Numerical Modeling of Multiphase Extraction (MPE) Aiming at LNAPL Recovery in Tropical Soils
Abstract
:1. Introduction
2. Materials and Methods
2.1. Experimental Methods
2.2. Numerical Analysis
- m: van Genuchten hydraulic parameter (–);aqueous, NAPL, and gaseous relative permeability (–);
- aqueous, NAPL, and gaseous effective saturation (–).
- : NAPL pressure head (m);
- : aqueous pressure head (m);
- : aqueous, NAPL, and gaseous pressure;
- reference density (generally water; kg m−3);
- gravity acceleration (m s−2).
- : effective saturation (–);
- α, m, n: van Genuchten parameters;
- h: pressure head (m).
- air–water interfacial surface tension (N m−1);
- air–LNAPL interfacial tension (N m−1);
- LNAPL–water interfacial tension (N m−1).
- : mass fraction of component c (water, air, oil) recovered (Kg);
- : modified Peaceman well index (m3);
- : pressure at the bioslurping tip in phase γ (aqueous, gas and LNAPL) (Pa);
- : user-imposed well pressure converted into gauge pressure in the STOMP (Pa);
- : phase γ (aqueous, gas, and NAPL) density (Kg m−3);
- : mass fraction of component c (water, air, and oil) in phase γ (–);
- : relative permeability of fluid phase γ (–);
- : viscosity of phase γ (Pa.s).
3. Results
3.1. Soil Water Retention Curve (SWRC)
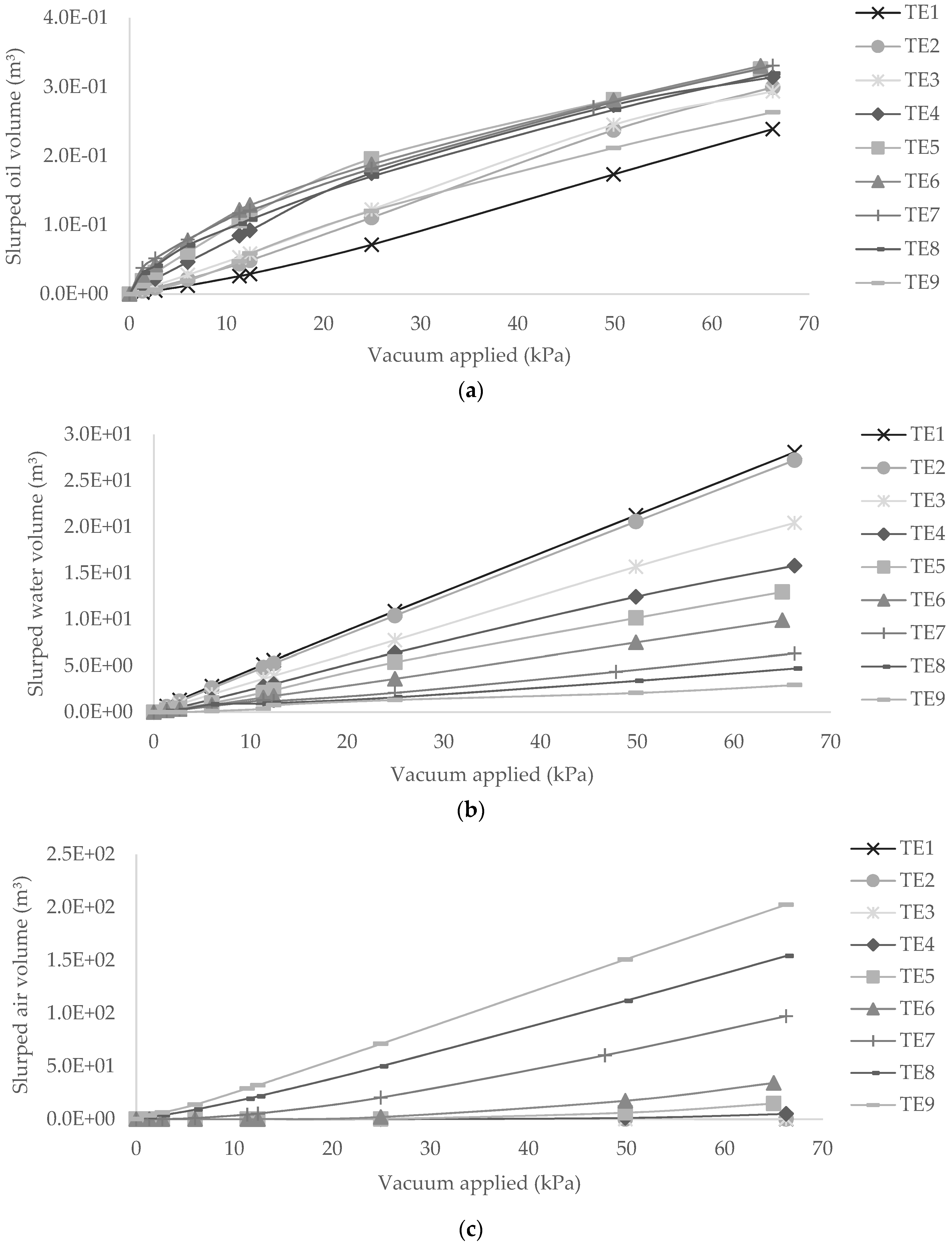
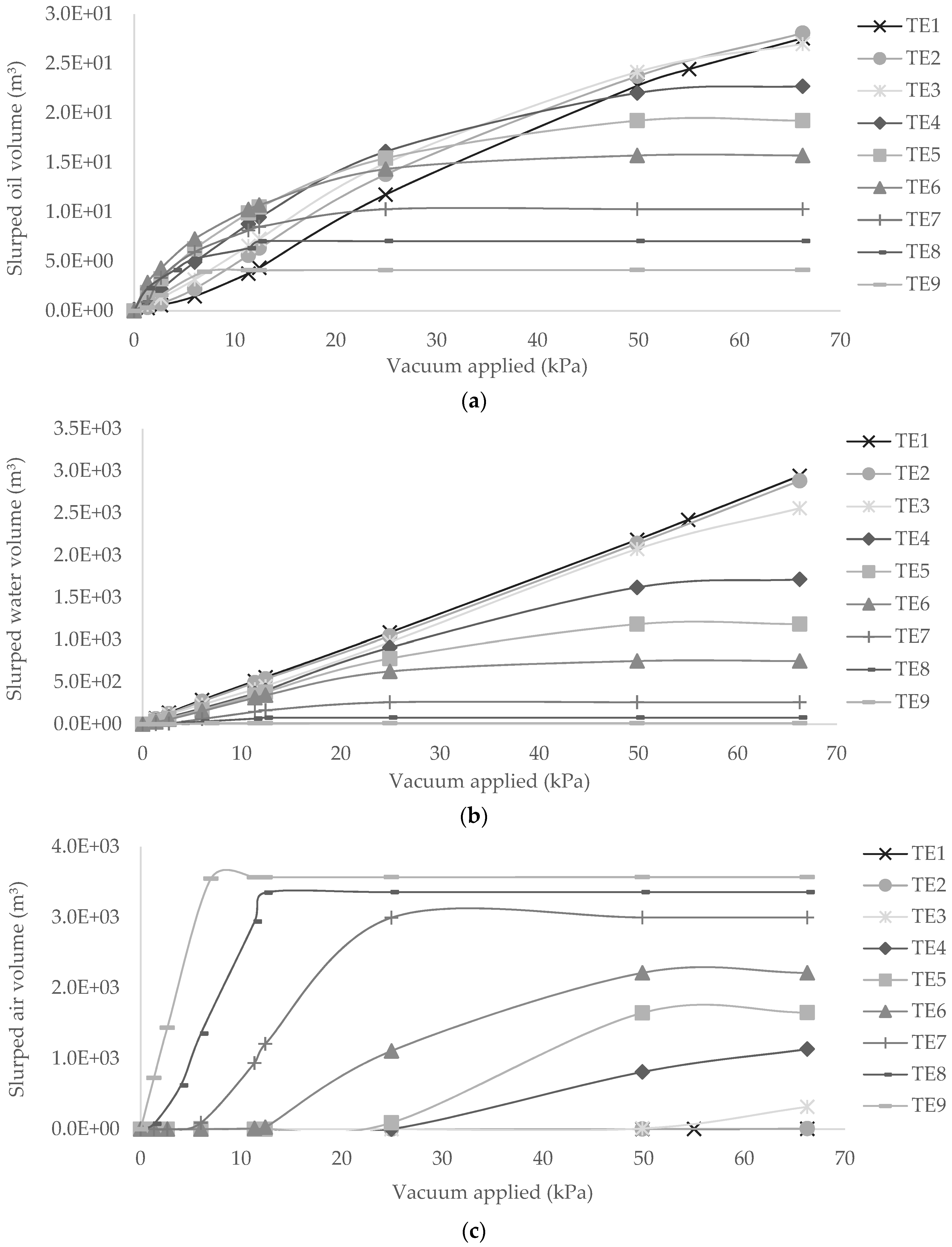
3.2. Vacuum Applied and Slurped Volume
3.3. Aqueous and Total Liquid Saturation
3.4. LNAPL Saturation in Soil Profile and Extraction Radius of Influence
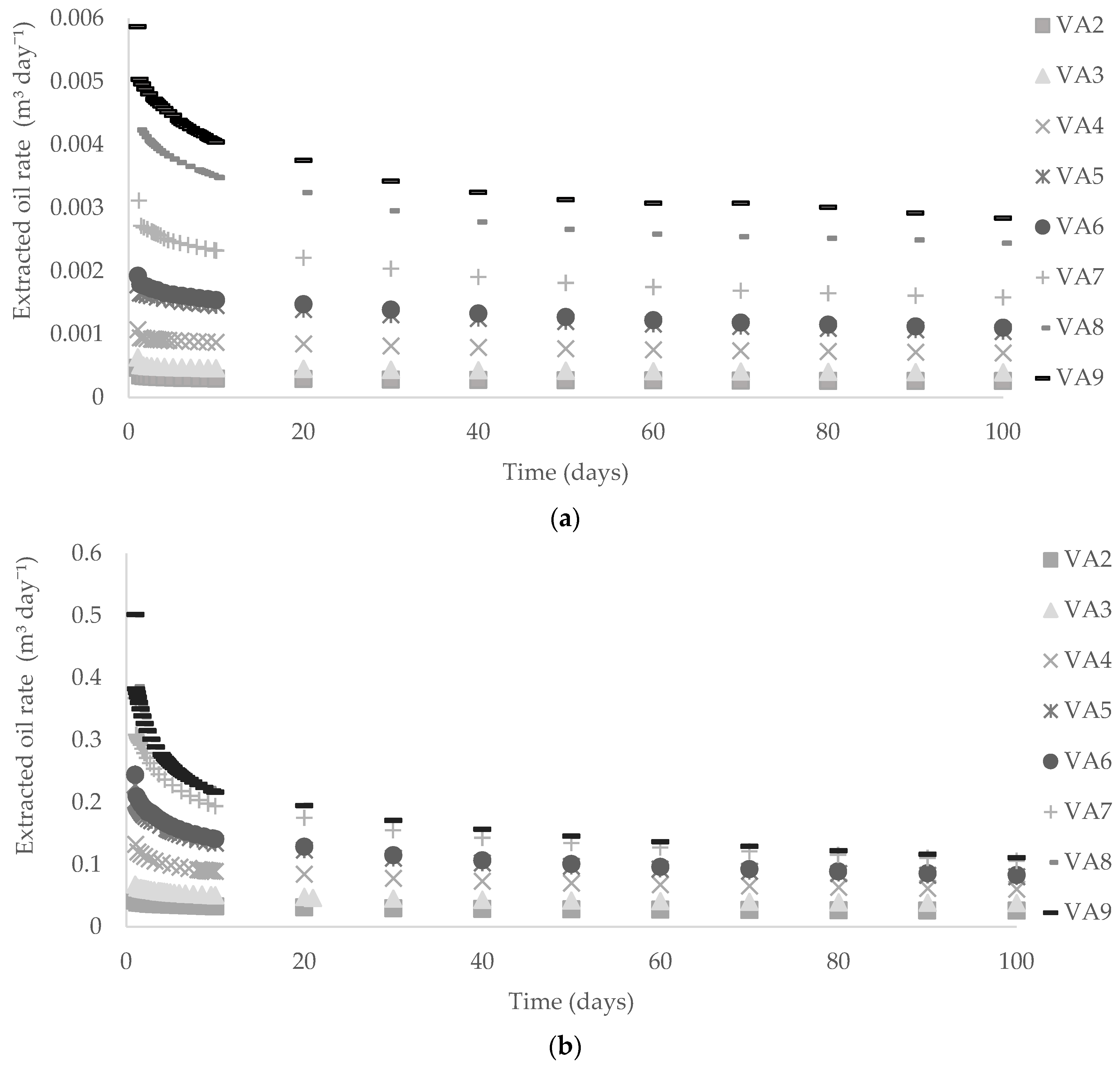
3.5. Considering Residual and Entrapped LNAPL
3.6. Bioslurping Influence in Dissolution and Volatilization Phases
4. Conclusions
Author Contributions
Funding
Acknowledgments
Conflicts of Interest
References
- Huntley, D.; Beckett, G.D. Persistence of LNAPL sources: Relationship between risk reduction and LNAPL recovery. J. Contam. Hydrol. 2002, 59, 3–26. [Google Scholar] [CrossRef]
- Newell, C.J.; Acree, S.D.; Ross, R.R.; Huling, S.G. Light nonaqueous phase liquids. In US EPA: Ground Water Issue; EPA/540/S-95/500; US EPA: Washington, DC, USA, 1995; p. 28. [Google Scholar]
- Parker, J.C. Multiphase flow and transport in porous media. Rev. Geophys. 1989, 27, 311–328. [Google Scholar] [CrossRef]
- Mercer, J.W.; Cohen, R.M. A review of immiscible fluids in the subsurface: Properties, models, characterization and remediation. J. Contam. Hydrol. 1990, 6, 107–163. [Google Scholar] [CrossRef]
- Miller, C.T.; Christakos, G.; Imhoff, P.T.; Mcbride, J.F.; Pedit, J.A.; Trangenstein, J.A. Multiphase flow and transport modeling in heterogeneous porous media: Challenges and approaches. Adv. Water Resour. 1998, 21, 77–120. [Google Scholar] [CrossRef]
- Sookhak Lari, K.; Davis, G.B.; Johnston, C.D. Incorporating hysteresis in a multi-phase multi-component NAPL modelling framework; a multi-component LNAPL gasoline example. Adv. Water Resour. 2016, 96, 190–201. [Google Scholar] [CrossRef]
- USEPA (U.S. Environmental Protection Agency). Multi-Phase Extraction: State of the Practice; EPA-542-R-99-004; Office of Solid Waste and Emergency Response: Cincinnati, OH, USA, 1999.
- US ARMY. Multi-Phase Extraction—Engineering and Design; EM 1110-1-4010; US Army Corps of Engineers: Washington, DC, USA, 1999.
- Place, M.C.; Coonfare, C.T.; Chen, A.S.C.; Hoeppel, R.E.; Rosansky, S.H. Principles and Practices of Bioslurping, 1st ed.; Battelle Press: Columbus, OH, USA, 2001. [Google Scholar]
- Miller, R.R. Bioslurping. In GWRTAC Technology Overview Report; TO-96-05; Ground-Water Remediation Technologies Analysis Center: Pittsburgh, PA, USA, 1996. [Google Scholar]
- Kittel, J.A.; Hinchee, R.E.; Hoeppel, R.; Miller, R. Bioslurping—Vacuum-enhanced free product recovery coupled with bioventing: A case study. In Proceedings of the 1994 Conference on Petroleum Hydrocarbons and Organic Chemicals in Ground Water: Prevention, Detection, and Remediation, Houston, TX, USA, 2–4 November 1994; pp. 255–270. [Google Scholar]
- Colombo, L.; Alberti, L.; Mazzon, P.; Formentin, G. Transient Flow and Transport Modelling of an Historical CHC Source in North-West Milano. Water 2019, 11, 1745. [Google Scholar] [CrossRef]
- Ebrahimi, F.; Lenhard, R.J.; Nakhaei, M.; Nassery, H.R. An approach to optimize the location of LNAPL recovery wells using the concept of a LNAPL specific yield. Environ. Sci. Pollut. Res. 2019. [Google Scholar] [CrossRef]
- Gabr, M.A.; Sharmin, N.; Quaranta, J.D. Multiphase Extraction of Light Non-aqueous Phase Liquid (LNAPL) Using Prefabricated Vertical Wells. Geotech. Geol. Eng. 2013, 31, 103–118. [Google Scholar] [CrossRef]
- Sookhak Lari, K.; Johnston, C.D.; Rayner, J.L.; Davis, G.B. Field-scale multi-phase LNAPL remediation: Validating a new computational framework against sequential field pilot trials. J. Hazard. Mater. 2018, 345, 87–96. [Google Scholar] [CrossRef]
- de Souza, M.M.; Oostrom, M.; White, M.D.; da Silva, G.C.; Barbosa, M.C. Simulation of Subsurface Multiphase Contaminant Extraction Using a Bioslurping Well Model. Transp. Porous Med. 2016, 114, 649–673. [Google Scholar] [CrossRef]
- Lenhard, R.J.; Oostrom, M.; Dane, J.H. A constitutive model for air–NAPL–water flow in the vadose zone accounting for immobile, non-occluded (residual) NAPL in strongly water-wet porous media. J. Contam. Hydrol. 2004, 71, 261–282. [Google Scholar] [CrossRef] [PubMed]
- Huang, Y.F.; Huang, G.H.; Chakma, A.; Maqsood, I.; Chen, B.; Li, J.B.; Yang, Y.P. Remediation of Petroleum-contaminated Sites through Simulation of a DPVE-aided Cleanup Process: Part 1. Model Development. Energy Source Part A 2007, 29, 347–366. [Google Scholar] [CrossRef]
- Qin, X.S.; Huang, G.H.; Zeng, G.M.; Chakma, A. Simulation-based optimization of dual-phase vacuum extraction to remove nonaqueous phase liquids in subsurface. Water Resour. Res. 2008, 44, W04422. [Google Scholar] [CrossRef]
- White, M.D.; Oostrom, M. STOMP—Subsurface Transport Over Multiple Phases; Version 4.0; User’s Guide; PNNL-15782; Pacific Northwest National Laboratory, EUA: Richland, WA, USA, 2006.
- White, M.D.; Oostrom, M.; Rockhold, M.L.; Rosing, M. Scalable Modeling of Carbon Tetrachloride Migration at the Hanford Site Using the STOMP Simulator. Vadose Zone J. 2007, 7, 654–666. [Google Scholar] [CrossRef]
- Yoon, H.; Oostrom, M.; Wietsma, T.W.; Werth, C.J.; Valocchi, A.J. Numerical and experimental investigation of DNAPL removal mechanisms in a layered porous medium by means of soil vapor extraction. J. Contam. Hydrol. 2009, 109, 1–13. [Google Scholar] [CrossRef]
- Oostrom, M.; Hofstee, C.; Wietsma, T.W. Behaviour of a Viscous LNAPL Under Variable Water Table Conditions. Soil Sediment Contam. 2006, 15, 543–564. [Google Scholar] [CrossRef]
- ABNT (Brazilian Association of Technical Standards). NBR 7181: Soil—Grain size analysis (in Portuguese); ABNT: Rio de Janeiro, Brazil, 1984. [Google Scholar]
- ABNT (Brazilian Association of Technical Standards). NBR 6508: Gravel Grains Retained on the 4.8 mm Mesh Sieve—Determination of the Bulk Specific Gravity (in Portuguese); ABNT: Rio de Janeiro, Brazil, 1984. [Google Scholar]
- van Genuchten, M.T.H. A closed-form equation for predicting the hydraulic conductivity of unsaturated soils. Soil Sci. Soc. Am. J. 1980, 44, 892–898. [Google Scholar] [CrossRef]
- Coelho, C.R.B. Theoretical and Experimental Study of Water Flow and Equilibrium and Non-Equilibrium Solute Transport in Tropical Soils (in Portuguese). Ph.D. Thesis, Federal University of Rio de Janeiro, Rio de Janeiro, Brazil, 2016. [Google Scholar]
- ASTM D7042-16e3. Standard Test Method for Dynamic Viscosity and Density of Liquids by Stabinger Viscometer (and the Calculation of Kinematic Viscosity); ASTM International: West Conshohocken, PA, USA, 2016. [Google Scholar]
- ASTM D1331-14. Standard Test Methods for Surface and Interfacial Tension of Solutions of Paints, Solvents, Solutions of Surface-Active Agents, and Related Materials; ASTM International: West Conshohocken, PA, USA, 2014. [Google Scholar]
- de Matos Souza, M. Using the STOMP Simulator to Assess Bioslurping Recovery and Remediation Processes of Light Hydrocarbons in Contaminated Areas. Ph.D. Thesis, Federal University of Rio de Janeiro, Rio de Janeiro, Brazil, 2015. [Google Scholar]
- White, M.D.; Oostrom, M. STOMP-Subsurface Transport over Multiple Phases—Version 2.0—Theory Guide; Pacific Northwest National Laboratory, EUA: Richland, WA, USA, 2000.
- Sookhak Lari, K.; Davis, G.B.; Rayner, J.L.; Bastow, T.P.; Puzon, G.J. Natural source zone depletion of LNAPL: A critical review supporting modelling approaches. Water Res. 2019, 157, 630–646. [Google Scholar] [CrossRef]
- White, M.D.; Bacon, D.H.; White, S.K.; Zhang, Z.F. Fully coupled wells models for fluid injection and production. Energy Procedia 2013, 37, 3960–3970. [Google Scholar] [CrossRef]
- Lenhard, R.J.; Parker, J.C. Estimation of free hydrocarbon volume from fluid levels in monitoring wells. Ground Water 1990, 28, 57–67. [Google Scholar] [CrossRef]
- Mitchell, J.K.; Soga, K. Fundamentals of Soil Behaviour, 3rd ed.; John Wiley & Sons: Hoboken, NJ, USA, 2005; pp. 196–206. [Google Scholar]
- Ferreira, M.M.; Fernandes, B.; Curi, N. Mineralogia da fração argila e estrutura de latossolos da região sudeste do Brasil. Rev. Bras. Ciência Solo 1999, 23, 507–514. [Google Scholar] [CrossRef]
- Ferreira, M.M.; Fernandes, B.; Curi, N. Influência da mineralogia da fração argila nas propriedades físicas de latossolos da região sudeste do Brasil. Rev. Bras. Ciência Solo 1999, 23, 515–524. [Google Scholar] [CrossRef]
- Lenhard, R.J.; Rayner, J.L.; Davis, G.B. A practical tool for estimating subsurface LNAPL distributions and transmissivity using current and historical fluid levels in groundwater wells: Effects of entrapped and residual LNAPL. J. Contam. Hydrol. 2017, 205, 1–11. [Google Scholar] [CrossRef]
- Kacem, M.; Benadda, B. Mathematical Model for Multiphase Extraction Simulation. J. Environ. Eng. 2018, 144, 04018040. [Google Scholar] [CrossRef]
- Farr, A.M.; Houghtalen, R.J.; McWhorter, D.B. Volume Estimation of Light Nonaqueous Phase Liquids in Porous Media. Groundwater 1990, 28, 48–56. [Google Scholar] [CrossRef]
- ITRC (Interstate Technology & Regulatory Council). Evaluating LNAPL Remedial Technologies for Achieving Project Goals; Interstate Technology & Regulatory Council-LNAPL Teams: Washington, DC, USA, 2009. [Google Scholar]
















| Parameters | Values | |
|---|---|---|
| Silty Sand | Oxisol | |
| Specific gravity (kg m−3) | 2747 | 2637 |
| Total porosity (–) | 0.49 | 0.49 |
| Sandy (%) | 65 | 75 |
| Silt (%) | 30 | 10 |
| Clay (%) | 5 | 15 |
| Water-saturated hydraulic conductivity (cm s−1) | 8.5 × 10−5 | 8.48 × 10−3 |
| van Genuchten α (m−1) | 1.31 | 2.77 |
| van Genuchten n (–) | 1.49 | 3.45 |
| Irreducible water saturation Θr (–) | 0.080 | 0.03 |
| Longitudinal dispersivity (m) | 0.056 | 0.056 |
| Transversal dispersivity (m) | 0.0056 | 0.0056 |
| Parameters | Values |
|---|---|
| LNAPL mass density (kg m−3) | 830 |
| LNAPL viscosity (Pa s) | 3.45 × 10−3 |
| Air–LNAPL interfacial tension (N m−1) | 0.028 |
| Air–water interfacial tension (N m−1) | 0.072 |
| LNAPL–water interfacial tension (N m−1) | 0.034 |
| Residual and Entrapped Oil Saturation Factor | Silty Sandy | Oxisol | ||||||
|---|---|---|---|---|---|---|---|---|
| Water Extraction (kg) | Oil Extracted (kg) | Air Extracted (kg) | Water Extraction (kg) | Oil Extracted (kg) | Air Extracted (kg) | |||
| Case I | 0 | 0 | 3.59 + 03 | 1.56E + 02 | 2.34E + 00 | 6.24E + 05 | 1.19E + 04 | 1.33E + 03 |
| Case II | 0.1 | 0.1 | 3.08E + 03 | 1.41E + 02 | 2.40E + 00 | 5.99E + 05 | 1.12E + 04 | 1.38E + 03 |
| Case III | 0.2 | 0.2 | 2.99E + 03 | 1.35E + 02 | 2.52E + 00 | 5.79E + 05 | 1.05E + 04 | 1.38E + 03 |
| Case IV | 0.3 | 0.3 | 2.95E + 03 | 1.32E + 02 | 2.59E + 00 | 5.65E + 05 | 9.85E + 03 | 1.38E + 03 |
© 2019 by the authors. Licensee MDPI, Basel, Switzerland. This article is an open access article distributed under the terms and conditions of the Creative Commons Attribution (CC BY) license (http://creativecommons.org/licenses/by/4.0/).
Share and Cite
Bortoni, S.F.; Schlosser, R.T.; Barbosa, M.C. Numerical Modeling of Multiphase Extraction (MPE) Aiming at LNAPL Recovery in Tropical Soils. Water 2019, 11, 2248. https://doi.org/10.3390/w11112248
Bortoni SF, Schlosser RT, Barbosa MC. Numerical Modeling of Multiphase Extraction (MPE) Aiming at LNAPL Recovery in Tropical Soils. Water. 2019; 11(11):2248. https://doi.org/10.3390/w11112248
Chicago/Turabian StyleBortoni, Samanta Ferreira, Rodrigo Trindade Schlosser, and Maria Claudia Barbosa. 2019. "Numerical Modeling of Multiphase Extraction (MPE) Aiming at LNAPL Recovery in Tropical Soils" Water 11, no. 11: 2248. https://doi.org/10.3390/w11112248
APA StyleBortoni, S. F., Schlosser, R. T., & Barbosa, M. C. (2019). Numerical Modeling of Multiphase Extraction (MPE) Aiming at LNAPL Recovery in Tropical Soils. Water, 11(11), 2248. https://doi.org/10.3390/w11112248

