Evaporation and Soil Surface Resistance of the Water Storage Pit Irrigation Trees in the Loess Plateau
Abstract
1. Introduction
2. Materials and Methods
2.1. Experimental Site Description
2.2. Experimental Design
2.3. Experimental Methods
2.4. Energy-Balance Equation
2.5. Evaluation of Model Performance
3. Model Construction
3.1. Pit Irrigation Coefficient
3.2. Latent Heat Flux under the Effect
3.3. Comparison of Two Types of Soil Surface Resistance under WSPI
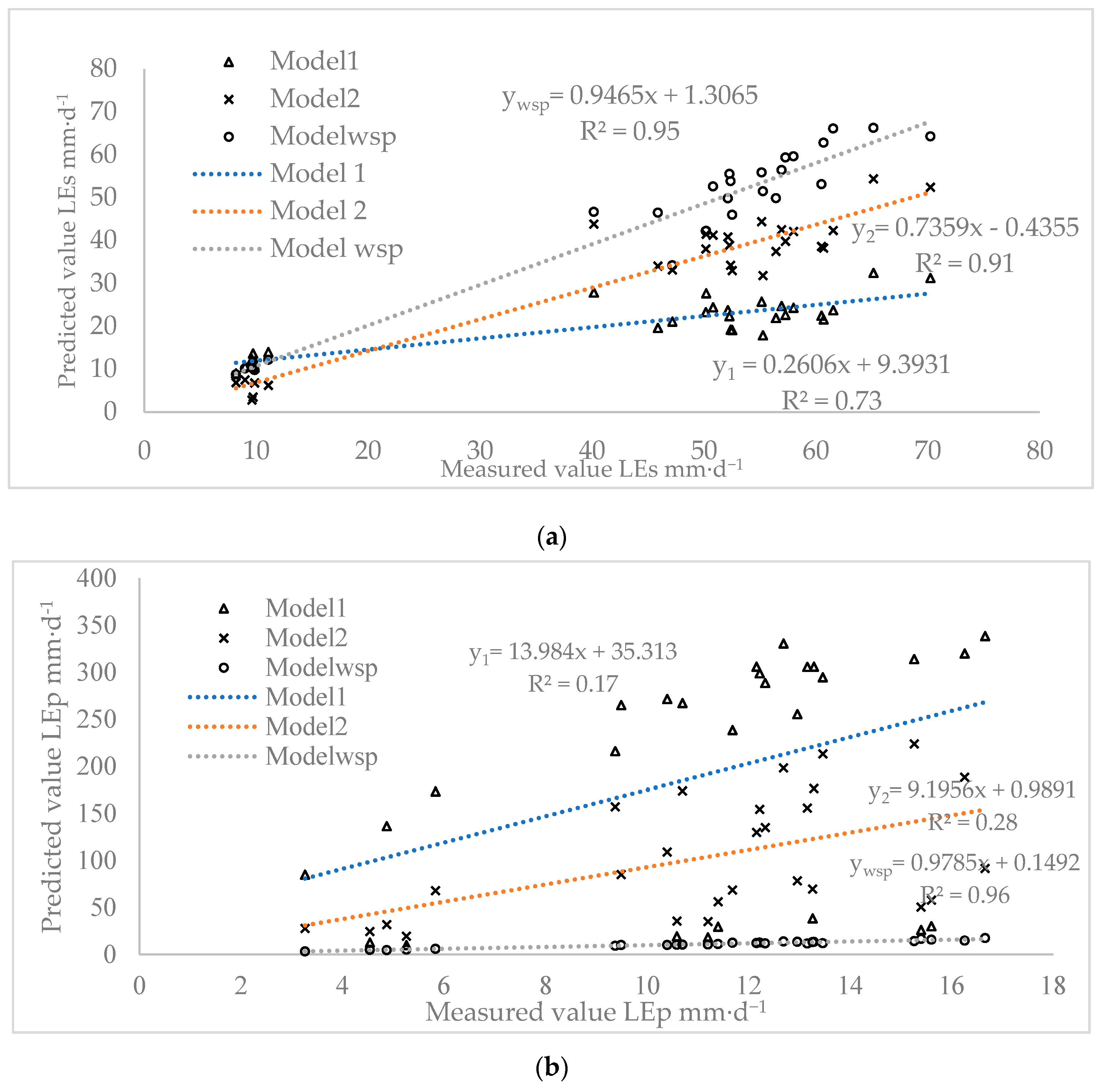
3.4. Verification of the Model
4. Discussion
4.1. Comparison of Different Soil Resistance Models under WSPI
4.2. Effects of Three Experimental Treatments on Soil Evaporation under WSPI
5. Conclusions
Author Contributions
Acknowledgments
Conflicts of Interest
References
- Wilcox, B.P.; Breshears, D.D.; Seyfried, M.S. Water Balance on Rangelands; Encyclopedia of Water Science: New York, NY, USA, 2003; pp. 791–794. [Google Scholar]
- Kool, D.; Ben-Gal, A.; Agam, N.; Šimůnek, J.; Heitman, J.L.; Sauer, T.J.; Lazarovitch, N. Spatial and diurnal below canopy evaporation in a desert vineyard: Measurements and modeling. Water Resour. Res. 2014, 50, 7035–7049. [Google Scholar] [CrossRef]
- Ding, R.S.; Kang, S.Z.; Zhang, Y.Q.; Hao, X.M.; Tong, L.; Du, T.S. Partitioning evapotranspiration into soil evaporation and transpiration using a modified dual crop coefficient model in irrigated maize field with ground-mulching. Agric. Water Manag. 2013, 127, 85–96. [Google Scholar] [CrossRef]
- Sun, X.H. Effect of Water Storage Pit Irrigation on Soil and Water Conservation; Tsinghua University Press: Beijing, China, 2002; pp. 367–369. [Google Scholar]
- Zhao, Y.G.; Ma, J.J.; Sun, X.H.; Guo, X.H. Spatial Distribution of Soil Moisture and Fine Roots of Apple Trees under Water Storage Pit Irrigation. J. Irrig. Drain Eng. 2014, 140, 06013001. [Google Scholar] [CrossRef]
- Guo, X.H. Research on Water Transport in SPAC System of Orchard under Water Storage Pit Irrigation. Ph.D. Thesis, Taiyuan University of Technology, Taiyuan, China, 2010. (In Chinese). [Google Scholar]
- Guo, X.H.; Sun, X.H.; Ma, J.J. Numerical simulation of three dimensional soil water content distribution in water storage pit irrigation. Fresenius Environ. Bull. 2018, 27, 7390–7400. [Google Scholar]
- Van de Griend, A.A. Bare soil surface resistance to evaporation by vapor diffusion under semiarid conditions. Water Resour. Res. 1994, 30, 181–188. [Google Scholar] [CrossRef]
- Zhang, B.Z.; Kang, S.Z.; Li, F.S.; Zhang, L. Comparison of three evapotranspiration models to Bowen ratio-energy balance method for a vineyard in an arid desert region of northwest China. Agric. For. Meteorol. 2008, 148, 1629–1640. [Google Scholar] [CrossRef]
- Slatyer, R.O.; Mcllroy, I.C. Practical Microclimatology. Plant Ind. Div. Canberra 1961, 328, 310. [Google Scholar]
- Monteith, J.L. Evaporation and Environment. Symp. Soc. Exp. Biol. 1965, 19, 205–234. [Google Scholar]
- Fuchs, M.; Tanner, C.B. Evaporation from a Drying Soil. J. Appl. Meteorol. 1967, 6, 852–857. [Google Scholar] [CrossRef]
- Sun, S.F. Moisture and Heat Transport in a Soil Layer Forced by Atmospheric Conditions. Master’s Thesis, University of Connecticut, Storrs, CT, USA, 1982. [Google Scholar]
- Yang, B.; Wang, P.Y.; You, D.B.; Liu, W.J. Coupling evapotranspiration partitioning with root water uptake to identify the water consumption characteristics of winter wheat: A case study in the North China Plain. Agric. For. Meteorol. 2018, 259, 296–304. [Google Scholar] [CrossRef]
- Camillo, P.J.; Gurney, R.J. A resistance parameter for bare soil evaporation model. Soil Sci. 1986, 141, 95–106. [Google Scholar] [CrossRef]
- Li, Y.; Kustasb, W.P.; Huanga, C.; Kool, D.; Haghighi, E. Evaluation of soil resistance formulations for estimates of sensible heat flux in a desert vineyard. Agric. For. Meteorol. 2018, 260–261, 255–261. [Google Scholar] [CrossRef]
- Anadranistakisa, M.; Liakatasb, A.; Kerkidesb, P.; Rizosb, S.; Gavanosisb, J.; Poulovassilisb, A. Crop water requirements model tested for crops grown in Green. Agric. Water Manag. 2000, 45, 297–316. [Google Scholar] [CrossRef]
- Park, H.T.; Hattori, S.; Tanaka, T. Development of a numerical model for evaluating the effect of litter layer on evaporation. J. For. Res. JPN 1998, 3, 25–33. [Google Scholar] [CrossRef]
- Qiu, Y.; Xie, Z.; Wang, Y.; Ren, J.; Malhi, S.S. Influence of gravel mulch stratum thickness and gravel grain size on evaporation resistance. J. Hydrol. 2014, 519, 1908–1913. [Google Scholar] [CrossRef]
- Li, Y.; Liu, H.J.; Huang, G.H. Modeling resistance of soil evaporation and soil evaporation under straw mulching. J. Irrig. Drain. Eng. 2015, 1, 98–106. [Google Scholar]
- Haghighi, E.; Or, D. Interactions of bluff-body obstacles with turbulent airflows affecting evaporative fluxes from porous surface. J. Hydrol. 2015, 530, 103–116. [Google Scholar] [CrossRef]
- Haghighi, E.; Or, D. Thermal signatures of turbulent airflows interacting with evaporating thin porous surfaces. Int. J. Heat Mass Transf. 2015, 87, 429–446. [Google Scholar] [CrossRef]
- Poblete-Echeverría, C.; Sepúlveda-Reyes, D.; Ortega-Farías, S. Effect of height and time lag on the estimation of sensible heat flux over a drip-irrigated vineyard using the surface renewal (SR) method across distinct phenological stages. Agric. Water Manag. 2014, 141, 74–83. [Google Scholar] [CrossRef]
- Liu, X.Y.; Xu, J.Z.; Yang, S.H.; Zhang, J.G. Rice evapotranspiration at the field and canopy scales under water-saving irrigation. Meteorol. Atmos. Phys. 2018, 130, 227–240. [Google Scholar] [CrossRef]
- Weng, Q.H.; Firozjaei, M.K.; Kiavarz, M.; Alavipanah, S.K. Normalizing land surface temperature for environmental parameters in mountainous and urban areas of a cold semi-arid climate. Sci. Total Environ. 2019, 650, 515–529. [Google Scholar] [CrossRef]
- Merlin, O.; Chehbouni, A. Different approaches in estimating heat flux using dual angle observations of radiative surface temperature. Int. J. Remote Sens. 2004, 25, 275–289. [Google Scholar] [CrossRef]
- Li, S.; Kang, S.Z.; Zhang, L.; Ortega-Farias, S.; Li, F.S.; Du, T.S.; Tong, L.; Wang, S.F.; Ingman, M.; Guo, W.H. Measuring and modeling maize evapotranspiration under plastic film-mulching condition. J. Hydrol. 2013, 503, 153–168. [Google Scholar] [CrossRef]
- Stannard, D.I. Comparison of Penman–Monteith, Shuttleworth-Wallace, and modified Priestley Taylor evapotranspiration models for wildland vegetation in semiarid rangeland. Water Resour. Res. 1993, 29, 1379–1392. [Google Scholar] [CrossRef]
- Mo, X.; Liu, S.; Lin, Z.; Zhao, W. Simulating temporal and spatial variation of evapotranspiration over the Lushi basin. J. Hydrol. 2004, 285, 125–142. [Google Scholar] [CrossRef]
- Zhou, M.C.; Ishidaira, H.; Hapuarachchi, H.P.; Magome, J.; Kiem, A.S.; Takeuchi, K. Estimating potential evapotranspiration using Shuttleworth–Wallace model and NOAA-AVHRR NDVI data to feed a distributed hydrological model over the Mekong River basin. J. Hydrol. 2006, 327, 151–173. [Google Scholar] [CrossRef]
- Van Bavel, C.H.M.; Hillel, D.I. Calculating potential and actual evaporation from a bare soil surface by simulation of concurrent flow of water and heat. J. Agric. Meteorol. 1976, 17, 453–476. [Google Scholar] [CrossRef]








| Depth (cm) | Field Capacity (cm3·cm−3) | Saturated Water Content (cm3·cm−3) | Soil Bulk Density (g·cm−3) | Soil Texture |
|---|---|---|---|---|
| 0–30 | 0.3 | 0.51 | 1.49 | sandy loam |
| 30–70 | 0.28 | 0.52 | 1.44 | sandy loam |
| 70–120 | 0.29 | 0.44 | 1.50 | sandy loam |
| 120–170 | 0.32 | 0.5 | 1.51 | Loam |
| 170–200 | 0.3 | 0.52 | 1.45 | Loam |
| Growth Season | Irrigation Dates | Treatments | ||
|---|---|---|---|---|
| WSPI 1 | WSPI 2 | WSPI 3 | ||
| germination stage | 05.04 | 320 | 320 | 320 |
| branch shooting stage | 05.15 | 320 | ||
| 05.28 | 320 | 320 | ||
| 06.12 | 320 | |||
| 06.23 | 320 | 320 | ||
| 07.02 | 320 | |||
| fruit expanding stage | 07.28 | 320 | 320 | |
| 08.23 | 320 | 320 | ||
| 09.12 | 320 | 320 | ||
| Total irrigation amount | 960 | 1600 | 2560 | |
| RMSE | 6.58 | 1.00 | 7.98 |
| NSE | 0.93 | 0.92 | 0.81 |
| Dependent Variable | Independent Variable | Standardized Regression Coefficients | t Statistical Value | Probability Value | Partial Correlation Coefficient | F Statistical Value | Significant of F | Multiple Correlation Coefficient |
|---|---|---|---|---|---|---|---|---|
| (Constant) | 14.505 | <0.001 | 127.237 | <0.001 | 0.833 | |||
| −0.825 | −11.931 | <0.001 | −0.858 | |||||
| 0.143 | 2.072 | 0.043 | 0.279 | |||||
| (Constant) | −6.741 | <0.001 | 148.458 | <0.001 | 0.899 | |||
| 0.763 | 14.028 | <0.001 | 0.893 | |||||
| −0.259 | −4.743 | <0.001 | −0.557 | |||||
| 0.146 | 3.241 | 0.002 | 0.417 |
| Model | Source |
|---|---|
| Camillo [15] | |
| Zhang et al. [16,17] | |
| This study |
© 2019 by the authors. Licensee MDPI, Basel, Switzerland. This article is an open access article distributed under the terms and conditions of the Creative Commons Attribution (CC BY) license (http://creativecommons.org/licenses/by/4.0/).
Share and Cite
Meng, W.; Sun, X.; Ma, J.; Guo, X.; Zheng, L. Evaporation and Soil Surface Resistance of the Water Storage Pit Irrigation Trees in the Loess Plateau. Water 2019, 11, 648. https://doi.org/10.3390/w11040648
Meng W, Sun X, Ma J, Guo X, Zheng L. Evaporation and Soil Surface Resistance of the Water Storage Pit Irrigation Trees in the Loess Plateau. Water. 2019; 11(4):648. https://doi.org/10.3390/w11040648
Chicago/Turabian StyleMeng, Wei, Xihuan Sun, Juanjuan Ma, Xianghong Guo, and Lijian Zheng. 2019. "Evaporation and Soil Surface Resistance of the Water Storage Pit Irrigation Trees in the Loess Plateau" Water 11, no. 4: 648. https://doi.org/10.3390/w11040648
APA StyleMeng, W., Sun, X., Ma, J., Guo, X., & Zheng, L. (2019). Evaporation and Soil Surface Resistance of the Water Storage Pit Irrigation Trees in the Loess Plateau. Water, 11(4), 648. https://doi.org/10.3390/w11040648
