Experimental Investigation on Mean Flow Development of a Three-Dimensional Wall Jet Confined by a Vertical Baffle
Abstract
:1. Introduction
2. Experimental Setup
3. PIV System and Data Analysis
4. Results and Discussion
4.1. Spreading Rates
4.2. Mean Velocity Profiles
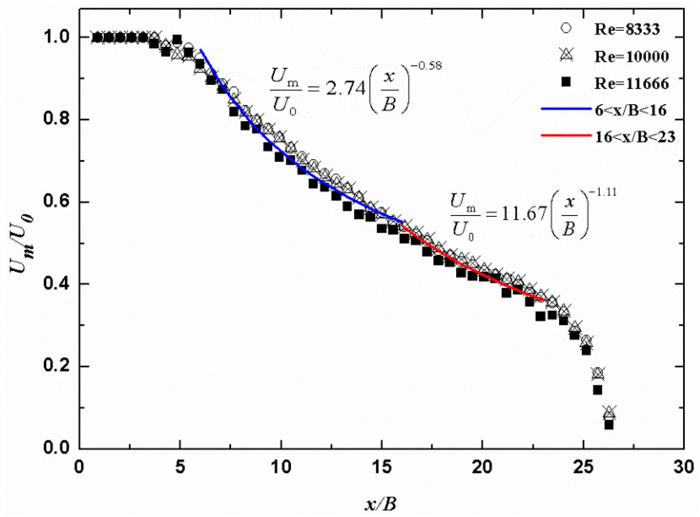
4.3. Decay of Local Maximum Velocity
5. Conclusions
Author Contributions
Funding
Conflicts of Interest
Notation
| B | square root of jet exit area |
| N | number of instantaneous image pairs |
| M | total number of data on one velocity profile in given region |
| n | exponent describing the decay of Um |
| Q | flow rate through the jet pipe |
| Re | jet exit Reynolds number based on jet exit velocity and square root of jet exit area |
| U | x-axial mean velocity |
| V | y-axial mean velocity |
| W | z-axial mean velocity |
| U0 | jet exit velocity |
| Um | local maximum mean velocity |
| Up | analytical or previous x-axial mean velocity |
| x | longitudinal direction in the coordinate system |
| y | wall-normal direction in the coordinate system |
| ym | wall-normal location where Um occurs |
| ym/2 | wall-normal location where 0.5Um occurs |
| z | lateral direction in the coordinate system |
| zm/2 | lateral location where 0.5Um occurs |
| υ | kinetic viscosity of water |
References
- Launder, B.E.; Rodi, W. The turbulent wall jet-measurements and modeling. Annu. Rev. Fluid Mech. 1983, 15, 429–459. [Google Scholar] [CrossRef]
- Caggese, O.; Gnaegi, G.; Hannema, G.; Terzis, A.; Ott, P. Experimental and numerical investigation of a fully confined impingement round jet. Int. J. Heat Mass Transf. 2013, 65, 873–882. [Google Scholar] [CrossRef]
- Chen, J.G.; Zhang, J.M.; Xu, W.L.; Peng, Y. Characteristics of the velocity distribution in a hydraulic jump stilling basin with five parallel offset jets in a twin-layer configuration. J. Hydraul. Eng. ASCE 2014, 140, 208–217. [Google Scholar] [CrossRef]
- Yang, Y.H.; Chen, M.; Zhang, X.X.; Duan, L.M.; Miao, J.K. 3D numerical simulation of hydraulic characteristics of ditches designed for a navigation lock with high-head and large scale. Port Waterw. Eng. 2018, 4, 84–90. (In Chinese) [Google Scholar]
- Gabl, R.; Righetti, M. Design criteria for a type of asymmetric orifice in a surge tank using CFD. Eng. Appl. Comput. Fluid Mech. 2018, 12, 397–410. [Google Scholar] [CrossRef]
- Adam, N.J.; De Cesare, G.; Schleiss, A.J. Influence of geometrical parameters of chamfered or rounded orifices on head losses. J. Hydraul. Res. 2018. [Google Scholar] [CrossRef]
- Wu, J.H.; Ai, W.Z.; Zhou, Q. Head loss coefficient of orifice plate energy dissipator. J. Hydraul. Res. 2010, 48, 526–530. [Google Scholar]
- Zhang, Q.Y.; Chai, B.Q. Hydraulic characteristics of multistage orifice tunnels. J. Hydraul. Eng. ASCE 2001, 127, 663–668. [Google Scholar] [CrossRef]
- Sforza, P.M.; Herbst, G. A Study of Three-Dimensional Incompressible, Turbulent Wall Jets. AIAA J. 1970, 8, 276–283. [Google Scholar]
- Padmanabham, G.; Gowda, B.H.L. Mean and turbulence characteristics of a class of three-dimensional wall jets—Part 1: Mean flow characteristics. J. Fluids Eng. ASME 1991, 113, 620–628. [Google Scholar] [CrossRef]
- Law, A.W.K.; Herlina. An experimental study on turbulent circular wall jets. J. Hydraul. Eng. ASCE 2002, 128, 161–174. [Google Scholar] [CrossRef]
- Agelinchaab, M.; Tachie, M.F. PIV study of three-dimensional wall jet over smooth and rough surfaces. In Proceedings of the FEDSM2007 5th Joint ASME/JSME Fluids Engineering Conference, San Diego, CA, USA, 30 July–2 August 2007. [Google Scholar]
- Agelin-Chaab, M.; Tachie, M.F. Characteristics of turbulent three-dimensional wall jets. J. Fluids Eng. ASME 2011, 133, 021201-1–021201-12. [Google Scholar] [CrossRef]
- Kim, M.; Kim, H.D.; Yeom, E.; Kim, K.C. Flow characteristics of three-dimensional curved wall jets on a cylinder. J. Fluids Eng. ASME 2018, 140, 041201-1–041201-7. [Google Scholar] [CrossRef]
- Cîrciu, I.; Boşcoianu, M. An analysis of the efficiency of Coanda-NOTAR anti-torque systems for small helicopters. INCAS Bull. 2010, 2, 81–88. [Google Scholar]
- Després, S.; Hall, J.W. The development of the turbulent three-dimensional wall jet with and without a grid placed over the outlet. In Proceedings of the ASME 2014 International Mechanical Engineering Congress and Exposition, Montreal, QC, Canada, 14–20 November 2014. [Google Scholar]
- Onyshko, P.R.; Loewen, M.R.; Rajaratnam, N. Particle image velocimetry applied to a deflected wall jet. In Proceedings of the Hydraulic Measurements and Experimental Methods, Edmonton, AB, Canada, 28 July–1 August 2002. [Google Scholar]
- Langer, D.C.; Fleck, B.A.; Wilson, D.J. Measurements of a wall jet impinging onto a forward facing step. J. Fluids Eng. ASME 2009, 131, 091103-1–091103-9. [Google Scholar] [CrossRef]
- Stockstill, R.L. Modeling Hydrodynamic Forces on Vessels during Navigation Lock Operations. ASCE, 2002. Available online: https://doi.org/10.1061/40655(2002)83 (accessed on 8 September 2011).
- Chen, M.; Liang, Y.C.; Xuan, G.X.; Chen, M.D. Numerical simulation of vessel hawser forces within chamber during navigation lock operations. J. Ship Mech. 2015, 19, 78–85. (In Chinese) [Google Scholar]
- Hogg, S.I.; Launder, B.E. Three dimensional turbulent corner wall jet. Aeronaut. J. 1985, 89, 167–171. [Google Scholar]
- Poole, B.; Hall, J.W. Turbulence measurements in a corner wall jet. J. Fluids Eng. ASME 2016, 138, 081204-1–081204-8. [Google Scholar] [CrossRef]
- Shinneeb, A.M. Confinement Effects in Shallow Water Jets. Ph.D. Thesis, University of Saskatchewan, Saskatoon, SK, Canada, 2006. [Google Scholar]
- Shinneeb, A.M.; Balachandar, R.; Bugg, J.D. Confinement Effects in Shallow-Water Jets. J. Hydraul. Eng. ASCE 2011, 137, 300–314. [Google Scholar] [CrossRef]
- Adrian, R.J. Particle-imaging techniques for experimental fluid mechanics. Annu. Rev. Fluid Mech. 1991, 23, 261–304. [Google Scholar] [CrossRef]
- Wang, H.; Zhong, Q.; Wang, X.K.; Li, D.X. Quantitative characterization of streaky structures in open-channel flows. J. Hydraul. Eng. ASCE 2017, 143, 04017040-1–04017040-10. [Google Scholar] [CrossRef]
- Westerweel, J.; Elsinga, G.E.; Adrian, R.J. Particle image velocimetry for complex and turbulent flows. Annu. Rev. Fluid Mech. 2013, 45, 409–436. [Google Scholar] [CrossRef]
- Scarano, F. Iterative image deformation methods in PIV. Meas. Sci. Technol. 2002, 13, R1–R19. [Google Scholar] [CrossRef]
- Westerweel, J.; Scarano, F. Universal outlier detection for PIV data. Exp. Fluids 2005, 39, 1096–1100. [Google Scholar] [CrossRef]
- Hu, J.; Yang, S.F.; Wang, X.K.; Lan, Y.P. Adaptability of PIV based on different working principle to turbulence measurements. J. Hydroelectr. Eng. 2013, 32, 181–186. (In Chinese) [Google Scholar]
- Davis, M.; Winarto, H. Jet diffusion from a circular nozzle above a solid plane. J. Fluid Mech. 1980, 101, 201–221. [Google Scholar] [CrossRef]
- Swamy, N.C.; Bandyopadhyay, P. Mean and turbulence characteristics of three-dimensional wall jets. J. Fluid Mech. 1975, 71, 541–562. [Google Scholar] [CrossRef]
- Schlichting, H. Boundary-Layer Theory; Kestin, J., Translator; McGraw-Hill: New York, NY, USA, 1979. [Google Scholar]
- Verhoff, A. The Two-Dimensional Turbulent Wall Jet with and without an External Stream; Princeton University: Princeton, NJ, USA, 1963. [Google Scholar]
- Gumus, V.; Simsek, O.; Soydan, N.G.; Akoz, M.S.; Kirkgoz, M.S. Numerical modeling of submerged hydraulic jump from a sluice gate. J. Irrig. Drain. Eng. ASCE 2016, 142, 04015037-1–04015037-11. [Google Scholar] [CrossRef]








| Authors | Measuring Technique | Re | RD Region | dzm/2/dx | dym/2/dx | n |
|---|---|---|---|---|---|---|
| Padmanabham and Gowda [10] | HWA | 95,400 | >20B | 0.216 | 0.045 | 1.15 |
| Law and Herlina [11] | PIV | 5500, 12,200, 13,700 | >23B | 0.21 | 0.042 | 1.07 |
| Agelin-Chaab and Tachie [12,13] | PIV | 5000, 10,000, 20,000 | >60B | 0.255 | 0.054 | 1.15 |
| Després and Hall [16] | PIV | 108,000 | >45B | 0.25 | 0.047 | - |
| Present data | PIV | 8333, 10,000, 11,666 | 16B–23B | 0.19 | 0.040 | 1.11 |
| Location | 10B | 13B | 16B | 17B | 20B | 23B | 24B | 25B | 26B |
|---|---|---|---|---|---|---|---|---|---|
| Analytical solution [34] | 4.13 | 1.45 | 2.63 | 1.30 | 0.92 | 1.40 | 2.75 | 4.65 | 18.70 |
| Agelin-Chaab and Tachie [13] | 4.43 | 2.54 | 3.08 | 1.60 | 2.24 | 2.59 | 3.87 | 5.12 | 18.44 |
| Location | 10B | 13B | 16B | 17B | 20B | 23B | 24B | 25B | 26B |
|---|---|---|---|---|---|---|---|---|---|
| Analytical solution [33] | 1.19 | 1.24 | 2.85 | 3.32 | 3.94 | 4.72 | 5.56 | 6.54 | 16.22 |
| Law and Herlian [11] | 2.06 | 1.83 | 2.73 | 3.11 | 3.05 | 3.74 | 5.47 | 5.58 | 15.19 |
| Agelin-Chaab and Tachie [13] | 1.44 | 1.04 | 2.44 | 3.00 | 3.50 | 4.14 | 5.38 | 6.34 | 15.86 |
© 2019 by the authors. Licensee MDPI, Basel, Switzerland. This article is an open access article distributed under the terms and conditions of the Creative Commons Attribution (CC BY) license (http://creativecommons.org/licenses/by/4.0/).
Share and Cite
Chen, M.; Huang, H.; Zhang, X.; Lv, S.; Li, R. Experimental Investigation on Mean Flow Development of a Three-Dimensional Wall Jet Confined by a Vertical Baffle. Water 2019, 11, 237. https://doi.org/10.3390/w11020237
Chen M, Huang H, Zhang X, Lv S, Li R. Experimental Investigation on Mean Flow Development of a Three-Dimensional Wall Jet Confined by a Vertical Baffle. Water. 2019; 11(2):237. https://doi.org/10.3390/w11020237
Chicago/Turabian StyleChen, Ming, Haijin Huang, Xingxing Zhang, Senpeng Lv, and Rengmin Li. 2019. "Experimental Investigation on Mean Flow Development of a Three-Dimensional Wall Jet Confined by a Vertical Baffle" Water 11, no. 2: 237. https://doi.org/10.3390/w11020237
APA StyleChen, M., Huang, H., Zhang, X., Lv, S., & Li, R. (2019). Experimental Investigation on Mean Flow Development of a Three-Dimensional Wall Jet Confined by a Vertical Baffle. Water, 11(2), 237. https://doi.org/10.3390/w11020237

