Abstract
Purification of leachates is currently a big challenge due to their high variability in composition and amount. The complexity of the medium, namely leachates, makes new solutions highly sought after and finds the existing ones in need of optimization. The effects of ultrasound pretreatment (20 kHz, 12 µm) on biological treatment of landfill leachates in the form of processes carried out in two sequencing batch reactors were investigated. The experiment was divided into two stages. In the first stage, leachate was treated by an ultrasonic field at different sonication times (0.5, 1, 3, 5, 10 and 15 min). Next, leachates with and without conditioning were combined with municipal wastewater in the following ratios: 5, 10, 15 and 25% v/v. For optimal processing time (3 min), 16% removal of COD was achieved. In turn, the BOD5/COD ratio was 0.3, which is higher by approximately 270% than that of the non-conditioned sample. Further elongation of sonication time did not significantly affect both parameters. Also, pretreatment of leachate resulted in a maximum increase noted in the study of specific oxygen uptake rate and dehydrogenase activity of approximately 21 and 2 times compared to the non-conditioned sample. The implementation of a pretreatment step prior to the biological treatment was shown to result in higher pollutant removal efficiency. Depending on the share of leachates in the mixture, the removal enhancements of BOD, COD, and ammonium nitrogen for conditioned samples ranged from 6–48.5%, 4–48% and 11–42%, respectively. Furthermore, pretreatment of leachate allows for an increased (by up to 20%) share of leachate volume in the influent stream entering the reactor, while maintaining the quality of effluents in accordance with national regulation requirements. However, in scenarios without pretreatment, the leachate ratio cannot exceed 5% of the total wastewater due to poor quality of the effluents. The operational cost of ultrasound pretreatment of leachate was 22.58 €/(m3·g removed COD).
1. Introduction
The generation of landfill leachate poses a serious environmental problem associated with the disposal of municipal solid waste. Many factors determine their composition and amount, some of them being: (a) the type and amount of waste deposited and the degree of their grinding; (b) climate conditions; (c) age of the landfill; (d) storing technology, and therefore the degree of waste compaction as well as the method of sealing the landfill; (e) humidity of waste; (f) volume of precipitation infiltrating through the bed; (g) geomorphology and topography of the area where the landfill is located; (h) the lifetime of the landfill and (i) reclamation and the type of vegetation covering the top of the landfill after its shutdown [1,2,3,4].
Difficulties with its treatment derive from high concentrations of toxic pollutants (e.g., ammonia, heavy metals), refractory compounds as well as seasonal variation in the composition, and amount of leachate [5,6]. In spite of this, there are several known methods of leachate treatment that incorporate various physical, chemical, and biological processes [7]. Leachate treatment methods can be grouped based on the nature of the incorporated processes, as conventional and advanced treatments, as done by [5]. The main conventional landfill leachate treatments include: (a) biodegradation (via aerobic and/or anaerobic processes); (b) chemical and physical methods such as: adsorption, sedimentation/flotation, coagulation/flocculation, coagulation, chemical precipitation, chemical oxidation as well as air stripping; (c) co-treatment of leachate with other wastewaters for example from municipal wastewater treatment plants (the classification of leachate treatment methods is shown in Figure 1). However, technologies based on advanced oxidation processes (AOPs) as well as membrane technologies as well are regarded as potential alternatives for leachate treatment (advanced treatments) [5,8]. Leachate composition and properties, mainly physicochemical characteristics and age (see Table 1), are the basis for the appropriate selection of the method of treatment [5,7,9]. A high ratio of 5-day biochemical oxygen demand to chemical oxygen demand (BOD5/COD ratio) characterizing the young leachate makes it susceptible to effective treatment via biological methods, which are otherwise ineffective, especially when the aforementioned ratio is below 0.1, which is typical for mature or stabilized landfill leachates [10,11]. Treatment of the latter requires either to make biological treatment a viable option by increasing their susceptibility to biodegradation via application of pretreatment methods or the use of alternative treatment processes [9].
Figure 1.
Classification of leachate treatment methods, based on [3,4].
Table 1.
Characteristics of leachate depending on its age [12].
Co-treatment of landfill leachate with readily biodegradable wastewater (for example, municipal wastewater) seems a promising approach, thanks to low operating cost and easy maintenance. So far, this solution has been successfully used for the treatment of young and intermediate leachates (mostly at a volumetric ratio of up to 10%) [5,13,14]. However, this approach poses a risk of disrupting the operation of biological reactors and is the main argument against the application of this solution. However, the introduction of leachate to a biological reactor may result in the inhibition of the activated sludge treatment process and consequently lead to reduced treatment efficiency and increased pollutant concentration in the effluent due to a high content of non-biodegradable organics and inorganics as well as toxic compounds [5,10,15]. Even though these reasons make pre-treatment of leachate prior to its joint biological treatment with municipal wastewater an appealing approach, there are very limited publications on this subject and its implementation. Furthermore, very few systematic studies are available for mature leachate [5,16,17,18]. For instance, Wang et al. [16] demonstrated that using a combination of coagulation, Fenton oxidation and biological aerated filter process COD may be reduced to 75 mg/L. Gu et al. [18] evaluated the feasibility of a mature leachate treatment consisting of a combination of physicochemical (air stripping, Fenton, coagulation) and biological processes (sequencing batch reactor—SBR). The authors found that the solution was an attractive alternative when dealing with high-strength wastewater, allowing for an over 95% removal of COD, BOD5 and ammonium nitrogen. However, there is no information regarding how pre-treatment of mature leachate with an ultrasound field affects its biological treatment. Ultrasonication is a promising technique for wastewater treatment due to the following: (1) Improvement in biodegradability of recalcitrant organic pollutants (especially important in the case of mature leachate); (2) technology flexibility (possibility of ultrasound process application prior or post treatment); (3) does not require use of chemical reagents such as ozone and/or hydrogen peroxide, because degradation of pollutants may occur through thermal decomposition and/or as a result of chemical reactions with free radicals (H•, OH•) generated inside cavitation bubbles; (4) unlike other methods, it does not increase the turbidity nor the content of suspension in the effluent; and (5) finally, it often results in higher COD removal efficiency compared to other AOPs methods [19,20,21,22,23]. Despite successful use for different purposes such as: water treatment, industrial wastewater treatment and sludge treatment, information on the possibilities of applying ultrasound to enhance effectiveness of leachate treatment are scarce in literature.
Based on the information referenced above, the following hypothesis was formulated: (1) application of ultrasounds can be useful in order to increase biodegradability of mature landfill leachate and decomposition of recalcitrant organic pollutants; (2) pretreatment of mature landfill leachate creates the possibility of achieving a highly efficient co-treatment of mature leachate with raw domestic wastewater at the biological treatment stage at wastewater treatment plants.
Given this hypothesis, the aim of this investigation was to determine the effects of low energy ultrasound irradiation on sequencing batch reactor (SBR) treatment of landfill leachate. The effect of the volume ratio of leachate (with and without pre-treatment) on the removal efficiency of ammonium nitrogen, COD, and BOD5 was also evaluated in this paper. Additionally, special attention was paid to the influence of pre-treatment methods on the condition of activated sludge by assessing the impact of the volume ratio of leachate (with and without pre-treatment) on dehydrogenase activity (DHA) as well as respiratory activity of the activated sludge, which was estimated based on specific oxygen uptake rate (SOUR).
2. Materials and Methods
2.1. Materials
Leachate for all experiments was obtained from a sanitary landfill site in southern Poland (Silesian Region) (50.73413390′ N, 19.0790069′ E). Raw domestic wastewater as well as activated sludge (for biochemical tests) were collected from a municipal wastewater treatment plant (WWTP), with a treatment capacity of 314,835 population equivalent (PE) and an average wastewater flow rate of 90,000 m3/day (50.82011′ N, 19.1547′ E).
Composition of leachate is shown in Table 2. Taking into account the high pH values (>8.1) as well as high concentration of ammonium ions and low BOD5/COD ratio (0.11), the leachate can be classified as stabilized/mature [5,24,25].
Table 2.
Characteristic of wastewater used in this study.
2.2. Experimental Procedure
The experiment was divided into two stages. In the first stage, the optimum time taken for the solubilization of organic matter in the leachate samples was investigated using the UD VCX 1500 disintegrator with a field frequency of 20 kHz and an amplitude of 12 µm. The amplitude of the ultrasonic field was selected based on results from the authors’ previous research [26]. Additionally, in order to determine the toxicity of landfill leachates on the activated sludge microorganisms, dehydrogenase activity (DHA) as well as respiratory activity of the activated sludge was measured. For the purposes mentioned above, the sample (activated sludge collected from the WWTP) was prepared by executing the following steps: (1) washing/flushing with tap water; (2) removal of thicker slurry, (3) 24 h aeration using air, after which, the sample underwent biochemical tests. The trials were performed for activated sludge without leachate (reference sample (RS)—the leachate addition impact on the investigated indicators has been evaluated in relation to the results obtained for this sample—percentage increment) as well as mixtures of activated sludge with leachate (with and without pretreatment). The volumetric ratio of leachate in the mixtures varied from 5% to 25% (v/v). The percentage increment of dehydrogenase activity (ΔDHA) as well as respiratory activity of the activated sludge (based on SOUR) was calculated using the following equation:
The optimal conditioning time was selected based on the values of the COD, BOD5/COD ratio as well as results of biochemical activity tests performed for the activated sludge. In the second stage, two identical laboratory-scale sequencing batch reactors (SBRs) with a working volume of 3 L were used for the examination of leachate ultrasound pretreatment on biological treatment efficiency. Both reactors were operated at room temperature (18–20 °C) and each SBR cycle consisted of the following phases: aerobic fill (2 h), aerobic react (19 h), anoxic react (2 h), settle and draw (1 h). The SBR systems were operated at feeding condition of a leachate dilution of up to 45% by volume with raw domestic wastewater and sludge concentration of 4 g/L. The addition of leachate was gradually increased from 5% to 45%. The control reactor (SBR1) was fed non-conditioned leachate, while the second reactor (SBR2) was fed with ultrasonically pretreated leachate samples. The reactors were operating at ambient temperature. Samples were withdrawn from the reactor at the beginning and at the end of each cycle for analysis. The scheme of the experiment is shown in Figure 2. In both stages, three replicates were run for each tested combination.
Figure 2.
Experimental set-up and operational modes of the SBR; where: 1—air pomp, 2—magnetic stirrer, 3—SBR.
2.3. Sample Analyses
In the study, the following parameters were investigated: chemical oxygen demand (COD) (Hach chemical method, spectrophotometer Hach DR/4000, Loveland, CO, USA), pH value (pH meter Cole Parmer Model No. 59002-00, Bunker Court Vernon Hills , IL, USA), Kjeldahl nitrogen (TKN) (steam distillation using BÜCHI K-355 after mineralization of sample by digestion unit K-435, BÜCHI, Flawil, Switzerland), chloride (argentometric method), alkalinity(pH meter Cole Parmer Model No. 59002-00, Bunker Court Vernon Hills , IL, USA), total suspended solids (TSS) (measured by oven-drying at 105 °C using drying ovens SL115, POL-EKO, Wodzislaw Slaski, Poland), ammonium nitrogen (N-NH4+) (steam distillation, BÜCHI K-355, Flawil, Switzerland), nitrate (NO3−), nitrite (NO2−) (both forms of nitrogen measured by Hach chemical method, spectrophotometer Hach DR/4000, Loveland, CO, USA), phosphates (PO43−) (ascorbic acid method, spectrophotometer Hach DR/4000, Loveland, CO, USA), phosphate total (also measured by ascorbic acid method, but after mineralization of sample by digestion unit K-435, BÜCHI, Flawil, Switzerland), 5-day biochemical oxygen demand (BOD5) (respirometric method, System OxiTop® Control, WTW, Weilheim, Germany). Additionally, in the case of COD (CODtot.), its composition in leachate samples was size-fractioned into the following fractions: suspended fractions (CODsups.) (>4.4 μm); dissolved fractions (CODdis.) (<0.45 μm) and colloid fractions (CODcol.) based on the molecular weight distribution during filtration through a membrane filter. The last fraction was calculated, as proposed by [24], using the following equation:
CODcol. = CODtot. − CODsusp. − CODdis.
All of the mentioned analyses were performed according to the APHA Standard Methods for the Examination of Water and Wastewater [27]). The respiratory activity of the activated sludge was determined based on the specific oxygen uptake rate (SOUR). This measurement was performed according to the US. Environmental Protection Agency method (EPA 1863) [28] The TTC test was used to determine the enzymatic activity (DHA) of the activated sludge. The measurement of DHA was performed in accordance with [29]. All of the above mentioned measurements were done in triplicate.
Additionally, for the best pretreatment conditions, input energies were calculated, as proposed by [30] using the following equations:
where: P—device power energy, W; t—duration of pretreatment, s; V—effective volume, L; COD—COD removed, g/L.
Based on this result and average price of electric energy in Poland (0.23 €/kWh), the cost of ultrasonic pretreatment was calculated. The statistical analyses of the obtained results were carried out using STATISTICA software (STATISTICA 12 PL, StatSoft Poland Ltd., Cracow, Poland). One-way analysis of variance (ANOVA) was used to determine the main effect of ultrasound sonication time on selected parameters, such as COD fractions, pH and BOD5/COD. In the case of biochemical test as well as biological treatment, factorial ANOVA was performed. Assumption for variances in the form of its homogeneity was checked by Levene test. The data that failed ANOVA assumptions were analyzed via the Kruskal–Wallis test. For statistically significant data, Tuckey’s HSD test was performed. The statistical estimation was done with at least three replications for each combination of nominal variables.
3. Results and Discussion
3.1. First Stage
The samples were conditioned in 30 research series (30 combinations, see Figure 2). In order to avoid erroneous reasoning due to varying reference levels in an individual research series, the results for the reference samples were subjected to statistical analysis. The one-way analysis of variance showed that there are no significant statistical differences between the values of the analyzed indicators for control samples in individual research series (p-value higher than 0.05).
Generally, as depicted in Figure 3 and Table 3, the BOD5/COD ratio increased with the gradual increase of sonication time. However, for the first of the tested sonication times, this ratio was insignificantly higher than for the non-conditioned sample and ranged from 0.14 to 0.18. Extending the sonication time to 3 min caused an increment of this parameter by approximately 273% (from 0.11 to 0.3—thereby the ratio was in the range considered favorable for biological treatment [31]. However, further extension of the ultrasound sonication time did not have a statistically significant effect on the value of BOD5/COD. The BOD5 had a similar varying tendency to the BOD5/COD ratio (Figure 3A). As shown in the extended review written by Renou et al. [5], the positive impact of advanced oxidation processes (AOPs) on BOD5/COD ratio has been reported in many studies. For example, Chou, et al. [32] reported that the BOD5/COD ratio increased with elongation of microwave oxidation time from 0.05 for the control sample to 0.12 for the longest time, which was investigated by these authors. Moreover, Lopez et al. [33] observed an increase of this ratio from 0.2 (the initial value) up to 0.5, after pretreating the leachate using the Fenton process. Cortez at al. [34] noted the increase of this ratio from 0.01 to 0.17 after the O3/H2O2 process. Hu et al. [35] also observed an increase of the 5-day biochemical oxygen demand (BOD5) to COD ratio from 0.17 to 0.60, when Fenton reagent, UV–Fenton or UV–H2O2, were used to treat mature landfill leachate. In turn, de Morais, and Zamora [36] noted that the use of 0,010 g/L of Fe2+ and 2 g/L of H2O2 for the photo-Fenton system, and 3 g/L of H2O2 for the H2O2/UV system also improved the biodegradability of mature landfill leachates (BOD5/COD ratio increased from 0.13 to 0.37 and 0.42, respectively).
Figure 3.
Impact of sonication time on (A) BOD5, (B) BOD5/COD, (C) pH (graphs with results of statistical analyses—one-way ANOVA).
Table 3.
Results of Tukey HSD test for BOD5; BOD5/COD and pH—impact of sonication time on the indicated parameters (cells marked with stars and same letters in the table are not significantly different according to the carried out Tukey test (p > 0.05).
The obtained results (Figure 4 and Table 4) also showed that pretreatment had the slightest impact on COD composition. However, a statistically significant effect was noted only for the CODsusp. and CODcol. concentrations. Both indicators decreased with the increase of sonication time. The lowest average for both fractions of COD were obtained for the sonication time of 3, 5 and 10 min (lack significantly difference between samples—see Table 4). An opposite trend was observed for pH, which decreased along with the elongation of the sonication time. In comparison to the results obtained for the control sample, the longest sonication time resulted in a pH value decrease of 22% (from 8.3 to 6.4) (Figure 3C and Table 3).
Figure 4.
Impact of sonication time on the COD profile (graph with results of statistical analyses—one-way ANOVA).
Table 4.
Results of Tukey HSD test for CODsusp; CODcol (cells marked with stars and same letters in the table are not significantly different according to the carried out Tukey test, (p > 0.05)).
Biological oxidation of organic compounds by activated sludge bacteria is carried out mainly by using enzymes of the reductases type belonging to dehydrogenases. Determination of the activity of these enzymes and the rate of oxygen consumption is one of the most important elements in the determination of the physiological state of microorganisms during aerobic biochemical transformations [37]. Results of the biochemical tests (presented as ΔSOUR, ΔDHA) are shown in Figure 5 and Figure 6. The values of both parameters strongly depended on the share of leachates in the mixtures, regardless of the method of preparing the leachate (with (AS + US/L) or without pretreatment (AS + L)). For both parameters, the highest values were observed for samples containing 10–15% of leachate. For activated sludge with non-conditioned leachate, the average SOUR was approximately 22.1 mgO2/g·h and thus was about 252% higher than the values noted for the reference sample (an average for 30 samples: 6.2 8± 0.43 mgO2/g·h). It is worth emphasizing that SOUR of the reference sample (activated sludge alone) was in the preferred ranges of operating parameters for conventional activated sludge (CAS), which indicates that the condition of activated sludge was good [38]. After increasing the share of leachate in the mixture, the percentage increment of SOUR (ΔSOUR) in comparison to the reference sample decreased below 120%, while for the highest volumetric ratio of leachate to wastewater, it did not exceed 12%. A similar trend was observed for activated sludge with pretreated leachate. However, the obtained values were significantly higher than those achieved for activated sludge with non-conditioned leachate. Significant differences in SOUR occurred in the mixtures containing 20% and 25% of leachate, which was sonicated for 5 min, 10 min and 15 min. In the case of these samples, the percentage increment of SOUR values fluctuated in the range from 150.68% to 191.08% and from 19.89% to 52.34%, respectively.
Figure 5.
Variation of ΔSOUR at different volumetric ratios of leachate in the mixture and sonication time of: (A) 0.5 min; (B) 1 min; (C) 3 min; (D) 5 min; (E) 10 min; (F) 15 min (vertical bars denote +/− standard errors; AS + L—Activated sludge + leachate without pretreatment; AS + US/L—Activated sludge + leachate with pretreatment).
Figure 6.
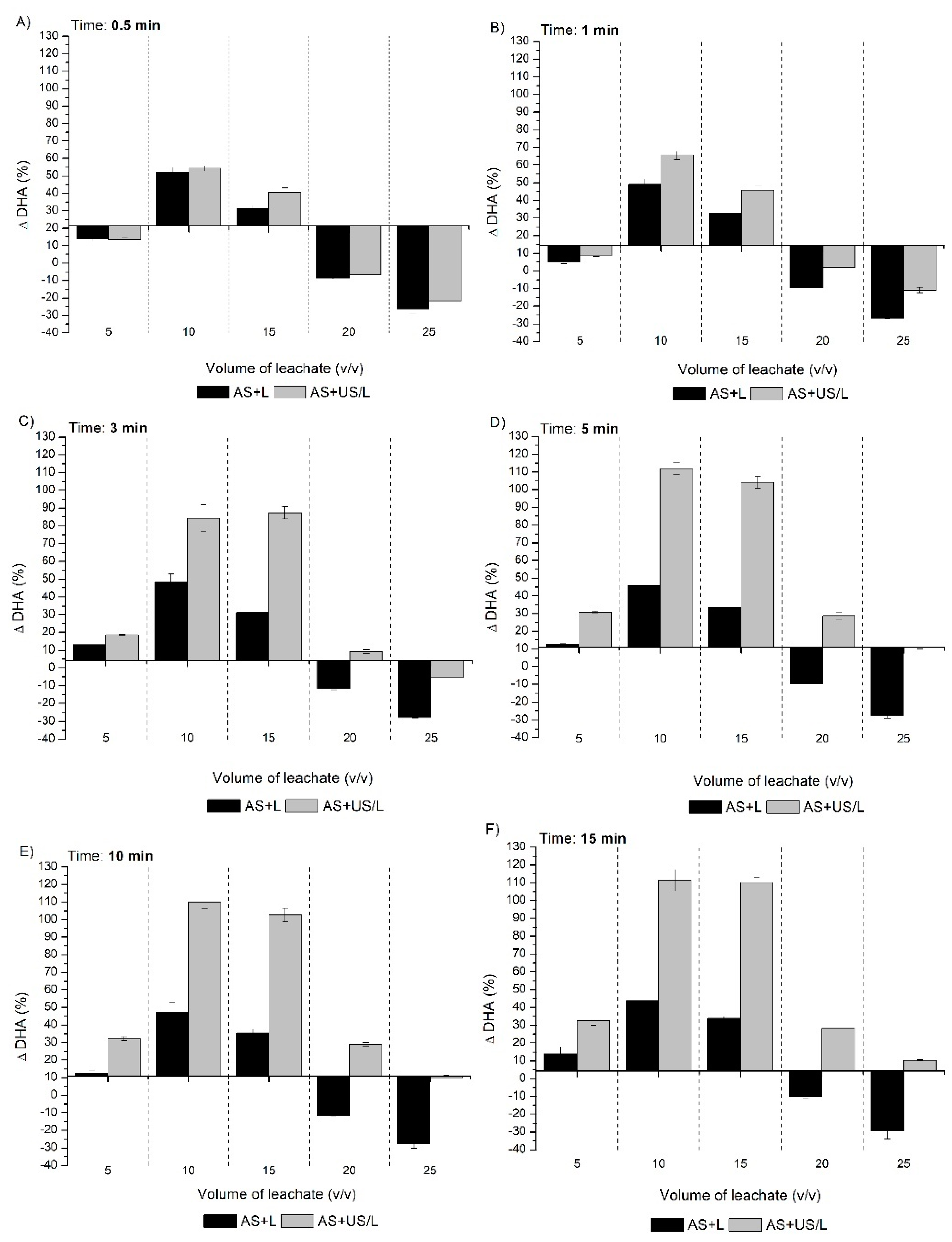
Variation of ΔDHA activity at different volumetric ratios of leachate in the mixture and sonication time of: (A) 0.5 min; (B) 1 min; (C) 3 min; (D) 5 min; (E) 10 min; (F) 15 min (vertical bars denote +/− standard errors; AS + L—Activated sludge + leachate without pretreatment; AS + US/L—Activated sludge + leachate with pretreatment).
Similar trends like in the case of SOUR were observed for the DHA activity. With prolongation of sonication time, the difference in DHA values between samples increased (with and without pretreatment). The highest percentage increment of dehydrogenase activity (approx. 110% in comparison to the reference sample) was observed for the samples containing 10% and 15% of leachate in the mixture at an ultrasound field exposure duration of above five min. These values were significantly higher than those obtained for the reference sample, as well as activated sludge with non-conditioned leachate. However, as shown in Figure 5, the addition of leachate to the activated sludge (trials A + L) higher than 15% (v/v) inhibits the activities of microorganisms responsible for the degradation and subsequently reduces the SOUR of microorganisms. For this reason, leachate without conditioning showed lower DHA activity in comparison to the reference sample. It should be emphasized that for the trials for activated sludge with conditioned leachate (AS + US/L), a similar trend as above was observed only for trials with addition of leachate higher than 20% and sonication time lower than three min. This proves the positive effect of conditioning on activated sludge.
Factorial ANOVA for ΔSOUR as well as ΔDHA was performed for the following categorical predictors (factors): pretreatment, volume of leachate, and sonication time. In both cases, the obtained results confirmed the above observations, namely that the volumetric ratio of leachate in the mixture had the greatest impact on the values of both biochemical indicators (F = 2110 and F = 7524 for the oxygen consumption rate and DHA activity, respectively, for all p < 0.05), while the method of leachate preparation (factor: pretreatment) affects them to a much lesser extent (F = 590 and F = 6983 for rate of oxygen consumption and DHA activity, respectively for all p < 0.05). In turn, sonication time had the least effect on the analyzed parameters of biochemical tests. Additionally, as shown in Table 5 and Table 6, for the analyzed parameters, an interaction between the categorical predictors was noted.
Table 5.
Results of factorial ANOVA for ΔSOUR (*—interaction between factors).
Table 6.
Results of factorial ANOVA for ΔDHA activity ΔSOUR (*—interaction between factors).
Based on the obtained results as well as the results of the Tukey HSD test (Tables S1 and S2 in Supplementary Materials), sonication time equal to three min was selected for further studies.
It is difficult to compare specific energy consumption and operational cost of the proposed solution with other comparable studies, because information on ultrasound pretreatment of landfilling leachate are scarce in the literature. For this reason, the cost of the process can be assessed only in relation to data for other pretreatment methods or combinations of ultrasounds with other AOPs processes. As shown in Table 7, the operational cost of pretreatment methods varies greatly (range of 4.26 to 726). The operational cost of 22.58 €/(m3·g removed COD) obtained in this study is significantly lower than those found in the literature. Among methods summarized in Table 7, in comparison to the result of the study, only the hybrid method combining solar and ozone technologies was characterized by a lower cost. In this case, the treatment required only 4.26 €/(m3·g of COD removed.
Table 7.
Comparison of specific energy consumption and operational cost in this study with other authors.
3.2. Second Stage—Biological Treatment
As depicted in Figure 7 in both SBRs, the removal efficiency of COD, BOD5 as well as ammonium nitrogen decreased with the increase of leachate in the influent. However, regardless of the ratio of leachate in the effluent (%, v/v), the treatment efficiency was higher for SBR2 (pretreated leachate) than SBR1 (control). Thus, the execution of a pretreatment step prior to biological treatment allows to reduce the negative impact of the leachate on the removal degree for the tested parameters. This observation was confirmed by statistical analysis of the acquired results (Table 8). For all parameters, the method of preparation of leachate had the greatest impact on their removal values, while the volumetric ratio of leachate in the mixture affected them to a much-lesser extent. In turn, the interaction between the categorical predictors had the least effect on the removal efficiencies of COD, BOD5 and ammonium nitrogen. This result is in agreement with the findings of El-Gohary and Kamel [10]. The mentioned authors observed low COD and BOD5 removal values, 37.1% and 30.3%, respectively, for intermediate leachate (BOD5/COD ratio was in the range of 0.33–0.45) mixed with municipal wastewater in a ratio of 1:1. However, after pretreating the leachate via air stripping, they observed significantly increased COD and BOD removal values of up to 64.4 and 67.2%, respectively.
Figure 7.
Variation of treatment efficiency during the experiment: (A) COD removal, (B) BOD5 removal, (C) N-NH4+ removal.
Table 8.
Results of factorial ANOVA for the removal efficiencies of COD, BOD5 and ammonium nitrogen (*—interaction between factors).
To date, as shown in some studies [5,12,43], co-treatment of leachate with domestic wastewater without adverse impact on the removal efficiency of pollutants is possible if the share of the leachate in the effluent does not exceed 10% (Table 9). However, as the results obtained in this study show, the implementation of a pretreatment step before biological treatment may lead to an increase in the volume of leachate in the effluent stream entering the sewage treatment plant by up to 20%. If the leachate ratio does not exceed 20% of the feedstock (mixture of leachate with raw domestic wastewater), the removal efficiencies are within the acceptable ranges defined by Polish legislation [44] (Table 10 and Table 11). Without conditioning, the share of leachate in the mixture cannot be higher than 5%. If this condition is not met, the quality of effluents will be below country regulation values.
Table 9.
Removal efficiency of selected indicators in co-treatment of leachate with wastewater.
Table 10.
The highest permissible values of pollution indicators or minimum percentage of removal of pollutants for wastewater introduced to water bodies or to soil, according to Polish law [44].
Table 11.
Characteristics of effluents (the highlighted text indicates the limit value given by Polish legislation; the values marked grey and blue are for the control reactor and reactors fed with mixtures with pretreated leachate, respectively).
4. Conclusions
The discharge of landfill leachate into WWTP is a common leachate management practice in many countries (for example, the United States). The study revealed that sonication of landfill leachates increased leachate biodegradability (even up to 270%—from 0.1 to 0.3) and reduced its toxicity to microorganisms of the activated sludge and consequently reduces the risk of negative impact on the condition of CAS. Thus, preliminary leachate conditioning not only positively affected the condition of sewage sludge but also enhanced its treatment efficiency. Additionally, it was observed that the pH value of the leachate decreased from 8.3 to 6.4 with prolongation of sonication time. The volumetric ratio of leachate in the mixture had the highest impact on the obtained results in the first stage. However, as the results of the biological stage show, its effectiveness is mostly affected by leachate pretreatment. With high amounts of leachates in the mixture, the efficiency of removing organic compounds and ammonium nitrogen in pretreated samples is more than 40% higher than non-conditioned samples. In this context, the use of an ultrasound field before the biological step seems to be an interesting option, because it creates a new potential place for alternative treatment of leachate, and allows for the treatment process to be executed with leachate addition twice as high as 10%, which is the threshold limit currently stated in the literature. However, implementation of the solution at wastewater treatment plants is still a big challenge due to high capital costs as well as low conversion of electric energy to cavitation energy (estimated efficiency of 34%). Moreover, ultrasound technology is often perceived as a method with very high operating costs. However, as current research shows, the process can be successfully carried out at significantly lower operating costs than with other AOPs methods. Thus, ultrasound treatment compared to other techniques offers significant advantages namely: (1) Superior economic efficiency; (2) possibility of treating influent with a significantly larger share of leachate; and (3) considerably increased biodegradability of mature landfill leachate.
Ultrasound pretreatment of leachate needs further studies to resolve issues regarding the following: (1) Optimization of conditioning conditions; (2) optimization of biological process; (3) development of strategies which allow for the acclimatization of bacteria to adverse environmental conditions; (4) characteristics of microbial community structures during treatment; (5) correlations between the microbial community structures; (6) potential intermediate products created during sonication (critical issue as intermediate products can be more toxic than the initial sample); and (7) possibilities of combining ultrasounds with other treatment systems, including AOPs methods aimed at reducing process costs and increasing its efficiency.
Supplementary Materials
The following are available online at https://www.mdpi.com/2073-4441/11/3/516/s1, Figure S1: title, Table S1: title, Table S2: Results of Tukey HSD test; variable ΔDHA activity.
Author Contributions
The experiments were designed and carried out by E.N. who, in partnership with A.G., analyzed the acquired data, while M.M. contributed reagents and materials. A.G. carried out statistical analyses of the results and wrote the paper in consultation with P.C., who also performed linguistic and translation revisions.
Funding
This research was funded by Faculty of Infrastructure and Environment, Czestochowa University of Technology grants number: BS/PB-401-301/13 and BS/MN-401-302/17.
Conflicts of Interest
The authors declare no conflict of interest.
References
- Sewwandi, B.G.N.; Wijesekara, A.; Rajapaksha, S.S.R.M.D.H.R.; Mowjood, M.I.M.; Vithanage, M. Risk of soil and water pollution by heavy metals in landfill leachate. In Proceedings of the 12th Annual Conference of Thai Society of Agricultural Engineering, Chon-Chan Pattaya Resort, Chonburi, Thailand, 31 March–1 April 2011; p. 43. [Google Scholar]
- Grosser, A.; Jelonek, P.; Neczaj, E. Trends in the treatment of landfill leachate. In Interdisciplinary Problems in Engineering and Environmental Protection, 1st ed.; Wiśniewski, J., Kutyłowska, M., Trusz-Zdybek, A., Eds.; Oficyna Wydawnicza Politechniki Wrocławskiej: Wrocław, Poland, 2015; Volume 5, pp. 95–124. (In Polish) [Google Scholar]
- Torretta, V.; Ferronato, N.; Katsoyiannis, I.A.; Tolkou, A.K.; Airoldi, M. Novel and Conventional Technologies for Landfill Leachates Treatment: A Review. Sustainability 2016, 9, 9. [Google Scholar] [CrossRef]
- Wiszniowski, J.; Robert, D.; Surmacz-Gorska, J.; Miksch, K.; Weber, J.V. Landfill leachate treatment methods: A review. Environ. Chem. Lett. 2006, 4, 51–61. [Google Scholar] [CrossRef]
- Renou, S.; Givaudan, J.G.; Poulain, S.; Dirassouyan, F.; Moulin, P. Landfill leachate treatment: Review and opportunity. J. Hazard. Mater. 2008, 150, 468–493. [Google Scholar] [CrossRef] [PubMed]
- Aziz, H.A.; Rahim, N.A.; Ramli, S.F.; Alazaiza, M.Y.D.; Omar, F.M.; Hung, Y.-T. Potential Use of Dimocarpus longan Seeds as a Flocculant in Landfill Leachate Treatment. Water 2018, 10, 1672. [Google Scholar] [CrossRef]
- Tripathy, B.K.; Kumar, M. Suitability of microwave and microwave-coupled systems for landfill leachate treatment: An overview. J. Environ. Chem. Eng. 2017, 5, 6165–6178. [Google Scholar] [CrossRef]
- Maslahati Roudi, A.; Chelliapan, S.; Wan Mohtar, W.H.M.; Kamyab, H. Prediction and Optimization of the Fenton Process for the Treatment of Landfill Leachate Using an Artificial Neural Network. Water 2018, 10, 595. [Google Scholar] [CrossRef]
- Yuan, Q.; Jia, H.; Poveda, M. Study on the effect of landfill leachate on nutrient removal from municipal wastewater. J. Environ. Sci. 2016, 43, 153–158. [Google Scholar] [CrossRef]
- El-Gohary, F.A.; Kamel, G. Characterization and biological treatment of pre-treated landfill leachate. Ecol. Eng. 2016, 94, 268–274. [Google Scholar] [CrossRef]
- Amor, C.; De Torres-Socías, E.; Peres, J.A.; Maldonado, M.I.; Oller, I.; Malato, S.; Lucas, M.S. Mature landfill leachate treatment by coagulation / flocculation combined with Fenton and solar photo-Fenton processes. J. Hazard. Mater. 2015, 286, 261–268. [Google Scholar] [CrossRef]
- Li, W.; Zhou, Q.; Hua, T. Removal of organic matter from landfill leachate by advanced oxidation processes: A review. Int. J. Chem. Eng. 2010, 2010, 270532. [Google Scholar] [CrossRef]
- Ferraz, F.M.; Bruni, A.T.; Povinelli, J.; Vieira, E.M. Leachate/domestic wastewater aerobic co-treatment: A pilot-scale study using multivariate analysis. J. Environ. Manag. 2016, 166, 414–419. [Google Scholar] [CrossRef] [PubMed]
- Grosser, A.; Neczaj, E.; Madela, M.; Celary, P. Treatment of Landfill Leachate Using Ultrasound Assisted SBR Reactor. Proceedings 2018, 2, 648. [Google Scholar] [CrossRef]
- Zhao, R.; Jung, C.; Trzopek, A.; Torrens, K.; Deng, Y. Characterization of ultraviolet-quenching dissolved organic matter (DOM) in mature and young leachates before and after biological pre-treatment. Environ. Sci. Water Res. Technol. 2018, 4, 731–738. [Google Scholar] [CrossRef]
- Wang, X.; Chen, S.; Gu, X.; Wang, K. Pilot study on the advanced treatment of landfill leachate using a combined coagulation, fenton oxidation and biological aerated filter process. Waste Manag. 2009, 29, 1354–1358. [Google Scholar] [CrossRef] [PubMed]
- Silva, T.F.; Fonseca, A.; Saraiva, I.; Vilar, V.J.; Boaventura, R.A. Boaventura, Biodegradability enhancement of a leachate after biological lagooning using a solar driven photo-Fenton reaction, and further combination with an activated sludge biological process, at pre-industrial scale. Water Res. 2013, 47, 3543–3557. [Google Scholar] [CrossRef] [PubMed]
- Guo, J.S.; Abbas, A.A.; Chen, Y.P.; Liu, Z.P.; Fang, F.; Chen, P. Treatment of landfill leachate using a combined stripping, Fenton, SBR, and coagulation process. J. Hazard. Mater. 2010, 178, 699–705. [Google Scholar] [CrossRef]
- Yarimtepe, C.C.; Oz, N.A. Investigation of the pretreatment effect of ultrasound on anaerobic sequencing batch reactor treating landfill leachate. In WIT Transactions on Ecology and the Environment, 1st ed.; Brebbia, C.A., Boukalová, Z., Eds.; WIT Press: Southampton, UK, 2017; Volume 220, pp. 93–97. [Google Scholar]
- Mahamuni, N.N.; Adewuyi, Y.G. Advanced oxidation processes (AOPs) involving ultrasound for waste water treatment: A review with emphasis on cost estimation. Ultrason. Sonochem. 2010, 17, 990–1003. [Google Scholar] [CrossRef]
- Doosti, M.R.; Kargar, R.; Sayadi, M.H. Water treatment using ultrasonic assistance: A review. Proc. Int. Acad. Ecol. Environ. Sci. 2012, 2, 96–110. [Google Scholar]
- Tripathy, B.K.; Ramesh, G.; Debnath, A.; Kumar, M. Mature landfill leachate treatment using sonolytic-persulfate/hydrogen peroxide oxidation: Optimization of process parameters. Ultrason. Sonochem. 2019, in press. [Google Scholar] [CrossRef]
- Mahvi, A.H. Application of ultrasonic technology for water and wastewater treatment. Iran. J. Public Health 2009, 38, 1–17. [Google Scholar]
- Gomes, A.I.; Silva, T.F.; Duarte, M.A.; Boaventura, R.A.; Vilar, V.J. Cost-effective solar collector to promote photo-Fenton reactions: A case study on the treatment of urban mature leachate. J. Clean. Prod. 2018, 199, 369–382. [Google Scholar] [CrossRef]
- Silva, T.F.; Vieira, E.; Lopes, A.R.; Nunes, O.C.; Fonseca, A.; Saraiva, I.; Boaventuraa, R.A.R.; Vilar, V.J. How the performance of a biological pre-oxidation step can affect a downstream photo-Fenton process on the remediation of mature landfill leachates: Assessment of kinetic parameters and characterization of the bacterial communities. Sep. Purif. Technol. 2017, 175, 274–286. [Google Scholar] [CrossRef]
- Neczaj, E. Ultrasound Improvement of Landfill Leachate Biological Treatment Process, 1st ed.; Czestochowa University of Technology: Czestochowa, Poland, 2010; pp. 1–106. [Google Scholar]
- APHA. Standard Methods for the Examination of Water and Wastewater, 20th ed.; American Public Health Association: Washington, DC, USA, 1999; pp. 1–1325. [Google Scholar]
- USEPA—United States Environmental Protection Agency. Method 1683—Specific Oxygen Uptake Rate; EPA-821-R-01-014; USEPA: Washington, DC, USA, 2001. [Google Scholar]
- Yin, J.; Tan, X.J.; Ren, N.Q.; Cui, Y.B.; Tang, L. Evaluation of heavy metal inhibition of activated sludge by TTC and INT-electron transport system activity tests. Water Sci. Technol. 2005, 52, 231–239. [Google Scholar] [CrossRef]
- Serrano, A.; Siles, J.A.; Gutiérrez, M.C.; Martín, M.Á. Improvement of the biomethanization of sewage sludge by thermal pre-treatment and co-digestion with strawberry extrudate. J. Clean. Prod. 2015, 90, 25–33. [Google Scholar] [CrossRef]
- Chemlal, R.; Azzouz, L.; Kernani, R.; Abdi, N.; Lounici, H.; Grib, H.; Mameri, N.; Drouiche, N. Combination of advanced oxidation and biological processes for the landfill leachate treatment. Ecol. Eng. 2014, 73, 281–289. [Google Scholar] [CrossRef]
- Chou, Y.C.; Lo, S.L.; Kuo, J.; Yeh, C.J. Microwave-enhanced persulfate oxidation to treat mature landfill leachate. J. Hazard. Mater. 2015, 284, 83–91. [Google Scholar] [CrossRef] [PubMed]
- Lopez, A.; Pagano, M.; Volpe, A.; Di Pinto, A.C. Fenton’s pre-treatment of mature landfill leachate. Chemosphere 2004, 54, 1005–1010. [Google Scholar] [CrossRef] [PubMed]
- Cortez, S.; Teixeira, P.; Oliveira, R.; Mota, M. Mature landfill leachate treatment by denitrification and ozonation. Process Biochem. 2011, 46, 148–153. [Google Scholar] [CrossRef]
- Hu, X.; Wang, X.; Ban, Y.; Ren, B. A comparative study of UV–Fenton, UV–H2O2 and Fenton reaction treatment of landfill leachate. Environ. Technol. 2011, 32, 945–951. [Google Scholar] [CrossRef] [PubMed]
- De Morais, J.L.; Zamora, P.P. Use of advanced oxidation processes to improve the biodegradability of mature landfill leachates. J. Hazard. Mater. 2005, 123, 181–186. [Google Scholar] [CrossRef]
- Oviedo, M.C.; Sánchez, J.B.; Alonso, J.Q. Enzymatic estimation of biosolids stability in aerobic digestion systems. Enzym. Microb. Technol. 2005, 36, 191–197. [Google Scholar] [CrossRef]
- Yoon, S.H. Membrane Bioreactor Processes: Principles and Applications, 1st ed.; CRC Press: Boca Raton, FL, USA, 2015; pp. 1–452. [Google Scholar]
- Poblete, R.; Oller, I.; Maldonado, M.I.; Luna, Y.; Cortes, E. Cost estimation of COD and color removal from landfill leachate using combined coffee-waste based activated carbon with advanced oxidation processes. Environ. Chem. Eng. 2017, 5, 114–121. [Google Scholar] [CrossRef]
- Joshi, S.M.; Gogate, P.R. Treatment of landfill leachate using different configurations of ultrasonic reactors combined with advanced oxidation processes. Sep. Purif. Technol. 2019, 211, 10–18. [Google Scholar] [CrossRef]
- Joshi, S.M.; Gogate, P.R. Intensification of industrial wastewater treatment using hydrodynamic cavitation combined with advanced oxidation at operating capacity of 70 L. Ultrason. Sonochem. 2018, in press. [Google Scholar] [CrossRef] [PubMed]
- Cortez, S.; Teixeira, P.; Oliveira, R.; Mota, M. Ozonation as polishing treatment of mature landfill leachate. J. Hazard. Mater. 2010, 182, 730–734. [Google Scholar] [CrossRef]
- Brennan, R.B.; Clifford, E.; Devroedt, C.; Morrison, L.; Healy, M.G. Treatment of landfill leachate in municipal wastewater treatment plants and impacts on effluent ammonium concentrations. J. Environ. Manag. 2017, 188, 64–72. [Google Scholar] [CrossRef]
- Order of the Minister of Environment of November 18, 2014 laying down conditions for the introduction of sewage into water bodies or soil and laying down the list of substances particularly harmful to water environments. Dz.U. 2014 poz. 1800, 2014. Available online: http://prawo.sejm.gov.pl/isap.nsf/download.xsp/WDU20140001800/O/D20141800.pdf (accessed on 11 March 2019).
- Çeçen, F.; Aktas, Ö. Effect of PAC addition in combined treatment of landfill leachate and domestic wastewater in semi-continuously fed batch and continuous-flow reactors. Water SA 2001, 27, 177–188. [Google Scholar]
- Çeçen, F.; Çakıroğlu, D. Impact of landfill leachate on the co-treatment of domestic wastewater. Biotechnol. Lett. 2001, 23, 821–826. [Google Scholar] [CrossRef]
- Fudala-Ksiazek, S.; Luczkiewicz, A.; Fitobór, K.; Olanczuk-Neyman, K. Nitrogen removal via the nitrite pathway during wastewater co-treatment with ammonia-rich landfill leachates in a sequencing batch reactor. Environ. Sci. Pollut. Res. 2014, 21, 7307–7318. [Google Scholar] [CrossRef]
© 2019 by the authors. Licensee MDPI, Basel, Switzerland. This article is an open access article distributed under the terms and conditions of the Creative Commons Attribution (CC BY) license (http://creativecommons.org/licenses/by/4.0/).






