An Improved Method Constructing 3D River Channel for Flood Modeling
Abstract
1. Introduction
2. Constructing Method for River Bed Terrain from Available Cross Sections
2.1. Procedure for River Terrain Model Construction
2.2. River Terrain Model Construction in the Planar Coordinate System
2.3. Constructing Error Treatment
2.4. Elevation Interpolation of River Channel
3. Channel Construction for a Synthetic Sinusoidal River
3.1. Benchmark Introduction
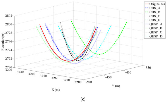
3.2. Channel Terrain Construction for the Synthetic Sinusoidal River
3.2.1. River Thalweg Construction
3.2.2. Cross-Section Construction
3.2.3. Error Assessment for the Interpolating Method
4. Channel Construction for a Realistic River
4.1. River Channel Construction
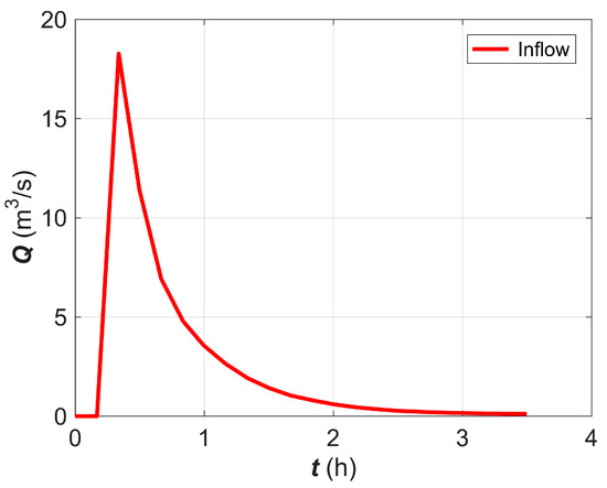
4.2. Flood Process Simulation on the Constructed River Bed
5. Conclusions
- The QHSP method can effectively resolve the unrealistic oscillations in the plane interpolation process by modifying the reversing tendency of x and y coordinates.
- Comparing to the CHS method, the proposed QHSP method can produce a more accurate river channel by using the same amount of the cross sections. The accuracy of the constructed river bed terrain can be improved by higher than 15% in terms of ME for the two test cases.
- On the constructed river channel by using the QHSP method, the computed hydrograph of flood process is more reliable than that employing the CHS methods, e.g., the former can improve the simulating accuracy by at least 18.5% in all cross sections in the Wangmaogou catchment.
Author Contributions
Funding
Conflicts of Interest
References
- BurguetePilar, J.; Garcia-Navarro, P. Efficient construction of high-resolution TVD conservative schemes for equations with source terms: Application to shallow water flows. Int. J. Numer. Methods Fluids 2001, 37, 209–248. [Google Scholar] [CrossRef]
- Bernetti, R.; Titarev, V.A.; Toro, E.F. Exact solution of the Riemann problem for the shallow water equations with discontinuous bottom geometry. J. Comput. Phys. 2008, 227, 3212–3243. [Google Scholar] [CrossRef]
- Liang, Q.; Marche, F. Numerical resolution of well-balanced shallow water equations with complex source terms. Adv. Water Resour. 2009, 32, 873–884. [Google Scholar] [CrossRef]
- Schippa, L.; Pavan, S. Bed evolution numerical model for rapidly varying flow in natural streams. Comput. Geosci. 2009, 35, 390–402. [Google Scholar] [CrossRef]
- Hou, J.; Liang, Q.; Simons, F.; Hinkelmann, R. A 2D well-balanced shallow flow model for unstructured grids with novel slope source term treatment. Adv. Water Resour. 2013, 52, 107–131. [Google Scholar] [CrossRef]
- Bourdin, D.R.; Fleming, S.W.; Stull, R.B. Stream flow modelling: A primer on applications, approaches and challenges. Atmos.-Ocean 2012, 50, 507–536. [Google Scholar] [CrossRef]
- Negishi, J.N.; Sagawa, S.; Sanada, S.; Kume, M.; Ohmori, T.; Miyashita, T.; Kayaba, Y. Using airborne scanning laser altimetry (LiDAR) to estimate surface connectivity of floodplain water bodies. River Res. Appl. 2012, 28, 258–267. [Google Scholar] [CrossRef]
- Straatsma, M.W.; Middelkoop, H. Airborne laser scanning as a tool for lowland floodplain vegetation monitoring. Hydrobiologia 2006, 565, 87–103. [Google Scholar] [CrossRef]
- Casas, A.; Benito, G.; Thorndycraft, V.R.; Rico, M. The topographic data source of digital terrain models as a key element in the accuracy of hydraulic flood modelling. Earth Surf. Process. Landf. 2010, 31, 444–456. [Google Scholar] [CrossRef]
- Wang, C.; Philpot, W.D. Using airborne bathymetric lidar to detect bottom type variation in shallow waters. Remote Sens. Environ. 2007, 106, 123–135. [Google Scholar] [CrossRef]
- Hilldale, R.C.; Raff, D. Assessing the ability of airborne LiDAR to map river bathymetry. Earth Surf. Process. Landf. 2010, 33, 773–783. [Google Scholar] [CrossRef]
- Liu, X. Airborne LiDAR for DEM generation: some critical issues. Prog. Phys. Geogr. 2008, 32, 31–49. [Google Scholar] [CrossRef]
- Cin, C.D.; Moens, L.; Dierickx, P.; Bastin, G.; Zech, Y. An integrated approach for realtime floodmap forecasting on the Belgian Meuse River. Nat. Hazards 2005, 36, 237–256. [Google Scholar] [CrossRef]
- Eilertsen, R.S.; Hansen, L. Morphology of river bed scours on a delta plain revealed by interferometric sonar. Geomorphology 2008, 94, 58–68. [Google Scholar] [CrossRef]
- Merwade, V.M.; Maidment, D.R.; Goff, J.A. Anisotropic considerations while interpolating river channel bathymetry. J. Hydrol. 2006, 331, 731–741. [Google Scholar] [CrossRef]
- Lazaro, M.J.; Sanchez Navarro, J.A.; Garcia Gil, A.; Edo Romero, V. Developing and programming a watershed traversal algorithm (WTA) in GRID-DEM and adapting it to hydrological processes. Comput. Geosci. 2013, 51, 418–429. [Google Scholar] [CrossRef]
- Schauble, H.; Marinoni, O.; Hinderer, M. A GIS-based method to calculate flow accumulation by considering dams and their specific operation time. Comput. Geosci. 2008, 34, 635–646. [Google Scholar] [CrossRef]
- Flanagin, M.; Ratcliff, J.; Shaw, K.B.; Sample, J.; Abdelguerfi, M. Hydraulic splines: A hybrid approach to modeling river channel geometries. Comput. Sci. Eng. 2007, 9, 4–15. [Google Scholar] [CrossRef]
- Schappi, B.; Perona, P.; Schneider, P.; Burlando, P. Integrating river cross section measurements with digital terrain models for improved flow modelling applications. Comput. Geosci. 2010, 36, 707–716. [Google Scholar] [CrossRef]
- Caviedes-Voullième, D.; Morales-Hernández, M.; López-Marijuan, I.; García-Navarro, P. Reconstruction of 2D river beds by appropriate interpolation of 1D cross-sectional information for flood simulation. Environ. Model. Softw. 2014, 61, 206–228. [Google Scholar] [CrossRef]
- Li, J.; Liu, C.; Yang, L. Quartic Hermite interpolating splines with parameters. J. Comput. Appl. 2012, 32, 1868–1870. [Google Scholar] [CrossRef]
- Morales-Hernández, M.; Murillo, J.; García-Navarro, P. The formulation of internal boundary conditions in unsteady 2-D shallow water flows: Application to flood regulation. Water Resour. Res. 2013, 49, 471–487. [Google Scholar] [CrossRef]




















| Amplitude | 400 | 600 | 800 | |||
|---|---|---|---|---|---|---|
| Errors | ME (m) | RMSE (m) | ME (m) | RMSE (m) | ME (m) | RMSE (m) |
| CHS_A | 0.16 | 0.49 | 0.15 | 0.48 | 0.16 | 0.51 |
| QHSP_A | 0.11 | 0.29 | 0.07 | 0.23 | 0.09 | 0.28 |
| CHS_B | 1.24 | 2.60 | 1.24 | 2.62 | 1.27 | 2.64 |
| QHSP_B | 0.10 | 0.32 | 0.20 | 0.67 | 0.25 | 0.87 |
| CHS_C | 0.51 | 1.44 | 0.61 | 1.70 | 0.72 | 1.91 |
| QHSP_C | 0.36 | 1.07 | 0.46 | 1.37 | 0.56 | 1.60 |
| CHS_D | 0.46 | 1.36 | 0.54 | 1.56 | 0.61 | 1.69 |
| QHSP_D | 0.09 | 0.30 | 0.11 | 0.37 | 0.16 | 0.52 |
| Test Cases | Sections | ME_CHS (m3/s) | ME_QHSP (m3/s) | RMSE_CHS (m3/s) | RMSE_QHSP (m3/s) |
|---|---|---|---|---|---|
| (a) Amplitude 400 m | |||||
| A | Section S1 | 0.102 | 0.045 | 0.027 | 0.027 |
| Section S2 | 0.013 | 0.009 | 0.007 | 0.022 | |
| Section S3 | 0.339 | 0.140 | 0.102 | 0.039 | |
| B | Section S1 | 0.166 | 0.162 | 0.066 | 0.051 |
| Section S2 | 0.226 | 0.118 | 0.082 | 0.042 | |
| Section S3 | 0.114 | 0.102 | 0.224 | 0.034 | |
| C | Section S1 | 0.115 | 0.072 | 0.105 | 0.061 |
| Section S2 | 0.253 | 0.094 | 0.096 | 0.041 | |
| Section S3 | 0.146 | 0.143 | 0.164 | 0.151 | |
| D | Section S1 | 0.037 | 0.160 | 0.049 | 0.076 |
| Section S2 | 0.024 | 0.011 | 0.018 | 0.009 | |
| Section S3 | 0.359 | 0.336 | 0.147 | 0.094 | |
| (b) Amplitude 600 m | |||||
| A | Section S1 | 0.061 | 0.021 | 0.034 | 0.013 |
| Section S2 | 0.033 | 0.064 | 0.010 | 0.023 | |
| Section S3 | 0.087 | 0.056 | 0.037 | 0.029 | |
| B | Section S1 | 0.280 | 0.024 | 0.102 | 0.017 |
| Section S2 | 0.218 | 0.070 | 0.079 | 0.037 | |
| Section S3 | 0.220 | 0.144 | 0.246 | 0.042 | |
| C | Section S1 | 0.129 | 0.100 | 0.152 | 0.166 |
| Section S2 | 0.139 | 0.243 | 0.164 | 0.127 | |
| Section S3 | 0.316 | 0.004 | 0.123 | 0.074 | |
| D | Section S1 | 0.188 | 0.037 | 0.082 | 0.059 |
| Section S2 | 0.061 | 0.099 | 0.025 | 0.038 | |
| Section S3 | 0.193 | 0.091 | 0.054 | 0.024 | |
| (c) Amplitude 800 m | |||||
| A | Section S1 | 0.005 | 0.028 | 0.023 | 0.017 |
| Section S2 | 0.184 | 0.004 | 0.046 | 0.012 | |
| Section S3 | 0.037 | 0.002 | 0.019 | 0.012 | |
| B | Section S1 | 0.377 | 0.129 | 0.106 | 0.050 |
| Section S2 | 0.179 | 0.202 | 0.275 | 0.062 | |
| Section S3 | 0.320 | 0.254 | 0.219 | 0.096 | |
| C | Section S1 | 0.028 | 0.181 | 0.275 | 0.217 |
| Section S2 | 0.345 | 0.019 | 0.267 | 0.210 | |
| Section S3 | 0.108 | 0.346 | 0.196 | 0.219 | |
| D | Section S1 | 0.007 | 0.030 | 0.063 | 0.051 |
| Section S2 | 0.107 | 0.085 | 0.029 | 0.023 | |
| Section S3 | 0.242 | 0.002 | 0.068 | 0.011 | |
| Method | ME (m) | RMSE (m) |
|---|---|---|
| CHS | 0.58 | 0.98 |
| QHSP | 0.49 | 0.82 |
| Time (h) | 1 h | 2 h | 3 h | 4 h | 5 h | 6 h |
|---|---|---|---|---|---|---|
| Net rainfall (mm/h) | 4.04 | 41.75 | 16.87 | 7.81 | 3.14 | 5.37 |
| Sections | S1 | S2 | S3 | S4 | S5 | S6 | S7 | S8 |
|---|---|---|---|---|---|---|---|---|
| ME_CHS (m3/s) | 1.171 | 0.498 | 0.374 | 0.840 | 0.986 | 0.707 | 0.342 | 0.940 |
| ME_QHSP (m3/s) | 0.005 | 0.271 | 0.145 | 0.460 | 0.540 | 0.576 | 0.230 | 0.423 |
| RMSE_CHS (m3/s) | 0.316 | 0.162 | 0.227 | 0.239 | 0.195 | 0.143 | 0.083 | 0.183 |
| RMSE_QHSP (m3/s) | 0.157 | 0.163 | 0.163 | 0.177 | 0.140 | 0.125 | 0.059 | 0.088 |
© 2019 by the authors. Licensee MDPI, Basel, Switzerland. This article is an open access article distributed under the terms and conditions of the Creative Commons Attribution (CC BY) license (http://creativecommons.org/licenses/by/4.0/).
Share and Cite
Hu, P.; Hou, J.; Zhi, Z.; Li, B.; Guo, K. An Improved Method Constructing 3D River Channel for Flood Modeling. Water 2019, 11, 403. https://doi.org/10.3390/w11030403
Hu P, Hou J, Zhi Z, Li B, Guo K. An Improved Method Constructing 3D River Channel for Flood Modeling. Water. 2019; 11(3):403. https://doi.org/10.3390/w11030403
Chicago/Turabian StyleHu, Pengbo, Jingming Hou, Zaixing Zhi, Bingyao Li, and Kaihua Guo. 2019. "An Improved Method Constructing 3D River Channel for Flood Modeling" Water 11, no. 3: 403. https://doi.org/10.3390/w11030403
APA StyleHu, P., Hou, J., Zhi, Z., Li, B., & Guo, K. (2019). An Improved Method Constructing 3D River Channel for Flood Modeling. Water, 11(3), 403. https://doi.org/10.3390/w11030403
