Estimates of Tillage and Rainfall Effects on Unsaturated Hydraulic Conductivity in a Small Central European Agricultural Catchment
Abstract
1. Introduction
2. Materials and Methods
2.1. Study Area
2.2. Infiltration Experiments
2.3. Estimation of K in Soils with Changing Structure
2.4. Rainfall Kinetic Energy Calculation
3. Results
3.1. Temporal Variability of Bulk Density and Saturated Water Content
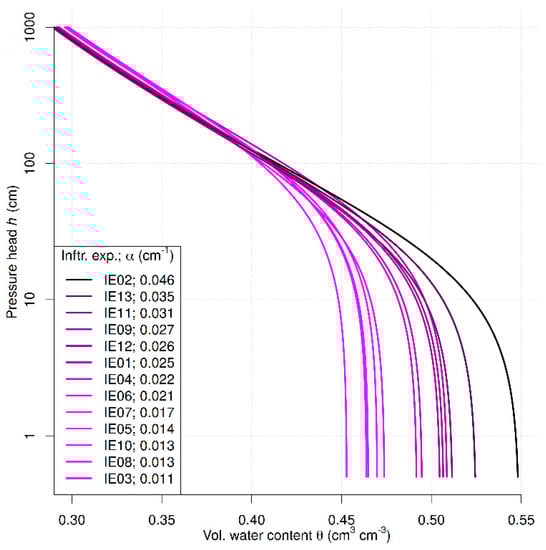
3.2. Tension Infiltration Experiments
3.3. Effect of Rainfall on Unsaturated Hydraulic Conductivity
4. Discussion
4.1. Tension Infiltration Experiments
4.2. Temporal Variability of Physical Properties of the Soil
4.3. Effect of Rainfall on Soil Water Regime
5. Conclusions
Supplementary Materials
Author Contributions
Funding
Acknowledgments
Conflicts of Interest
References
- Pagliai, M.; Vignozzi, N.; Pellegrini, S. Soil structure and the effect of management practices. Soil Tillage Res. 2004, 79, 131–143. [Google Scholar] [CrossRef]
- Angers, D.A.; Caron, J. Plant-induced changes in soil structure: Processes and feedbacks. Biogeochemistry 1998, 42, 55–72. [Google Scholar] [CrossRef]
- Bronick, C.J.; Lal, R. Soil structure and management: A review. Geoderma 2005, 124, 3–22. [Google Scholar] [CrossRef]
- Strudley, M.; Green, T.; Ascoughii, J. Tillage effects on soil hydraulic properties in space and time: State of the science. Soil Tillage Res. 2008, 99, 4–48. [Google Scholar] [CrossRef]
- Horn, R.; Domżżał, H.; Słowińska-Jurkiewicz, A.; van Ouwerkerk, C. Soil compaction processes and their effects on the structure of arable soils and the environment. Soil Tillage Res. 1995, 35, 23–36. [Google Scholar] [CrossRef]
- Schlüter, S.; Großmann, C.; Diel, J.; Wu, G.-M.; Tischer, S.; Deubel, A.; Rücknagel, J. Long-term effects of conventional and reduced tillage on soil structure, soil ecological and soil hydraulic properties. Geoderma 2018, 332, 10–19. [Google Scholar] [CrossRef]
- Fernández-Raga, M.; Palencia, C.; Keesstra, S.; Jordán, A.; Fraile, R.; Angulo-Martínez, M.; Cerdà, A. Splash erosion: A review with unanswered questions. Earth-Sci. Rev. 2017, 171, 463–477. [Google Scholar] [CrossRef]
- Augeard, B.; Bresson, L.M.; Assouline, S.; Kao, C.; Vauclin, M. Dynamics of soil surface bulk density: Role of water table elevation and rainfall duration. Soil Sci. Soc. Am. J. 2008, 72, 412–423. [Google Scholar] [CrossRef]
- Bresson, L.M.; Moran, C.J. Role of compaction versus aggregate disruption on slumping and shrinking of repacked hardsetting seedbeds. Soil Sci. 2003, 168, 585–594. [Google Scholar] [CrossRef]
- Rousseva, S.; Torri, D.; Pagliai, M. Effect of rain on the macroporosity at the soil surface. Eur. J. Soil Sci. 2002, 53, 83–93. [Google Scholar] [CrossRef]
- Novara, A.; Armstrong, A.; Gristina, L.; Semple, K.T.; Quinton, J.N. Effects of soil compaction, rain exposure and their interaction on soil carbon dioxide emission. Earth Surf. Process. Landf. 2012, 37, 994–999. [Google Scholar] [CrossRef]
- Baartman, J.E.M.; Jetten, V.G.; Ritsema, C.J.; Vente, J. Exploring effects of rainfall intensity and duration on soil erosion at the catchment scale using openLISEM: Prado catchment, SE Spain. Hydrol. Process. 2012, 26, 1034–1049. [Google Scholar] [CrossRef]
- Sharma, P.P.; Gupta, S.C.; Foster, G.R. Raindrop-induced soil detachment and sediment transport from interrill areas. Soil Sci. Soc. Am. J. 1995, 59, 727–734. [Google Scholar] [CrossRef]
- Wilken, F.; Baur, M.; Sommer, M.; Deumlich, D.; Bens, O.; Fiener, P. Uncertainties in rainfall kinetic energy-intensity relations for soil erosion modelling. Catena 2018, 171, 234–244. [Google Scholar] [CrossRef]
- Van Dijk, A.I.J.; Bruijnzeel, L.; Rosewell, C. Rainfall intensity–kinetic energy relationships: A critical literature appraisal. J. Hydrol. 2002, 261, 1–23. [Google Scholar] [CrossRef]
- Angulo-Martínez, M.; Beguería, S.; Kyselý, J. Use of disdrometer data to evaluate the relationship of rainfall kinetic energy and intensity (KE-I). Sci. Total Environ. 2016, 568, 83–94. [Google Scholar] [CrossRef]
- Lobo, G.P.; Bonilla, C.A. Effect of temporal resolution on rainfall erosivity estimates in zones of precipitation caused by frontal systems. Catena 2015, 135, 202–207. [Google Scholar] [CrossRef]
- Hamza, M.A.; Anderson, W.K. Soil compaction in cropping systems. Soil Tillage Res. 2005, 82, 121–145. [Google Scholar] [CrossRef]
- Carminati, A.; Kaestner, A.; Hassanein, R.; Ippisch, O.; Vontobel, P.; Flühler, H. Infiltration through series of soil aggregates: Neutron radiography and modeling. Adv. Water Resour. 2007, 30, 1168–1178. [Google Scholar] [CrossRef]
- Berli, M.; Carminati, A.; Ghezzehei, T.A.; Or, D. Evolution of unsaturated hydraulic conductivity of aggregated soils due to compressive forces. Water Resour. Res. 2008, 44. [Google Scholar] [CrossRef]
- Gerke, H.H. Preferential flow descriptions for structured soils. J. Plant Nutr. Soil Sci. 2006, 169, 382–400. [Google Scholar] [CrossRef]
- Kribaa, M.; Hallaire, V.; Curmi, P.; Lahmar, R. Effect of various cultivation methods on the structure and hydraulic properties of a soil in a semi-arid climate. Soil Tillage Res. 2001, 60, 43–53. [Google Scholar] [CrossRef]
- Bodner, G.; Scholl, P.; Loiskandl, W.; Kaul, H.-P. Environmental and management influences on temporal variability of near saturated soil hydraulic properties. Geoderma 2013, 204–205, 120–129. [Google Scholar] [CrossRef]
- Zumr, D.; Dostál, T.; Devátý, J. Identification of prevailing storm runoff generation mechanisms in an intensively cultivated catchment. J. Hydrol. Hydromech. 2015, 63, 246–254. [Google Scholar] [CrossRef]
- Ankeny, M.D.; Kaspar, T.C.; Horton, R. Design for an automated tension infiltrometer. Soil Sci. Soc. Am. J. 1988, 52, 893–896. [Google Scholar] [CrossRef]
- Moret, D.; López, M.V.; Arrúe, J.L. TDR application for automated water level measurement from Mariotte reservoirs in tension disc infiltrometers. J. Hydrol. 2004, 297, 229–235. [Google Scholar] [CrossRef]
- Madsen, M.D.; Chandler, D.G. Automation and use of mini disk infiltrometers. Soil Sci. Soc. Am. J. 2007, 71, 1469–1472. [Google Scholar] [CrossRef]
- Klípa, V.; Sněhota, M.; Dohnal, M. New automatic minidisk infiltrometer: Design and testing. J. Hydrol. Hydromech. 2015, 63, 110–116. [Google Scholar] [CrossRef][Green Version]
- Aravena, J.E.; Berli, M.; Ghezzehei, T.A.; Tyler, S.W. Effects of root-induced compaction on rhizosphere hydraulic properties—X-ray microtomography imaging and numerical simulations. Environ. Sci. Technol. 2011, 45, 425–431. [Google Scholar] [CrossRef]
- Logsdon, S.D.; Jordahl, J.L.; Karlen, D.L. Tillage and crop effects on ponded and tension infiltration rates. Soil Tillage Res. 1993, 28, 179–189. [Google Scholar] [CrossRef]
- Hu, W.; Shao, M.; Wang, Q.; Fan, J.; Horton, R. Temporal changes of soil hydraulic properties under different land uses. Geoderma 2009, 149, 355–366. [Google Scholar] [CrossRef]
- Messing, I.; Jarvis, N.J. Temporal variation in the hydraulic conductivity of a tilled clay soil as measured by tension infiltrometers. J. Soil Sci. 1993, 44, 11–24. [Google Scholar] [CrossRef]
- Farkas, C.; Gyuricza, C.; Birkás, M. Seasonal changes of hydraulic properties of a Chromic Luvisol under different soil management. Biologia 2006, 61, S344–S348. [Google Scholar] [CrossRef]
- Bormann, H.; Klaassen, K. Seasonal and land use dependent variability of soil hydraulic and soil hydrological properties of two Northern German soils. Geoderma 2008, 145, 295–302. [Google Scholar] [CrossRef]
- Alletto, L.; Coquet, Y. Temporal and spatial variability of soil bulk density and near-saturated hydraulic conductivity under two contrasted tillage management systems. Geoderma 2009, 152, 85–94. [Google Scholar] [CrossRef]
- Somaratne, N.M.; Smettem, K.R.J. Effect of cultivation and raindrop impact on the surface hydraulic properties of an Alfisol under wheat. Soil Tillage Res. 1993, 26, 115–125. [Google Scholar] [CrossRef]
- Zumr, D.; Dostál, T.; Devátý, J.; Valenta, P.; Rosendorf, P.; Eder, A.; Strauss, P. Experimental determination of the flood wave transformation and the sediment resuspension in a small regulated stream in an agricultural catchment. Hydrol. Earth Syst. Sci. 2017, 21. [Google Scholar] [CrossRef]
- Hanel, M.; Mrkvičková, M.; Máca, P.; Vizina, A.; Pech, P. Evaluation of simple statistical downscaling methods for monthly regional climate model simulations with respect to the estimated changes in runoff in the Czech Republic. Water Resour. Manag. 2013, 27, 5261–5279. [Google Scholar] [CrossRef]
- Jeřábek, J.; Zumr, D.; Dostál, T. Identifying the plough pan position on cultivated soils by measurements of electrical resistivity and penetration resistance. Soil Tillage Res. 2017, 174, 231–240. [Google Scholar] [CrossRef]
- Van Genuchten, M.T. A closed-form equation for predicting the hydraulic conductivity of unsaturated soils. Soil Sci. Soc. Am. J. 1980, 44, 892–898. [Google Scholar] [CrossRef]
- Kodešová, R.; Jirků, V.; Kodeš, V.; Mühlhanselová, M.; Nikodem, A.; Žigová, A. Soil structure and soil hydraulic properties of Haplic Luvisol used as arable land and grassland. Soil Tillage Res. 2011, 111, 154–161. [Google Scholar] [CrossRef]
- Philip, J.R. The theory of infiltration, 1. The infiltration equation and its solution. Soil Sci. 1957, 83, 345–357. [Google Scholar] [CrossRef]
- Zhang, R. Determination of soil sorptivity and hydraulic conductivity from the disk infiltrometer. Soil Sci. Soc. Am. J. 1997, 61, 1024–1030. [Google Scholar] [CrossRef]
- Dohnal, M.; Dusek, J.; Vogel, T. Improving hydraulic conductivity estimates from minidisk infiltrometer measurements for soils with wide pore-size distributions. Soil Sci. Soc. Am. J. 2010, 74, 804–811. [Google Scholar] [CrossRef]
- Nimmo, J.R. Modeling structural influences on soil water retention. Soil Sci. Soc. Am. J. 1997, 61, 712–719. [Google Scholar] [CrossRef]
- Ahuja, L.R.; Fiedler, F.; Dunn, G.H.; Benjamin, J.G.; Garrison, A. Changes in soil water retention curves due to tillage and natural reconsolidation. Soil Sci. Soc. Am. J. 1998, 62, 1228–1233. [Google Scholar] [CrossRef]
- Ghezzehei, T.A.; Kneafsey, T.J.; Su, G.W. Correspondence of the Gardner and van Genuchten-Mualem relative permeability function parameters. Water Resour. Res. 2007, 43. [Google Scholar] [CrossRef]
- Vogel, T.; Cislerova, M.; Hopmans, J.W. Porous media with linearly variable hydraulic properties. Water Resour. Res. 1991, 27, 2735–2741. [Google Scholar] [CrossRef]
- Ionita, M.; Tallaksen, L.M.; Kingston, D.G.; Stagge, J.H.; Laaha, G.; Van Lanen, H.A.J.; Scholz, P.; Chelcea, S.M.; Haslinger, K. The European 2015 drought from a climatological perspective. Hydrol. Earth Syst. Sci. 2017, 21, 1397–1419. [Google Scholar] [CrossRef]
- Bagarello, V.; Iovino, M.; Tusa, G. Factors affecting measurement of the near-saturated soil hydraulic conductivity. Soil Sci. Soc. Am. J. 2000, 64, 1203–1210. [Google Scholar] [CrossRef]
- Das Gupta, S.; Mohanty, B.P.; Köhne, J.M. Soil hydraulic conductivities and their spatial and temporal variations in a vertisol. Soil Sci. Soc. Am. J. 2006, 70, 1872–1881. [Google Scholar] [CrossRef]
- Mohanty, B.P.; Ankeny, M.D.; Horton, R.; Kanwar, R.S. Spatial analysis of hydraulic conductivity measured using disc infiltrometers. Water Resour. Res. 1994, 30, 2489–2498. [Google Scholar] [CrossRef]
- Lin, H.S.; McInnes, K.J.; Wilding, L.P.; Hallmark, C.T. Low tension water flow in structured soils. Can. J. Soil Sci. 1997, 77, 649–654. [Google Scholar] [CrossRef]
- Moret, D.; Arrúe, J.L. Dynamics of soil hydraulic properties during fallow as affected by tillage. Soil Tillage Res. 2007, 96, 103–113. [Google Scholar] [CrossRef]
- Chandrasekhar, P.; Kreiselmeier, J.; Schwen, A.; Weninger, T.; Julich, S.; Feger, K.-H.; Schwärzel, K.; Chandrasekhar, P.; Kreiselmeier, J.; Schwen, A.; et al. Why we should include soil structural dynamics of agricultural soils in hydrological models. Water 2018, 10, 1862. [Google Scholar] [CrossRef]
- Logsdon, S.D.; Jaynes, D.B. Methodology for determining hydraulic conductivity with tension infiltrometers. Soil Sci. Soc. Am. J. 1993, 57, 1426–1431. [Google Scholar] [CrossRef]
- Schwen, A.; Bodner, G.; Scholl, P.; Buchan, G.D.; Loiskandl, W. Temporal dynamics of soil hydraulic properties and the water-conducting porosity under different tillage. Soil Tillage Res. 2011, 113, 89–98. [Google Scholar] [CrossRef]
- Zhang, Z.; Lin, L.; Wang, Y.; Peng, X. Temporal change in soil macropores measured using tension infiltrometer under different land uses and slope positions in subtropical China. J. Soils Sediments 2016, 16, 854–863. [Google Scholar] [CrossRef]
- Sandin, M.; Koestel, J.; Jarvis, N.; Larsbo, M. Post-tillage evolution of structural pore space and saturated and near-saturated hydraulic conductivity in a clay loam soil. Soil Tillage Res. 2017, 165, 161–168. [Google Scholar] [CrossRef]
- Armenise, E.; Simmons, R.W.; Ahn, S.; Garbout, A.; Doerr, S.H.; Mooney, S.J.; Sturrock, C.J.; Ritz, K. Soil seal development under simulated rainfall: Structural, physical and hydrological dynamics. J. Hydrol. 2018, 556, 211–219. [Google Scholar] [CrossRef]
- Josa, R.; Gorchs, G.; Ginovart, M.; Solé-Benet, A. Influence of tillage on soil macropore size, shape of top layer and crop development in a sub-humid environment. Biologia 2013, 68, 1099–1103. [Google Scholar] [CrossRef]
- Jirků, V.; Kodešová, R.; Nikodem, A.; Mühlhanselová, M.; Žigová, A. Temporal variability of structure and hydraulic properties of topsoil of three soil types. Geoderma 2013, 204–205, 43–58. [Google Scholar] [CrossRef]
- Katuwal, S.; Norgaard, T.; Moldrup, P.; Lamandé, M.; Wildenschild, D.; de Jonge, L.W. Linking air and water transport in intact soils to macropore characteristics inferred from X-ray computed tomography. Geoderma 2015, 237–238, 9–20. [Google Scholar] [CrossRef]
- Fohrer, N.; Berkenhagen, J.; Hecker, J.-M.; Rudolph, A. Changing soil and surface conditions during rainfall. Catena 1999, 37, 355–375. [Google Scholar] [CrossRef]
- Rabot, E.; Wiesmeier, M.; Schlüter, S.; Vogel, H.-J. Soil structure as an indicator of soil functions: A review. Geoderma 2018, 314, 122–137. [Google Scholar] [CrossRef]
- Sandin, M.; Jarvis, N.; Larsbo, M. Consolidation and surface sealing of nine harrowed Swedish soils. Soil Tillage Res. 2018, 181, 82–92. [Google Scholar] [CrossRef]
- Angulo-Jaramillo, R.; Thony, J.L.; Vachaud, G.; Moreno, F.; Fernandez-Boy, E.; Cayuela, J.A.; Clothier, B.E. Seasonal variation of hydraulic properties of soils measured using a tension disk infiltrometer. Soil Sci. Soc. Am. J. 1997, 61, 27–32. [Google Scholar] [CrossRef]
- Linh, T.B.; Ghyselinck, T.; Khanh, T.H.; Van Dung, T.; Guong, V.T.; Van Khoa, L.; Cornelis, W. Temporal variation of hydro-physical properties of paddy clay soil under different rice-based cropping systems. L. Degrad. Dev. 2017, 28, 1752–1762. [Google Scholar] [CrossRef]
- Leij, F.J.; Ghezzehei, T.A.; Or, D. Modeling the dynamics of the soil pore-size distribution. Soil Tillage Res. 2002, 64, 61–78. [Google Scholar] [CrossRef]
- Vaezi, A.R.; Ahmadi, M.; Cerdà, A. Contribution of raindrop impact to the change of soil physical properties and water erosion under semi-arid rainfalls. Sci. Total Environ. 2017, 583, 382–392. [Google Scholar] [CrossRef]
- Angulo-Martínez, M.; Beguería, S.; Navas, A.; Machín, J. Splash erosion under natural rainfall on three soil types in NE Spain. Geomorphology 2012, 175–176, 38–44. [Google Scholar] [CrossRef]
- Salles, C.; Poesen, J. Rain properties controlling soil splash detachment. Hydrol. Process. 2000, 14, 271–282. [Google Scholar] [CrossRef]
- Assouline, S.; Mualem, Y. Modeling the dynamics of seal formation and its effect on infiltration as related to soil and rainfall characteristics. Water Resour. Res. 1997, 33, 1527–1536. [Google Scholar] [CrossRef]
- Torri, D.; Regüés, D.; Pellegrini, S.; Bazzoffi, P. Within-storm soil surface dynamics and erosive effects of rainstorms. Catena 1999, 38, 131–150. [Google Scholar] [CrossRef]
- Bryk, M.; Kołodziej, B.; Słowińska-Jurkiewicz, A.; Jaroszuk-Sierocińska, M. Evaluation of soil structure and physical properties influenced by weather conditions during autumn-winter-spring season. Soil Tillage Res. 2017, 170, 66–76. [Google Scholar] [CrossRef]











| Date | Crop | Agricultural Activity | Notes |
|---|---|---|---|
| October 2012 | stubble breaking | depth 10–12 cm (s.c.) | |
| 6 April 2013 | fertilization | nitrogen fertilizer | |
| 22 April 2013 | Tension infiltration experiments—IE1 | ||
| 27 April 2013 | naked oat | sowing | chisel plowing, depth 14 cm (s.c.) |
| 17 May 2013 | naked oat | crop-spraying | herbicide |
| 1 July 2013 | naked oat | crop-spraying | fungicide and herbicide |
| 25 July 2013 | naked oat | Tension infiltration experiments—IE2 | |
| 17 August 2013 | naked oat | harvest | |
| 19 August 2013 | stubble breaking | depth 10–12 cm (s.c.) | |
| 10 September 2013 | crop-spraying | herbicide and insecticide | |
| 25 September 2013 | winter wheat | sowing, fertilization | chisel plowing—depth 14 cm, combined fertilizer |
| 4 October 2013 | winter wheat | Tension infiltration experiments—IE3 | |
| 10 October 2013 | winter wheat | crop-spraying | herbicide and insecticide |
| 20 February 2014 | winter wheat | fertilization | nitrogen fertilizer |
| 3 March 2014 | winter wheat | fertilization | fertilizer containing sulfur |
| 13 March 2014 | winter wheat | Tension infiltration experiments—IE4 | |
| 17 March 2014 | winter wheat | fertilization | nitrogen fertilizer |
| 9 April 2014 | winter wheat | fertilization | morphoregulators, fertilizers containing B, Cu, Mn, Mg |
| 10 April 2014 | winter wheat | Tension infiltration experiments—IE5 | |
| 22 April 2014 | winter wheat | crop-spraying, fertilization | herbicide, fungicide, wetting agent, nitrogen fertilizer |
| 15 May 2014 | winter wheat | Tension infiltration experiments—IE6 | |
| 9 June 2014 | winter wheat | crop-spraying | fungicide, insecticide, wetting agent |
| 19 June 2014 | winter wheat | Tension infiltration experiments—IE7 | |
| 17 July 2014 | winter wheat | crop-spraying | herbicide |
| 6 August 2014 | winter wheat | Tension infiltration experiments—IE8 | |
| 9 August 2014 | winter wheat | harvest | |
| 10 August 2014 | stubble breaking | depth 10–12 cm (s.c.) | |
| 24 September 2014 | fertilization and plowing | manure, depth of plowing 22 cm | |
| October 1 2014 | Tension infiltration experiments—IE9 | ||
| 3 November 2014 | plowing | deepening to 25–28 cm (s.c.) | |
| 22 March 2015 | white mustard | sowing, fertilization | chisel plowing—depth 14 cm, fertilizer (s.c.) |
| 26 March 2015 | white mustard | Tension infiltration experiments—IE10 | |
| 8 April 2015 | white mustard | fertilization | fertilizer containing sulfur |
| 25 April 2015 | white mustard | crop-spraying, fertilization | herbicide, nitrogen fertilizer |
| 12 May 2015 | white mustard | crop-spaying, fertilization | fungicide, morphoregulator, fertilizer containing boron |
| 12 May 2015 | white mustard | Tension infiltration experiments—IE11 | |
| 6 June 2015 | white mustard | crop-spaying, fertilization | fungicide, fertilizer containing boron and copper |
| 2 July 2015 | white mustard | Tension infiltration experiments—IE12 | |
| 30 July 2015 | white mustard | Tension infiltration experiments—IE13 | |
| 3 August 2015 | white mustard | harvest | |
| Model | Time Period | N | Slope (a) | Slope p-Value |
|---|---|---|---|---|
| Kh0 = aρb + b | All | 13 | 0.0021 | 0.69 |
| 2013 | 3 | 0.0140 | 0.44 | |
| 2014 | 6 | 0.0008 | 0.81 | |
| 2015 | 4 | 0.0009 | 0.51 | |
| Kh0 = aθinit + b | All | 13 | −0.0016 | 0.65 |
| 2013 | 3 | −0.0058 | 0.56 | |
| 2014 | 6 | −0.0001 | 0.97 | |
| 2015 | 4 | −0.0068 | 0.07 | |
| Kh0 = aθs + b | All | 13 | −0.0018 | 0.85 |
| 2013 | 3 | −0.025 | 0.50 | |
| 2014 | 6 | −0.0051 | 0.38 | |
| 2015 | 4 | −0.050 | 0.23 | |
| Kh0 = aθh0 + b | All | 13 | 0.007 | 0.32 |
| 2013 | 3 | 0.004 | 0.86 | |
| 2014 | 6 | 0.0027 | 0.69 | |
| 2015 | 4 | 0.012 | 0.03 |
| Model | Slope (a) | Slope p-Value |
|---|---|---|
| Kh0 = aKE + b | −1.602 × 10−7 | 0.31 |
| α = akE + b | 1.135 × 10−6 | 0.46 |
| ρb = aKE + b | 1.302 × 10−5 | 0.13 |
| θs = aKE + b | −7.329 × 10−6 | 0.11 |
© 2019 by the authors. Licensee MDPI, Basel, Switzerland. This article is an open access article distributed under the terms and conditions of the Creative Commons Attribution (CC BY) license (http://creativecommons.org/licenses/by/4.0/).
Share and Cite
Zumr, D.; Jeřábek, J.; Klípa, V.; Dohnal, M.; Sněhota, M. Estimates of Tillage and Rainfall Effects on Unsaturated Hydraulic Conductivity in a Small Central European Agricultural Catchment. Water 2019, 11, 740. https://doi.org/10.3390/w11040740
Zumr D, Jeřábek J, Klípa V, Dohnal M, Sněhota M. Estimates of Tillage and Rainfall Effects on Unsaturated Hydraulic Conductivity in a Small Central European Agricultural Catchment. Water. 2019; 11(4):740. https://doi.org/10.3390/w11040740
Chicago/Turabian StyleZumr, David, Jakub Jeřábek, Vladimír Klípa, Michal Dohnal, and Michal Sněhota. 2019. "Estimates of Tillage and Rainfall Effects on Unsaturated Hydraulic Conductivity in a Small Central European Agricultural Catchment" Water 11, no. 4: 740. https://doi.org/10.3390/w11040740
APA StyleZumr, D., Jeřábek, J., Klípa, V., Dohnal, M., & Sněhota, M. (2019). Estimates of Tillage and Rainfall Effects on Unsaturated Hydraulic Conductivity in a Small Central European Agricultural Catchment. Water, 11(4), 740. https://doi.org/10.3390/w11040740

