, Japan, 21–22 November 2017; pp. 383–384, (In Japanese with English Abstract). [Google Scholar]
- Blondeau-Patissier, D.; Gower, J.F.; Dekker, A.G.; Phinn, S.R.; Brando, V.E. A review of ocean color remote sensing methods and statistical techniques for the detection, mapping and analysis of phytoplankton blooms in coastal and open oceans. Prog. Oceanogr. 2014, 123, 123–144. [Google Scholar] [CrossRef]
- O’Reilly, J.E.; Maritorena, S.; Mitchell, B.G.; Siegel, D.A.; Carder, K.L.; Garver, S.A.; Kahru, M.; McClain, C.R. Ocean color chlorophyll algorithms for SeaWiFS. J. Geophys. Res. 1998, 103, 24937–24953. [Google Scholar] [CrossRef]
- Curran, P.J.; Dash, J. Algorithm Theoretical Basis Document ATBD 2.22 Chlorophyll Index; University of Southampton: Southampton, UK, 2005. [Google Scholar]
- Takahashi, W.; Kawamura, H.; Omura, T.; Furuya, K. Detecting red tides in the eastern Seto inland sea with satellite ocean color imagery. J. Oceanogr. 2009, 65, 647–656. [Google Scholar] [CrossRef]
- Main-Knorn, M.; Pflug, B.; Louis, J.; Debaecker, V.; Müller-Wilm, U.; Gascon, F. Sen2Cor for Sentinel-2. In Image and Signal Processing for Remote Sensing XXIII; International Society for Optics and Photonics: Warsaw, Poland, 2017; Volume 10427, p. 1042704. [Google Scholar]
- Lathrop, R.G.; Lillesand, T.M.; Yandell, B.S. Testing the utility of simple multi-date Thematic Mapper calibration algorithms for monitoring turbid inland waters. Remote Sens. 1991, 12, 2045–2063. [Google Scholar] [CrossRef]
- Torbick, N.; Hu, F.; Zhang, J.; Qi, J.; Zhang, H.; Becker, B. Mapping chlorophyll-a concentrations in West Lake, China using Landsat 7 ETM+. J. Great Lakes Res. 2008, 34, 559–565. [Google Scholar] [CrossRef]
- Lopez Garcia, M.J.; Caselles, V. A multi-temporal study of chlorophyll-a concentration in the Albufera lagoon of Valencia, Spain, using Thematic Mapper data. Int. J. Remote Sens. 1990, 11, 301–311. [Google Scholar] [CrossRef]
- Oguma, H.; Yamagata, Y. Study on effective observing season selection to produce the wetland vegetation map. J. Jpn. Soc. Photogramm. Remote Sens. 1997, 36, 5–16, (In Japanese with English Abstract). [Google Scholar]
- Su, Y.F.; Liou, J.J.; Hou, J.C.; Hung, W.C.; Hsu, S.M.; Lien, Y.T.; Su, M.D.; Cheng, K.S.; Wang, Y.F. A multivariate model for coastal water quality mapping using satellite remote sensing images. Sensors 2008, 8, 6321–6339. [Google Scholar] [CrossRef]
- Cheng, K.S.; Su, Y.F.; Yeh, H.C.; Chang, J.H.; Hung, W.C. A path radiance estimation algorithm using reflectance measurements in radiometric control areas. Int. J. Remote Sens. 2012, 33, 1543–1566. [Google Scholar] [CrossRef]
- Gitelson, A.A.; Schalles, J.F.; Hladik, C.M. Remote chlorophyll-a retrieval in turbid, productive estuaries: Chesapeake Bay case study. Remote Sens. Environ. 2007, 109, 464–472. [Google Scholar] [CrossRef]
- Le, C.; Hu, C.; Cannizzaro, J.; English, D.; Muller-Karger, F.; Lee, Z. Evaluation of chlorophyll-a remote sensing algorithms for an optically complex estuary. Remote Sens. Environ. 2013, 129, 75–89. [Google Scholar] [CrossRef]
- Anderson, D.M.; Glibert, P.M.; Burkholder, J.M. Harmful algal blooms and eutrophication: Nutrient sources, composition, and consequences. Estuaries 2002, 25, 704–726. [Google Scholar] [CrossRef]
- Chen, C.; Zhu, J.; Beardsley, R.C.; Franks, P.J. Physical-biological sources for dense algal blooms near the Changjiang River. Geophys. Res. Lett. 2003, 30. [Google Scholar] [CrossRef]








| No. | Date | Chla (μg/L) | SS (mg/L) | N | ||
|---|---|---|---|---|---|---|
| Min | Max | Min | Max | |||
| 1 | 19 July 2012 | 4.7 | 15.1 | 3.6 | 47.6 | 15 |
| 2 | 25 September 2012 | 7.8 | 18.8 | 4.0 | 29.6 | 9 |
| 3 * | 4 September 2017 | 37 | 204 | 9.3 | 22.8 | 6 |
| 4 * | 22 August 2018 | 6.8 | 61.6 | 7.8 | 38.3 | 6 |
| Total | 4.7 | 204 | 3.6 | 48 | 36 | |
| No. | Date | Observation | Mean Sun Angle | Chla (μg/L) |
|---|---|---|---|---|
| Time (JST) | Zenith/Azimuth | |||
| 1 | 4 April | 10:47 | 33.7°/148.6° | 6.7 |
| 2 | 24 April | 10:47 | 26.8°/144.3° | 7.2 |
| 3 | 14 May | 10:47 | 21.7°/137.7° | 3.3 |
| 4 | 13 July | 10:47 | 20.6°/127.4° | 21.5 |
| 5 | 2 August | 10:47 | 23.8°/134.2° | 34.3 |
| Band | Wavelength (nm) | Spatial Resolution (m) | Band | Wavelength (nm) | Spatial Resolution (m) |
|---|---|---|---|---|---|
| B1 | 443 | 60 | B 6 | 740 | 20 |
| B2 | 490 | 10 | B 7 | 775 | 20 |
| B3 | 560 | 10 | B 8 | 842 | 20 |
| B4 | 665 | 10 | B 8a | 865 | 10 |
| B5 | 705 | 20 |
| Band | Target Date | Conversion Equation | R2 |
|---|---|---|---|
| B4 | 4 April | y = 0.926x + 77.193 | 0.94 |
| 24 April | y = 0.9521x + 0.8887 | 0.97 | |
| 24 May | y = 1.2312x − 384.31 | 0.95 | |
| 13 July | y = 1.2759x − 319.79 | 0.98 | |
| B5 | 4 April | y = 0.926x + 77.193 | 0.97 |
| 24 April | y = 0.9521x + 0.8887 | 0.99 | |
| 24 May | y = 1.2312x − 384.31 | 0.97 | |
| 13 July | y = 1.2759x − 319.79 | 1.00 |
© 2019 by the authors. Licensee MDPI, Basel, Switzerland. This article is an open access article distributed under the terms and conditions of the Creative Commons Attribution (CC BY) license (http://creativecommons.org/licenses/by/4.0/).
Share and Cite
Sakuno, Y.; Maeda, A.; Mori, A.; Ono, S.; Ito, A. A Simple Red Tide Monitoring Method using Sentinel-2 Data for Sustainable Management of Brackish Lake Koyama-ike, Japan. Water 2019, 11, 1044. https://doi.org/10.3390/w11051044
Sakuno Y, Maeda A, Mori A, Ono S, Ito A. A Simple Red Tide Monitoring Method using Sentinel-2 Data for Sustainable Management of Brackish Lake Koyama-ike, Japan. Water. 2019; 11(5):1044. https://doi.org/10.3390/w11051044
Chicago/Turabian StyleSakuno, Yuji, Akihiro Maeda, Akihiro Mori, Shuji Ono, and Akihiro Ito. 2019. "A Simple Red Tide Monitoring Method using Sentinel-2 Data for Sustainable Management of Brackish Lake Koyama-ike, Japan" Water 11, no. 5: 1044. https://doi.org/10.3390/w11051044
APA StyleSakuno, Y., Maeda, A., Mori, A., Ono, S., & Ito, A. (2019). A Simple Red Tide Monitoring Method using Sentinel-2 Data for Sustainable Management of Brackish Lake Koyama-ike, Japan. Water, 11(5), 1044. https://doi.org/10.3390/w11051044

