Characteristics of Tidal Discharge and Phase Difference at a Tidal Channel Junction Investigated Using the Fluvial Acoustic Tomography System
Abstract
1. Introduction
2. Materials and Methods
2.1. Field Site
2.2. Measurement Method
2.2.1. The Overview of the Fluvial Acoustic Tomography System
2.2.2. Acquisition of FATS Data
2.2.3. Index-Velocity Method
2.2.4. ADCP Measurements and Cross-Sectional Area Determination
2.2.5. Bathymetry Survey
2.2.6. Wavelet Analysis
3. Results
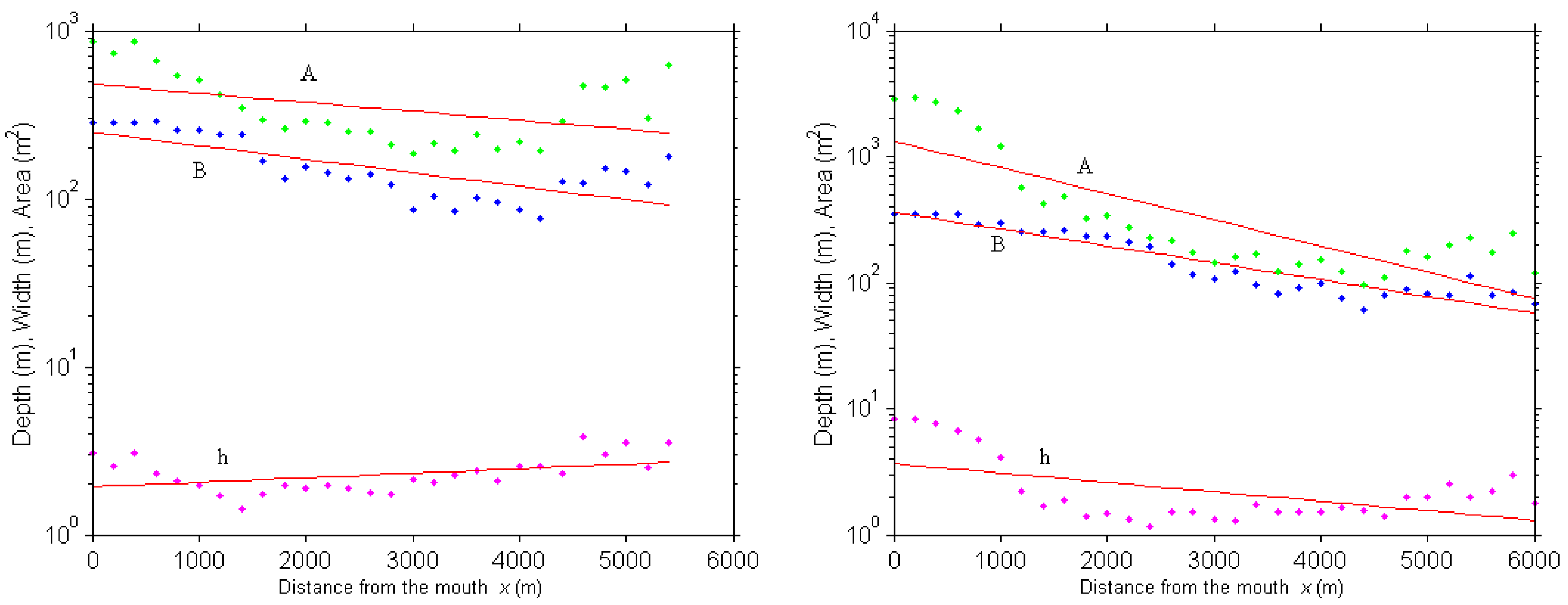
3.1. Bathymetry at the Tidal Channel Junction
3.2. Establishing an Index Velocity Rating and Validation of Discharge Measurement Obtained by FATS
3.3. Time Series of Tidal Discharge in the Western, Eastern, and Northern Branches
3.4. Subtidal Discharge Division between the Western and Eastern Branches
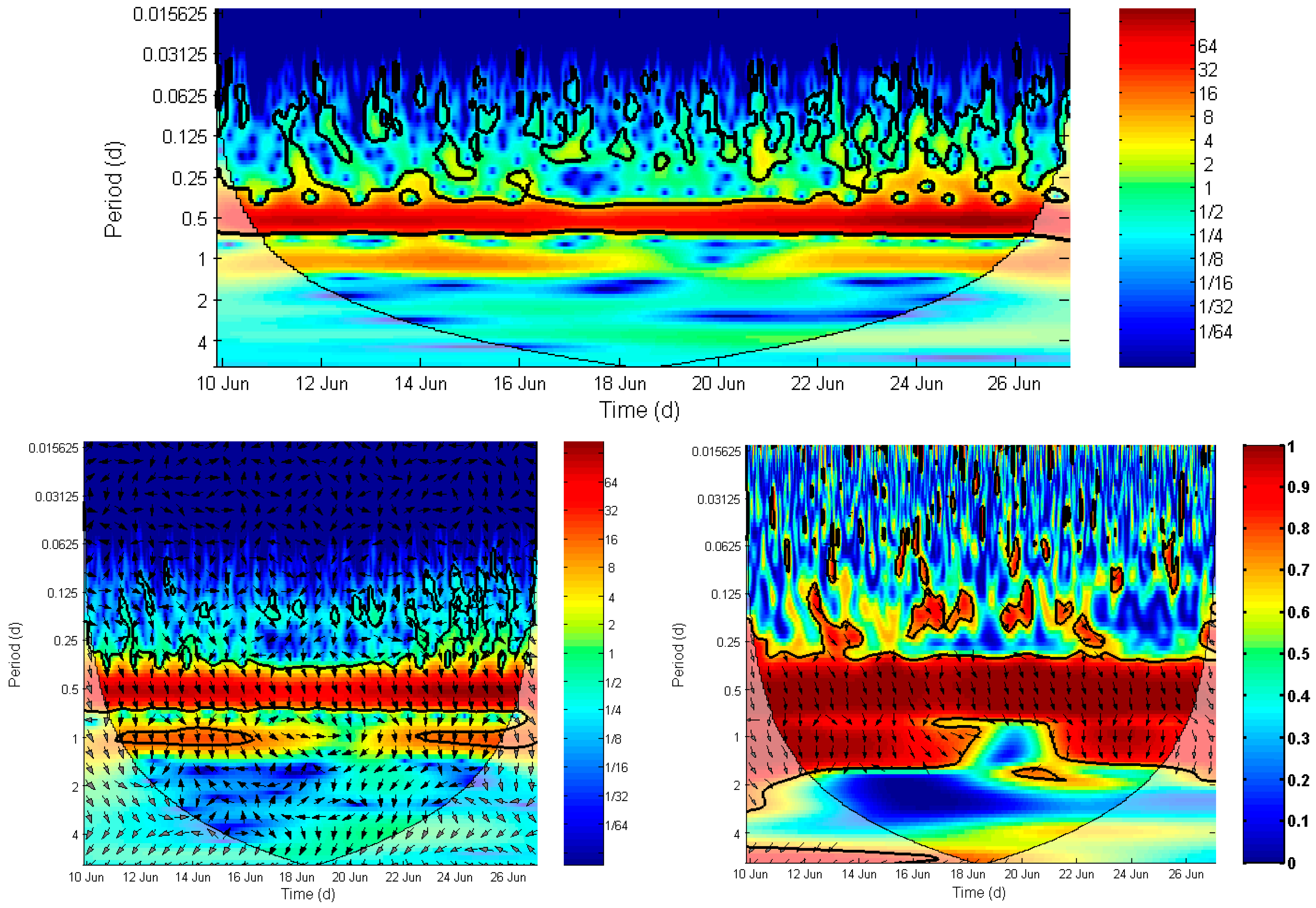
3.5. The Wavelet Analysis for the Interaction between the Water Level and Tidal Discharge in the Three Branches
4. Discussion
4.1. Interpretation of Flow Division between Two Seaward Branches
4.2. Interpretation of the Interaction between the Tidal Discharge and Water Level in the Three Branches
5. Conclusions
Author Contributions
Funding
Acknowledgments
Conflicts of Interest
References
- Edmonds, D.A.; Slingerland, R.L. Stability of delta distributary networks and their bifurcations. Water Resour. Res. 2008, 44, 1–13. [Google Scholar] [CrossRef]
- Buschman, F.A.; Hoitink, A.J.F.; Van Der Vegt, M.; Hoekstra, P. Subtidal flow division at a shallow tidal junction. Water Resour. Res. 2010, 46, 1–12. [Google Scholar] [CrossRef]
- Sassi, M.G.; Hoitink, A.J.F.; de Brye, B.; Vermeulen, B.; Deleersnijder, E. Tidal impact on the division of river discharge over distributary channels in the Mahakam Delta. Ocean Dyn. 2011, 61, 2211–2228. [Google Scholar] [CrossRef]
- Zhang, W.; Feng, H.; Hoitink, A.J.F.; Zhu, Y.; Gong, F. Estuarine, Coastal and Shelf Science Tidal impacts on the subtidal fl ow division at the main bifurcation in the Yangtze River Delta. Estuar. Coast. Shelf Sci. 2017, 196, 301–314. [Google Scholar] [CrossRef]
- Horrevoets, A.C.; Savenije, H.H.G.; Schuurman, J.N.; Graas, S. The influence of river discharge on tidal damping in alluvial estuaries. J. Hydrol. 2004, 294, 213–228. [Google Scholar] [CrossRef]
- Savenije, H.H.G.; Veling, E.J.M. Relation between tidal damping and wave celerity in estuaries. J. Geophys. Res. 2005, 110, 1–10. [Google Scholar] [CrossRef]
- Savenije, H.H.G.; Toffolon, M.; Haas, J.; Veling, E.J.M. Analytical description of tidal dynamics in convergent estuaries. J. Geophys. Res. 2008, 1–27. [Google Scholar] [CrossRef]
- Leonardi, N.; Kolker, A.S.; Fagherazzi, S. Advances in Water Resources Interplay between river discharge and tides in a delta distributary. Adv. Water Resour. 2015, 80, 69–78. [Google Scholar] [CrossRef]
- Nidzieko, N.J. Tidal asymmetry in estuaries with mixed semidiurnal/diurnal tides. J. Geophys. Res. Ocean. 2010, 115, 1–13. [Google Scholar] [CrossRef]
- Gotoh, T.; Fukuoka, S.; Tanaka, R. Evaluation of Flood Discharge Hydrographs and Bed Variations in a Channel Network on the Ota River Delta, 357th ed.; Chavoshian, A., Takeuchi, K., Eds.; IAHS: Wallingford, UK, 2013; ISBN 9781907161353. [Google Scholar]
- Kawanisi, K.; Al Sawaf, M.B.; Danial, M.M. Automated real-time stream flow acquisition in a mountainous river using acoustic tomography. J. Hydrol. Eng. 2018, 23, 1–7. [Google Scholar] [CrossRef]
- Razaz, M.; Kawanisi, K.; Nistor, I.; Sharifi, S. An acoustic travel time method for continuous velocity monitoring in shallow tidal streams. Water Resour. Res. 2013, 49, 4885–4899. [Google Scholar] [CrossRef]
- Kawanisi, K.; Razaz, M.; Yano, J.; Ishikawa, K. Continuous monitoring of a dam flush in a shallow river using two crossing ultrasonic transmission lines. Meas. Sci. Technol. 2013, 24, 055303. [Google Scholar] [CrossRef]
- Bahreinimotlagh, M.; Kawanisi, K.; Danial, M.M.; Al Sawaf, M.B.; Kagami, J. Application of shallow-water acoustic tomography to measure flow direction and river discharge. Flow Meas. Instrum. 2016, 51, 30–39. [Google Scholar] [CrossRef]
- Sassi, M.G.; Hoitink, A.J.F.; Vermeulen, B.; Hidayat, H. Discharge estimation from H-ADCP measurements in a tidal river subject to sidewall effects and a mobile bed. Water Resour. Res. 2011, 47, 1–14. [Google Scholar] [CrossRef]
- Levesque, V.A.; Oberg, K.A. Computing Discharge Using the Index Velocity Method; Techniques and Methods 3-A23; U.S. Geological Survey: Reston, VA, USA, 2012; Volume 148.
- Hidayat, H.; Hoitink, A.J.F.; Sassi, M.G.; Torfs, P.J.J.F. Prediction of Discharge in a Tidal River Using Artificial Neural Networks. J. Hydrol. Eng. 2014, 19, 1–8. [Google Scholar] [CrossRef]
- Kempema, E.; Stiver, J.; Ettema, R. Effects of Warm CBM Product Water Discharge on Winter Fluvial and Ice Processes in the Powder River Basin; 2010; Available online: http://www.uwyo.edu/owp/_files/project27finalreport.pdf (accessed on 23 April 2017).
- Guo, L.; Van Der Wegen, M.; Jay, D.A.; Matte, P.; Wang, Z.B.; Roelvink, D.; He, Q. River-tide dynamics: Exploration of nonstationary and nonlinear tidal behavior in the Yangtze River estuary. J. Geophys. Res. C Ocean. 2015, 120, 3499–3521. [Google Scholar] [CrossRef]
- Grinsted, A.; Moore, J.C.; Jevrejeva, S. Application of the cross wavelet transform and wavelet coherence to geophysical time series. Nonlinear Process. Geophys. 2004, 11, 561–566. [Google Scholar] [CrossRef]
- Savenije, H.H.G. Salinity and Tides in Fluvial Estuaries, 1st ed.; Elsevier Science: Amsterdam, The Netherlands, 2005; ISBN 9780444521071. [Google Scholar]
- Friedrichs, C.T.; Aubrey, D.G. Tidal propagation in strongly convergent channels. J. Geophys. Res. 1994, 99, 3321–3336. [Google Scholar] [CrossRef]
- Cai, H.; Savenije, H.H.G.; Toffolon, M. Linking the river to the estuary: Influence of river discharge on tidal damping. Hydrol. Earth Syst. Sci. 2014, 18, 287–304. [Google Scholar] [CrossRef]
- Jay, D.A. Green’s law revisited: Tidal long-wave propagation in channels with strong topography. J. Geophys. Res. 1991, 96, 20585. [Google Scholar] [CrossRef]
- Lu, S.; Tong, C.; Lee, D.; Zheng, J.; Shen, J.; Zhang, W.; Yan, Y. Propagation of tidal waves up in Yangtze Estuary during the dry season. J. Geophys. Res. Ocean. 2015, 120, 6445–6473. [Google Scholar] [CrossRef]
- Guo, L.; Van der Wegen, M.; Roelvink, J.A.; He, Q. The role of river flow and tidal asymmetry on 1-D estuarine morphodynamics. J. Geophys. Res. Earth Surf. 2014, 119, 2315–2334. [Google Scholar] [CrossRef]
- Cai, H.; Toffolon, M.; Savenije, H.H.G.; Yang, Q.; Garel, E. Frictional interactions between tidal constituents in tide-dominated estuaries. Ocean Sci. 2018, 14, 769–782. [Google Scholar] [CrossRef]













| Date of FATS Experiment | Deployment Site | Method of Discharge Estimation |
|---|---|---|
| 9 to 29 June 2017 | Eastern branch | Index-velocity method as described by Kawanisi et al. [11] |
| 8 to 20 June 2017 | Western branch | Index-velocity method as described by Kawanisi et al. [11] |
| 6 to 29 November 2017 | Northern branch | Two-crossing transmission lines as described by Kawanisi et al. [13] and Bahreinimotlagh et al. [14] |
| Code | River branch | Transducers | Latitude | Longitude | The Distance between Transducers (m) |
|---|---|---|---|---|---|
| Eastern branch | Kyu Ota river | S1 | 246.363 | ||
| S2 | |||||
| Western branch | Tenma river | T1 | 158.836 | ||
| T2 | |||||
| Northern branch | Kyu Ota river | M1 | 289.744 | ||
| M2 | |||||
| M3 | 224.639 | ||||
| M4 |
| Date | Local Time | (m3s−1) | (m3s−1) | (m3s−1) | (%) |
|---|---|---|---|---|---|
| June 20, 2017 | 14:44:05 | −57.56 | −55.67 | −1.89 | 3.40 |
| June 20, 2017 | 14:55:13 | −58.53 | −55.67 | −2.86 | 5.14 |
| June 20, 2017 | 15:07:31 | −59.09 | −58.81 | −0.28 | 0.48 |
| June 20, 2017 | 15:16:31 | −60.31 | −58.41 | −1.90 | 3.25 |
| June 20, 2017 | 15:27:11 | −65.81 | −58.18 | −7.63 | 13.11 |
| June 27, 2017 | 13:29:25 | 108.38 | 99.55 | 8.83 | 8.87 |
| June 27, 2017 | 13:41:38 | 109.60 | 104.65 | 4.95 | 4.73 |
| Date | Local Time | (m3s−1) | (m3s−1) | (m3s−1) | (%) |
|---|---|---|---|---|---|
| June 16, 2017 | 12:45:11 | −11.75 | −12.2 | 0.45 | -3.69 |
| June 16, 2017 | 12:59:19 | −10.26 | −9.13 | −1.13 | 12.38 |
| June 16, 2017 | 13:09:38 | −8.05 | −7.37 | −0.68 | 9.23 |
| June 16, 2017 | 13:14:28 | 9.80 | 8.91 | 0.89 | 9.99 |
| June 16, 2017 | 14:14:28 | 25.19 | 24.26 | 0.93 | 3.83 |
| June 16, 2017 | 14:53:59 | 31.85 | 31.47 | 0.38 | 1.21 |
| June 16, 2017 | 15:13:13 | 31.17 | 27.17 | 4.00 | 14.72 |
| Date | Local Time | (m3s−1) | (m3s−1) | (m3s−1) | (%) |
|---|---|---|---|---|---|
| November 15, 2017 | 12:46:48 | 52.98 | 49.68 | 3.3 | 6.64 |
| November 15, 2017 | 13:22:43 | 43.67 | 42.95 | 0.72 | 1.68 |
| November 20, 2017 | 12:15:03 | 88.61 | 103.34 | −14.73 | −14.25 |
| November 20, 2017 | 13:14:28 | 95.68 | 104.48 | −8.80 | −8.42 |
| November 20, 2017 | 14:06:36 | 78.95 | 78.64 | 0.31 | 0.39 |
| November 27, 2017 | 11:37:19 | −10.07 | −10.75 | 0.68 | −6.33 |
| November 27, 2017 | 13:13:52 | −17.80 | −19.41 | 1.61 | −8.29 |
| November 27, 2017 | 14:34:03 | −18.16 | −20.15 | 1.99 | −9.88 |
| November 27, 2017 | 16:09:35 | 14.32 | 15.24 | −0.92 | −6.04 |
| November 27, 2017 | 16:57:07 | 57.83 | 57.73 | 0.10 | 0.17 |
| November 27, 2017 | 17:35:10 | 73.36 | 73.61 | 3.75 | 5.09 |
| November 27, 2017 | 18:20:39 | 77.10 | 71.55 | 5.55 | 7.76 |
| November 27, 2017 | 19:49:15 | 41.15 | 45.65 | −4.50 | −9.86 |
| November 27, 2017 | 20:24:41 | 48.85 | 44.98 | 3.87 | 8.60 |
© 2019 by the authors. Licensee MDPI, Basel, Switzerland. This article is an open access article distributed under the terms and conditions of the Creative Commons Attribution (CC BY) license (http://creativecommons.org/licenses/by/4.0/).
Share and Cite
Danial, M.M.; Kawanisi, K.; Al Sawaf, M.B. Characteristics of Tidal Discharge and Phase Difference at a Tidal Channel Junction Investigated Using the Fluvial Acoustic Tomography System. Water 2019, 11, 857. https://doi.org/10.3390/w11040857
Danial MM, Kawanisi K, Al Sawaf MB. Characteristics of Tidal Discharge and Phase Difference at a Tidal Channel Junction Investigated Using the Fluvial Acoustic Tomography System. Water. 2019; 11(4):857. https://doi.org/10.3390/w11040857
Chicago/Turabian StyleDanial, Mochammad Meddy, Kiyosi Kawanisi, and Mohamad Basel Al Sawaf. 2019. "Characteristics of Tidal Discharge and Phase Difference at a Tidal Channel Junction Investigated Using the Fluvial Acoustic Tomography System" Water 11, no. 4: 857. https://doi.org/10.3390/w11040857
APA StyleDanial, M. M., Kawanisi, K., & Al Sawaf, M. B. (2019). Characteristics of Tidal Discharge and Phase Difference at a Tidal Channel Junction Investigated Using the Fluvial Acoustic Tomography System. Water, 11(4), 857. https://doi.org/10.3390/w11040857

